Design, Synthesis and Antifungal Activity of Novel Benzofuran-Triazole Hybrids
Abstract
:1. Introduction
2. Results and Discussion
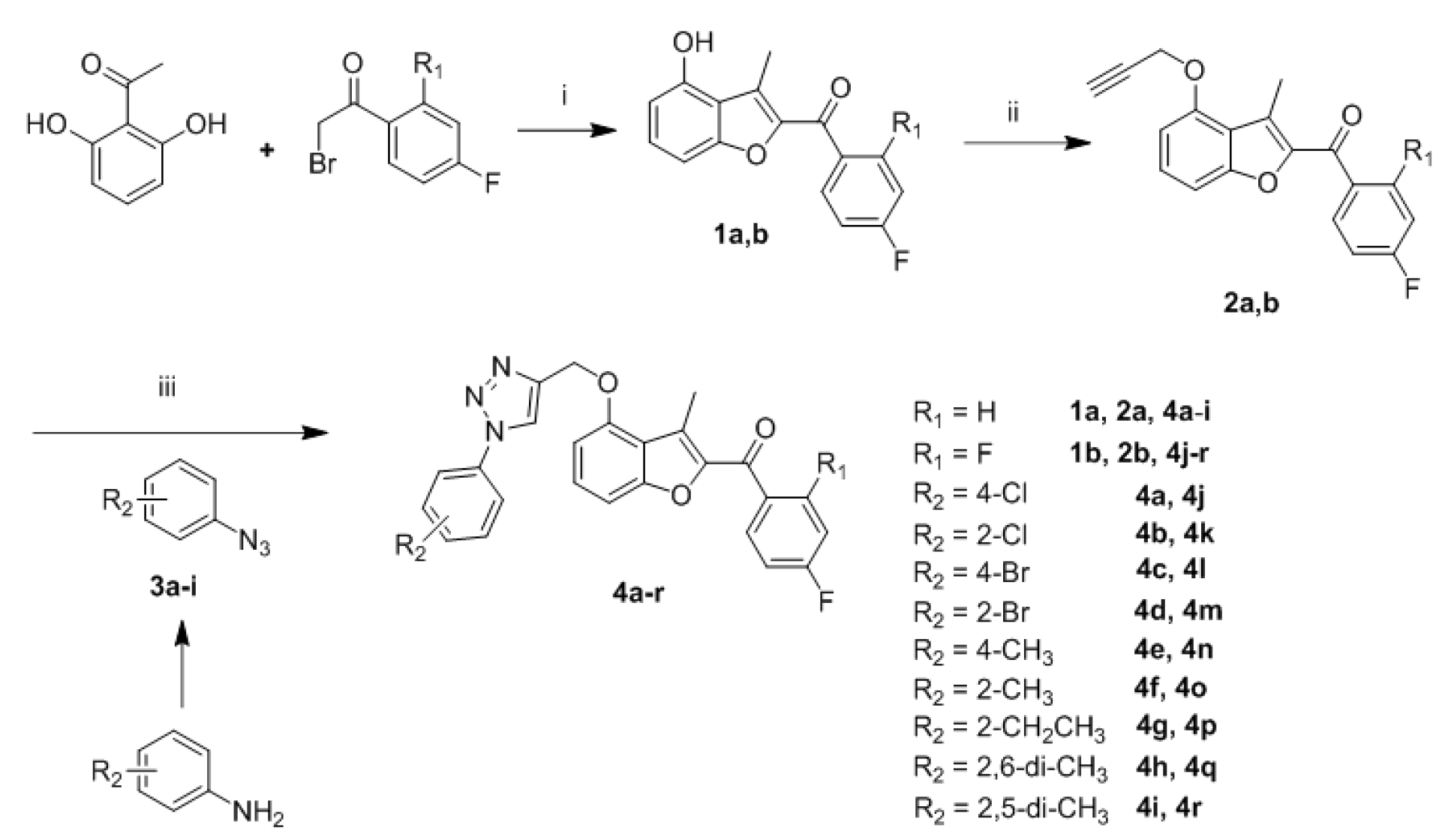
2.1. Chemistry
2.2. Antifungal Activity
2.3. Molecule Docking
3. Experimental Section
3.1. Chemistry
3.1.1. General Procedure for the Synthesis of Compounds 1a,b
3.1.2. General Procedure for the Synthesis of Compounds 2a,b
3.1.3. General Procedure for the Synthesis of Compounds 4a–r
3.2. Antifungal Assay
4. Conclusions
Acknowledgments
Author Contributions
Conflicts of Interest
References
- Enoch, D.A.; Ludlam, H.A.; Brown, N.M. Invasive fungal infections: A review of epidemiology and management options. J. Med. Microbiol. 2006, 55, 809–818. [Google Scholar] [CrossRef] [PubMed]
- Kathiravan, M.K.; Salake, A.B.; Chothe, A.S.; Dudhe, P.B.; Watode, R.P.; Mukta, M.S.; Gadhwe, S. The biology and chemistry of antifungal agents: A review. Bioorg. Med. Chem. 2012, 20, 5678–5698. [Google Scholar] [CrossRef] [PubMed]
- Groll, A.H.; Piscitelli, S.C.; Walsh, T.J. Clinical pharmacology of systemic antifungal agents: A comprehensive review of agents in clinical use, current investigational compounds, and putative targets for antifungal drug development. Adv. Pharmacol. 1998, 44, 343–500. [Google Scholar] [PubMed]
- Kontoyiannis, D.P.; Lewis, R.E. Antifungal drug resistance of pathogenic fungi. Lancet 2002, 359, 1135–1144. [Google Scholar] [CrossRef]
- Boutin, J.A. Myristoylation. Cell. Signal. 1997, 9, 15–35. [Google Scholar] [CrossRef]
- Gordon, J.I.; Duronios, R.J.; Rudnicks, D.A.; Adamss, S.P.; Coke1, G.W. Protein N-myristoylation. J. Biol. Chem. 1991, 266, 8647–8650. [Google Scholar] [PubMed]
- Weinberg, R.A.; Mcwherter, C.A.; Freeman, K.; Wood, D.C.; Gordon, J.I.; Lee, S.C. Genetic studies reveal that myristoylCoA: Protein N-myristoyltransferase is an essential enzyme in Candida albicans. Mol. Microbiol. 1995, 16, 241–250. [Google Scholar] [CrossRef] [PubMed]
- Lodge, J.K.; Jackson-machelski, E.; Toffalettit, D.L.; Perfectt, J.R.; Gordon, J.I. Targeted gene replacement demonstrates that myristoylCoA: Protein N-myristoyltransferase is essential for viability of Cryptococcus neoformans. Proc. Natl. Acad. Sci. USA 1994, 91, 12008–12012. [Google Scholar] [CrossRef] [PubMed]
- Sogabe, S.; Masubuchi, M.; Sakata, K.; Fukami, T.A.; Morikami, K.; Shiratori, Y.; Ebiike, H.; Kawasaki, K.; Aoki, Y.; Shimma, N.; et al. Crystal structures of Candida albicans N-myristoyltransferase with two distinct inhibitors. Chem. Biol. 2002, 9, 1119–1128. [Google Scholar] [CrossRef]
- Devadas, B.; Freeman, S.K.; Zupec, M.E.; Lu, H.F.; Nagarajan, S.R.; Kishore, N.S.; Lodge, J.K.; Kuneman, D.W.; McWherter, C.A.; Vinjamoori, D.V.; et al. Design and synthesis of novel imidazole-substituted dipeptide amides as potent and selective inhibitors of Candida albicans myristoylCoA: Protein N-myristoyltransferase and identification of related tripeptide inhibitors with mechanism based antifungal act. J. Med. Chem. 1997, 40, 2609–2625. [Google Scholar] [CrossRef] [PubMed]
- Nagarajan, S.R.; Devadas, B.; Zupec, M.E.; Freeman, S.K.; Brown, D.L.; Lu, H.; Mehta, P.P.; Kishore, N.S.; McWherter, C.A.; Getman, D.P.; et al. A Conformationally constrained (p-(ω-aminoalkyl)phenacetyl)-l-seryl-l -lysyl dipeptide amides as potent peptidomimetic inhibitors of Candida albicans and human myristoylCoA: Protein N-myristoyl transferase. J. Med. Chem. 1997, 40, 1422–1438. [Google Scholar] [CrossRef] [PubMed]
- McWherter, C.A.; Rocque, W.J.; Zupec, M.E.; Freeman, S.K.; Brown, D.L.; Devadas, B.; Getman, D.P.; Sikorski, J.A.; Gordon, J.I. Scanning alanine mutagenesis and de-peptidization of a Candida albicans myristoylCoA: Protein N-myristoyltransferase octapeptide substrate reveals three elements critical for molecular recognition. J. Biol. Chem. 1997, 272, 11874–11880. [Google Scholar] [CrossRef] [PubMed]
- Parang, K.; Knaus, E.E.; Wiebe, L.I.; Sardari, S.; Daneshtalab, M.; Csizmadia, F. Synthesis and antifungal activities of myristic acid analogs. Arch. Pharm. 1996, 329, 475–482. [Google Scholar] [CrossRef]
- Sheng, C.; Xu, H.; Wang, W.; Cao, Y.; Dong, G.; Wang, S.; Che, X.; Ji, H.; Miao, Z.; Yao, J. Design, synthesis and antifungal activity of isosteric analogues of benzoheterocyclic N-myristoyltransferase inhibitors. Eur. J. Med. Chem. 2010, 45, 3531–3540. [Google Scholar] [CrossRef] [PubMed]
- Ebara, S.; Naito, H.; Nakazawa, K.; Ishii, F.; Nakamura, M. FTR1335 is a novel synthetic inhibitor of Candida albicans N-myristoyltransferase with fungicidal activity. Biol. Pharm. Bull. 2005, 28, 591–595. [Google Scholar] [CrossRef] [PubMed]
- Masubuchi, M.; Ebiike, H.; Kawasaki, K.; Sogabe, S.; Morikami, K.; Shiratori, Y.; Tsujii, S.; Fujii, T.; Sakata, K.; Hayase, M.; et al. Synthesis and biological activities of benzofuran antifungal agents targeting fungal N-myristoyltransferase. Bioorg. Med. Chem. 2003, 11, 4463–4478. [Google Scholar] [CrossRef]
- Ebiike, H.; Masubuchi, M.; Liu, P.; Kawasaki, K.; Morikami, K.; Sogabe, S.; Hayase, M.; Fujii, T.; Sakata, K.; Shindoh, H.; et al. Design and synthesis of novel benzofurans as a new class of antifungal agents targeting fungal N-myristoyltransferase. Part 2. Bioorg. Med. Chem. Lett. 2002, 12, 607–610. [Google Scholar] [CrossRef]
- Kawasaki, K.I.; Masubuchi, M.; Morikami, K.; Sogabe, S.; Aoyama, T.; Ebiike, H.; Niizuma, S.; Hayase, M.; Fujii, T.; Sakata, K.; et al. Design and synthesis of novel benzofurans as a new class of antifungal agents targeting fungal N-myristoyltransferase. Part 3. Bioorg. Med. Chem. Lett. 2003, 13, 87–91. [Google Scholar] [CrossRef]
- Masubuchi, M.; Kawasaki, K.; Ebiike, H.; Ikeda, Y.; Tsujii, S.; Sogabe, S.; Fujii, T.; Sakata, K.; Shiratori, Y.; Aoki, Y.; et al. Design and synthesis of novel benzofurans as a new class of antifungal agents targeting fungal N-myristoyltransferase. Part 1. Bioorg. Med. Chem. Lett. 2001, 11, 1833–1837. [Google Scholar] [CrossRef]
- Hejchman, E.; Ostrowska, K.; Maciejewska, D.; Kossakowski, J.; Courchesne, W.E. Synthesis and antifungal activity of derivatives of 2- and 3-benzofurancarboxylic acids. J. Pharmacol. Exp. Ther. 2012, 343, 380–388. [Google Scholar] [CrossRef] [PubMed]
- Ryu, C.K.; Kim, Y.H.; Nho, J.H.; Hong, J.A.; Yoon, J.H.; Kim, A. Synthesis and antifungal activity of furo(2,3-f)quinolin-5-ols. Bioorg. Med. Chem. Lett. 2011, 21, 952–955. [Google Scholar] [CrossRef] [PubMed]
- Gündoğdu-Karaburun, N.; Benkli, K.; Tunali, Y.; Uçucu, Ü.; Demirayak, Ş. Synthesis and antifungal activities of some aryl (3-(imidazol-1-yl/triazol-1-ylmethyl) benzofuran-2-yl) ketoximes. Eur. J. Med. Chem. 2006, 41, 651–656. [Google Scholar] [CrossRef] [PubMed]
- Benkli, K.; Gündoĝdu-Karaburun, N.; Karaburun, A.C.; Uçucu, Ü.; Demirayak, S.; Kiraz, N. Synthesis and antifungal activities of some aryl (3-methyl-benzofuran-2-yl) ketoximes. Arch. Pharm. Res. 2003, 26, 202–206. [Google Scholar] [CrossRef] [PubMed]
- Mohammadi-Khanaposhtani, M.; Saeedi, M.; Zafarghandi, N.S.; Mahdavi, M.; Sabourian, R.; Razkenari, E.K.; Alinezhad, H.; Khanavi, M.; Foroumadi, A.; Shafiee, A.; et al. Potent acetylcholinesterase inhibitors: Design, synthesis, biological evaluation, and docking study of acridone linked to 1,2,3-triazole derivatives. Eur. J. Med. Chem. 2015, 92, 799–806. [Google Scholar] [CrossRef] [PubMed]
- Weide, T.; Saldanha, S.A.; Minond, D.; Spicer, T.P.; Fotsing, J.R.; Spaargaren, M.; Frère, J.-M.; Bebrone, C.; Sharpless, K.B.; Hodder, P.S.; et al. NH-1,2,3-triazole inhibitors of the VIM-2 metallo-β-lactamase. Med. Chem. Lett. 2010, 1, 150–154. [Google Scholar] [CrossRef] [PubMed]
- Giffin, M.J.; Heaslet, H.; Brik, A.; Lin, Y.-C.; Cauvi, G.; Wong, C.-H.; McRee, D.E.; Elder, J.H.; Stout, C.D.; Torbett, B.E. A copper(I)-catalyzed 1,2,3-triazole azide−alkyne click compound is a potent inhibitor of a multidrug-resistant HIV-1 protease variant. J. Med. Chem. 2008, 51, 6263–6270. [Google Scholar] [CrossRef] [PubMed]
- Xu, S.; Zhuang, X.; Pan, X.; Zhang, Z.; Duan, L.; Liu, Y.; Zhang, L.; Ren, X.; Ding, K. 1-Phenyl-4-benzoyl-1H-1,2,3-triazoles as orally bioavailable transcriptional function suppressors of estrogen-related receptor α. J. Med. Chem. 2013, 56, 4631–4640. [Google Scholar] [CrossRef] [PubMed]
- Kumar, D.; Beena; Khare, G.; Kidwai, S.; Tyagi, A.K.; Singh, R.; Rawat, D.S. Synthesis of novel 1,2,3-triazole derivatives of isoniazid and their in vitro and in vivo antimycobacterial activity evaluation. Eur. J. Med. Chem. 2014, 81, 301–313. [Google Scholar] [CrossRef] [PubMed]
- Kamal, A.; Hussaini, S.M.A.; Sucharitha, M.L.; Poornachandra, Y.; Sultana, F.; Ganesh Kumar, C. Synthesis and antimicrobial potential of nitrofuran-triazole congeners. Org. Biomol. Chem. 2015, 13, 9388–9397. [Google Scholar] [CrossRef] [PubMed]
- Dai, Z.-C.; Chen, Y.-F.; Zhang, M.; Li, S.-K.; Yang, T.-T.; Shen, L.; Wang, J.-X.; Qian, S.-S.; Zhu, H.-L.; Ye, Y.-H. Synthesis and antifungal activity of 1,2,3-triazole phenylhydrazone derivatives. Org. Biomol. Chem. 2015, 13, 477–486. [Google Scholar] [CrossRef] [PubMed]
- Lima-Neto, R.G.; Cavalcante, N.N.M.; Srivastava, R.M.; Mendonça, F.J.B.; Wanderley, A.G.; Neves, R.P.; dos Anjos, J.V. Synthesis of 1,2,3-triazole derivatives and in vitro antifungal evaluation on Candida strains. Molecules 2012, 17, 5882–5892. [Google Scholar] [CrossRef] [PubMed]
- Shaikh, M.H.; Subhedar, D.D.; Khan, F.A.K.; Sangshetti, J.N.; Shingate, B.B. 1,2,3-Triazole incorporated coumarin derivatives as a potential antifungal and antioxidant agents. Chin. Chem. Lett. 2015, 27, 295–301. [Google Scholar] [CrossRef]
- Wang, Y.; Xu, K.; Bai, G.; Huang, L.; Wu, Q.; Pan, W.; Yu, S. Synthesis and antifungal activity of novel triazole compounds containing piperazine moiety. Molecules 2014, 19, 11333–11340. [Google Scholar] [CrossRef] [PubMed]
- Zhu, J.; Sheng, C.-Q.; Zhang, W.-N. N-Myristoyltransferase: A novel antifungal target. Acta Pharm. Sin. 2005, 40, 775–781. [Google Scholar]
- Clinical Laboratory Standards Institute (CLSI). Reference Method for Broth Dilution Testing of Yeasts, 3rd ed.; CLSI: Wayne, PA, USA, 2008. [Google Scholar]
- Sample Availability: Samples of the compounds 1a,b, 2a,b and 4a–r are available from the authors.



| Compound | R1 | R2 | C. alb. | C. neo. | C. zey. | T. rub. | R. rub. |
|---|---|---|---|---|---|---|---|
| 2a | H | >128 | >128 | >128 | >128 | >128 | |
| 2b | F | >128 | >128 | >128 | >128 | >128 | |
| 4a | H | 4-Cl | >128 | >128 | >128 | >128 | >128 |
| 4b | H | 2-Cl | >128 | 128 | >128 | 128 | >128 |
| 4c | H | 4-Br | >128 | >128 | >128 | >128 | >128 |
| 4d | H | 2-Br | >128 | 128 | 128 | 64 | 128 |
| 4e | H | 4-CH3 | >128 | 128 | >128 | 64 | >128 |
| 4f | H | 2-CH3 | 128 | 64 | 64 | 64 | 128 |
| 4g | H | 2-C2H5 | >128 | 128 | >128 | 128 | >128 |
| 4h | H | 2,6-di-CH3 | 128 | 128 | 64 | 64 | 128 |
| 4i | H | 2,5-di-CH3 | >128 | 128 | >128 | 128 | >128 |
| 4j | F | 4-Cl | >128 | 128 | >128 | 128 | >128 |
| 4k | F | 2-Cl | >128 | 64 | >128 | 128 | >128 |
| 4l | F | 4-Br | >128 | 128 | >128 | 128 | >128 |
| 4m | F | 2-Br | 128 | 64 | 64 | 64 | >128 |
| 4n | F | 4-CH3 | >128 | 64 | >128 | 64 | >128 |
| 4o | F | 2-CH3 | 128 | 32 | 128 | 32 | 128 |
| 4p | F | 2-C2H5 | >128 | 64 | 64 | 64 | >128 |
| 4q | F | 2,6-di-CH3 | >128 | 128 | 128 | 64 | 128 |
| 4r | F | 2,5-di-CH3 | 128 | 64 | 64 | 32 | 128 |
| FCZ | 1 | 8 | 0.5 | 128 | 8 |
© 2016 by the authors. Licensee MDPI, Basel, Switzerland. This article is an open access article distributed under the terms and conditions of the Creative Commons Attribution (CC-BY) license ( http://creativecommons.org/licenses/by/4.0/).
Share and Cite
Liang, Z.; Xu, H.; Tian, Y.; Guo, M.; Su, X.; Guo, C. Design, Synthesis and Antifungal Activity of Novel Benzofuran-Triazole Hybrids. Molecules 2016, 21, 732. https://doi.org/10.3390/molecules21060732
Liang Z, Xu H, Tian Y, Guo M, Su X, Guo C. Design, Synthesis and Antifungal Activity of Novel Benzofuran-Triazole Hybrids. Molecules. 2016; 21(6):732. https://doi.org/10.3390/molecules21060732
Chicago/Turabian StyleLiang, Zhen, Hang Xu, Ye Tian, Mengbi Guo, Xin Su, and Chun Guo. 2016. "Design, Synthesis and Antifungal Activity of Novel Benzofuran-Triazole Hybrids" Molecules 21, no. 6: 732. https://doi.org/10.3390/molecules21060732
APA StyleLiang, Z., Xu, H., Tian, Y., Guo, M., Su, X., & Guo, C. (2016). Design, Synthesis and Antifungal Activity of Novel Benzofuran-Triazole Hybrids. Molecules, 21(6), 732. https://doi.org/10.3390/molecules21060732

