Abstract
The reaction of the Schiff base (3,5-di-tert-butyl-2-hydroxybenzylidene)-2-hydroxybenzohydrazide (H3L) with a copper(II) salt of a base of a strong acid, i.e., nitrate, chloride or sulphate, yielded the mononuclear complexes [Cu(H2L)(NO3)(H2O)] (1), [Cu(H2L)Cl]·2MeOH (2) and the binuclear complex [{Cu(H2L)}2(µ-SO4)]·2MeOH (3), respectively, with H2L− in the keto form. Compounds 1–3 were characterized by elemental analysis, Infrared (IR) spectroscopy, Electrospray Ionisation Mass Spectrometry (ESI-MS) and single crystal X-ray crystallography. All compounds act as efficient catalysts towards the peroxidative oxidation of cyclohexane to cyclohexyl hydroperoxide, cyclohexanol and cyclohexanone, under mild conditions. In the presence of an acid promoter, overall yields (based on the alkane) up to 25% and a turnover number (TON) of 250 (TOF of 42 h−1) after 6 h, were achieved.
1. Introduction
Alkanes are highly abundant, cheap and thus very attractive potential substrates for the direct synthesis of added value functionalized products. However, their chemical inertness requires harsh temperatures leading to low conversions, limiting their wide usage as raw materials for atom efficient and selective oxidation processes [1,2,3,4]. Therefore, the search for efficient catalytic systems and single-pot methodologies for the selective oxidation of alkanes under mild conditions and using environmentally benign oxidants remains a serious challenge [5,6,7,8,9].
Like the active centres of some enzymes (e.g., particulate methane monooxygenase, a multi-copper enzyme that catalyzes the hydroxylation of alkanes) [10], transition metal complexes can potentially catalyse the functionalization of the non-activated C-H bonds of hydrocarbons under mild reaction conditions [11]. During last few years, the promising approach of design bio-inspired catalysts has been pursued [11,12,13,14,15] and several multi-copper(II) complexes have been found to exhibit a high catalytic activity in the oxidation of cycloalkanes by hydrogen peroxide to the corresponding alkyl hydroperoxides, alcohols and ketones [1,5,11,16,17,18,19,20,21].
The main goal of our present work is to study the catalytic application of aroylhydrazone Cu(II) complexes towards the peroxidative oxidation of cyclohexane under mild conditions. Aroylhydrazones exhibit keto-enol tautomerism in solution, and various modes of coordination are found in their metal complexes. The tautomeric form of the ligand in their metal complexes is highly dependent on the pH of the medium and the nature of metal ions [22,23,24,25]. Metal complexes derived from such ligands are found to be active catalysts in various oxidation reactions, e.g., oxidation of alkanes, alkenes, alcohols, sulfoxidation, carboxylation etc. [13,18,22,25,26,27], and our group is involved in this track.
We have recently synthesized [17] trinuclear aroylhydrazone Cu(II) complexes derived from the Schiff base of this study (H3L) in the enol form and studied their activity as homogeneous catalysts towards the peroxidative oxidation of cyclohexane to the corresponding alcohol and ketone. In this study, we have further extended the work, by synthesizing two mononuclear and one binuclear complexes with the same Schiff base in the keto form and assessing their catalytic potential in the same catalytic reaction.
2. Results and Discussion
In a previous work, we reported that the Schiff base (3,5-di-tert-butyl-2-hydroxybenzylidene)-2-hydroxybenzohydrazide (H3L) reacts with Cu(NO3)2·2.5H2O in the presence of triethylamine, Cu(OOCCH3)2·H2O or CuB2O4 (copper metaborate) in methanol producing copper(II) structural isomers with the ligand in the enol form [17] (Scheme 1A). Indeed, the Schiff base ligand coordinates to the Cu(II) ions in the enol form when the Cu(II) source is a salt of a base of a weak acid, or when the reaction is performed in the presence of a base. In the current work, we have synthesized Cu(II) complexes with the Schiff base in the keto form, by using Cu(II) salts with anions derived from strong acids, viz. Cu(NO3)2·2.5H2O, CuCl2·2H2O and CuSO4·5H2O and performed the reaction with H3L in methanol, at room temperature, without the presence of any additional base. The mononuclear compounds [Cu(H2L)(NO2)(H2O)] (1), [Cu(H2L)Cl]·2MeOH (2) and the binuclear complex [{Cu(H2L)}2(µ-SO4)] (3) were then isolated (Scheme 1B). In addition, the monoanionic ligand binds the Cu(II) ions in a tridentate κO,O’,N (in 1 and 2) or chelating-tridentate fashion (1κO,O’,N:2κO in 3), while in the previous situation [17], the fully deprotonated form of the Schiff base (L−3) coordinated to the metal in a pentadentate 1κO,O’,N:2κN’,O’’ fashion.
Scheme 1.
Reaction of H3L with different Cu(II) salts. # See reference [17] for (A). This study (B).
Complexes 1–3 have been characterized by elemental analysis, IR spectroscopy, UV-Vis ESI-MS and single crystal X-ray diffraction techniques. In all cases, the IR spectra display the C=O stretching frequency at ca. 1613 cm−1. The electronic spectral data of 1–3 are given in the experimental section. All complexes exhibit intense ligand to metal charge transfer transitions (LMCT) in the range of 225–385 nm and a less intense absorption band due to d–d transitions in the range of 526–660 nm attributable to 2B1g → 2A1g and 2B1g → 2E1g transitions, suggesting square-planar to square pyramidal coordination geometries at Cu(II) centre [28,29], which is in agreement with the single crystal structures. The m/z values also support the proposed molecular formulation (see Experimental).
2.1. Crystal Structures
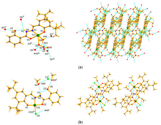
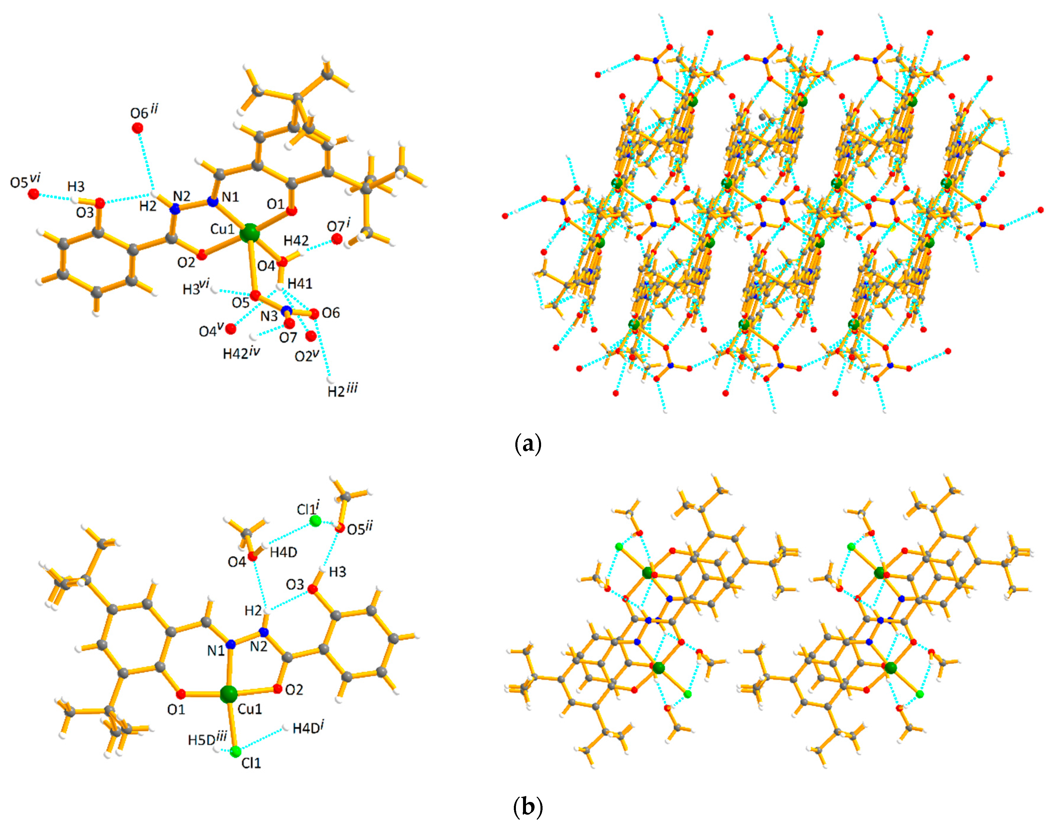
At room temperature, methanolic solutions of 1–3 yielded X-ray quality single crystals. The crystallographic data (CCDC 1450150-1450152 for 1–3 contain the supplementary crystallographic data for this paper. This data can be obtained free of charge from The Cambridge Crystallographic Data Centre via www.ccdc.cam.ac.uk/data_request/cif.) and processing parameters are summarized in Table 1. Selected dimensions and H-bond geometries are presented in Table 2 and Table 3, respectively. The molecular structures of 1–3 with atom numbering schemes and illustrations of H-bond interactions are presented in Figure 1.
Table 1.
Crystal data and structure refinement details for complexes 1–3.
Table 2.
Selected bond distances (Å) and angles (°) in complexes 1–3.
Table 3.
Hydrogen-bond geometry (Å, °) in complexes 1–3 a.

Figure 1.
Molecular structures of complexes 1 (a); 2 (b) and 3 (c) with partial atom labeling schemes and respective structural representations of the 3D networks (in 1 and 3) and dimeric units (in 2) generated by hydrogen bond interactions (in dashed blue lines). In 1 and 3, only one of the components of the disordered terc-butyl group is shown. Symmetry operations to generate equivalent atoms: 1: (i) −1 + x, y, z; (ii) x, −1 + y, z; (iii) x, 1 + y, z; (iv) 1 + x, y, z; (v) 1 − x, 2 − y, 1 − z; (vi) 2 − x, 1 − y, 1 − z. 2: (i) −x, −y,1 − z; (ii) 1 − x, 1 − y, 1 − z; (iii) −1 + x, −1 + y, z. 3: (i) 1 − x, y, ½ − z: (ii) x, 1 − y, ½ + z; (iii) x, 1 + y, z; (iv) 1−x, 1 + y, ½ − z.
Compounds 1 and 2 are mononuclear and 3 is dinuclear with the sulphate ligand chelated in a bridging bidentate mode. In complexes 1–3, the H2L− ligand bind the metal cations in the tridentate ONO (in 1 and 2) or bridging tridentate µ-ONO (in 3) forms via the phenolate oxygens (O1), the imine nitrogens (N1) and the ketonic oxygens (O2) (Figure 1), the latter binding the two metal cations in 3. The C-O bond distances involving the ketonic oxygens (O2), in the 1.272–1.265 Å range, confirm the nature of these bonds. The Cu(II) atoms assume square planar (in 2; τ4 = 0.14) [30] or square pyramidal (in 1 and 3; τ5 = 0.11) [31] geometries, the coordination environments being fulfilled with a chloride anion (in 2), a water and an O-nitrate (in 1) or an O-sulphate anion (in 3). Despite the different geometries and distinct nature of the inorganic anions, the metals are only slightly off [0.059 (1), 0.077 (2) and 0.065 Å (3)] the basal least-square planes. However, in 1 and 2, the metal cations are engaged in just one 5-membered CuN2CO and one 6-membered CuNC3O metallacycle; in 3, two additional metallacycles could be found viz. Cu2O3S and Cu2O2 and thus, as a result of the bridging nature of both the organic ligand and the sulphate anion, each Cu(II) atom is involved in five cycles. Other distinctive features in the structures of the compounds under study concern the co-planarity of the aromatic rings of the H2L− ligands, whose least-square planes make angles of 5.87 (1), 4.49 (2) and 25.76° (3); and the shortest intermolecular Cu···Cu distances which assume values of 5.3831(7) (1), 6.639(2) (2) and 5.409(2) Å (3).
Hydrogen-bond interactions could be found in all compounds (Figure 1 and Table 3), while, in compound 2, such interactions gather the molecules into dimers as a result of intermolecular contacts between the chloride ligands of two vicinal molecules and four crystallization methanol molecules. In the other cases, the inorganic anions (water and nitrate in 1; sulphate in 3) and the crystallization methanol molecules (in 3) are responsible for extending the structure to the third dimension. In all cases, the phenolic and the amine hydrogens also play a role, the latter donating to the O-phenolic (in 3) or, simultaneously to this type of atom and an O-nitrate (in 1) or an O-methanol atom (in 2).
2.2. Catalytic Activity
Peroxidative oxidation of cyclohexane. Following our interest in the Cu-catalyzed oxidative transformation of alkanes under mild conditions [15,32,33,34,35,36], we have chosen cyclohexane (CyH) as a model alkane substrate (Scheme 2) to test the catalytic potential of the synthesized copper compounds 1–3. The catalytic tests were undertaken by reacting at room temperature in MeCN/H2O medium, cyclohexane with aqueous hydrogen peroxide (30% aqueous solution) in the presence of 1–3, either in the absence or in the presence of an acid promoter such as the heteroaromatic 2-pyrazynecarboxylic acid (Hpca), trifluoroacetic acid (TFA) or nitric acid.
Scheme 2.
Oxidation of cyclohexane to cyclohexanol and cyclohexanone with CyOOH as primary product.
In order to confirm the formation of cyclohexyl hydroperoxide (CyOOH) as a primary product, we followed a method proposed by Shul’pin [8,37,38,39] by performing, in some cases, the Gas Ghromatography (GC) analysis of the product twice, before and after addition of PPh3. The amount of alcohol detected by GC significantly increased after addition of PPh3 as a result of the reduction of CyOOH to cyclohexanol (CyOH), with a concomitant decrease of the amount of cyclohexanone (CyO), allowing us to assume the CyOOH as the primary product of this reaction (Scheme 2).
The monocopper(II) 1 and 2 and the dicopper(II) 3 complexes catalyse this reaction very efficiently even in the absence of any additive (Table 4). The dicopper(II) 3 provided the best activity achieving a total yield (cyclohexanone + cyclohexanol) of 18% (relatively to the alkane, Table 4, entry 13) and a turnover number (TON) of 180 (90 per Cu atom), in the absence of any acid co-catalyst, after 6 h reaction. Compounds 1 and 2 exhibit a total yield of 11% and 9% under the same reaction conditions. Further increase of the reaction time from 6 to 24 h increases the total yield of the products from 11% to 29% (for compound 1, entries 1 and 2, Table 4) and from 18% to 39% (for compound 3, entries 13 and 14, Table 4), respectively.
Table 4.
Total yield (cyclohexanol and cyclohexanone) with time in the oxidation of cyclohexane by H2O2 (30% aq. solution) at room temperature in CH3CN catalyzed by 1–3 a.
For the reactions performed in the presence of 1–3 and after 24 h, the reaction mixtures were analyzed before and after its treatment by PPh3 (entries 2, 3, 9, 10, 14 and 15, Table 4) and an important difference in the alcohol/ketone molar ratio was observed. This fact points out [8,37,38,39,40] the presence of cyclohexyl hydroperoxide in the reaction mixture even after a long period of time (24 h) as the primary product of cyclohexane oxidation that decomposes to the corresponding alcohol and ketone.
Furthermore, we have found that the presence of a strong acid co-catalyst, such as HNO3 (65% solution), 2-pyrazynecarboxylic acid (Hpca), trifluoroacetic acid (TFA), improves the catalytic performance of 1–3. For instance, in the presence of 1, a growth in total yield of products from ca. 11% (entry 1, Table 4) in the absence of any additive to 12%, 14% and 18% in the presence of an excess [n(acid)/n(catalyst) = 25] of HNO3 (65% solution) (entry 4, Table 4), Hpca (entry 5, Table 4) and TFA (entry 7, Table 4), respectively.
The promoting effect of an acid co-catalyst was already observed for other Cu-catalysed systems in the oxidative transformation of alkanes [20,35,41,42,43,44,45].
However, it is important to highlight that the levels of activity that have been reached by 1–3 (11%, 9% and 18%, respectively), in the absence of any acid promoter, are significant, and this constitutes already a feature of the present catalytic system. Additionally, a high selectivity towards the formation of cyclohexanol and cyclohexanone is exhibited by our system, since no traces of byproducts were detected by Gas Chromatography–Mass Spectrometry (GC-MS) analysis of the final reaction mixtures. Our yield values are higher than that of the industrial process (4% to reach a good selectivity, at ca. 150 °C) [2,46].
The activity exhibited by compounds 1–3, in the absence of any additive, is higher than that shown e.g., by other efficient Cu(II) systems such as the complexes bearing azathia macrocycles e.g., [Cu(OTf)2(L3)] (L3 = mixed 14-membered N2S2 azathia macrocycle) or [Cu(OTf)(L4)(H2O)](OTf) (L4 = nine-membered NS2 macrocyclic ligand with a 2-methylpyridyl pendant arm) (overall yield of ca. 8%) [41], for the tetranuclear copper(II) complexes [Cu4(µ4-O)(L1)Cl4] and [Cu4(µ4-O)(L2)2Cl4] [H2L1 is a macrocyclic ligand resulted from condensation of 2,6-diformyl-4-methylphenol (DFF) and 1,3-bis(aminopropyl)tetramethyldisiloxane); (HL2 is a 1:2 condensation product of DFF with trimethylsilyl p-aminobenzoate) with an overall yield up to 9%, after 2 h reaction at 50 °C and in the presence of a more concentrated oxidant (H2O2, 50% aq.) [45] or even for the trinuclear aroylhydrazone Cu(II) complexes derived from Schiff base (3,5-di-tert-butyl-2-hydroxybenzylidene)-2-hydroxybenzohydrazide (H3L) in enol form [Cu3(L)2(MeOH)4], [Cu3(L)2(MeOH)2]·2MeOH and [Cu3(L)2(MeOH)4] (overall yield of ca. 5%) [17].
Our 3/H2O2 system provides, in the absence of any additive, higher yields than those reported for the arylhydrazones Cu(II) complexes [Cu(H2O){(CH3)2NCHO}(HL)] or [Cu2(CH3OH)2(µ-HL)2] [47], prepared by reaction of Cu(NO3)2·2.5H2O with the 3-(2-hydroxy-4-carboxyphenylhydrazone)pentane-2,4-dione, wherein, for example, in the presence of the dicopper [Cu2(CH3OH)2(µ-HL)2, a total yield of 14% is reached after 4.5 h of reaction, using a more concentrated oxidant (H2O2, 50% aq. solution) and performing the reaction at 50 °C while the system under the current study is applied at room temperature.
The obtained yield for our 1–3/H2O2 systems are comparable to those achieved in the presence of the copper(II) [Cu(H2L1)(H2O)(im)]·3H2O and [Cu(H2L2)(im)2]·H2O (im = imidazole; H4L1 = 5-(2-(2-hydroxyphenyl)hydrazono)pyrimidine-2,4,6(1H,3H,5H)-trione; H4L2 = 2-(2-(2,4,6-trioxotetra-hydropyrimidin-5(2H)-ylidene)hydrazinyl)benzenesulfonic acid) complexes (yields up to 21% and TON up to 213) in the peroxidative (with H2O2) oxidation of cyclohexane after 6 h reaction at room temperature [48].
Experiments in the presence of carbon (2,2,6,6-tetramethylpiperidine-1-oxyl, TEMPO [49,50] and oxygen (Ph2NH, diphenylamine) radical traps [51,52] were performed in order to establish the nature of the reaction mechanism. Thus, the addition of TEMPO or Ph2NH in a stoichiometric amount relative to cyclohexane leads to a marked inhibition of the products formation (compare entries 18 and 19 with 11, Table 4) leading us to believe that, as in other cases [12,32,35,37,38,53], the reaction proceeds via a radical mechanism, probably involving the formation of an hydroxyl radical (HO•) which can be derived from the reduction of H2O2 by CuI (the latter being formed upon oxidation of H2O2 to HOO• by CuII). The HO• radical conceivably abstracts a hydrogen atom from CyH providing the formation of cyclohexyl radical (Cy•), which reacts with O2 (dissolved in reaction medium) to form cyclohexylperoxy radical (CyOO•). The cyclohexylperoxy radical may be reduced by CuI to the corresponding anion that can be protonated to cyclohexyl hydroperoxide (CyOOH), the primary product of the cyclohexane oxidation, which can undergo a dismutation and produce cyclohexanol, cyclohexanone, and dioxygen. CyOOH can also be formed upon H-abstraction of CyOO• from H2O2 or from the HOO• radical [54].
3. Experimental
3.1. General Materials and Procedures
All synthetic work was performed in air. The reagents and solvents were obtained from commercial sources and used as received, i.e., without further purification or drying. Three different metal sources viz., Cu(NO3)2·2.5H2O, CuCl2·2H2O and CuSO4·5H2O were used for the synthesis of complexes 1–3. C, H, and N elemental analyses were carried out by the Microanalytical Service of the Instituto Superior Técnico. Infrared spectra (4000–400 cm−1) were recorded on a Bruker Vertex 70 instrument (Bruker Corporation, Ettlingen, Germany) in KBr pellets; wavenumbers are in cm−1. The 1H spectra were recorded at room temperature on a Bruker Avance II + 400.13 MHz (UltraShield™ Magnet) spectrometer (Bruker Corporation). The chemical shifts are reported in ppm using tetramethylsilane as the internal reference. The UV-Vis absorption spectra of methanol solutions of 1–3 (ca. 3 × 10−5 M) in 1.00 cm quartz cells were recorded at room temperature on a Lambda 35 UV-Vis spectrophotometer (Perkin-Elmer, Waltham, MA, USA) by scanning the 200–1000 nm region at a rate of 240 nm min−1. Mass spectra were run in a Varian 500-MS LC Ion Trap Mass Spectrometer (Varian Inc., Palo Alto, CA, USA) equipped with an electrospray (ESI) ion source. For electrospray ionization, the drying gas and flow rate were optimized according to the particular sample with 35 p.s.i. nebulizer pressure. Scanning was performed from m/z 100 to 1200 in methanol solution. The compounds were observed in the positive mode (capillary voltage = 80–105 V).
3.2. Typical Procedures for the Catalytic Oxidation of Cyclohexane and Product Analysis
The peroxidative oxidations of cyclohexane with aqueous H2O2 were performed in round bottom flasks with vigorous stirring, under atmospheric pressure at room temperature, during 6 h. The aroylhydrazone Cu(II) complexes (1–3) in the presence of an acid cocatalyst such as nitric acid (HNO3, 65% solution), pyrazinecarboxylic acid (Hpca)] or trifluoroacetic acid (TFA, in the form of a stock solution in acetonitrile) in MeCN (up to 5.0 mL total volume), were introduced into the reaction mixture. Cyclohexane (5 mmol) was then introduced, and the reaction started when hydrogen peroxide (30% aqueous solution, 10 mmol) was added in one portion. The products analysis was performed as follows: 90 µL of cycloheptanone were added as internal standard together with 10.00 mL of diethyl ether, to extract the substrate and the organic products from the reaction mixture. The obtained mixture was stirred for 10 min; then, an aliquot (1 µL) was taken from the organic phase and analyzed by GC using the internal standard method. At the end of the reaction, before the GC analysis, an excess of triphenylphosphine was added, in order to reduce the formed cyclohexyl hydroperoxide to the corresponding alcohol, and to reduce hydrogen peroxide to water, following a method developed by Shul’pin [8,37,38,39,40,55].
Attribution of peaks was made by comparison with chromatograms of authentic samples. Blank experiments were performed and confirmed that no product of cyclohexane oxidation was obtained unless the metal catalyst was used. GC measurements were carried out using a FISONS Instruments GC 8000 series gas chromatograph (Fisons Instruments), equipped with an Flame Ionization Detector FID detector, a DB-WAX capillary column (length: 30 m; internal diameter: 0.32 mm) (Agilent Technologies, Santa Clara, CA, USA), and He as the carrier gas, and run by the Jasco-Borwin v.1.50 software (Jasco, Tokyo, Japan). The temperature of injection was 240 °C. The column was initially maintained at 100 °C for 1 min, and then it was heated up to 180 °C with steps of 10 °C/min, and held at this temperature for 1 min. The attribution of the observed GC peaks was carried out on the basis of chromatograms acquired on pure cyclohexanol and cyclohexanone samples. Besides that, calibration curves were obtained with known concentrations of samples of pure products and standard.
3.3. Preparations
3.3.1. Synthesis of the Pro-Ligand H3L
The Schiff base pro-ligand (3,5-di-tert-butyl-2-hydroxybenzylidene)-2-hydroxybenzohydrazide (H3L) (Scheme 1) was prepared according to literature by the condensation of salicylhydrazide with 3,5-di-tert-butyl-2-hydroxybenzaldehyde [17].
3.3.2. Syntheses of the Cu(II) Complexes
The aroylhyrazone Cu(II) complexes [Cu(H2L)(NO3)(H2O)] (1), [Cu(H2L)Cl]·2MeOH (2) and [{Cu(H2L)}2(µ-SO4)]·2MeOH (3) were prepared by a common method using different Cu(II) salts with anions derived from strong acids; Cu(NO3)2·2.5H2O, CuCl2·2H2O and CuSO4·5H2O, respectively. The synthesis of 1 is indicated below, as the general procedure.
[Cu(H2L)(NO3)(H2O)] (1)
To a 20 mL methanol solution of H3L (0.368 g, 1.00 mmol), Cu(NO3)2·2.5H2O (0.245 g, 1.05 mmol) was added and the reaction mixture was stirred for 15 min at room temperature. The resultant dark green solution was filtered and the filtrate was kept in open air. After two days, green single crystals suitable for X-ray diffraction analysis were isolated. Yield: 0.372 g (73%, with respect to Cu). Anal. Calcd for C22H29CuN3O7 (1): C, 51.71; H, 5.72; N, 8.22. Found: C, 51.64; H, 5.69; N, 8.16. IR (KBr; cm−1): 3390 and 3212 ν(OH), 2956 ν(NH), 1613 ν(C=O), 1384 ν(NO3) and 1198 ν(N–N). UV-Vis max (MeOH, nm (ε, LM−1 cm−1)): 656 (305), 378 (16,478), 285 (23,434), 237 (32,108). ESI-MS (+): m/z = 512 [M + H]+ (100%).
[Cu(H2L)Cl]·2MeOH (2)
Yield: 0.4 g (75%, with respect to Cu). Anal. Calcd for C24H35ClCuN2O5 (2): C, 54.33; H, 6.65; N, 5.28. Found: C, 54.28; H, 6.62; N, 5.23. IR (KBr; cm−1): 3436 and 3203 ν(OH), 2958 ν(NH), 1611 ν(C=O), and 1173 ν(N–N). UV-Vis max (MeOH, nm (ε, LM−1 cm−1)): 526 (338), 380 (18,364), 284 (24,632), 238 (32,328). ESI-MS (+): m/z = 467 [(M-2MeOH) + H]+ (100%).
[{Cu(H2L)}2(µ-SO4)]·2MeOH (3)
Yield: 0.394 g (77%, with respect to Cu). Anal. Calcd for C46H62Cu2N4O12S (3): C, 54.05; H, 6.11; N, 5.48. Found: C, 54.0; H, 6.08; N, 5.44. IR (KBr; cm−1): 3386 and 3218 ν(OH), 2959 ν(NH), 1614 ν(C=O), and 1147 ν(N–N). UV-Vis max (MeOH, nm (ε, LM−1 cm−1)): 632 (228), 382 (14,268), 284 (21,436), 234 (30,018). ESI-MS (+): m/z = 1023 [M + H]+ (100%).
3.4. X-ray Measurements
X-ray quality single crystals of complexes 1–3 were immersed in cryo-oil, mounted in Nylon loops and measured at a temperature of 296 (1 and 3) or 150 K (2). Intensity data were collected using a Bruker AXS-KAPPA APEX II PHOTON 100 diffractometer (Bruker AXS Inc., Madison, WI, USA) with graphite monochromated Mo-Kα (λ 0.71073) radiation. Data were collected using omega scans of 0.5° per frame and full sphere of data were obtained. Cell parameters were retrieved using Bruker SMART [56] software and refined using Bruker SAINT [57] on all the observed reflections. Absorption corrections were applied using SADABS [57]. Structures were solved by direct methods by using SIR-97 [58] and refined with SHELXL–2014 [59]. Calculations were performed using the WinGX-Version 2014.01 [60]. The hydrogen atoms attached to carbon atoms were inserted at geometrically calculated positions and included in the refinement using the riding-model approximation; Uiso(H) were defined as 1.2 Ueq of the parent carbon atoms for phenyl residues and 1.5 Ueq of the parent carbon atoms for the methyl groups. The hydrogen atoms of methanol molecules and of the imine groups were located from the final difference Fourier map and the isotropic thermal parameters were set at 1.5 times the average thermal parameters of the belonging oxygen or nitrogen atoms. One of the terc-butyl groups in 1 and 3 are disordered over two sites of occupancies 0.47:0.51 (in 1) and 0.55:0.45 (in 3) and were refined with the use of PART instructions. Least square refinements with anisotropic thermal motion parameters for all the non-hydrogen atoms and isotropic for the remaining atoms were employed.
4. Conclusions
We have successfully synthesized three new Cu(II) complexes (1–3) derived from the Schiff base (3,5-di-tert-butyl-2-hydroxybenzylidene)-2-hydroxybenzohydrazide (H3L) with the coordinated ligand in keto form. The nature of the starting Cu(II) salts played a key role for stabilizing the keto form over the enol one. Compounds 1–3 are catalysts for the peroxidative oxidation of cyclohexane to a mixture of cyclohexyl hydroperoxide, cyclohexanol and cyclohexanone in the absence of any additive, in NCMe/H2O media and under mild conditions. Cyclohexanol and cyclohexanone are the main products of oxidation (overall yield of 18% for 3, TON of 180), obtained via formation of cyclohexyl hydrogen peroxide (CyOOH) following a radical mechanism as substantiated by radical trap experiments. Yields may be enhanced by prolonging the reaction time achieving e.g., for 3, a maximum overall yield of 39% (maximum TON 392) after 24 h, at room temperature and without any additive or by adding an acid co-catalyst (overall yield of 25% for 3, in the presence of TFA).
Acknowledgments
The authors are grateful to the Fundação para a Ciência e a Tecnologia: FCT (projects UID/QUI/00100/2013, PTDC/QEQ-ERQ/1648/2014 and PTDC/QEQ-QIN/3967/2014), Portugal, for financial support. Manas Sutradhar acknowledges the FCT, Portugal for a postdoctoral fellowship (SFRH/BPD/86067/2012). The authors are also thankful to the Portuguese NMR Network (Instituto Superior Técnico-Universidade de Lisboa Centre) for access to the NMR facility and the IST Node of the Portuguese Network of mass-spectrometry for the ESI-MS measurements.
Author Contributions
M.S. (Synthesis, characterization and manuscript preparation), E.C.B.A.A. (Catalytic Studies and manuscript preparation), M.F.C.G.S (Crystallography and manuscript preparation), L.M.D.R.S.M. (Literature survey and manuscript preparation) and A.J.L.P. (Suggestions, manuscript preparation and corrections).
Conflicts of Interest
The authors declare no conflict of interest.
References
- Bäckvall, J.-E. Modern Oxidation Methods, 2nd ed.; Wiley-VCH: Weinheim, Germany, 2010. [Google Scholar]
- Ullmann’s Encyclopedia of Industrial Chemistry, 6th ed.; Wiley-VCH: Weinheim, Germany, 1999–2013.
- Sheldon, R.A.; Arends, I.; Hanefeld, U. Green Chemistry and Catalysis; Wiley-VCH: Weinheim, Germany, 2007. [Google Scholar]
- Shilov, A.E.; Shul’pin, G.B. Activation and Catalytic Reactions of Saturated Hydrocarbons in the Presence of Metal Complexes; Kluwer Academic Publishers: Dordrecht, The Netherlands, 2000. [Google Scholar]
- Pombeiro, A.J.L. (Ed.) Advances in Organometallic Chemistry and Catalysis, The Silver/Gold Jubilee ICOMC Celebratory Book; J. Wiley & Sons: New York, NY, USA, 2014.
- Shul’pin, G.B. Transition Metals for Organic Synthesis, 2nd ed.; Beller, M., Bolm, C., Eds.; Wiley-VCH: New York, NY, USA, 2004; Volume 2, Chapter 2; pp. 215–242. [Google Scholar]
- Shilov, A.E.; Shul’pin, G.B. Activation of C−H Bonds by Metal Complexes. Chem. Rev. 1997, 97, 2879–2932. [Google Scholar] [CrossRef] [PubMed]
- Shul’pin, G.B. Hydrocarbon Oxygenations with Peroxides Catalyzed by Metal Compounds. Mini Rev. Org. Chem. 2009, 6, 95–104. [Google Scholar] [CrossRef]
- Crabtree, R.H. Alkane C–H activation and functionalization with homogeneous transition metal catalysts: A century of progress—A new millennium in prospect. J. Chem. Soc. Dalton Trans. 2001, 2437–2450. [Google Scholar] [CrossRef]
- Que, L., Jr.; Tolman, W.B. Biologically inspired oxidation catalysis. Nature 2008, 455, 333–340. [Google Scholar] [CrossRef] [PubMed]
- Martins, L.M.D.R.S.; Pombeiro, A.J.L. Tris(pyrazol-1yl)methane metal complexes for catalytic mild oxidative functionalizations of alkanes, alkenes and ketones. Coord. Chem. Rev. 2014, 265, 74–88. [Google Scholar] [CrossRef]
- Da Silva, J.A.L.; Fraústo da Silva, J.J.R.; Pombeiro, A.J.L. Oxovanadium complexes in catalytic oxidations. Coord. Chem. Rev. 2011, 255, 2232–2248. [Google Scholar] [CrossRef]
- Sutradhar, M.; Martins, L.M.D.R.S.; Guedes da Silva, M.F.C.; Pombeiro, A.J.L. Vanadium complexes: Recent progress in oxidation catalysis. Coord. Chem. Rev. 2015, 301, 200–239. [Google Scholar] [CrossRef]
- Sutradhar, M.; Kirillova, M.V.; Guedes da Silva, M.F.C.; Martins, L.M.D.R.S.; Pombeiro, A.J.L. A hexanuclear mixed-valence oxovanadium(IV,V) complex as a highly efficient alkane oxidation catalyst. Inorg. Chem. 2012, 51, 11229–11231. [Google Scholar] [CrossRef] [PubMed]
- Pombeiro, A.J.L. Advances in Organometallic Chemistry and Catalysis; Pombeiro, A.J.L., Ed.; Wiley: Hoboken, NJ, USA, 2013; Chapter 2; pp. 15–25. [Google Scholar]
- Kirillov, A.M.; Kirillova, M.V.; Pombeiro, A.J.L. Multicopper complexes and coordination polymers for mild oxidative functionalization of alkanes. Coord. Chem. Rev. 2012, 256, 2741–2759. [Google Scholar] [CrossRef]
- Sutradhar, M.; Martins, L.M.D.R.S.; Guedes da Silva, M.F.C.; Liu, C.-M.; Pombeiro, A.J.L. Trinuclear Cu(II) structural isomers: Coordination, magnetism, electrochemistry and catalytic activity toward oxidation of alkanes. Eur. J. Inorg. Chem. 2015, 2015, 3959–3969. [Google Scholar] [CrossRef]
- Contaldi, S.; di Nicola, C.; Garau, F.; Karabach, Y.Y.; Martins, L.M.D.R.S.; Monari, M.; Pandolfo, L.; Pettinari, C.; Pombeiro, A.J.L. New coordination polymers based on the triangular [Cu3(μ3-OH)(μ-pz)3]2+ unit and unsaturated carboxylates. Dalton Trans. 2009, 4928–4941. [Google Scholar] [CrossRef] [PubMed]
- Di Nicola, C.; Garau, F.; Karabach, Y.Y.; Martins, L.M.D.R.S.; Monari, M.; Pandolfo, L.; Pettinari, C.; Pombeiro, A.J.L. Trinuclear triangular copper(II) clusters—Synthesis, electrochemical studies and catalytic peroxidative oxidation of cycloalkanes. Eur. J. Inorg. Chem. 2009, 2009, 666–676. [Google Scholar] [CrossRef]
- Kopylovich, M.N.; Nunes, A.C.C.; Mahmudov, K.T.; Haukka, M.; MacLeod, T.C.O.; Martins, L.M.D.R.S.; Kuznetsov, M.L.; Pombeiro, A.J.L. Complexes of copper(II) with 3-(ortho-substituted phenylhydrazo)pentane-2,4-diones: Syntheses, properties and catalytic activity for cyclohexane oxidation. Dalton Trans. 2011, 40, 2822–2836. [Google Scholar] [CrossRef] [PubMed]
- Hazra, S.; Mukherjee, S.; Guedes da Silva, M.F.C.; Pombeiro, A.J.L. A cyclic tetranuclear cuboid type copper(II) complex doubly supported by cyclohexane-1,4-dicarboxylate: Molecular and supramolecular structure and cyclohexane oxidation activity. RSC Adv. 2014, 4, 48449–48457. [Google Scholar] [CrossRef]
- Mahmudov, K.T.; Kopylovich, M.N.; Pombeiro, A.J.L. Coordination chemistry of arylhydrazones of methylene active compounds. Coord. Chem. Rev. 2013, 257, 1244–1281. [Google Scholar] [CrossRef]
- Sutradhar, M.; Pombeiro, A.J.L. Coordination chemistry of non-oxido, oxido and dioxidovanadium(IV/V) complexes with azine fragment ligands. Coord. Chem. Rev. 2014, 265, 89–24. [Google Scholar] [CrossRef]
- Sutradhar, M.; Kirillova, M.V.; Guedes da Silva, M.F.C.; Liu, C-M.; Pombeiro, A.J.L. Tautomeric effect of hydrazone Schiff bases in tetranuclear Cu(II) complexes: Magnetism and catalytic activity towards mild hydrocarboxylation of alkanes. Dalton Trans. 2013, 42, 16578–16587. [Google Scholar] [CrossRef] [PubMed]
- Sutradhar, M.; Alegria, E.C.B.A.; Mahmudov, K.T.; Guedes da Silva, M.F.C.; Pombeiro, A.J.L. Iron(III) and cobalt(III) complexes with both tautomeric (keto and enol) forms of aroylhydrazone ligands: Catalysts for the microwave assisted oxidation of alcohols. RSC Adv. 2016. [Google Scholar] [CrossRef]
- Mahmudov, K.T.; Sutradhar, M.; Guedes da Silva, M.F.C.; Martins, L.M.D.R.S.; Ribera, A.; Nunes, A.V.M.; Gahramanova, S.I.; Marchetti, F.; Pombeiro, A.J.L. MnII and CuII complexes with arylhydrazones of active methylene compounds as effective heterogeneous catalysts for solvent- and additive-free microwave-assisted peroxidative oxidation of alcohols. RSC Adv. 2015, 5, 25979–25987. [Google Scholar] [CrossRef]
- Nasani, R.; Saha, M.; Mobin, S.M.; Martins, L.M.D.R.S.; Pombeiro, A.J.L.; Kirillov, A.M.; Mukhopadhyay, S. Copper–organic frameworks assembled from in situ generated 5-(4-pyridyl)tetrazole building blocks: Synthesis, structural features, topological analysis and catalytic oxidation of alcohols. Dalton Trans. 2014, 43, 9944–9954. [Google Scholar] [CrossRef] [PubMed]
- Sutradhar, M.; Roy Barman, T.; Klanke, J.; Drew, M.G.B.; Rentschler, E. A novel Cu(II) dimer containing oxime-hydrazone Schiff base ligands with an unusual mode of coordination: Study of magnetic, autoreduction and solution properties. Polyhedron 2013, 53, 48–55. [Google Scholar] [CrossRef]
- Faggi, E.; Gavara, R.; Bolte, M.; Fajarí, L.; Juliá, L.; Rodríguezb, L.; Alfonso, I. Copper(II) complexes of macrocyclic and open-chain pseudopeptidic ligands: Synthesis, characterization and interaction with dicarboxylates. Dalton Trans. 2015, 44, 12700–12710. [Google Scholar] [CrossRef] [PubMed]
- Yang, L.; Powell, D.R.; Houser, R.P. Structural variation in copper(I) complexes with pyridylmethylamide ligands: Structural analysis with a new four-coordinate geometry index, τ4. Dalton Trans. 2007, 955–964. [Google Scholar] [CrossRef] [PubMed]
- Addison, A.W.; Rao, T.N.; Reedijk, J.; van Rijn, J.; Verschoor, G.C. Synthesis, structure, and spectroscopic properties of copper(ii) compounds containing nitrogen-sulphur donor ligands; the crystal and molecular structure of aqua[l,7-bis(N-methylbenzimidazol-2′-yl)-2,6-dithiaheptane]copper(II) perchlorate. J. Chem. Soc. Dalton Trans. 1984, 1349–1356. [Google Scholar] [CrossRef]
- Kopylovich, M.N.; Mahmudov, K.T.; Guedes da Silva, M.F.C.; Kuznetsov, M.L.; Figiel, P.J.; Karabach, Y.Y.; Luzyanin, K.V.; Pombeiro, A.J.L. Ortho-Hydroxyphenylhydrazo-β-Diketones: Tautomery, Coordination Ability, and Catalytic Activity of Their Copper(II) Complexes toward Oxidation of Cyclohexane and Benzylic Alcohols. Inorg. Chem. 2011, 50, 918–931. [Google Scholar] [CrossRef] [PubMed]
- Kirillova, M.V.; Kirillov, A.M.; Mandelli, D.; Carvalho, W.A.; Pombeiro, A.J.L.; Shul’pin, G.B. Mild homogeneous oxidation of alkanes and alcohols including glycerol with tert-butyl hydroperoxide catalyzed by a tetracopper(II) complex. J. Catal. 2010, 272, 9–16. [Google Scholar] [CrossRef]
- Shul’pin, G.B.; Gradinaru, J.; Kozlov, Y.N. Alkane hydroperoxidation with peroxides catalysed by copper complexes. Org. Biomol. Chem. 2003, 1, 3611–3617. [Google Scholar] [CrossRef] [PubMed]
- Kirillova, M.V.; Kozlov, Y.N.; Shul’pina, L.S.; Lyakin, O.Y.; Kirillov, A.M.; Talsi, E.P.; Pombeiro, A.J.L.; Shul’pin, G.B. Remarkably fast oxidation of alkanes by hydrogen peroxide catalyzed by a tetracopper(II) triethanolaminate complex: Promoting effects of acid co-catalysts and water, kinetic and mechanistic features. J. Catal. 2009, 268, 26–38. [Google Scholar] [CrossRef]
- Kirillov, A.M.; Kirillova, M.V.; Shul’pina, L.S.; Figiel, P.J.; Gruenwald, K.R.; Guedes da Silva, M.F.C.; Haukka, M.; Pombeiro, A.J.L.; Shul’pin, G.B. Mild oxidative functionalization of alkanes and alcohols catalyzed by new mono- and dicopper(II) aminopolyalcoholates. J. Mol. Catal. A Chem. 2011, 350, 26–34. [Google Scholar] [CrossRef]
- Kirillova, M.V.; Kuznetsov, M.L.; Kozlov, Y.N.; Shul’pina, L.S.; Kitaygorodskiy, A.; Pombeiro, A.J.L.; Shul’pin, G.B. Participation of Oligovanadates in Alkane Oxidation with H2O2 Catalyzed by Vanadate Anion in Acidified Acetonitrile: Kinetic and DFT Studies. ACS Catal. 2011, 1, 1511–1520. [Google Scholar] [CrossRef]
- Shul’pin, G.B. Metal-catalyzed hydrocarbon oxygenations in solutions: The dramatic role of additives: A review. J. Mol. Catal. A: Chem. 2002, 189, 39–66. [Google Scholar] [CrossRef]
- Shul’pin, G.B.; Kozlov, Y.N.; Shul’pina, L.S.; Kudinov, A.R.; Mandelli, D. Extremely Efficient Alkane Oxidation by a New Catalytic Reagent H2O2/Os3(CO)12/Pyridine. Inorg. Chem. 2009, 48, 10480–10482. [Google Scholar] [CrossRef] [PubMed]
- Shul’pin, G.B.; Kozlov, Y.N.; Shul’pina, L.S.; Petrovskiy, P.V. Oxidation of alkanes and alcohols with hydrogen peroxide catalyzed by complex Os3(CO)10(µ-H)2. Appl. Organomet. Chem. 2010, 24, 464–472. [Google Scholar] [CrossRef]
- Fernandes, R.R.; Lasri, J.; Kirillov, A.M.; Guedes da Silva, M.F.C.; Silva, J.A.L.; Fraústo da Silva, J.J.R.; Pombeiro, A.J.L. New FeII and CuII Complexes Bearing Azathia Macrocycles-Catalyst Precursors for Mild Peroxidative Oxidation of Cyclohexane and 1-Phenylethanol. Eur. J. Inorg. Chem. 2011, 3781–3790. [Google Scholar] [CrossRef]
- Milunovic, M.N.M.; Martins, L.M.D.R.S.; Alegria, E.C.B.A.; Pombeiro, A.J.L.; Krachler, R.; Trettenhahn, G.; Turta, C.; Shova, S.; Arion, V.B. Hexanuclear and Undecanuclear Iron(III) Carboxylates as Catalyst Precursors for Cyclohexane Oxidation. Dalton Trans. 2013, 42, 14388–14401. [Google Scholar] [CrossRef] [PubMed][Green Version]
- Mishra, G.S.; Alegria, E.C.B.; Martins, L.M.D.R.S.; Fraústo da Silva, J.J.R.; Pombeiro, A.J.L. Cyclohexane oxidation with dioxygen catalyzed by supported pyrazole rhenium complexes. J. Mol. Catal. A 2008, 285, 92–100. [Google Scholar] [CrossRef]
- Martins, L.M.D.R.S.; Martins, A.; Alegria, E.C.B.A.; Carvalho, A.P.; Pombeiro, A.J.L. Efficient cyclohexane oxidation with hydrogen peroxide catalysed by a C-scorpionate iron(II) complex immobilized on desilicated MOR zeolite. Appl. Catal. A. 2013, 464, 43–50. [Google Scholar] [CrossRef]
- Zaltariov, M.-F.; Alexandru, M.; Cazacu, M.; Shova, S.; Novitchi, G.; Train, C.; Dobrov, A.; Kirillova, M.V.; Alegria, E.C.B.A.; Pombeiro, A.J.L.; Arion, V.B. Tetranuclear copper(II) complexes with macrocyclic and open-chain disiloxane ligands as catalyst precursors for hydrocarboxylation and oxidation of alkanes and 1-phenylethanol. Eur. J. Inorg. Chem. 2014, 29, 4946–4956. [Google Scholar] [CrossRef]
- Weissermel, K.; Arpe, H.J. Industrial Organic Chemistry, 2nd ed.; VCH Verlagsgesellschaft: Weinheim, Germany, 1993. [Google Scholar]
- Kopylovich, M.N.; Gajewska, M.J.; Mahmudov, K.T.; Kirillova, M.V.; Figiel, P.J.; Guedes da Silva, M.F.C.; Gil-Hernández, B.; Sanchizd, J.; Pombeiro, A.J.L. Copper(II) complexes with a new carboxylic-functionalized arylhydrazone of β-diketone as effective catalysts for acid-free oxidations. New J. Chem. 2012, 36, 1646–1654. [Google Scholar] [CrossRef]
- Palmucci, J.; Mahmudov, K.T.; Guedes da Silva, M.F.C.; Martins, L.M.D.R.S.; Marchetti, F.; Pettinari, C.; Pombeiro, A.J.L. Arylhydrazones of barbituric acid: Synthesis, coordination ability and catalytic activity of their CoII, CoII/III and CuII complexes toward peroxidative oxidation of alkanes. RSC Adv. 2015, 5, 84142–84152. [Google Scholar] [CrossRef]
- Sheldon, R.A. E factors, green chemistry and catalysis: An odyssey. Chem. Commun. 2008, 29, 3352–3365. [Google Scholar] [CrossRef] [PubMed]
- Michel, C.; Belanzoni, P.; Gamez, P.; Reedijk, J.; Baerends, E.J. Activation of the C-H Bond by Electrophilic Attack: Theoretical Study of the Reaction Mechanism of the Aerobic Oxidation of Alcohols to Aldehydes by the Cu(bipy)2+/2,2,6,6-Tetramethylpiperidinyl-1-oxy Cocatalyst System. Inorg. Chem. 2009, 48, 11909–11920. [Google Scholar] [CrossRef] [PubMed]
- Moiseeva, I.N.; Gekham, A.E.; Minin, V.V.; Larin, G.M.; Bashtanov, M.E.; Krasnovskii, A.A.; Moiseev, I.I. Free radical/singlet dioxygen system under the conditions of catalytic hydrogen peroxide decomposition. Kinet. Catal. 2000, 41, 170–177. [Google Scholar] [CrossRef]
- Mattalia, J.M.; Vacher, B.; Samat, A.; Chanon, M.J. Mechanistic investigation of the reaction between α-sulfonyl carbanions and polyhalogenmethanes. Electron transfer versus polar pathways. J. Am. Chem. Soc. 1992, 114, 4111–4119. [Google Scholar] [CrossRef]
- Kuznetsov, M.L.; Pombeiro, A.J.L. Radical Formation in the [MeReO3]-Catalyzed Aqueous Peroxidative Oxidation of Alkanes: A Theoretical Mechanistic Study. Inorg. Chem. 2009, 48, 307–318. [Google Scholar] [CrossRef] [PubMed]
- Shul’pin, G.B.; Süss-Fink, G. Oxidations by the reagent “H2O2-vanadium complex-pyrazine-2-carboxylic acid”. Part 4. Oxidation of alkanes, benzene and alcohols by an adduct of H2O, with urea. J. Chem. Soc. Perkin Trans. 1995, 2, 1459–1463. [Google Scholar] [CrossRef]
- Shul’pin, G.B. C-H functionalization: Thoroughly tuning ligands at a metal ion, a chemist can greatly enhance catalyst’s activity and selectivity. Dalton Trans. 2013, 42, 12794–12818. [Google Scholar] [CrossRef] [PubMed]
- APEX2; Bruker AXS Inc.: Madison, WI, USA, 2004.
- SAINT; Bruker AXS Inc.: Madison, WI, USA, 2004.
- Altomare, A.; Burla, M.C.; Camalli, M.; Cascarano, G.L.; Giacovazzo, C.; Guagliardi, A.; Moliterni, A.G.G.; Polidori, G.; Spagna, R. SIR97: A new tool for crystal structure determination and refinement. J. Appl. Cryst. 1999, 32, 115–119. [Google Scholar] [CrossRef]
- Sheldrick, G.M. A short history of SHELX. Acta Crystallogr. Sect. A 2008, 64, 112–122. [Google Scholar] [CrossRef] [PubMed]
- Farrugia, L.J. WinGX suite for small-molecule single-crystal crystallography. J. Appl. Crystallogr. 1999, 32, 837. [Google Scholar] [CrossRef]
- Sample Availability: Samples of the compounds are available from the authors.
© 2016 by the authors. Licensee MDPI, Basel, Switzerland. This article is an open access article distributed under the terms and conditions of the Creative Commons by Attribution (CC-BY) license ( http://creativecommons.org/licenses/by/4.0/).



