Quorum Sensing Inhibitory Activity of Giganteone A from Myristica cinnamomea King against Escherichia coli Biosensors
Abstract
:1. Introduction
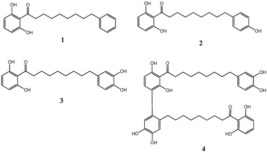
2. Results and Discussion
3. Materials and Methods
3.1. General Procedures
3.2. Plant Material
3.3. Extraction and Isolation
3.4. Biosensors and Growth Conditions
3.5. Quantification of Bioluminescence for Anti-QS Assay
3.6. Statistical Analysis
4. Conclusions
Acknowledgments
Author Contributions
Conflicts of Interest
References
- Aliyu, A.B.; Koorbanally, N.A.; Moodley, B.; Singh, P.; Chenia, H.Y. Quorum sensing inhibitory potential and molecular docking studies of sesquiterpene lactones from Vernonia blumeoides. Phytochemistry 2016. [Google Scholar] [CrossRef] [PubMed]
- Sheng, J.Y.; Chen, T.T.; Tan, X.J.; Chen, T.; Jia, A.Q. The quorum-sensing inhibiting effects of stilbenoids and their potential structure-activity relationship. Bioorg. Med. Chem. Lett. 2015, 25, 5217–5220. [Google Scholar] [CrossRef] [PubMed]
- Swem, L.R.; Swem, D.L.; O’Loughlin, C.T.; Gatmaitan, R.; Zhao, B.; Ulrich, S.M.; Bassler, B.L. A quorum-sensing antagonist targets both membrane-bound and cytoplasmic receptors and controls bacterial pathogenicity. Mol. Cell 2009, 352, 143–153. [Google Scholar] [CrossRef] [PubMed]
- Hentzer, M.; Givskov, M. Pharmacological inhibition of quorum sensing for the treatment of chronic bacterial infections. J. Clin. Investig. 2003, 112, 1300–1307. [Google Scholar] [CrossRef] [PubMed]
- Hong, K.W.; Koh, C.L.; Sam, C.K.; Yin, W.F.; Chan, K.G. Quorum quenching revisited-from signal decays to signaling confusion. Sensors 2012, 12, 4661–4696. [Google Scholar] [CrossRef] [PubMed]
- Seidemann, J. World Spice Plants: Economic Usage, Botany, Taxonomy; Springer-Verlag: Berlin/Heidlberg, Germany, 2005. [Google Scholar]
- Sivasothy, Y.; Loo, K.Y.; Leong, K.H.; Litaudon, M.; Awang, K. A potent alpha-glucosidase inhibitor from Myristica cinnamomea King. Phytochemistry 2016, 122, 265–269. [Google Scholar] [CrossRef] [PubMed]
- Chong, Y.M.; Yin, W.F.; Ho, C.Y.; Mustafa, M.R.; Hadi, A.H.A.; Awang, K.; Narrima, P.; Koh, C.L.; Appelton, D.R.; Chan, K.G. Malabaricone C from Myristica cinnamomea exhibits anti-quorum sensing activity. J. Nat. Prod. 2011, 74, 2261–2264. [Google Scholar] [CrossRef] [PubMed]
- Pham, V.C.; Jossang, A.; Sevenet, T.; Bodo, B. Cytotoxic acylphenols from Myristica maingayi. Tetrahedron 2000, 56, 1707–1713. [Google Scholar] [CrossRef]
- Pham, V.C.; Jossang, A.; Sevenet, T.; Bodo, B. Novel cytotoxic acylphenol dimers of Myristica gigantea; enzymatic synthesis of giganteones A and B. Tetrahedron 2002, 58, 5709–5714. [Google Scholar] [CrossRef]
- Chang, C.Y.; Krishnan, T.; Wang, H.; Chen, Y.; Yin, W.F.; Chong, Y.M.; Chan, K.G. Non-antibiotic quorum sensing inhibitors acting against N-acyl homoserine lactone synthase as druggable target. Sci. Rep. 2014, 4. [Google Scholar] [CrossRef] [PubMed]
- Figueroa, M.; Jarmusch, A.K.; Raja, H.A.; El-Elimat, T.; Kavanaugh, J.S.; Horswill, A.R.; Oberlies, N.H. Polyhydroxyanthraquinones as quorum sensing inhibitors from the guttates of Penicillium restrictum and their analysis by desorption electrospray ionization mass spectrometry. J. Nat. Prod. 2014, 77, 1351–1358. [Google Scholar] [CrossRef] [PubMed]
- Hentzer, M.; Riedel, K.; Rasmussen, T.B.; Heydorn, A.; Andersen, J.B.; Parsek, M.R.; Givskov, M. Inhibition of quorum sensing in Pseudomonas aeruginosa biofilm bacteria by a halogenated furanone compound. Microbiology 2002, 148, 87–102. [Google Scholar] [CrossRef] [PubMed]
- Tan, L.Y.; Yin, W.F.; Chan, K.G. Piper nigrum, Piper betle and Gnetumgnemon—Natural food source with anti-quorum sensing properties. Sensors 2013, 13, 3975–3985. [Google Scholar] [CrossRef] [PubMed]
- Winson, M.K.; Swift, S.; Fish, L.; Throup, J.P.; Jorgensen, F.; Chhabra, S.R.; Stewart, G.S. Construction and analysis of luxCDABE-based plasmid sensors for investigating N-acylhomoserine lactone-mediated quorum sensing. FEMS Microbiol. Lett. 1998, 163, 185–192. [Google Scholar] [CrossRef] [PubMed]
- Winzer, K.; Falconer, C.; Garber, N.C.; Diggle, S.P.; Camara, M.; Williams, P. The Pseudomonas aeruginosa lectins PA-IL and PA-IIL are controlled by quorum sensing and by RpoS. J. Bacteriol. 2000, 182, 6401–6411. [Google Scholar] [CrossRef] [PubMed]
- Krishnan, T.; Yin, W.F.; Chan, K.G. Inhibition of quorum sensing-controlled virulence factor production in Pseudomonas aeruginosa PAO1 by Ayurveda spice clove (Syzygium aromaticum) bud extract. Sensors 2012, 12, 4016–4030. [Google Scholar] [CrossRef] [PubMed]
- Priya, K.; Yin, W.F.; Chan, K.G. Anti-quorum sensing activity of the Chinese traditional herb, Phyllantus amarus. Sensors 2013, 13, 14558–14569. [Google Scholar] [CrossRef] [PubMed]
- Sample Availability: Samples of the compounds are not available from the authors.








| Biosensors | Description | Source |
|---|---|---|
| Escherichia coli [pSB401] | luxRluxl’ (Photobacterium fischeri [ATCC 7744]): luxCDABE (Photorhabdus luminescens [ATCC 29999]) fusion; pACYC184-derived, TetR, AHL biosensor producing bioluminescence in respond to short chain AHL | [15] |
| Escherichia coli [pSB1075] | lasRlasl’ (P. aeruginosa PAO1): luxCDABE (P. luminescens [ATCC 29999]) fusion in pUC18 AmpR, AHL biosensor producing bioluminescence in respond to long chain AHL | [15] |
© 2016 by the authors. Licensee MDPI, Basel, Switzerland. This article is an open access article distributed under the terms and conditions of the Creative Commons by Attribution (CC-BY) license ( http://creativecommons.org/licenses/by/4.0/).
Share and Cite
Sivasothy, Y.; Krishnan, T.; Chan, K.-G.; Abdul Wahab, S.M.; Othman, M.A.; Litaudon, M.; Awang, K. Quorum Sensing Inhibitory Activity of Giganteone A from Myristica cinnamomea King against Escherichia coli Biosensors. Molecules 2016, 21, 391. https://doi.org/10.3390/molecules21030391
Sivasothy Y, Krishnan T, Chan K-G, Abdul Wahab SM, Othman MA, Litaudon M, Awang K. Quorum Sensing Inhibitory Activity of Giganteone A from Myristica cinnamomea King against Escherichia coli Biosensors. Molecules. 2016; 21(3):391. https://doi.org/10.3390/molecules21030391
Chicago/Turabian StyleSivasothy, Yasodha, Thiba Krishnan, Kok-Gan Chan, Siti Mariam Abdul Wahab, Muhamad Aqmal Othman, Marc Litaudon, and Khalijah Awang. 2016. "Quorum Sensing Inhibitory Activity of Giganteone A from Myristica cinnamomea King against Escherichia coli Biosensors" Molecules 21, no. 3: 391. https://doi.org/10.3390/molecules21030391
APA StyleSivasothy, Y., Krishnan, T., Chan, K.-G., Abdul Wahab, S. M., Othman, M. A., Litaudon, M., & Awang, K. (2016). Quorum Sensing Inhibitory Activity of Giganteone A from Myristica cinnamomea King against Escherichia coli Biosensors. Molecules, 21(3), 391. https://doi.org/10.3390/molecules21030391

