Next Article in Journal
Salidroside Regulates Inflammatory Response in Raw 264.7 Macrophages via TLR4/TAK1 and Ameliorates Inflammation in Alcohol Binge Drinking-Induced Liver Injury
Previous Article in Journal
cDNA Isolation and Functional Characterization of UDP-d-glucuronic Acid 4-Epimerase Family from Ornithogalum caudatum
 
 
Font Type:
Arial Georgia Verdana
Font Size:
Aa Aa Aa
Line Spacing:
Column Width:
Background:
Article

Double Intramolecular Transacetalization of Polyhydroxy Acetals: Synthesis of Conformationally-Restricted 1,3-Dioxanes with Axially-Oriented Phenyl Moiety

by
Samuel Asare-Nkansah
1 and
Bernhard Wünsch
1,2,*
1
Institut für Pharmazeutische und Medizinische Chemie der Westfälischen Wilhelms-Universität Münster, Corrensstraße 48, D-48149 Münster, Germany
2
Cells-in-Motion Cluster of Excellence (EXC 1003–CiM), Westfälische Wilhelms-Universität Münster, D-48149 Münster, Germany
*
Author to whom correspondence should be addressed.
Molecules 2016, 21(11), 1503; https://doi.org/10.3390/molecules21111503
Submission received: 14 October 2016 / Revised: 31 October 2016 / Accepted: 3 November 2016 / Published: 9 November 2016
(This article belongs to the Section Medicinal Chemistry)

Abstract

:
The synthesis of conformationally-restricted 1,3-dioxanes with a phenyl moiety fixed in an axial orientation at the acetalic center is described. Starting with diethyl 3-hydroxyglutarate (15), benzaldehyde acetal 12a and acetophenone ketal 12b bearing a protected 1,3,5-trihydroxypentyl side chain in the o-position were prepared. The first acid-catalyzed intramolecular transacetalization gave a mixture of diastereomeric 2-benzofurans 18 (ratio of diastereomers 2:2:1:1). After OH group deprotection, the second intramolecular transacetalization afforded tricyclic alcohol 14a (2-(1,5-epoxy-1,3,4,5-tetrahydro-2-benzoxepin-3-yl]ethan-1-ol). Analogous cyclizations led to the corresponding silyl ether 22a (19%) and azide 23a (13%). Whereas tricyclic alcohol 14a was obtained as a 1:1 mixture of diastereomers, the silyl ether 22a and the azide 23a afforded only one diastereomer. This observation indicates a faster cyclization of the minor diastereomers providing the thermodynamically-favored compounds with equatorially-oriented substituents in the 3-position of the tricyclic 1,5-epoxy-2-benzoxepine system. In general, acetophenone-derived ketalic compounds (b-series) required very mild reaction conditions and gave lower yields than the corresponding acetalic compounds (a-series).

Graphical Abstract

1. Introduction

Heterocycles with two O-atoms in the acetalic position, such as 1,3-dioxoles, 1,3-dioxolanes, and homologous 1,3-dioxanes, are found in several important biologically-active compounds. The 1,3-dioxole ring is present in the natural product galipinine (1), found in the roots of Galipea officinalis, which is active against some chloroquine-resistant Plasmodium falciparum strains [1]. The broad-spectrum antifungal agents ketoconazole (2), terconazole (3), and itraconazole (4) [2,3,4], contain the 1,3-dioxolane ring. This five-membered heterocycle is also found in dexoxadrol (5) and etoxadrol (6), showing analgesic and anesthetic activity due to uncompetitive antagonism at the N-methyl-d-aspartate (NMDA) receptor [5,6,7] (Figure 1).
Enlargement of the 1,3-dioxolane ring of dexoxadrol (5) and etoxadrol (6) led to 1,3-dioxanes with high NMDA and σ1 receptor antagonistic activity. The 1,3-dioxane 7 with an aminoethyl substituent at the 4-position is a potent uncompetitive antagonist at the phencyclidine (1-(1-phenylcyclohexyl)piperidine, PCP) binding site of the NMDA receptor (Ki = 13 nM [6], Figure 1). The PCP affinity of the 1,3-dioxane 7 is even higher than the PCP affinity of the corresponding 1,3-dioxolane derivative [6]. Removal of the ethyl moiety at the acetalic position and the introduction of a benzyl moiety at the N-atom led to 1,3-dioxane 8 with very high σ1 receptor affinity (Ki = 19 nM). Moreover, 1,3-dioxane 8 shows very high analgesic activity in the capsaicin assay [5]. 1,3-Dioxane 9 with substituents at the 5-position in addition to two phenyl moieties at the 2-position, reveals multi-drug resistance (MDR) modulatory properties (IC50 = 11.2 μM) [8], which are even higher than the MDR modulatory activities of the analogous 1,3-dioxolane with a similar substitution pattern [6,8,9].
A common structural feature of the pharmacologically-active compounds 29 shown in Figure 1 is the phenyl moiety at the acetalic position. Structure-activity-relationship (SAR) studies with flexible 1,3-dioxolane- and 1,3-dioxane-based NMDA receptor antagonists led to the hypothesis that one phenyl moiety in an axially perpendicular orientation at the acetalic 2-position of the oxygen heterocycle is required for high NMDA receptor affinity [5,10,11]. 1,3-Dioxane 8 with an equatorially oriented phenyl moiety at the 2-position shows rather low PCP affinity, but rather high σ1 receptor affinity [5].
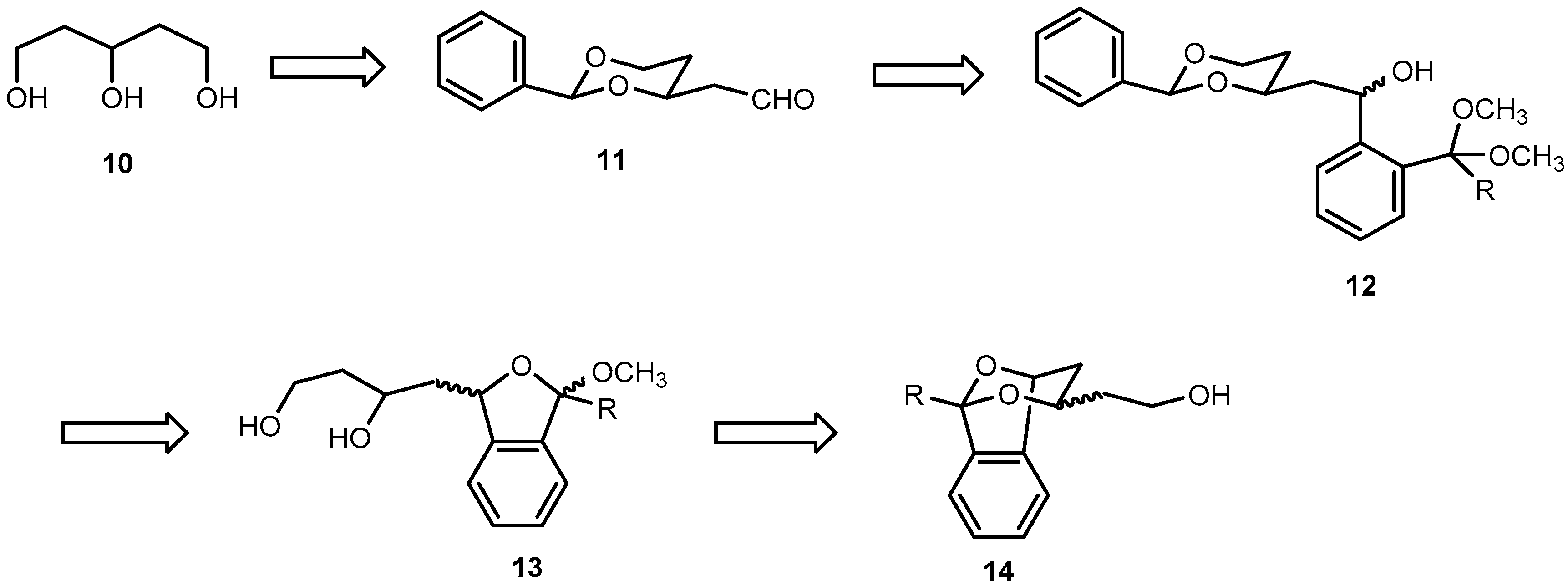
In order to obtain insight into the preferred orientation of the phenyl moiety at the 1,3-dioxane ring, conformationally-restricted 1,3-dioxanes of type 14 (Figure 2) were envisaged bearing a phenyl moiety, which is forced to adopt an axial orientation. Herein we report on the synthesis of the tricyclic compounds 14 resulting from the 1,3-dioxanes 79 by connecting a phenyl moiety with the carbon atom at the 6-position of the 1,3-dioxane ring. In the tricyclic compounds 14 the phenyl ring is fixed in the axial orientation and, moreover, its rotation along the phenyl-C(acetal) bond is blocked.

2. Synthesis

The plan for the synthesis of tricyclic compounds 14 is based on two subsequent intramolecular transacetalization reactions. At first, aldehyde 11 will be prepared by acetalization of pentane-1,3,5-triol (10) with benzaldehyde and subsequent oxidation of the primary alcohol. Reaction of 11 with an arylmetal derivative bearing an acetalic substituent in the o-position will provide the secondary alcohols 12 (Scheme 1). Starting from 12, the first intramolecular transacetalization will establish the benzofuran ring, and the second intramolecular transacetalization after cleavage of the 1,3-dioxane ring (13) will afford the tricyclic system 14.
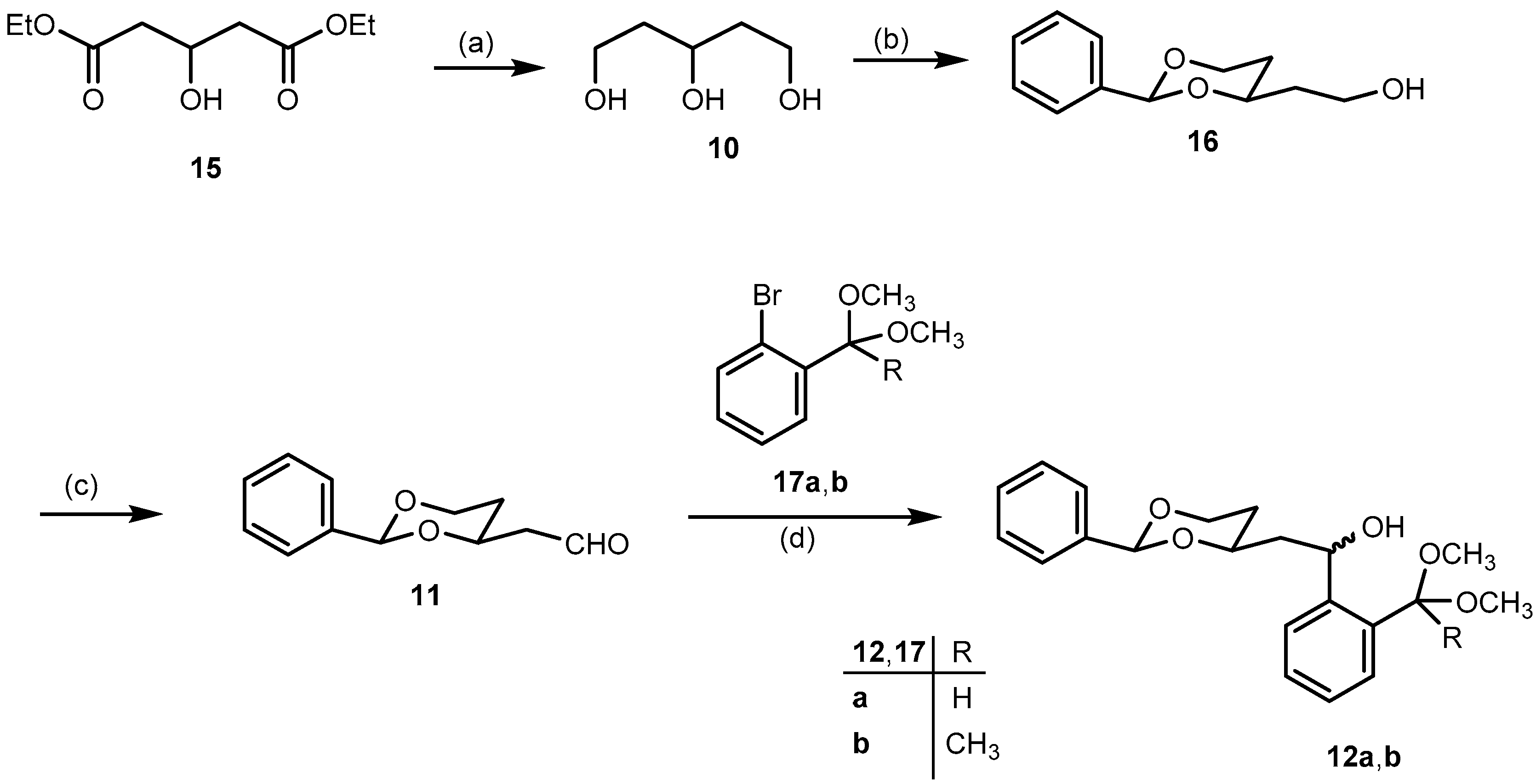
For the synthesis of pentane-1,3,5-triol (10) the diester 15 was reduced with LiAlH4. Careful workup resulted in 97% yield of triol 10 [12]. (Scheme 1) Acetalization of benzaldehyde with triol 10 afforded stereoselectively the cis-configured 1,3-dioxane 16 in 85% yield [13,14,15]. Swern oxidation [16] of the primary alcohol 16 with DMSO and oxalyl chloride provided aldehyde 11 in 92% yield [13].
Treatment of aryl bromides 17a,b [17,18] with n-butyllithium at −78 °C led to the corresponding aryllithium intermediates, which reacted with the aldehyde 11 to give the secondary alcohols 12a,b. Both alcohols 12a and 12b were isolated as a mixture of two diastereomers in the ratio 2:1. The ratio of diastereomeric alcohols 12a and 12b was determined by integration of characteristic methyne signals (PhCH(dioxane), R2CHOH, PhCH(OCH3)2) in the 1H-NMR spectra.
The intramolecular transacetalization of 12a required careful optimization of the reaction conditions in order to avoid the cleavage of the 1,3-dioxane moiety. Various acid catalysts in different solvents (e.g., pTosOH in CH2Cl2, AcOH in CH2Cl2, and AcOH in CHCl3) were investigated. The highest yield of the 2-benzofuran 18a (89%) was obtained using pTosOH in toluene within 2 h at room temperature. However, the concentration of pTosOH has to be carefully controlled in order to avoid complete decomposition of the compounds (Scheme 2).
Unexpectedly, treatment of the alcohol 12b with the optimized reaction conditions for the cyclization of 12a to 18a led to decomposition within 45 min. It is assumed that the higher reactivity of the ketal of 12b (forming a more stable carbenium ion) compared to the acetal 12a is responsible for this decomposition reaction. Therefore, milder reaction conditions were investigated. Low amounts of pTosOH in a 1:1-mixture of cyclohexane and toluene afforded the desired benzofuran 18b in 71% yield.
For the second intramolecular transacetalization the benzaldehyde acetal of 18 protecting the hydroxy moieties of the side chain had to be cleaved. Catalytic amounts of p-toluenesulfonic acid (pTosOH) in a mixture of methanol and water (4:1) led to cleavage of the 1,3-dioxane ring, providing the diols 13a and 13b in 87% and 55% yields, respectively. The conversion of benzofuran 18b with ketalic substructure into diol 13b was slower and gave lower yields (55%) than the preparation of diol 13a (87%) from the acetalic benzofuran 18a (Scheme 2). In general, it was observed that substrates with a ketalic substructure (12b, 18b) require milder reaction conditions than the corresponding analogues 12a and 18a with an acetalic system.
The benzofurans 18a,b, as well as the diols 13a,b, were obtained as mixtures of four diastereomers in the ratio 2:2:1:1. The ratio of diastereomers was derived from the relative intensities of the four signals for 1-H of the 2-benzofuran ring.
Although it was expected that the intramolecular transacetalization of diols 13 should easily provide six-membered acetals 14 (1,3-dioxane in the tricyclic scaffold), the synthesis of 14 was rather challenging. Several variations were investigated in order to detect the best reaction conditions. The transformation of 13a into 14a was performed in polar and nonpolar solvents (DMF, AcOH, CHCl3, toluene), with different acids (pTosOH, AcOH and HCl in AcOH), at r.t. up to 90 °C for periods between 3 h and 7 d producing 14a in yields between 10%–46%. However, due to purification problems the yield of pure tricyclic alcohol 14a (1:1 mixture of diastereomers) did not exceed 17% (pTosOH, toluene, 85 °C, 72 h).
As shown for the reactions of ketals 12b and 18b, the final cyclization starting with the ketal 13b required very mild reaction conditions in order to avoid decomposition. Finally, the tricyclic alcohol 14b was obtained as a 1:1 mixture of diastereomers in 6% yield after stirring the diol 13b in a toluene/AcOH mixture at r.t. for 72 h.
It was hypothesized that the low yields of the tricyclic alcohols 14a and 14b could be due to competition between the secondary and primary alcohol of 13 leading to the desired compounds 14 or compounds with an eight-membered acetalic ring. Therefore, the primary alcohol of 13a was protected regioselectively with TBDMS-Cl to provide the silyl ether 19a in 58% yield. Treatment of the silyl ether 19a with HCl in AcOH led to the tricyclic silyl ether 22a in 19% yield. Although a mixture of four diastereomers (ratio 2:2:1:1) was employed in this reaction, only one diastereomer of the tricyclic silyl ether was isolated (see discussion of the stereochemistry below). The 1H-NMR spectrum of the recovered starting material 19a indicated that the minor diastereomers of the silyl ether 19a had reacted faster than the major diastereomers.
Next, the primary alcohol of 13a should be converted into an azide. For this purpose, the diol 13a was reacted with pTosCl in the presence of catalytic amounts of Bu2SnO [19] in refluxing CH2Cl2 to afford, regioselectively, the tosylate 20a as a mixture of four diastereomers (ratio 2:2:1:1) in 51% yield. Substitution of the tosylate 20a with NaN3 led to the azide 21a in 92% yield (Scheme 2). It was assumed that the intramolecular transacetalization of azide 21a should result in higher yields than the reaction of diol 13a, since the competing primary alcohol was no longer present. The conversion of azidoalcohol 21a into tricyclic azide 23a was achieved with pTosOH in toluene (85 °C). Unexpectedly, only one isomer of 23a was isolated in 13% yield (see discussion of the stereochemistry below). The 1H-NMR spectrum of the recovered starting material 21a showed only signals for the two major diastereomers of 21a. It was concluded that the minor diastereomers of 21a reacted faster to form the tricyclic azide 23a than the major diastereomers. The lower reactivity of the major diastereomers may explain the low yields of the tricyclic azide 23a.
In order to determine the relative configuration of the diastereomerically-pure silyl ether 22a and the azide 23a, the 1H-NMR signals produced by the protons in the 3-, 4-, and 5-positions were analyzed. In both compounds the axially-oriented proton in the 4-position causes a ddd signal with two large coupling constants of 13 Hz and 11 Hz, and one small coupling constant of 3.7 Hz. The largest coupling constant (13 Hz) belongs to the geminal coupling of 4-Hax with 4-Heq. The small coupling constant reflects the interaction between 4-Hax and the equatorially-oriented 5-H. The remaining coupling constant of 11 Hz can only be explained by an 1,2-diaxial position of adjacent protons. Therefore, the proton in the 3-position has to adopt an axial orientation resulting in equatorial position of the substituted ethyl moiety in the 3-position.

3. Experimental Section

3.1. General

Unless otherwise stated, moisture-sensitive reactions were conducted under dry nitrogen. THF was dried with sodium/benzophenone and was freshly distilled before use. Similarly, dichloromethane and methanol were distilled from calcium hydride and magnesium methanolate, respectively. For the regulation of temperature below 0 °C a cryostat (EK 90, Thermo Haake, Karlsruhe, Germany) or acetone/dry ice bath (−78 °C) was used. Solvents and liquid reagents were added to the reaction mixture with disposable syringes. Thin layer chromatography (TLC): silica gel 60 F254 plates (Merck, Darmstadt, Germany). Flash chromatography (fc): silica gel 60, 40–64 μm (Merck); parentheses include: diameter of the column, length of column, fraction size, eluent, Rf value. IR: IR spectrophotometer IRAffinity with MIRacle 10 accessory FT-ATR-IR (Shimadzu, Duisburg, Germany). 1H-NMR (400 MHz), 13C-NMR (100 MHz): Mercury plus 400 spectrometer (Varian, Willich, Germany); 1H-NMR (600 MHz), 13C-NMR (151 MHz): Agilent Technologies (Waldbronn, Germany) 600/54 premium spectrometer: δ in ppm related to tetramethylsilane; coupling constants are given with 0.5 Hz resolution; 1H- and 13C-NMR spectra are shown in the Supplementary Materials. MS: EI = electron impact, ESI = electro spray ionization: MicroTof (Bruker Daltronics, Bremen, Germany), calibration with sodium formate clusters (ESI) and fatty acid esters (atmospheric pressure chemical ionization (APCI)) before measurement.

3.2. HPLC Method to Determine the Purity of the Compounds

Merck Hitachi equipment; UV detector: L-7400; autosampler: L-7200; pump: L-7100; degasser: L-7614; Method A: column: LiChrospher® 60 RP-select B (5 μm), 250–4 mm cartridge; flow rate: 1.00 mL/min; injection volume: 5.0 μL; detection λ = 210 nm; solvents: A: water with 0.05% (v/v) trifluoroacetic acid; B: acetonitrile with 0.05% (v/v) trifluoroacetic acid: gradient elution: (A%): 0–4 min: 90%, 4–29 min: gradient from 90% to 0%, 29–31 min: 0%, 31–31.5 min: gradient from 0% to 90%, 31.5–40 min: 90%.

3.3. Synthetic Procedures

Pentane-1,3,5-triol (10) [12]. Under N2 atmosphere and ice cooling (0 °C), diethyl 3-hydroxyglutarate (15, 5.31 g, 26 mmol) in dry THF (10 mL) was added dropwise to a suspension of LiAlH4 (2.43 g, 64 mmol) in dry THF (60 mL). The reaction mixture was heated at 66 °C for 72 h. The excess of LiAlH4 was quenched with cold water (50 mL) under ice cooling until a completely white precipitate was observed. A solution of H2SO4 (1/4 conc.) was added dropwise to the mixture under ice cooling until the precipitate dissolved completely (pH 1). The reaction mixture was then heated to reflux for 12 h and the THF was removed under reduced pressure. The resulting aqueous mixture was alkalized with NH3 solution (25%) until a gelatinous precipitate of Al(OH)3 was observed (pH 10). The precipitate was removed by suction filtration, and the residue was washed with water (3 × 50 mL). The filtrate was concentrated in vacuo, and the residue was heated to reflux in CH3OH (150 mL) for 4 h. The mixture was then filtered to remove the insoluble Li2SO4. The residue was washed with CH3OH (3 × 50 mL). The combined filtrate was concentrated in vacuo, and the crude product was purified by fc (Ø = 6 cm, h = 15 cm, ethyl acetate:methanol = 9:1, V = 20 mL, Rf = 0.21). Colorless oil, yield 2.9 g (97%). C5H12O3 (120.1). Exact mass (APCI): m/z = 121.0871, calcd. 121.0859 for C5H12O3 [MH]+. 1H-NMR (400 MHz, CD3OD): δ [ppm] = 1.58–1.75 (m, 4H, CH2CHOHCH2), 3.69 (t, J = 6.5 Hz, 4H, CH2OH), 3.87 (tt, J = 8.4/4.5 Hz, 1H, CHOH). Signals for the OH protons are not observed in the spectrum. 13C-NMR (100 MHz (CD3)2SO): δ [ppm] = 40.6 (2C, CH2CHOH), 58.3 (2C, CH2OH), 65.2 (1C, CHOH). FTIR (neat): ν (cm−1) = 3298 (O-H), 2940, 2886 (C-H), 1042 (C-O).
2-[(2RS,4SR)-2-Phenyl-1,3-dioxan-4-yl]ethanol (16). p-Toluenesulfonic acid (50 mg, 0.3 mmol) was added to a solution of pentane-1,3,5-triol (10, 0.64 g, 5.3 mmol) and benzaldehyde (1.1 mL, 1.1 g, 11 mmol) in dry CH2Cl2 (25 mL). Then anhydrous Na2SO4 (3.80 g, 27 mmol) was added and the reaction mixture was stirred at r.t. for 24 h. The reaction mixture was filtered to remove Na2SO4, and the residue was washed with CH2Cl2 (3 × 10 mL). The combined filtrate was washed with saturated aqueous solution of NaHCO3 (3 × 10 mL). The aqueous layer was extracted with CH2Cl2 (2 × 10 mL). The combined organic layer was washed with brine (10 mL) and dried (Na2SO4). The solvent was removed in vacuo, and the crude product was purified by fc (Ø = 3 cm, h = 18 cm, cyclohexane:ethyl acetate = 1:1, V = 20 mL, Rf = 0.25). Colorless oil, yield 0.90 g (85%). C12H16O3 (208.3). Exact mass (APCI): m/z = 209.1155, calcd. 209.1172 for C12H16O3 [MH]+. 1H-NMR (400 MHz, CD2Cl2): δ [ppm] = 1.52 (dtd, J = 13.3/2.5/1.4 Hz, 1H, 5-Heq), 1.79 (dddd, J = 14.5/6.6/5.2/4.0 Hz, 1H, CH2CH2OH), 1.83–1.90 (m, 2H, CH2CH2OH (1H), 5-Hax (1H), 2.07 (t, J = 4.6 Hz, 1H, CH2OH), 3.73–3.84 (m, 2H, CH2OH), 3.98 (ddd, J = 12.4/11.4/2.6 Hz, 1H, 6-Hax), 4.10 (tdd, J = 11.1/4.0/2.4 Hz, 1H, 4-Hax), 4.25 (ddd, J = 11.4/5.1/1.4 Hz, 1H, 6-Heq), 5.53 (s, 1H, 2-Hax), 7.32–7.40 (m, 3H, Harom), 7.43–7.50 (m, 2H, Harom). 13C-NMR (100 MHz, CD2Cl2): δ [ppm] = 31.8 (1C, C-5dioxane), 38.9 (1C, CH2CH2OH), 60.4 (1C, CH2OH), 67.5 (1C, C-6dioxane), 76.7 (1C, C-4dioxane), 101.7 (1C, C-2dioxane), 126.6 (2C, Carom), 128.7 (2C, Carom), 129.2 (1C, Carom), 139.5 (1C, Cqarom). FTIR (neat): ν (cm−1) = 3410, 3383 (O-H), 2947, 2859 (C-H), 1454, 1400, 1366 (C=Carom), 1215, 1138, 1099 (C-O), 748, 698 (C-Harom monosubst).
2-[(2RS,4RS)-2-Phenyl-1,3-dioxan-4-yl)acetaldehyde (11). Under N2 atmosphere, a solution of oxalyl chloride in CH2Cl2 (3.0 mL, 6.0 mmol) was added in one portion to dry CH2Cl2 (10 mL) and the resulting solution was cooled down to −78 °C. Then a solution of dry (CH3)2SO (0.6 mL, 8.0 mmol) in dry CH2Cl2 (10 mL) was added dropwise (10 mL/h via a syringe pump). The reaction mixture was stirred at −78 °C for 15 min. Then a solution of alcohol 16 (0.84 g, 4.0 mmol) in dry CH2Cl2 (10 mL) was added dropwise (10 mL/h via a syringe pump), and the mixture was stirred at −78 °C for another 20 min. Finally, Et3N (2.9 mL, 20 mmol) was added in one portion, and the mixture was stirred at −78 °C for additional 10 min. The mixture was allowed to warm to r.t. The reaction mixture was diluted with Et2O (20 mL) and the precipitate was filtered off. The residue was washed with Et2O (2 × 20 mL) and the combined filtrate was concentrated in vacuo. The crude product was purified by fc (Ø = 3 cm, h = 17 cm, cyclohexane:ethyl acetate = 8:2, V = 20 mL, Rf = 0.30). Colorless oil, yield 0.70 g (92%). C12H14O3 (206.2). Exact mass (APCI): m/z = 207.1008, calcd. 207.1016 for C12H15O3 [MH]+. 1H-NMR (400 MHz, CD2Cl2): δ [ppm] = 1.61 (dtd, J = 13.3/2.5/1.4 Hz, 1H, 5-Heq), 1.86 (dddd, J = 13.2/12.2/11.3/5.0 Hz, 1H, 5-Hax), 2.60 (ddd, J = 16.8/4.8/1.6 Hz, 1H, CH2CHO), 2.74 (ddd, J = 16.8/7.6/2.4 Hz, 1H, CH2CHO), 3.95–4.04 (m, 1H, 6-Hax), 4.25 (ddd, J = 11.5/5.0/1.4 Hz, 1H, 6-Heq), 4.42 (dddd, J = 11.2/7.5/4.8/2.5 Hz, 1H, 4-Hax), 5.55 (s, 1H, 2-Hax), 7.30–7.41 (m, 3H, Harom), 7.41–7.50 (m, 2H, Harom), 9.81 (dd, J = 2.4/1.6 Hz, 1H, CH2CHO). 13C-NMR (100 MHz, CD2Cl2): δ [ppm] = 31.6 (1C, C-5dioxane), 50.0 (1C, CH2CHO), 67.3 (1C, C-6dioxane), 72.8 (1C, C-4dioxane), 101.7 (1C, C-2dioxane), 126.6 (2C, Carom), 128.6 (2C, Carom), 129.3 (1C, Carom), 139.2 (1C, Cqarom), 200.8 (1C, CH2CHO). FTIR (neat): ν (cm−1) = 2855 (C-H), 1721 (C=O), 1238, 1142, 1099 (C-O), 752, 698 (C-Harom monosubst).
2-{(1RS)-2-[(2RS,4RS)- and (2SR,4SR)-4-Phenyl-1,3-dioxan-2-yl]-1-hydroxyethyl}benzaldehyde dimethyl acetal (12a). Under N2 atmosphere, a solution of bromoacetal 17a (0.72 g, 3.1 mmol) in dry THF (10 mL) was cooled down to −78 °C. Then 1.6 M n-butyllithium in n-hexanes (2.0 mL, 3.1 mmol) was added dropwise over 15 min, and the reaction mixture was stirred at −78 °C for 10 min. Then a solution of aldehyde 11 (0.43 g, 2.1 mmol) in dry THF (5 mL) was added dropwise over 15 min. The reaction mixture was stirred at −78 °C for 2 h, and was then allowed to warm to r.t. overnight. Under ice cooling, water (15 mL) was added dropwise to the reaction mixture. THF was removed in vacuo from the mixture and the resulting aqueous layer was extracted with CHCl3 (3 × 20 mL). The combined organic layer was washed with brine (15 mL), dried (Na2SO4,), filtered, and the solvent was removed in vacuo. The crude product was purified by fc (Ø = 3 cm, h = 18 cm, cyclohexane: ethyl acetate = 8:2, V = 20 mL, Rf = 0.26). Pale yellow oil, yield 0.70 g (93%), mixture of two diastereomers (2:1). C21H26O5 (358.4). Exact Mass (APCI): m/z = 325.1437, calcd. 325.1434 for C20H21O4 [M − HOCH3 − H]+; m/z = 295.1325, calcd. 295.1329 for C19H19O3 [M − HOCH3 − OCH3]+. MS (ESI): m/z = 381 [M + Na]+, 295 [M − HOCH3 − OCH3]+. 1H-NMR (400 MHz, CD3OD-d4): δ [ppm] = 1.54 (dtd, J = 13.3/2.6/1.4 Hz, 0.33H, 5-Heqo), 1.59 (dtd, J = 13.3/2.5/1.4 Hz, 0.67H, 5-Heqm), 1.68–1.97 (m, 2.34H, CH2CHOHm (2 × 0.67H), 5-Haxo+m (1H)), 2.14 (dt, J = 13.9/7.5 Hz, 2 × 0.33H, CH2CHOH°), 3.18 (s, 3 × 0.67H, OCH3m), 3.22 (s, 3 × 0.33H, OCH3o), 3.27 (s, 3 × 0.67H, OCH3m), 3.27 (s, 3 × 0.33H, OCH3o), 3.84–4.04 (m, 2H, 6-Heqo (0.33H), 4-Haxm (0.67H), 6-Haxo+m (1H)), 4.12–4.28 (m, 1H, 4-Haxo (0.33H), 6-Heqm (0.67H)), 5.36 (dd, J = 7.9/5.8 Hz, 0.67H, CHOHm), 5.42–5.47 (m, 1H, CHOHo (0.33H), (CH(OCH3)2m (0.67H)), 5.51 (s, 0.33H, 2-Haxo), 5.57 (s, 0.67H, 2-Haxm), 5.59 (s, 0.33H, CH(OCH3)2o), 7.20–7.29 (m, 2 × 0.67H, Harom), 7.30–7.40 (m, 4H, Harom), 7.44–7.48 (m, 2H, Harom), 7.49–7.55 (m, 0.67H, Harom), 7.59 (ddd, J = 7.8/4.1/1.3 Hz, 1H, Harom). Ratio of diastereomers 67:33. o = minor isomer; m = major isomer. 13C-NMR (151 MHz, DMSO-d6): δ [ppm] = 30.6m (0.67C, C-5dioxane), 31.4o (0.33C, C-5dioxane), 45.3m (0.67C, CH2CHOH), 46.2o (0.33C, CH2CHOH), 53.3m (2 × 0.67C, OCH3), 53.5o (2 × 0.33C, OCH3), 63.5o (0.33C, CHOH), 64.1m (0.67C, CHOH), 66.3o+m (1C, C-6dioxane), 73.4o (0.33C, C-4dioxane), 74.4m (0.67C, C-4dioxane), 100.2o (0.33C, CH(OCH3)2), 100.3m (0.67C, CH(OCH3)2), 100.97m (0.67C, C-2dioxane), 101.0o (0.33C, C-2dioxane), 125.6m (0.67C, Carom), 125.7o (0.33C, Carom), 126.06m (0.67C, Carom), 126.08m (2 × 0.67C, Carom), 126.10o (2 × 0.33C, Carom), 126.13o (0.33C, Carom), 126.3o (0.33C, Carom), 126.5m (0.67C, Carom), 127.9m (0.67C, Carom), 128.0m (2 × 0.67C, Carom), 128.4o (0.33C, Carom), 128.5o+m (1C, Carom), 128.53m (0.67C, Carom), 133.9o (0.33C, Cqarom), 134.1m (0.67C, Cqarom), 139.0m (0.67C, Cqarom), 139.2o (0.33C, Cqarom), 144.2m (0.67C, Cqarom), 144.8o (0.33C, Cqarom). Ratio of diastereomers 67:33. o = minor isomer; m = major isomer. FTIR (neat): ν (cm−1) = 3460 (O-H), 2947 (C-H), 1454 (C=Caromatic), 1099 (C-O), 752, 698 (C-Harom mono- and 1,2-disubst).
1-{2-[(1RS)-2-[(2RS,4RS)- and (2SR,4SR)-2-Phenyl-1,3-dioxan-4-yl]-1-hydroxyethyl]phenyl}ethanone dimethyl ketal (12b). Under N2 atmosphere, a solution of 2′-bromoacetophenone dimethyl ketal (17b, 0.95 g, 3.7 mmol) in dry THF (12 mL) was cooled down to −78 °C. Then 2.5 M n-butyllithium in n-hexanes (1.5 mL, 3.7 mmol) was added dropwise over 15 min. The reaction mixture was stirred at −78 °C for 10 min. A solution of aldehyde 11 (0.51 g, 2.5 mmol) in dry THF (6 mL) was added dropwise over 18 min. The reaction mixture was stirred at −78 °C for 2 h, then it was allowed to warm to r.t. overnight. Under ice cooling, water (15 mL) was added dropwise to the reaction mixture. THF was removed in vacuo from the mixture and the resulting aqueous layer was extracted with chloroform (3 × 20 mL). The combined organic layer was washed with brine (15 mL), dried (Na2SO4), filtered, and the solvent removed in vacuo. The crude product was purified by fc (Ø = 2 cm, h = 15 cm, cyclohexane:ethyl acetate = 8:2, V = 20 mL, Rf = 0.40). Pale yellow oil, yield 0.89 g (97%), mixture of two diastereomers (2:1). C22H28O5 (372.5). Exact Mass (APCI): m/z = 310.1536, calcd. 310.1569 for C20H22O3 [M − HOCH3 − OCH3 + H]+. MS (ESI): m/z = 395 [M + Na]+. 1H-NMR (400 MHz, DMSO-d6): δ [ppm] = 1.46 (s, 3 × 0.33H, CH3C(OCH3)2o), 1.50 (s, 3 × 0.67H, CH3C(OCH3)2m), 1.53–1.79 (m, 3.34H, 5-Heqo+m (1H), 5-Haxo+m (1H), CH2CHOHm (2 × 0.67H)), 1.91–2.02 (m, 2 × 0.33H, CH2CHOHo), 3.01 (s, 3 × 0.67H, OCH3m), 3.07 (2s, 6 × 0.33H, OCH3o), 3.10 (s, 3 × 0.67H, OCH3m), 3.93 (qd, J = 11.4/2.7 Hz, 1H, 6-Haxo+m), 4.05–4.25 (m, 2H, 4-Haxo+m (1H), 6-Heqo+m (1H)), 4.97 (2d, J = 4.8 Hz, 1H, CHOHo+m), 5.34 (ddd, J = 10.0/5.0/3.0 Hz, 0.67H, CHOHm), 5.51 (s, 1H, 2-Haxm (0.67H), CHOHo (0.33H)), 5.55 (s, 0.33H, 2-Haxo), 7.18 (dtd, J = 8.3/7.1/1.5 Hz, 2 × 0.67H, Haromm), 7.25–7.36 (m, 4H, Haromo+m), 7.36–7.41 (m, 2 × 0.67H, Haromm), 7.44 (ddd, J = 8.0/6.5/1.8 Hz, 2 × 0.67H, Haromm), 7.60 (td, J = 8.0/1.4 Hz, 1H, Haromo+m). Ratio of diastereomers 67:33. o = minor isomer; m = major isomer. 13C-NMR (101 MHz, DMSO-d6): δ [ppm] = 25.7o (0.33C, CH3), 25.9m (0.67C, CH3), 30.9m (0.67C, C-5dioxane), 32.0o (0.33C, C-5dioxane), 45.9m (0.67C, CH2CHOH), 46.8o (0.33C, CH2CHOH), 48.85m (2 × 0.67C, OCH3), 48.88o (2 × 0.33C, OCH3), 63.8o (0.33C, CHOH), 64.4m (0.67C, CHOH), 66.77m (0.67C, C-6dioxane), 66.80o (0.33C, C-6dioxane), 74.1o (0.33C, C-4dioxane), 75.2m (0.67C, C-4dioxane), 100.6o (0.33C, C-2dioxane), 100.9m (0.67C, C-2dioxane), 102.1o (0.33C, C(OCH3)2), 102.3m (0.67C, C(OCH3)2), 126.5o (2 × 0.33C, Carom), 126.54m (2 × 0.67C, Carom), 126.6o (0.33C, Carom), 126.61o (0.33C, Carom), 126.7m (0.67C, Carom), 126.8m (0.67C, Carom), 128.15o (0.33C, Carom), 128.16m (0.67C, Carom), 128.2m (0.67C, Carom), 128.24o (0.33C, Carom), 128.3o (2 × 0.33C, Carom), 128.34m (2 × 0.67C, Carom), 128.8o (0.33C, Carom), 128.9m (0.67C, Carom), 138.5o (0.33C, Cqarom), 138.7m (0.67C, Cqarom), 139.5m (0.67C, Cqarom), 139.7o (0.33C, Cqarom), 144.9m (0.67C, Cqarom), 145.6o (0.33C, Cqarom). Ratio of diastereomers 67:33. o = minor isomer; m = major isomer. FTIR (neat): ν (cm−1) = 3487 (OH), 2924, 2851 (C-H), 1450 (C=Caromatic), 1099 (C-O), 760, 698 (C-Harom mono- and 1,2-disubst).
1-Methoxy-3-[(2-phenyl-1,3-dioxan-4-yl)methyl]-1,3-dihydro-2-benzofuran (18a) (four diastereomers). A solution of p-toluenesulfonic acid in toluene (0.5 mg/mL, 18 mL) was added to alcohols 12a (0.33 g, 0.9 mmol). The reaction mixture was stirred vigorously at r.t. for 2 h. Saturated aqueous solution of NaHCO3 (30 mL) was added and the organic layer was separated. The aqueous layer was extracted with CH2Cl2 (2 × 10 mL). The combined organic layer was washed with brine (20 mL), dried (Na2SO4), filtered, and the solvent was removed in vacuo. The crude product was purified by fc (Ø = 2 cm, h = 15 cm, cyclohexane: ethyl acetate = 9:1, V = 10 mL, Rf = 0.39). Colorless oil, yield 0.27 g (89%), mixture of four diastereomers (2:2:1:1). C20H22O4 (326.4). Exact Mass (APCI): m/z = 295.1330, calcd. 295.1329 for C19H19O3 [M − OCH3]+; m/z = 221.0973, calcd. 221.1172 for C13H17O3 [M − PhCO]+. MS (ESI): m/z = 349 [M + Na]+, 295 [M – OCH3]+, 277 [M − OCH3 − H2O]+, 221 [M − PhCO]+. 1H-NMR (400 MHz, DMSO-d6): δ [ppm] = 1.59–2.02 (m, 3.34H, 5-Heqo+m (1H), 5-Haxo+m (1H), CHCH2CHo+m+o (2 × 0.67H)), 2.04–2.27 (m, 2 × 0.33H, CHCH2CHm), 3.33 (s, 3 × 0.17H, OCH3o), 3.34 (s, 3 × 0.33H, OCH3m), 3.40 (s, 3 × 0.17H, OCH3o), 3.41 (s, 3 × 0.33H, OCH3m), 3.95–4.08 (m, 1.34H, 6-Haxo+m (1H), 4-Haxo (2 × 0.17H)), 4.16–4.34 (m, 1.66H, 4-Haxm (2 × 0.33H), 6-Heqo+m (1H)), 5.34 (dt, J = 10.4/4.6 Hz, 0.50H, 3-Hbfo+m), 5.43–5.50 (m, 0.50H, 3-Hbfo+m), 5.58 (s, 0.33H, 2-Haxm), 5.61 (s, 0.33H, 2-Haxm), 5.66 (2s, 2 × 0.17H, 2-Haxo), 6.12 (s, 0.33H, 1-Hbfm), 6.14 (s, 0.17H, 1-Hbfo), 6.20 (d, J = 2.1 Hz, 0.17H, 1-Hbfo), 6.22 (d, J = 2.1 Hz, 0.33H, 1-Hbfm), 7.34–7.45 (m, 16 × 0.33H + 18 × 0.17H, Harom), 7.48–7.54 (m, 2 × 0.33H, Harom). Ratio of diastereomers 33:33:17:17. o = minor isomer; m = major isomer; bf = benzofuran. 13C-NMR (101 MHz, DMSO-d6): δ [ppm] = 31.0m (0.33C, C-5dioxane), 31.2m (0.33C, C-5dioxane), 32.1o (2 × 0.17C, C-5dioxane), 41.9m (0.33C, CHCH2CH), 43.0o (0.17C, CHCH2CH), 43.5m (0.33C, CHCH2CH), 44.7o (0.17C, CHCH2CH), 54.0o (0.17C, OCH3), 54.1m (0.33C, OCH3), 54.3o (0.17C, OCH3), 54.5m (0.33C, OCH3), 66.6o+m (0.50C, C-6dioxane), 66.7m (0.33C, C-6dioxane), 67.4o (0.17C, C-6dioxane), 73.8m (0.33C, C-4dioxane), 74.0o (0.17C, C-4dioxane), 74.1m (0.33C, C-4dioxane), 74.2o (0.17C, C-4dioxane), 78.8o (0.17C, C-3), 79.0o (0.17C, C-3), 79.03m (0.33C, C-3), 79.3m (0.33C, C-3), 100.5m (0.33C, C-2dioxane), 100.6m (0.33C, C-2dioxane), 100.7o (0.17C, C-2dioxane), 100.74o (0.17C, C-2dioxane), 106.2o (0.17C, C-1), 106.3m (0.33C, C-1), 106.6o (0.17C, C-1), 106.7m (0.33C, C-1), 121.6o (0.17C, Carom), 121.8o (0.17C, Carom), 121.84m (0.33C, Carom), 122.0m (0.33C, Carom), 123.4m (2 × 0.33C, Carom), 123.42o (2 × 0.17C, Carom), 126.4m (2 × 0.33C, Carom), 126.42m (2 × 0.33C, Carom), 126.5o (2 × 0.17C, Carom), 126.53o (2 × 0.17C, Carom), 128.06m (0.33C, Carom), 128.10o+m (0.50C, Carom), 128.2o (0.17C, Carom), 128.26m ( 2 × 0.33C, Carom), 128.3m (2 × 0.33C, Carom), 128.38o (2 × 0.17C, Carom), 128.39o (2 × 0.17C, Carom), 128.8m (0.33C, Carom), 128.81o (2 × 0.17C, Carom), 128.9m (0.33C, Carom), 129.6o+m (0.50C, Carom), 129.61o+m (0.50C, Carom), 137.7o (0.17C, Cqarom), 137.74o (0.17C, Cqarom), 137.8m (2 × 0.33C, Cqarom), 139.3o (2 × 0.17C, Cqarom), 139.34m (0.33C, Cqarom), 139.4m (0.33C, Cqarom), 143.3m (0.33C, Cqarom), 143.4m (0.33C, Cqarom), 143.5o (0.17C, Cqarom), 143.51o (0.17C, Cqarom). Ratio of diastereomers 33:33:17:17. o = minor isomer; m = major isomer. FTIR (neat): ν (cm−1) = 2947, 2858 (C-H), 1458 (C=Caromatic), 1096 (C-O), 752, 698 (C-Harom mono- and 1,2-disubst).
1-Methoxy-1-methyl-3-[(2-phenyl-1,3-dioxan-4-yl)methyl]-1,3-dihydro-2-benzofuran (18b) (four diastereomers). A solution of p-toluenesulfonic acid in toluene (25 mL, 1 mg/mL) was added to a solution of alcohols 12b (0.89 g, 2.4 mmol) in cyclohexane (25 mL). The reaction mixture was stirred vigorously at r.t. for 2 h. Saturated aqueous solution of NaHCO3 (30 mL) was added and the organic layer was separated. The aqueous layer was extracted with CH2Cl2 (2 × 10 mL). The combined organic layer was washed with brine (20 mL), dried (Na2SO4), filtered, and the solvent was removed in vacuo. The crude product was purified by fc (Ø = 2 cm, h = 15 cm, cyclohexane:ethyl acetate = 9:1, V = 10 mL, Rf = 0.40). Pale yellow oil, yield 0.58 g (71%), mixture of four diastereomers (2:2:1:1). C21H24O4 (340.4). MS (ESI): m/z = 657 [2(M − OCH3) + K]+, 363 [M + Na]+, 309 [M − OCH3]+. 1H-NMR (400 MHz, DMSO-d6): δ [ppm] = 1.55–1.65 (m, 3.66H, CH3C(OCH3)o+m (3H), 5-Heqm (2 × 0.33H)), 1.70–1.83 (m, 1.34H, 5-Heqo (2 × 0.17H), 5-Haxo+m (1H)), 1.91–2.19 (m, 2H, CHCH2CHo+m), 2.82 (s, 3 × 0.17H, OCH3o), 2.84 (s, 1.5H, OCH3o+m), 2.94 (s, 3 × 0.33H, OCH3m), 3.94 (dd, J = 11.7/2.9 Hz, 2 × 0.33H, 6-Hax m), 3.97–4.04 (m, 0.67H, 6-Haxo (2 × 0.17H), 6-Heqm (0.33H)), 4.12–4.16 (m, 2 × 0.33H, 4-Haxm), 4.19 (ddd, J = 8.9/5.6/3.2 Hz, 0.33H + 2 × 0.17H, 6-Heq o+m+o), 4.23 (dt, J = 7.1, 2.1 Hz, 2 × 0.17H, 4-Haxo), 5.24 (ddd, J = 16.6/9.6/3.5 Hz, 2 × 0.17H, 3-Hbfo), 5.39–5.47 (m, 2 × 0.33H, 3-Hbfm), 5.52 (s, 0.33H, 2-Haxm), 5.60 (s, 0.33H, 2-Haxm), 5.63 (2s, 2 × 0.17H, 2-Haxo), 7.23 (qd, J = 3.8/1.6 Hz, 1H, Haromo+m), 7.26–7.43 (m, 7H, Haromo+m), 7.46 (ddd, J = 7.4/3.8/1.9 Hz, 1H, Haromo+m). Ratio of diastereomers 33:33:17:17. o = minor isomer; m = major isomer; bf = benzofuran. 13C-NMR (101 MHz, DMSO-d6): δ [ppm] = 26.1 m (0.33C, CH3C(OCH3)), 26.2o (0.17C, CH3C(OCH3)), 26.8m (0.33C, CH3C(OCH3)), 27.1 o (0.17C, CH3C(OCH3)), 30.3m (0.33C, C-5dioxane), 30.5o (2 × 0.17C, C-5dioxane), 31.5m (0.33C, C-5dioxane), 41.6m (0.33C, CHCH2CH), 41.8m (0.33C, CHCH2CH), 42.4o (0.17C, CHCH2CH), 43.2o (0.17C, CHCH2CH), 48.9m (0.33C, OCH3), 48.99o (0.17C, OCH3), 49.2m (0.33C, OCH3), 49.26o (0.17C, OCH3), 66.0o+m (1C, C-6dioxane), 73.1m (0.33C, C-4dioxane), 73.37o (0.17C, C-4dioxane), 73.4o (0.17C, C-4dioxane), 73.44m (0.33C, C-4dioxane), 76.6m (0.33C, C-3), 76.66o (0.17C, C-3), 78.4o (0.17C, C-3), 78.7m (0.33C, C-3), 99.8m (0.33C, C-2dioxane), 100.0o+m (0.50C, C-2dioxane), 100.1o (0.17C, C-2dioxane), 109.8o+m (0.50C, C-1), 110.1m (0.33C, C-1), 110.2o (0.17C, C-1), 121.0o (0.17C, Carom), 121.2o+m (0.50C, Carom), 121.4m (0.33C, Carom), 121.8o (0.17C, Carom), 121.83o (0.17C, Carom), 121.9m (2 × 0.33C, Carom), 125.7m (2 × 0.33C, Carom), 125.8m (2 × 0.33C, Carom), 125.9o (2 × 0.17C, Carom), 126.0o (2 × 0.17C, Carom), 127.6m (2 × 0.33C, Carom), 127.7m (2 × 0.33C, Carom), 127.77m (4 × 0.33C, Carom), 127.8o (0.17C, Carom), 127.9o (0.17C, Carom), 128.1m (0.33C, Carom), 128.2m (0.33C, Carom), 128.3o (0.17C, Carom), 128.31o (0.17C, Carom), 128.8o+m+m (2 × 0.33C + 0.17C, Carom), 128.9o (0.17C, Carom), 138.6m (2 × 0.33C, Cqarom), 138.7o (2 × 0.17C, Cqarom), 138.72o (0.17C, Cqarom), 138.8m (0.33C, Cqarom), 139.0o (0.17C, Cqarom), 139.08m (0.33C, Cqarom), 142.3m (0.33C, Cqarom), 142.4o (0.17C, Cqarom), 142.7m (0.33C, Cqarom), 142.8o (0.17C, Cqarom). Ratio of diastereomers 33:33:17:17. o = minor isomer; m = major isomer. FTIR (neat): ν (cm−1) = 2932, 2855 (C-H), 1454 (C=Carom), 1099 (C-O), 748, 698 (C-Harom mono- and 1,2-disubst).
4-(3-Methoxy-1,3-dihydro-2-benzofuran-1-yl)butane-1,3-diol (13a) (four diastereomers). A solution of 2-benzofuran 18a (0.32 g, 1.3 mmol) in a mixture of methanol and water (20 mL, 4:1) was treated with p-toluenesulfonic acid (0.17 g, 1.0 mmol). The reaction mixture was stirred at r.t. for 48 h. A saturated aqueous solution of NaHCO3 (10 mL) was added. Methanol was evaporated in vacuo and the resulting aqueous layer was extracted with CH2Cl2 (3 × 10 mL). The combined organic layer was washed with brine (10 mL), dried (Na2SO4), filtered, and the solvent was removed in vacuo. The crude product was purified by fc (Ø = 2 cm, h = 13 cm, ethyl acetate (100%), V = 10 mL, Rf = 0.44). Pale yellow oil, yield 0.27 g (87%), mixture of four diastereomers (2:2:1:1). C13H18O4 (238.3). Exact Mass (APCI): m/z = 413.2047, calcd. 413.1959 for C24H30O6 [2(M − HOCH3) + H]+; m/z = 207.1090, calcd. 207.1016 for C12H15O3 [M − OCH3]+. MS (ESI): m/z = 467 [M + C12H14O3 + Na]+, 261 [M + Na]+, 207 [M − OCH3]+, 189 [M − H2O − OCH3]+. 1H-NMR (400 MHz, DMSO-d6): δ [ppm] = 1.33–1.98 (m, 4H, CH2CH2OHo+m (2H), CH2CHOHo+m (2H)), 3.24 (s, 3 × 0.33H, OCH3m), 3.28 (s, 3 × 0.17H, OCH3o), 3.27 (s, 3 × 0.17H, OCH3o), 3.31 (s, 3 × 0.33H, OCH3m), 3.46–3.57 (m, 2H, CH2OHo+m), 3.84–3.97 (m, 1H, CHOHo+m), 4.29–4.38 (m, 1H, CH2OHo+m), 4.48 (d, J = 5.1 Hz, 0.33H, CHOHm), 4.52 (d, J = 5.1 Hz, 0.33H, CHOHm), 4.60 (d, J = 2.5 Hz, 0.17H, CHOHo), 4.62 (d, J = 2.6 Hz, 0.17H, CHOHo), 5.22 (dd, J = 7.4/6.2 Hz, 0.33H, 1-Hbfm), 5.27 (dd, J = 10.4/2.5 Hz, 0.17H, 1-Hbfo), 5.34 (ddd, J = 7.4/5.1/2.0 Hz, 0.33H, 1-Hbfm), 5.40 (dt, J = 10.2/2.3 Hz, 0.17H, 1-Hbfo), 6.01 (s, 0.33H, 3-Hbfm), 6.03 (s, 0.17H, 3-Hbfo), 6.09 (2s, Hz, 0.50H, 3-Hbfo+m), 7.24–7.41 (m, 4H, Harom). Ratio of diastereomers 33:33:17:17. o = minor isomer; m = major isomer; bf = benzofuran. 13C-NMR (101 MHz, DMSO-d6): δ [ppm] = 39.8m (2 × 0.33C, CH2CH2OH), 41.1o (0.17C, CH2CH2OH), 41.14o (0.17C, CH2CH2OH), 44.0m (0.33C, CH2CHOH), 44.7o (0.17C, CH2CHOH), 45.5m (0.33C, CH2CHOH), 46.3o (0.17C, CH2CHOH), 53.5m (0.33C, OCH3), 53.7o (2 × 0.17C, OCH3), 53.9m (0.33C, OCH3), 58.0o (0.17C, CH2OH), 58.05o+m (0.50C, CH2OH), 58.06m (0.33C, CH2OH), 64.3o (0.17C, CHOH), 64.7o (0.17C, CHOH), 64.72m (0.33C, CHOH), 64.8m (0.33C, CHOH), 79.2o (0.17C, C-1), 79.6o (0.17C, C-1), 79.7m (0.33C, C-1), 80.0m (0.33C, C-1), 105.6m (0.33C, C-3), 105.7o (0.17C, C-3), 106.0o (0.17C, C-3), 106.1m (0.33C, C-3), 121.0o (0.17C, Carom), 121.2o (0.17C, Carom), 121.3m (0.33C, Carom), 121.6m (0.33C, Carom), 122.9m (2 × 0.33C, Carom), 123.0o (2 × 0.17C, Carom), 127.5o (0.17C, Carom), 127.55m (0.33C, Carom), 127.59o (0.17C, Carom), 127.6m (0.33C, Carom), 129.1m (0.33C, Carom), 129.13o (0.17C, Carom), 129.14m (0.33C, Carom), 129.2o (0.17C, Carom), 137.3o (0.17C, Cqarom), 137.4m (0.33C, Cqarom), 137.42m (0.33C, Cqarom), 137.5o (0.17C, Cqarom), 143.46m (0.33C, Cqarom), 143.50m (0.33C, Cqarom), 143.7o (0.17C, Cqarom), 143.8o (0.17C, Cqarom). Ratio of diastereomers 33:33:17:17. o = minor isomer; m = major isomer. FTIR (neat): v (cm−1) = 3375 (O-H), 2936, 2889 (C-H), 1431 (C=Caromatic), 1080 (C-O), 752 (C-Harom 1,2-disubst).
4-(3-Methoxy-3-methyl-1,3-dihydro-2-benzofuran-1-yl)butane-1,3-diol (13b) (four diastereomers). A solution of 2-benzofuran 18b (0.22 g, 0.6 mmol) in a mixture of methanol and water (12 mL, 4:1) was treated with p-toluenesulfonic acid (40.0 mg, 0.2 mmol). The reaction mixture was stirred at r.t. for 72 h. Saturated aqueous solution of NaHCO3 (10 mL) was added. Methanol was removed in vacuo and the resulting aqueous layer was extracted with CH2Cl2 (3 × 10 mL). The combined organic layer was washed with brine (10 mL), dried (Na2SO4), filtered, and the solvent was removed in vacuo. The crude product was purified by fc (Ø = 2 cm, h = 10 cm, ethyl acetate (100%), V = 10 mL, Rf = 0.40). Yellow oil, yield 88.4 mg (55%), mixture of four diastereomers (2:2:1:1). C14H20O4 (252.31). MS (ESI): m/z = 463 [2(M − HOCH3) +Na]+, 275 [M + Na]+, 203 [M − OCH3 − H2O]+, 221 [M − OCH3]+, 1H-NMR (400 MHz, CD3OD): δ [ppm] = 1.55–2.07 (m, 7H, CH3o+m (3H), CH2CHOHCH2o+m (4H)), 2.94 (s, 3 × 0.33H*, OCH3m), 2.95 (s, 3 × 0.17H*, OCH3o), 3.01 (s, 3 × 0.17H*, OCH3o), 3.04 (s, 3 × 0.33H*, OCH3m), 3.41–3.62 (m, 0.33H, CH2CH2OHm), 3.65–3.87 (m, 3 × 0.33H + 4 × 0.17H, CH2CH2OHo+m), 3.95–4.25 (m, 1H*, CH2CHOHo+m), 5.17–5.36 (m, 0.50H, 1-Hbfo+m), 5.38–5.48 (m, 0.33H, 1-Hbfm), 5.53 (dd, J = 10.2/2.3 Hz, 0.17H, 1-Hbfo), 7.20–7.49 (m, 4H, Haromo+m). Ratio of diastereomers 33:33:17:17. Signals of the OH protons are not observed in the spectrum. * The integrals of these signals are slightly lower than expected. o = minor isomer; m = major isomer; bf = benzofuran. 13C-NMR (101 MHz, CD3OD): δ [ppm] = 26.7o (0.17C, CCH3(OCH3)), 26.73m (0.33C, CCH3(OCH3)), 27.7m (0.33C, CCH3(OCH3)), 27.8o (0.17C, CCH3(OCH3)), 40.2m (0.33C, CH2CH2OH), 40.4m (0.33C, CH2CH2OH), 41.6o (0.17C, CH2CH2OH), 41.63o (0.17C, CH2CH2OH), 45.0m (0.33C, CH2CHOH), 45.6o (0.17C, CH2CHOH), 45.8m (0.33C, CH2CHOH), 46.6o (0.17C, CH2CHOH), 50.1m (2 × 0.33C, OCH3), 50.5o (0.17C, OCH3), 50.6o (0.17C, OCH3), 60.2o+m (1C, CH2CH2OH), 67.0o (2 × 0.17C, CH2CHOH), 68.0m (0.33C, CH2CHOH), 68.1m (0.33C, CH2CHOH), 80.6m (0.33C, C-1), 81.4o (2 × 0.17C, C-1), 82.4m (0.33C, C-1), 111.9m (0.33C, C-3), 112.1m (0.33C, C-3), 112.5o (2 × 0.17C, C-3), 122.0m (0.33C, Carom), 122.3o (0.17C, Carom), 122.34m (0.33C, Carom), 122.5o (0.17C, Carom), 123.26o (0.17C, Carom), 123.3m (0.33C, Carom), 123.4o (0.17C, Carom), 123.42m (0.33C, Carom), 129.1o (0.17C, Carom), 129.2m (0.33C, Carom), 129.3o (0.17C, Carom), 129.33m (0.33C, Carom), 130.3o (0.17C, Carom), 130.36o (0.17C, Carom), 130.4m (2 × 0.33C, Carom), 140.1o (0.17C, Cqarom), 140.2o (0.17C, Cqarom), 140.4m (0.33C, Cqarom), 140.6m (0.33C, Cqarom), 144.2o (0.17C, Cqarom), 144.6m (2 × 0.33C, Cqarom), 144.9o (0.17C, Cqarom). Ratio of diastereomers 33:33:17:17. o = minor isomer; m = major isomer. FTIR (neat): ν (cm−1) = 3395 (O-H), 2935, 2881 (C-H), 1431, (C=Caromatic), 1041 (C-O), 764 (C-Harom 1,2-disubst).
[(tert-Butyldimethylsilyl)oxy]-1-(3-methoxy-1,3-dihydro-2-benzofuran-1-yl)butan-2-ol (19a) (four diastereomers). In DMF (0.50 mL), diols 13a (34.1 mg, 0.14 mmol) were treated with imidazole (29.2 mg, 0.43 mmol) and tert-butyldimethylsilyl chloride (22.2 mg, 0.14 mmol). The reaction mixture was stirred at r.t. for 24 h, diluted with EtOAc (10 mL) and washed with water (4 × 5 mL). The organic phase was separated, dried (Na2SO4), filtered and was concentrated under reduced pressure. The crude product was purified by fc (Ø = 2 cm, h = 10 cm, cyclohexane: ethyl acetate (8:2), V = 10 mL, Rf = 0.44). Colorless oil, yield 26.6 mg (58%). C19H32O4Si (352.5). Ratio of diastereomers 33:33:17:17. 1H-NMR (400 MHz, DMSO-d6): δ [ppm] = 0.02–0.04 (m, 6H, (CH3)2tBuSio+m), 0.86–0.87 (m, 9H, Me2 (C(CH3)3Sio+m), 1.43–1.95 (m, 4H, CH2CHOHCH2o+m), 3.28 (s, 3 × 0.33H, OCH3m), 3.29 (s, 3 × 0.17H*, OCH3o), 3.32 (s, 3 × 0.17H *, OCH3o), 3.34 (s, 3 × 0.33H, OCH3m), 3.68–3.78 (m, 2H, CH2OHo+m), 3.90–3.96 (m, 1H, CHOHo+m), 4.51 (d, J = 5.3 Hz, 0.33H, CHOHm), 4.53 (d, J = 5.3 Hz, 0.33H, CHOHm), 4.63 (d, J = 3.3 Hz, 0.17H*, CHOHo), 4.64 (d, J = 3.2 Hz, 0.17H *, CHOHo), 5.26 (dd, J = 7.4/6.4 Hz, 0.33H, 1-Hbfm), 5.31 (dd, J = 10.4/2.4 Hz, 0.17H, 1-Hbfo), 5.34–5.39 (dd, J = 10.4/3.7 Hz, 0.33H, 1-Hbfm), 5.43 (dd, J = 11.4/1.4 Hz, 0.17H, 1-Hbfo), 6.04 (s, 0.33H, 3-Hbfm), 6.06 (s, 0.17H, 3-Hbfo), 6.12 (2s, 0.5H, 3-Hbfo+m), 7.28–7.44 (m, 4H, Harom). Ratio of diastereomers 33:33:17:17. * Signals were slightly lower than expected. o = minor isomer, m = major isomer, bf = benzofuran.
[3-Hydroxy-4-(3-methoxy-1,3-dihydro-2-benzofuran-1-yl)butyl-] 4-methylbenzenesulfonate (20a) (four diastereomers). A solution of diols 13a (0.20 g, 0.84 mmol) in dry CH2Cl2 (4 mL) was treated with Bu2SnO (10.7 mg, 0.04 mmol), Et3N (176 μL, 1.3 mmol) and p-toluenesulfonyl chloride (0.18 g, 0.9 mmol). The reaction mixture was heated to reflux for 16 h. The solvent was removed under reduced pressure at 30 °C. The crude product was purified by fc (Ø = 2 cm, h = 12 cm, cyclohexane: ethyl acetate (7:3), V = 10 mL, Rf = 0.36 (1st spot); 0.19 (2nd spot)). Colorless oil, yield 0.16 g (51%), mixture of four diastereomers (2:2:1:1). C20H24O6S (392.5). MS (ESI): m/z = 361 [M − OCH3]+, 343 [M − H2O − OCH3]+, 171 [M − C13H17O3]+. 1H-NMR (400 MHz, DMSO-d6): δ [ppm] = 1.41–2.21 (m, 4H, CH2CH2OSO2PhCH3o+m (2H), CH2CHOHo+m (2H)), 2.41 (2s, 3Ho+m, CH3Ph), 3.26 (s, 3 × 0.33H, OCH3m), 3.28 (s, 3 × 0.17H*, OCH3o), 3.30 (s, 3 × 0.33H, OCH3o), 3.68–3.77 (m, 2 × 0.17H, CH2CHOHo), 3.81 (dt, J = 10.2/5.5 Hz, 2 × 0.33H, CH2CHOHm), 3.88–4.19 (m, 2H CH2CH2OSO2PhCH3o+m), 4.70–4.82 (m, 2 × 0.33H, CH2CHOHm), 4.87–5.01 (m, 2 × 0.17H, CH2CHOHo), 5.18 (dd, J = 8.1/5.3 Hz, 0.33H, 1-Hbfm), 5.22–5.27 (m, 0.17H, 1-Hbfo), 5.29 (ddd, J = 7.3/4.6/1.9 Hz, 0.33H, 1-Hbfm), 5.33–5.40 (m, 0.17H, 1-Hbfo), 6.03 (s, 0.33H, 3-Hbfm), 6.05 (s, 0.17H, 3-Hbfo), 6.08 (d, J = 2.0 Hz, 0.33H, 3-Hbfm), 6.10 (d, J = 2.0 Hz, 0.17H, 3-Hbfo), 7.24–7.31 (m, 1H, Haromo+m), 7.31–7.42 (m, 10 × 0.33H, Haromo+m), 7.47 (dd, J = 8.3/3.1 Hz, 2H, Haromo+m), 7.78 (dt, J = 8.3/2.1 Hz, 5 × 0.33H, Haromo+m). Ratio of diastereomers 33:33:17:17. * A signal (3 × 0.17H) for the OCH3 moiety of the fourth isomer cannot be observed in the spectrum, because the water peak of DMSO-d6 is overlapping with this signal. o = minor isomer; m = major isomer; bf = benzofuran. 13C-NMR (151 MHz, DMSO-d6): δ [ppm] = 28.7o (2 × 0.17C, CH3Ph), 29.6m (0.33C, CH3Ph), 30.9m (0.33C, CH3Ph), 35.2m (2 × 0.33C, CH2CH2OSO2PhCH3), 35.3o (2 × 0.17C, CH2CH2OSO2PhCH3), 43.1m (0.33C, CH2CHOH), 43.9o (0.17C, CH2CHOH), 44.7m (0.33C, CH2CHOH), 45.6o (0.17C, CH2CHOH), 53.2m (0.33C, OCH3), 53.7m (0.33C, OCH3), 54.6o (2 × 0.17C, OCH3), 63.2o (2 × 0.17C, CH2CHOH), 63.3m (2 × 0.33C, CH2CHOH), 68.1o (2 × 0.17C, CH2CH2OSO2PhCH3), 68.2m (2 × 0.33C, CH2CH2OSO2PhCH3), 79.0o (2 × 0.17C, C-1), 79.2m (2 × 0.33C, C-1), 105.4m (0.33C, C-3), 105.5o (0.17C, C-3), 105.8o (0.17C, C-3), 105.9m (0.33C, C-3), 120.9o+m (0.50C, Carom), 121.2o+m (0.50C, Carom), 122.7o+m+o (0.33C + 2 × 0.17C, Carom), 122.71m (2 × 0.33C, Carom), 127.3o+m (2C, Carom), 127.33o+m (0.50C, Carom), 127.4o+m (0.50C, Carom), 128.8o+m (0.50C, Carom), 128.9o+m (0.50C, Carom), 129.9o+m (2C, Carom), 132.2m (0.33C, Cqarom), 137.0o+m (0.50C, Cqarom), 137.06o (0.17C, Cqarom), 142.9m (0.33C, Cqarom), 142.92m (0.33C, Cqarom), 143.0o (0.17C, Cqarom), 143.2o (0.17C, Cqarom), 144.5o+m (1C, Cqarom). Ratio of diastereomers 33:33:17:17. o = minor isomer; m = major isomer. FTIR (neat): ν (cm−1) = 3506 (O-H), 2920 (C-H), 1173 (RO-SO2R1), 1096(C-O), 752, 737, 664 (C-Harom1,2- and 1,4-disubst).
4-Azido-1-(3-methoxy-1,3-dihydro-2-benzofuran-1-yl)butan-2-ol (21a) (four diastereomers). A solution of tosylates 20a (46.6 mg, 0.12 mmol) in dry DMF (1 mL) was treated with NaN3 (23.2 mg, 0.36 mmol). The reaction mixture was heated to 90 oC for 3 h. The solvent was removed in vacuo. The crude product was purified by fc (Ø = 2 cm, h = 12 cm, cyclohexane: ethyl acetate (7:3), V = 10 mL, Rf = 0.48). Pale yellow oil, yield 28.7 mg (92%), mixture of four diastereomers (2:2:1:1). C13H17N3O3 (263.3). Exact Mass (APCI): m/z = 234.1121, calcd. 234.1125 for C13H16NO3 [M – N2 – H]+; m/z = 204.1027, calcd. 204.1019 for C12H14NO2 [M – N2 – OCH3]+. 1H-NMR (400 MHz, CDCl3): δ [ppm] = 1.64–2.16 (m, 4H, CH2CHOHCH2o+m), 3.26–3.74 (m, 5H, OCH3o+m (3H), CH2CH2N3o+m (2H)), 3.87–4.06 (m, 2 × 0.17H, CH2CHOHo), 4.20 (dddd, J = 9.5/6.9/5.1/2.2 Hz, 2 × 0.33H, CH2CHOHm), 5.35–5.42 (m, 0.33H, 1-Hbfm), 5.46 (dd, J = 7.8/3.3 Hz, 0.17H, 1-Hbfo), 5.54 (dt, J = 10.4/2.5 Hz, 0.33H, 1-Hbfm), 5.63 (d, J = 7.6 Hz, 0.17H, 1-Hbfo), 6.11 (s, 0.17H, 3-Hbfo), 6.16 (s, 0.33H, 3-Hbfm), 6.18 (d, J = 2.0 Hz, 0.17H, 3-Hbfo), 6.20 (d, J = 2.1 Hz, 0.33H, 3-Hbfm), 7.17–7.22 (m, 1H, Harom), 7.35–7.42 (m, 3H, Harom). Ratio of diastereomers 33:33:17:17. Signals due to the OH protons are not observed in the spectrum. o = minor isomer; m = major isomer; bf = benzofuran. 13C-NMR (101 MHz, CDCl3): δ [ppm] = 36.7o (0.17C, CH2CH2N3), 36.8o (0.17C, CH2CH2N3), 36.84m (0.33C, CH2CH2N3), 36.9m (0.33C, CH2CH2N3), 42.4o (0.17C, CH2CHOH), 43.4m (0.33C, CH2CHOH), 44.1o (0.17C, CH2CHOH), 44.6m (0.33C, CH2CHOH), 48.5m (0.33C, CH2CH2N3), 48.6m (0.33C, CH2CH2N3), 48.8o (2 × 0.17C, CH2CH2N3), 55.1o+m (0.50C, OCH3), 55.7m (0.33C, OCH3), 56.1o (0.17C, OCH3), 66.5o (0.17C, CH2CHOH), 66.7o (0.17C, CH2CHOH), 68.8m (0.33C, CH2CHOH), 69.0m (0.33C, CH2CHOH), 81.1o (0.17C, C-1), 81.6o (0.17C, C-1), 83.8m (0.33C, C-1), 84.0m (0.33C, C-1), 107.1o (0.17C, C-3), 107.3m (0.33C, C-3), 108.2o+m (0.50C, C-3), 121.27m (0.33C, Carom), 121.30o (0.17C, Carom), 121.5m (0.33C, Carom), 121.53o (0.17C, Carom), 123.6o (0.17C, Carom), 123.62m (0.33C, Carom), 123.64m (0.33C, Carom), 123.7o (0.17C, Carom), 128.6o (0.17C, Carom), 128.7o+m (0.50C, Carom), 128.8m (0.33C, Carom), 130.0o+m (0.50C, Carom), 130.04o+m (0.50C, Carom), 137.2m (0.33C, Cqarom), 137.3m (0.33C, Cqarom), 137.9o (0.17C, Cqarom), 138.0o (0.17C, Cqarom), 142.5o (0.17C, Cqarom), 142.7o (0.17C, Cqarom), 142.8m (0.33C, Cqarom), 142.9m (0.33C, Cqarom). Ratio of diastereomers 33:33:17:17. o = minor isomer; m = major isomer. FTIR (neat): ν (cm−1) = 3464 (O-H), 2932 (C-H), 2091 (N=N=N), 1084 (C-O), 752 (C-Harom 1,2-disubst).
2-[(1RS,3RS,5RS)- and (1RS,3SR, 5RS)-1,5-Epoxy-1,3,4,5-tetrahydro-2-benzoxepin-3-yl]ethan-1-ol (14a). A solution of p-toluenesulfonic acid in toluene (4 mL, 0.5mg/mL) was added to diols 13a (49.2 mg, 0.21 mmol). The reaction mixture was heated to 85 °C for 72 h. Saturated aqueous solution of NaHCO3 (10 mL) was added and the organic layer was separated. The aqueous layer was extracted with CH2Cl2 (2 × 10 mL). The combined organic layer was dried (Na2SO4), filtered, and the solvent was removed in vacuo. The crude product was purified by fc (Ø = 2 cm, h = 12 cm, CH2Cl2:ethyl acetate (6:4), V = 10 mL, Rf =0.46 (1st isomer), 0.35 (2nd isomer)). Colorless solid, yield 7.23 mg (17%), mixture of two diastereomers (1:1). C12H14O3 (206.2). Exact mass (APCI): m/z = 207.1014, calcd. 207.1016 for C12H15O3 [MH]+. 1H-NMR (400 MHz, DMSO-d6): δ [ppm] = 1.52–1.93 (m, 2.5H, 4-Heq (1H), CH2CH2OH (1.5H)), 2.00 (m, 1.5H, CH2CH2OH (0.5H), 4-Hax (1H)), 3.66–3.81 (m, 2H, CH2CH2OH), 3.82–3.93 (m, 1H, 3-Hax (0.5H), 3-Heq (0.5H)), 4.61 (d, J = 4.4 Hz, 0.5H, CH2CH2OH), 4.73 (d, J = 5.7 Hz, 0.5H, CH2CH2OH), 5.33 (d, J = 10.8 Hz, 0.5H, 5-Heq), 5.41 (dd, J = 7.9/3.6 Hz, 0.5H, 5-Heq), 6.05 (s, 0.5H, 1-Heq), 6.09 (s, 0.5H, 1-Heq), 7.26–7.44 (m, 4H, Harom). Ratio of diastereomers 50:50. FTIR (neat): ν (cm−1) = 3372 (O-H), 2874 (C-H), 1462 (C=Carom), 1080 (C-O), 748 (C-Harom 1,2-disubst).
2-[{(1RS,3RS,5RS)- and (1RS,3SR,5RS)-1-Methyl}-1,5-epoxy-1,3,4,5-tetrahydro-2-benzoxepin-3-yl]ethan-1-ol (14b). A solution of diols 13b (50.0 mg, 0.2 mmol) in a mixture of toluene/AcOH (4:1, 5mL) was stirred at r.t. for 72 h. Saturated aqueous Solution of NaHCO3 (5 mL) was added. The mixture was extracted with CH2Cl2 (3 × 10 mL). The combined organic layer was washed with brine (5 mL), dried (Na2SO4), filtered, and the solvent was removed in vacuo. The crude product was purified by fc (Ø = 2 cm, h = 10 cm, ethyl acetate/cyclohexane (1:1)), V = 10 mL, Rf = 0.45 (1st spot) and 0.25 (2nd spot)). Yellow oil, yield 2.6 mg (6%) mixture of two diastereomers (1:1). C14H20O4 (220.27). 1H-NMR (400 MHz, CDCl3): δ [ppm] = 1.26 (2s, 3H, 6 × 0.5H, CH3), 1.62–1.89 (m, 1H, 4-Heq (0.5H) *, CH2CH2OH (0.5H)), 1.89–2.15 (m, 1.5H, CH2CH2OH), 2.17–2.33 (m, 1H, 2 × 0.5H, 4-Hax), 3.88 (dd, J = 12.0/4.7 Hz, 1H**, 2 × 0.5H, CH2CH2OH), 3.94–3.98 (m, 1H **, 2 × 0.5H, CH2CH2OH), 4.01–4.09 (m, 0.5H, 3-Hax), 4.08–4.14 (m, 0.5H, 3-Hax), 5.31–5.36 (m, 0.5H, 5-Heq), 5.67 (dd, J = 6.1/2.7 Hz, 0.5H, 5-Heq), 7.19 (m, 1H, 2 × 0.5H, Harom), 7.29–7.47 (m, 3H, 6 × 0.5H, Harom). Ratio of diastreoisomers 50:50. * Signals for one isomer is overlapping with other signals including the signal for the residual water in CDCl3. ** Signals are slightly higher than expected due to impurities. Due to the low amount of 18b the 13C-NMR, IR and MS spectra could not be recorded.
(1RS,3SR,5RS)-3-[2-(tert-Butyldimethylsilyloxy)ethyl]-1,5-epoxy-1,3,4,5-tetrahydro-2-benzoxepine (22a). In toluene (5 mL), silyl ethers 19a (26.6 mg, 0.08 mmol) were treated with 0.1 M HCl in AcOH (15 μL) and was heated to 65 °C for 60 h. The reaction mixture was diluted with EtOAc (10 mL) and was washed with saturated aqueous solution of NaHCO3 (3 × 5 mL). The pooled organic phase was dried (Na2SO4), filtered, and the solvent was removed in vacuo. The crude product was purified by fc (Ø = 2 cm, h = 10 cm, cyclohexane: ethyl acetate (9:1), V = 10 mL, Rf = 0.48). Colorless oil, yield 4.5 mg (19%). C18H28O3Si (320.5). 1H-NMR (400 MHz, DMSO-d6): δ [ppm] = −0.12 (s, 3H, (CH3)2tBuSi), −0.14 (s, 3H, (CH3)2tBuSi), 0.68 (s, 9H, Me2 (C(CH3)3Si), 1.44 (ddd, J = 13.8/7.7/1.9 Hz, 1H, 4-Heq), 1.50–1.62 (m, 2H, CH2CH2OTBDMS), 2.01 (ddd, J = 13.2/11.2/3.7 Hz, 1H, 4-Hax), 3.20–3.28 (m, 1H, 3-Hax), 3.44–3.53 (m, 2H, CH2OTBDMS), 5.23 (dd, J = 3.7/1.8 Hz, 1H, 5-Heq), 6.12 (s, 1H, 1-Heq), 7.25–7.37 (m, 4H, Harom).
(1RS,3SR,5RS)-3-(2-Azidoethyl)-1,5-epoxy-1,3,4,5-tetrahydro-2-benzoxepine (23a). A solution of p-toluenesulfonic acid in toluene (5 mL, 0.5 mg/mL) was added to azide 21a (69.8 mg, 0.27 mmol). The reaction mixture was heated to 85 °C for 72 h. Saturated aqueous solution of NaHCO3 (10 mL) was added and the organic layer was separated. The aqueous layer was extracted with CH2Cl2 (2 × 10 mL). The combined organic layer was dried (Na2SO4), filtered, and the solvent was removed in vacuo. The crude product was purified by fc (Ø = 2 cm, h = 12 cm, cyclohexane: ethyl acetate (8:2), V = 10 mL, Rf = 0.45). Yellow oil, yield 7.7 mg (13%). C12H13N3O2 (231.3). After fc purification, only one diastereomer was isolated. MS (ESI): m/z =424 [2(M – OCH3) + Na + H]+, 232 [MH]+, 204 [M –N2 + H]+. 1H-NMR (400 MHz, CD2Cl2): δ [ppm] = 1.54–1.66 (m, 2H, 4-Heq (1H), CH2CH2N3 (1H)), 1.76 (ddt, J = 14.5/8.7/5.8 Hz, 1H, CH2CH2N3), 2.17 (ddd, J = 13.0/11.1/3.7 Hz, 1H, 4-Hax), 3.22–3.35 (m, 3H, CH2CH2N3 (2H), 3-Hax (1H)), 5.22 (dd, J = 3.8/1.8 Hz, 1H, 5-Heq), 6.11 (s, 1H, 1-Heq), 7.28–7.40 (m, 4H, Harom). 13C-NMR (151 MHz, CDCl3): δ [ppm] = 35.1 (1C, CH2CH2N3), 37.6 (1C, C-4), 47.2 (1C, CH2CH2N3), 65.3 (1C, C-3), 77.9 (1C, C-5), 100.8 (1C, C-1), 119.6 (1C, Carom), 121.3 (1C, Carom), 128.0 (1C, Carom), 128.6 (1C, Carom), 138.7 (1C, Cqarom), 143.0 (1C, Cqarom). FTIR (neat): ν (cm−1) = 2874 (C-H), 2095 (N=N=N), 1015 (C-O), 756 (C-Harom 1,2-disubst).

4. Conclusions

Herein the synthesis of 1,3-dioxanes is reported, which are bearing a phenyl moiety in the axial orientation at the acetalic center without any freedom to rotate around the phenyl-C-bond. Two subsequent intramolecular transacetalization reactions represent the key steps in the synthesis of the tricyclic compounds 14, 22, and 23. The central hydroxyacetals 12 were prepared in a three-step sequence starting from pentane-1,3,5-triol (10). Whereas the first intramolecular transacetalization of 12 under mild reaction conditions resulted in high yields of 2-benzofurans 18, the second intramolecular transacetalization of 13 gave only low yields of tricyclic alcohols 14 even after several optimization experiments. Protection or substitution of the competing primary alcohol of 13a did not result in higher yields of tricyclic silyl ether 22a or azide 23a. Since only one isomer of 22a and 23a was isolated and the major isomer remained partly unchanged after cyclization of 19a and 21a, it was postulated that the minor isomers of 19a and 21a reacted faster than the major isomers. Due to fast decomposition, the transformations of ketalic compounds (b-series) required milder reaction conditions than the acetalic compounds (a-series).

Supplementary Materials

Supplementary materials can be accessed at: https://www.mdpi.com/1420-3049/21/11/1503/s1.

Acknowledgments

The support for this work by the Deutscher Akademischer Austauschdienst (DAAD) is highly acknowledged.

Author Contributions

The idea came from B. Wünsch. The experiments were performed by S. Asare-Nkansah. The manuscript was written by S. Asare-Nkansah and B. Wünsch.

Conflicts of Interest

The authors declare no conflict of interest.

References

  1. Jacquemond-Collet, J.I.; Benoit-Vical, F.; Valentin, M.A.; Stanislas, E.; Mallié, M.; Fourasté, I. Antiplasmodial and cytotoxic activity of galipinine and other tetrahydroquinolines from Galipea officinalis. Planta Med. 2002, 68, 68–69. [Google Scholar] [CrossRef] [PubMed]
  2. Rotstein, R.D.M.; Kertesz, D.J.; Walker, K.A.; Swinney, D.C. Stereoisomers of ketoconazole: Preparation and biological activity. J. Med. Chem. 1992, 35, 2818–2825. [Google Scholar] [CrossRef] [PubMed]
  3. Heeres, J.; Backx, L.; Mostmans, J.; Cutsem, J. Antimycotic imidazoles. Part 4. Synthesis and antifungal activity of ketoconazole, a new potent orally active broad-spectrum antifungal agent. J. Med. Chem. 1979, 22, 1003–1005. [Google Scholar] [CrossRef] [PubMed]
  4. Shi, W.; Nacev, B.A.; Aftab, B.T.; Head, S.; Rudin, C.M.; Liu, J.O. Itraconazole Side Chain Analogues: Structure-Activity Relationship Studies for Inhibition of Endothelial Cell Proliferation, Vascular Endothelial Growth Factor Receptor 2 (VEGFR2) Glycosylation, and Hedgehog Signaling. J. Med. Chem. 2011, 54, 7363–7374. [Google Scholar] [CrossRef] [PubMed]
  5. Utech, T.; Köhler, J.; Wünsch, B. Synthesis of 4-(aminoalkyl) subsituted 1,3-dioxanes as potent NMDA and σ receptor antagonists. Eur. J. Med. Chem. 2011, 46, 2157–2169. [Google Scholar] [CrossRef] [PubMed]
  6. Köhler, J.; Bergander, K.; Fabian, J.; Schepmann, D.; Wünsch, B. Enantiomerically pure 1,3-dioxanes as highly selective NMDA and σ1 receptor ligands. J. Med. Chem. 2012, 55, 8953–8957. [Google Scholar] [CrossRef] [PubMed]
  7. Bonifazi, A.; Del Bello, F.; Mammoli, V.; Piergentili, A.; Petrelli, R.; Cimarelli, C.; Pellei, M.; Schepmann, D.; Wünsch, B.; Barocelli, E.; et al. Novel potent N-methyl-d-aspartate (NMDA) receptor antagonists or σ1 receptor ligands based on properly substituted 1,4-dioxane ring. J. Med. Chem. 2015, 58, 8601–8615. [Google Scholar] [CrossRef] [PubMed]
  8. Schmidt, M.; Ungvári, J.; Glöde, J.; Dobner, B.; Langner, A. New 1,3-dioxolane and 1,3-dioxane derivatives as effective modulators to overcome multidrug resistance. Bioorg. Med. Chem. 2007, 15, 2283–2297. [Google Scholar] [CrossRef] [PubMed]
  9. Sax, M.; Wünsch, B. Relationships between the structure of dexoxadrol and etoxadrol analogues and their NMDA receptor affinity. Curr. Top. Med. Chem. 2006, 6, 723–732. [Google Scholar] [CrossRef] [PubMed]
  10. Aepkers, M.; Wünsch, B. Structure-affinity relationship studies of non-competitive NMDA receptor antagonists derived from dexoxadrol and etoxadrol. Bioorg. Med. Chem. 2005, 13, 6836–6849. [Google Scholar] [CrossRef] [PubMed]
  11. Thurkauf, A.; Mattson, M.V.; Richardson, S.; Mirsadeghi, S.; Ornstein, P.L.; Harrison, E.A., Jr.; Rice, C.K.; Jacobson, A.E.; Monn, J.A. Analogs of the dioxolanes dexoxadrol and etoxadrol as potential phencyclidine-like agents. Synthesis and structure activity relationships. J. Med. Chem. 1992, 35, 1323–1329. [Google Scholar] [CrossRef] [PubMed]
  12. Schulte, N. Tricyclische NMDA- und σ-Rezeptorliganden mit 1,3-Dioxanstruktur—Synthese und Struktur-Affinitäts-Beziehungen. Ph.D. Thesis, Westfälische Wilhelms-Universität Münster, Münster, Germany, 2012. [Google Scholar]
  13. Meineke, E. Synthese und Struktur-Affinitätsbeziehungen neuer σ-und NMDA-Rezeptorliganden mit 1,3-Dioxan-Struktur, Ph.D. Thesis, Westfälische Wilhelms-Universität Münster, Münster, Germany, 2011. [Google Scholar]
  14. Terec, A.; Bogdan, E.; Mager, S.; Grosu, I. Synthesis and stereochemistry of some new Bis(1,3-dioxane-2-Yl)alkanes. Rev. Roum. Chim. 2007, 52, 59–65. [Google Scholar]
  15. Aksnes, G.; Albriktsen, P.; Juuvik, J. Studies of Cyclic Acetal and Ketal Isomers of Glycerol. Acta Chem. Scand. 1965, 19, 920–930. [Google Scholar] [CrossRef]
  16. Omura, K.; Swern, D. Oxidation of alcohols by “activated” dimethyl sulfoxide. A preparative, steric and mechanistic study. Tetrahedron 1978, 34, 1651–1660. [Google Scholar] [CrossRef]
  17. Maier, C.A.; Wünsch, B. Novel spiropiperidines as highly potent and subtype selective σ-receptor ligands. Part 1. J. Med. Chem. 2002, 45, 438–448. [Google Scholar] [CrossRef] [PubMed]
  18. Maier, C.A.; Wünsch, B. Novel σ receptor ligands. Part 2. SAR of spiro[[2]benzopyran-1,4’-piperidines] and spiro[[2]benzofuran-1,4’-piperidines] with carbon substituents in position 3. J. Med. Chem. 2002, 45, 4923–4930. [Google Scholar] [CrossRef] [PubMed]
  19. Martinelli, M.J.; Nayyar, N.K.; Moher, E.D.; Dhokte, P.U.; Palwak, M.J.; Vaidyanathan, R. Dibutyltin Oxide Catalyzed Selective Sulfonylation of α-Chelatable Primary Alcohols. Org. Lett. 1999, 1, 447–450. [Google Scholar] [CrossRef]
  • Sample Availability: Samples of the compounds are not available from the authors.
Figure 1. Some biologically-important compounds containing the 1,3-dioxole, 1,3-dioxolane, and 1,3-dioxane scaffold.
Figure 1. Some biologically-important compounds containing the 1,3-dioxole, 1,3-dioxolane, and 1,3-dioxane scaffold.
Molecules 21 01503 g001
Figure 2. Plan for the synthesis of tricyclic compounds 14. The phenyl ring of 14 is fixed in the axial position of the 1,3-dioxane ring without any rotational freedom.
Figure 2. Plan for the synthesis of tricyclic compounds 14. The phenyl ring of 14 is fixed in the axial position of the 1,3-dioxane ring without any rotational freedom.
Molecules 21 01503 g002
Scheme 1. Synthesis of alcohols 12a,b as key intermediates for the preparation of conformationally-restricted 1,3-dioxanes. Reagents and reaction conditions: (a) LiAlH4, THF, 66 °C, 72 h, 97%; (b) PhCH=O, TosOH, Na2SO4, CH2Cl2, r.t., 24 h, 85%; (c) (COCl)2, DMSO, Et3N, CH2Cl2, −78 °C, 92%; (d) n-BuLi, THF, −78 °C to r.t., 16 h, 93% (12a), 97% (12b).
Scheme 1. Synthesis of alcohols 12a,b as key intermediates for the preparation of conformationally-restricted 1,3-dioxanes. Reagents and reaction conditions: (a) LiAlH4, THF, 66 °C, 72 h, 97%; (b) PhCH=O, TosOH, Na2SO4, CH2Cl2, r.t., 24 h, 85%; (c) (COCl)2, DMSO, Et3N, CH2Cl2, −78 °C, 92%; (d) n-BuLi, THF, −78 °C to r.t., 16 h, 93% (12a), 97% (12b).
Molecules 21 01503 sch001
Scheme 2. Synthesis of conformationally restricted 1,3 dioxanes 14, 22 and 23. Reagents and reaction conditions: (a) pTosOH, toluene, r.t., 2 h, 89% (18a); (b) pTosOH (0.5 mg/mL), toluene/cyclohexane (1:1), r.t., 2 h, 71% (18b); (c) pTosOH, MeOH/H2O (4:1), r.t., 36–72 h, 87% (13a), 55% (13b); (d) tBuMe2SiCl, imidazole, DMF, r.t., 24 h, 58%; (e) pTosCl, Bu2SnO, Et3N, CH2Cl2, 40 °C, 48 h, 51%; (f) NaN3, DMF, 90 °C, 3 h, 92%; (g) pTosOH (0.5 mg/mL), toluene, 85 °C, 72 h, 17% (14a), 13% (23a); (h) 0.1 M HCl in AcOH (15 μL), toluene (5 mL), 65 °C, 60 h, 19% (22a); and (i) toluene/AcOH (4:1), r.t., 72 h, 6% (14b). pTosOH = p-toluenesulfonic acid.
Scheme 2. Synthesis of conformationally restricted 1,3 dioxanes 14, 22 and 23. Reagents and reaction conditions: (a) pTosOH, toluene, r.t., 2 h, 89% (18a); (b) pTosOH (0.5 mg/mL), toluene/cyclohexane (1:1), r.t., 2 h, 71% (18b); (c) pTosOH, MeOH/H2O (4:1), r.t., 36–72 h, 87% (13a), 55% (13b); (d) tBuMe2SiCl, imidazole, DMF, r.t., 24 h, 58%; (e) pTosCl, Bu2SnO, Et3N, CH2Cl2, 40 °C, 48 h, 51%; (f) NaN3, DMF, 90 °C, 3 h, 92%; (g) pTosOH (0.5 mg/mL), toluene, 85 °C, 72 h, 17% (14a), 13% (23a); (h) 0.1 M HCl in AcOH (15 μL), toluene (5 mL), 65 °C, 60 h, 19% (22a); and (i) toluene/AcOH (4:1), r.t., 72 h, 6% (14b). pTosOH = p-toluenesulfonic acid.
Molecules 21 01503 sch002

Share and Cite

MDPI and ACS Style

Asare-Nkansah, S.; Wünsch, B. Double Intramolecular Transacetalization of Polyhydroxy Acetals: Synthesis of Conformationally-Restricted 1,3-Dioxanes with Axially-Oriented Phenyl Moiety. Molecules 2016, 21, 1503. https://doi.org/10.3390/molecules21111503

AMA Style

Asare-Nkansah S, Wünsch B. Double Intramolecular Transacetalization of Polyhydroxy Acetals: Synthesis of Conformationally-Restricted 1,3-Dioxanes with Axially-Oriented Phenyl Moiety. Molecules. 2016; 21(11):1503. https://doi.org/10.3390/molecules21111503

Chicago/Turabian Style

Asare-Nkansah, Samuel, and Bernhard Wünsch. 2016. "Double Intramolecular Transacetalization of Polyhydroxy Acetals: Synthesis of Conformationally-Restricted 1,3-Dioxanes with Axially-Oriented Phenyl Moiety" Molecules 21, no. 11: 1503. https://doi.org/10.3390/molecules21111503

APA Style

Asare-Nkansah, S., & Wünsch, B. (2016). Double Intramolecular Transacetalization of Polyhydroxy Acetals: Synthesis of Conformationally-Restricted 1,3-Dioxanes with Axially-Oriented Phenyl Moiety. Molecules, 21(11), 1503. https://doi.org/10.3390/molecules21111503

Article Metrics

Back to TopTop