Abstract
Leishmaniasis represents a series of severe neglected tropical diseases caused by protozoa of the genus Leishmania and is widely distributed around the world. Here, we present the syntheses of Morita-Baylis-Hillman adducts (MBHAs) prepared from eugenol, thymol and carvacrol, and their bioevaluation against promastigotes of Leishmania amazonensis. The new MBHAs are prepared in two steps from essential oils in moderate to good yields and present IC50 values in the range of 22.30–4.71 μM. Moreover, the selectivity index to the most potent compound is very high (SIrb > 84.92), far better than that of Glucantime® (SIrb 1.39) and amphotericin B (SIrb = 22.34). Conformational analysis were carried out at the M062X//6-31+G(d,p) level of theory to corroborate a hypothesis about the nitroaromatic bioreduction mechanism.
1. Introduction
Leishmaniasis is considered a set of neglected tropical diseases (NTD) caused by protozoa of the genus Leishmania and is widely distributed around the world [1]. These diseases are classified into three clinical forms: visceral leishmaniasis (VL), cutaneous leishmaniasis (CL) and mucocutaneous leishmaniasis (MCL). The most abundant species in the Americas, which causes general disfigurement of the face (MCL) and leads to patients withdrawing from social life, are Leishmania braziliensis and Leishmania amazonensis [2]. Approximately 500,000 new cases of VL are registered each year and are responsible for the deaths of thousands of people. Six countries, one of which is Brazil, account for 90% of deaths related to the disease. The World Health Organization (WHO) estimates that approximately one billion people live in areas at risk, and the 0.9–1.3 million new cases are responsible for the deaths of approximately 30,000 people annually [3]. Leishmania spp. is distributed by sandflies, which inject infective promastigotes into the skin of mammalian hosts during a blood meal. To date, there is no leishmaniasis vaccine for humans [4]. Few drug treatment options are available, which are lengthy, toxic, and expensive. In some cases, hospitalization is required, leading to discontinuance of treatment when some improvement is observed in the patient [5]. In addition, Leishmania is developing tolerance to the most effective drugs on the market; therefore, the drugs are losing efficiency. Thus, the development of more efficient and cheaper drugs to improve the pharmacological action and the discovery of novel therapeutic targets against trypanosomatids (e.g., Leishmania spp.) are major themes of this field [6].
In the last ten years, our research group has been continuously dedicated to the design, synthesis and biological evaluation of Morita-Baylis-Hillman adducts (MBHAs) as antileishmanial treatments and as treatments against other parasitic NTDs [7]. The Morita-Baylis-Hillman reaction (MBHR, Scheme 1) has been consolidated as an efficient methodology for C-C bond formation [7,8,9]. Polyfunctional MBHA products are obtained in one step by the MBHR by using nucleophilic catalysis (DABCO is the most common catalyst) under metal-free conditions and may be performed in an aqueous solvent mixture or in a solvent-free medium. MBHR is now classified as an important green reaction in organic syntheses [7].
Scheme 1.
General Morita-Baylis-Hillman reaction. EAG = Electron attractor group.
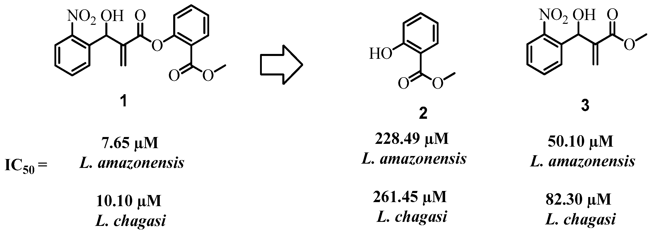
In 2011, we reported that MBHA 1 (a chalcone-like compound), designed from the molecular hybridization [10] of the analgesic methyl salicylate (2) and the MBHA 3 (Scheme 2), presented a lower IC50 in a congener series of compounds and was shown to be an efficient molecular hybrid and a promising leishmanicidal drug.
Scheme 2.
Molecular hybridization between MBHA 3 and methyl salicylate 2 for the design of hybrid 1.
In connection with our interest in discovering new compounds with efficient leishmanicidal properties [7,11,12,13,14,15], we present here the design, syntheses, and in vitro leishmanicidal evaluations against L. amazonensis of nine new o-, m- and p-nitro MBHA hybrids based on the synergistic biological proprieties of the abundant and inexpensive essential oil ingredients eugenol (4), thymol (5) and carvacrol (6) (Figure 1). It is important to note that eugenol (4) is an analgesic with leishmanicidal [16] and several others biological activities [17,18]. Thymol (5) and carvacrol (6) present analgesic and leishmanicidal activities [19]. In Figure 1, we also present MBHAs 16, 17 and 3, which were also biologically evaluated to compare motifs [15]. A conformational DFT study is presented to corroborate our proposed mechanism of the reduction of nitroaryl derivatives concerning these nitro-MBHAs [19].
Figure 1.
The MBHA hybrids synthetized, biologically evaluated and conformationally studied in this paper and eugenol (4), thymol (5), and carvacrol (6). Compounds 7–9 are hybrids derived from eugenol; compounds 10–12 are hybrids made from thymol. Compounds 13–15 are hybrids of carvacrol. Compounds 16, 17 and 3 are MBHAs.
2. Results and Discussion
The new acrylates 18–20 and hybrids 7–15 (Figure 1) were synthesized according to Scheme 3. Eugenol, thymol and carvacrol acrylate 18–20 were prepared by the respective reactions with DCC and DMAP (catalytic) at 0 °C in dry dichloromethane (Scheme 3). For the synthesis of hybrids 7–15, acetonitrile was used without drying, however, we observed hydrolysis reactions of the hybrids leading to the products at low yields (<40% yields). To optimize the reaction yields, dry acetonitrile was used as a solvent at room temperature to thus obtain hybrids 7–15 in moderate to good yields (Scheme 3).
Scheme 3.
Reagents, conditions, rates, and yields (%) of our preparations of new compounds 7–15 and 18–20.
The antileishmanial activities against promastigotes of L. amazonensis of compounds 3–17 are presented in Table 1. Some results in this Table should be highlighted here.
Table 1.
The antileishmanial activities against promastigotes of L. amazonensis. Values represent the average IC50 calculated in three independent experiments ± standard error of the mean. For this calculation, we used the probabilistic regression models with SPSS 13.0 software. SIrb (selectivity index on red blood cell) = HC50/IC50.
We can observe that eugenol (4, Entry 1) exhibits greater leishmanicidal activity than the other essential oils thymol (5, Entry 5) and carvacrol (6, Entry 9). All hybrids derived from eugenol (compounds 7–9, Entries 2–4), thymol (10–12, Entries 6–8) and carvacrol (13–15, Entries 11–13) exhibit higher antileishmanial activity than the corresponding essential oils ingredients. The hybrids of eugenol (compounds 7–9, Entries 2–4) showed lower IC50 values than the other series. Another very important dataset shown in Table 1, which is in agreement with previously obtained data by our research group [7], indicates that the nitrated MBHAs presenting an ortho nitro group on the aromatic ring are more bioactive against promastigotes of L. amazonensis than the corresponding meta and para nitroaryl isomers. Several nitro aromatics are used as anti-infective agents, e.g., drugs to treat parasitic infections. The biological activity of the nitro compounds is connected to a nitro group reduction that generates RNO−• or more reduced intermediates (Scheme 4) [19].
Scheme 4.
General scheme of the 2e− nitro aromatic reduction (Ar = aromatic group).
Currently, the exact mechanism of action of MBHAs against Leishmania targets is not known. To propose a biological mechanism of action for these new nitroaryl hybrids and to elucidate the reasons behind the higher bioactivity of the ortho nitro regioisomer compared to the meta and para regioisomers, the calculation of the more stable conformation of 7 and 9 in a simulated aqueous medium were performed. These geometries are shown in Figure 2.
Figure 2.
Conformational minima of hybrids 7 and 9 obtained by M062X//6-31+G(d,p) in implicit water simulation as the level of the calculations.
In previous electrochemical studies by cyclic voltammetry of the corresponding adducts 16, 17 and 3 (Figure 1), it was observed that ortho aryl 3 is more easily reduced to the corresponding anion radical (ArNO2−•) of the isomers 16 and 17 [20,21]. It was proposed by QTAIM calculations that the dihedral deviation of the NO2 moiety in ortho aryl 9 with the aromatic ring is caused by the intramolecular hydrogen bonding (IHB) of the seven-member grouping (HO---O-N-O, IHB = 2.104 Å) [22], which is responsible for the highest electron affinity of this nitrogen. These data are accepted as the reason behind the ease of the biological reduction the ortho nitro compounds related to their greater leishmanicidal activity [21]. We can note from Figure 2 that, in the hybrid 7, the nitro group is nearly coplanar with an aromatic ring (dihedral angle NO2 − Ar = 1.7°), which is very different from the observation of hybrid 9 (dihedral angle NO2 − Ar = 31.0°). Thus, the radical intermediates from ortho MBHA could present higher lifetimes than those of the para nitro regioisomer in cytoplasmic medium, increasing the cleavage of the nuclear membrane of protozoa [21].
3. Materials and Methods
3.1. Experimental Chemistry
General
All commercially available reagents and solvents were obtained from the provider Sigma-Aldrich® (St. Louis, MO, USA) and used without further purification. Reactions were monitored by TLC using Silica gel 60 UV254 pre-coated silica gel plates (Macherey-Nagel, Bethlehem, PA, USA) and detection was performed using a UV lamp. Flash column chromatography was performed on 300–400 mesh silica gels. Organic layers were dried over anhydrous MgSO4 or Na2SO4 prior to evaporation using a rotary evaporator. 1H-NMR and 13C-NMR spectra were recorded using a Mercury Spectra AC 20 spectrometer (200 MHz for 1H, 50 MHz for 13C, Varian, (Varian, Palo Alto, CA, USA). Chemical shifts were reported relative to internal tetramethylsilane (δ 0.00 ppm) for 1H, using CDCl3 as the solvent. FTIR spectra were recorded using a model IRPrestige-21 spectrophotometer (Shimadzu, Kyoto, Japan) in KBr pellets. The high-resolution mass spectrometry (HRMS) of new compounds 7–15 (Figure 1) was performed using a Q-Tof quadrupole/orthogonal instrument (Waters, Milford, MA, USA) in positive and negative mode.
3.2. General Procedure for Esterification of Eugenol (4), Thymol (5) and Carvacrol (6) with Acrylic Acid; Preparation of Compounds 18–20
Eugenol (3, 1.640 g, 10.0 mmol), thymol (4, 1.500 g, 10.0 mmol) or carvacrol (5, 1.500 g, 10.0 mmol) and dry dichloromethane (10.0 mL) were added in a bottle flask. After homogenization in an ice-bath and magnetic stirring, DCC (2.060 g, 10.0 mmol) and DMAP (0.122 g, 1 mmol) were added. The reaction was monitored by TL chromatography for 48 h. Filtration on a separating funnel was performed. Water was added and the reaction mixture was extracted with dichloromethane (30.0 mL × 2). The organic phase was dried over anhydrous Na2SO4 and concentrated under reduced pressure using a rotary evaporator. Purification was performed using a chromatographic column containing 30.0 g of flash silica gel, using 100.0 mL of hexane as eluent followed by a mixture of 300 mL ethyl acetate/hexane (30%). The fractions were collected, and the solvent was evaporated from the obtained product using a rotary evaporator. The expected products were colorless, somewhat viscous oils and solid at temperatures below 0 °C.
3.2.1. 4-Allyl-2-methoxyphenyl acrylate (18)
68% yield; FTIR KBr: 1745 cm−1 (C=O); 1637 cm−1 (C=C); 1602 (C=C); 1035 cm−1 (C-O-C). 1H-NMR δ (ppm): 6.98 (d, J = 7.8 Hz, 1H, H-Ar); 6.84–6.73 (m, 2H, H-Ar); 6.60 (dd, J = 17.3, 1.6 Hz, 1H, CH2=CH); 6.33 (dd, J = 17.3, 10.3 Hz, 1H, CH2=CH); 6.06–5.84 (m, 2H, CH=CH2); 5.17–5.03 (m, 2H, CH2=CH); 3.79 (s, 3H, CH3OPh); 3.37 (d, J = 6.7 Hz, 2H, CH2Ph). 13C-NMR δ (ppm): 164.28 (C3); 150.91 (C7); 139.07 (C9); 137.67 (C4); 137.04 (C1); 132.46 (C10); 127.64 (C2); 122.50 (C5); 120.68 (C6); 116.18 (C12); 112.75 (C8); 55.81 (C13); 40.10 (C11).
3.2.2. 2-Isopropyl-5-methylphenyl acrylate (19)
73% yield; FTIR KBr: 1743 cm−1 (C=O); 1622 cm−1 (C=C). 1H-NMR δ (ppm): 7.19 (d, J = 7.9 Hz, 1H, H-Ar); 7.00 (d, J = 8,9 Hz, 1H, H-Ar);)6.69 (s, 1H, H-Ar); 6.57 (dd, J = 17.2, 1.4 Hz, 1H, CH2=CH); 6.33 (dd, J = 17.3, 10.3 Hz, 1H, CH=CH2); 5.97 (d, J = 10.3 Hz, 1H, CH2=CH); 2.98–2.75 (m, 1H, HC-(CH3)2); 2.13 (s, 3H, H3C-Ph), 1.23 (d, J = 6.9 Hz, 6H, (CH3)2-CH). 13C-NMR δ (ppm): 164.41 (C3); 149.12 (C6); 148.10 (C4); 132.43 (C1); 130.93 (C8); 127.86 (C2); 127.23 (C9); 124.24 (C7); 119.73 (C5); 33.60, (C11); 23.95 (C12/12′); 15.80 (C10).
3.2.3. 5-Isopropyl-2-methylphenyl acrylate (20)
76% yield; FTIR KBr: 1743 cm−1 (C=O); 1635 cm−1 (C=C); 1622 cm−1 (C=C). 1H-NMR δ (ppm): 7.08 (d, J = 7.8 Hz, 1H, H-Ar); 6.97 (d, J = 7.8 Hz, 1H, H-Ar);) 6.69 (s, 1H, H-Ar); 6.57 (dd, J = 17.2, 1.4 Hz, 1H, CH2=CH); 6.33 (dd, J = 17.3, 10.3 Hz, 1H, CH=CH2); 5.97 (d, J = 10.3 Hz, 1H, CH2=CH); 2.98–2.75 (m, 1H, HC-(CH3)2); 2.13 (s, 3H, H3C-Ph), 1.23 (d, J = 6.9 Hz, 6H, (CH3)2-CH). 13C-NMR δ (ppm): 164.41 (C3); 149.12 (C6); 148.10 (C4); 132.43 (C1); 130.93 (C8); 127.86 (C2); 127.23 (C9); 124.24 (C7); 119.73 (C5); 33.60, (C11); 23.95 (C12e12′); 15.80 (C10).
3.3. General Synthesis of the MBHAs 16, 17 and 3
The compounds 16, 17 and 3 synthesized in this work are not new and were characterized using 1H-NMR and 13C-NMR for comparison with the compounds described in the literature [14]. Reactions were carried out using the corresponding aldehydes (1 mmol), methyl acrylate (0.5 mL) and of DABCO (1 mmol) at 0 °C. After some time, the reaction media was directly filtered through silica gel using EtOAc-hexane (2:8) as the solvent, and the reaction products were concentrated under reduced pressure. The products were then ready for biological evaluations without the need of further purification.
3.3.1. 2-[Hydroxy(4-nitrophenyl)methyl]propanoate (16)
85% yield; 1H-NMR δ (ppm): d, 8.16 (d, 2H, J = 8.8 Hz), 7.54 (d, 2H, J = 8.4 Hz), 6.36 (s, 1H), 5.86 (s, 1H), 5.60 (d, J = 5.8 Hz, 1H), 3.71 (s, 3H), 3.41 (d, J = 5.8 Hz, 1H). 13C-NMR δ (ppm): 52.2 (1C), 72.6 (1C), 123.5 (1C), 137.2 (1C), 127.3 (1C), 140.8 (1C), 147.3 (1C), 148.5 (1C), 166.3 (1C).
3.3.2. 2-[Hydroxy(3-nitrophenyl)methyl]propanoate (17)
98% yield; 1H-NMR δ (ppm): d, 8.22 (t, J = 1.8 Hz, 1H); 8.08–8.13 (m, 1H); 7.69–7.73 (m, 1H); 7.50 (t, J = 8 Hz, 1H); 6.38 (s, 1H); 5.89 (s, 1H); 5.60 (d, J = 4.4 Hz, 1H); 3.70 (s, 3H); 3.46 (d, J = 5.4 Hz, 1H). 13C-NMR δ (ppm): 52.2 (1C), 72.5 (1C), 121.5 (1C), 122.7 (1C), 127.2 (1C), 129.3 (1C), 132.7 (1C), 140.9 (1C), 143.5 (1C), 148.2 (1C), 166.3(1C).
3.3.3. 2-[Hydroxy(2-nitrophenyl)methyl]propanoate (3)
92% yield; 1H-NMR δ (ppm): d, 7.92 (dd, J = 8.2/1.2 Hz, 1H); 7.73 (dd, J = 7.8/1.8 Hz, 1H); 7.62 (ddd, J = 7.8/1.2/1.0 Hz, 1H); 7.43 (ddd, J = 8.0/1.6/1.6 Hz, 1H); 6.38 (s, 1H); 5.89 (d, 1H); 5.60 (d, J = 4.4 Hz, 1 Hz); 3.70 (s, 3H); 3.60 (d, J = 5.4 Hz, 1H). 13C-NMR δ (ppm): 52.20 (1C), 67.56 (1C), 124.55 (1C), 126.48 (1C), 128.67 (C), 128.67 (C) 133.47 (1C), 136.05 (1C), 140.65 (1C), 148.32 (1C), 166.39(1C).
3.4. General Synthesis of the Hybrids 7–15
To a 25.0 mL flask, acrylate 18, 19 or 20 (0.5 mmol), the corresponding nitro-substituted aldehyde (0.6 mmol), and dry acetonitrile (1.0 mL) were added. To the resulting solution DABCO (0.5 mmol) was added. The reaction mixture was stirred at room temperature and monitored by TLC for 3 h. The purified product was obtained by using 6.0 g of silica and 10.0 mL of acetonitrile to form a dispersion and added to a chromatographic column containing 30.0 g of flash silica gel. A mixture of 300 mL ethyl acetate/hexane 5% followed by 200 mL 15% acetate/hexane was used as an eluent. The fractions were separated and transferred to a rotary evaporator. The respective products were yellowish viscous oils at ambient temperature. All spectra are available in the Supplementary information.
3.4.1. 4-Allyl-2-methoxyphenyl 2-(hydroxy(4-nitrophenyl)methyl)acrylate (7)
78% yield; FTIR: 3450 cm−1 (O-H); 1735 cm−1 (C=O); 1637 cm−1 (C=C); 1602 cm−1 (C=C); 1531 and 1350 cm−1 (R-NO2), 1035 cm−1 (C-O-C). 1H-NMR δ (ppm): 8.21 (d, J = 8.8 Hz, 2H, H-Ar); 7.63 (d, J = 8.8 Hz, 2H, H-Ar); 6.95–6.89 (m, 1H, H-Ar); 6.81–6.73 (m, 2H, H-Ar); 6.64 (s, 1H, H-C-OH); 6.02 (d, J = 7.9 Hz, 1H, CH2=C); 5.96–5.70 (m, 2H, CH=CH2 and CH2=C); 5.16–5.03 (m, 2H, CH2=CH); 3.72 (s, 3H, CH3OPh); 3.40 (t, J = 13.3 Hz, 3H, CH2Ph and HO-C). 13C-NMR δ (ppm): 168.81 (C8); 155.16 (C14); 153.19 (C4); 152.16 (C3); 145.44 (C6); 144.22 (C12); 141.95 (C9); 141.56 (C16); 133.51 (C7); 132.24 (C1e1′); 128.29 (C2e2′); 127.01 (C10); 125.46 (C11); 121.03 (C17); 117.37 (C13); 77.33 (C5); 60.45 (C18); 44.78 (C15). HRMS (TOF MS ES−) calculated for C20H19NO6: 369.3700 [M + H]+; found: 370.1298.
3.4.2. 4-Allyl-2-methoxyphenyl-2-(hydroxy(3-nitrophenyl)methyl)acrylate (8)
71% yield; FTIR: 3450 cm−1 (O-H); 1735 cm−1 (C=O); 1637 cm−1 (C=C); 1602 cm−1 (C=C); 1531 and 1350 cm−1 (R-NO2), 1035 cm−1 (C-O-C). 1H-NMR δ (ppm): 8.33 (s, 1H, H-Ar); 8.17 (d, J = 7,0 Hz, 1H, H-Ar); 7.80 (d, J = 8.2 Hz, 1H, H-Ar); 7.54 (t, J = 7.9 Hz, 1H, H-Ar); 6.93 (d, J = 8.6 Hz, 1H, H-Ar); 6.75 (d, J = 7.3 Hz, 2H, H-Ar); 6.66 (s, 1H, H-C-OH); 6.03 (s, 1H, CH2=C); 5.75–5.95 (m, 2H, CH=CH2 and CH2=C); 5.14–5.04 (m, 2H, CH2=CH); 3.72 (s, 3H, CH3OPh); 3.36 (d, J = 6.7 Hz, 3H, CH2Ph and HO-C). 13C-NMR δ (ppm): 164.84 (C10); 151.22 (C16); 149.09 (C4); 144.23 (C6); 141.43 (C9); 140.21 (C14); 138.02 (C11); 137.63 (C18); 133.62 (C1); 130.09 (C2); 129.58 (C8); 123.55 (C5); 123.06 (C3); 122.45 (C12); 121.48 (C13); 117.02 (C19); 113.40 (C15); 73.35 (C7); 56.53 (C20); 40.83 (C17). HRMS (TOF MS ES−) calculated for C20H19NO6: 369.3700 [M + H]+; found: 370.1390.
3.4.3. 4-Allyl-2-methoxyphenyl 2-(hydroxy(2-nitrophenyl)methyl)acrylate (9)
75% yield; FTIR: 3458 cm−1 (O-H); 1737 cm−1 (C=O); 1637 cm−1 (C=C); 1604 cm−1 (C=C); 1527 and 1348 cm−1 (R-NO2), 1033 cm−1 (C-O-C). 1H-NMR δ (ppm): 7.96–8.06 (m, 1H, H-Ar); 7.83 (d, J = 7.8 Hz, 1H, H-Ar); 7.67 (dd, J = 8.3, 4.6 Hz, 1H, H-Ar); 7.50 (d, J = 6.7 Hz, 1H, H-Ar); 6.93 (d, J = 8.6 Hz, 1H, H-Ar); 6.79–6.70 (m, 2H, H-Ar); 6.61 (s, 1H, H-C-OH); 6.31 (s, 1H, CH2=C); 6.05–5.81 (m, 2H, CH=CH2 and CH2=C); 5.16–5.01 (m, 2H, CH2=CH); 3.73 (s, 4H, CH3OPh and HO-C); 3.36 (d, J = 6.7 Hz, 2H, CH2Ph). 13C-NMR δ (ppm): 164.12 (C10); 150.52 (C16); 148.32 (C5); 140.25 (C9); 139.21 (C14); 137.43 (C6); 136.92 (C18); 135.99 (C11); 133.50 (C2); 129.09 (C3); 128.72 (C1); 128.06 (C8); 124.67 (C4); 122.34 (C12); 120.65 (C13); 116.18 (C19); 112.61 (C15); 67.88 (C7); 55.72 (C20); 40.04 (C17). HRMS (TOF MS ES−) calculated for C20H19NO6: 369.3700 [M + H]+; found: 370.1298.
3.4.4. 2-Isopropyl-5-methylphenyl 2-(hydroxy(4-nitrophenyl)methyl)acrylate (10)
80% yield; FTIR: 3485 cm−1 (O-H); 1732 cm−1 (C=O); 1606 cm−1 (C=C); 1523 and 1348 cm−1 (R-NO2). 1H-NMR δ (ppm): 8.20 (d, J = 8.8 Hz, 2H, H-Ar); 7.63 (d, J = 8.6 Hz, 2H, H-Ar); 7.06 (d, J = 7.8 Hz, 2H, H-Ar); 6.78 (d, J = 7.3 Hz, 1H, H-Ar); 6.67 (s, 1H, H-C-OH); 6.12 (s, 1H, CH2=C); 5.75 (d, J = 4.8 Hz, 1H, CH2=C); 3.50 (d, J = 4.9 Hz, 1H, HO-C); 2.85 (hept, J = 6.8 Hz, 1H, HC-(CH3)2); 1.95 (s, 3H, H3C-Ph); 1.20 (d, J = 6.9 Hz, 6H, (CH3)2-CH). 13C-NMR δ (ppm): 164.24 (C8); 148.63 (C4); 148.27 (C9); 147.48 (C3); 140.93 (C11); 131.01 (C13); 128.23 (C6); 128.16 (C7); 127.56 (C2/2′); 126.95 (C14); 124.49 (C12); 123.63 (C1/1′); 119.46 (C10); 72.36 (C5); 33.50 (C16); 23.85 (C17/17′); 15.57 (C15). HRMS (TOF MS ES−) calculated for C20H21NO5: 355.1400 [M − H]−; found: 354.1426.
3.4.5. 2-Isopropyl-5-methylphenyl 2-(hydroxy(3-nitrophenyl)methyl)acrylate (11)
73% yield; FTIR: 3493 cm−1 (O-H); 1730 cm−1 (C=O); 1637 cm−1 (C=C); 1622 cm−1 (C=C); 1531 and 1350 cm−1 (R-NO2).1H-NMR δ (ppm): 8.30 (s, 1H, H-Ar); 8.15 (dd, J = 8.2, 1.1 Hz, 1H, H-Ar); 7.79 (d, J = 7.7 Hz, 1H, H-Ar); 7.53 (t, J = 7.9 Hz, 1H, H-Ar); 7.06 (dd, J = 7.8 Hz, 2H, H-Ar); 6.79 (s, 1H, H-Ar); 6.68 (s, 1H, H-C-OH); 6.13 (s, 1H, CH2=C); 5.74 (d, J = 5.2 Hz, 1H, CH2=C); 3.36 (d, J = 5.6 Hz, 1H, HO-C), 2.76–2.60 (m, 1H, HC-(CH3)2); 1.95 (s, 3H, H3C-Ph); 1.20 (d, J = 6.9 Hz, 6H, (CH3)2-CH). 13C-NMR δ (ppm): 164.29 (C10); 148.69 (C11); 148.29 (C4); 143.56 (C13); 140.81 (C6); 132.90 (C1); 131.01 (C2); 129.44 (C15); 128.36 (C8); 128.28 (C9); 126.99 (C16); 124.51 (C5); 122.89 (C3); 121.65 (C14); 119.49 (C12); 72.17 (C7); 33.51 (C17); 23.87 (C18/18′); 15.60 (C19). HRMS (TOF MS ES−) calculated for C20H21NO5: 355.1400 [M − H]−; found: 354.1154.
3.4.6. 2-Isopropyl-5-methylphenyl 2-(hydroxy(2-nitrophenyl)methyl)acrylate (12)
58% yield; FTIR: 3450 cm−1 (O-H); 1734 cm−1 (C=O); 1620 cm−1 (C=C); 1527 and 1348 cm−1 (R-NO2). 1H- NMR δ (ppm): 7.87 (d, J = 7.5 Hz, 2H, H-Ar); 7.62 (t, J = 7.5 Hz, 1H, H-Ar); 7.42 (t, J = 7.7 Hz, 1H, H-Ar); 7.03 (d, J = 7.8 Hz, 2H, H-Ar); 6.81 (s, 1H, H-Ar); 6.58 (s, 1H, H-C-OH); 6.30 (s, 1H, CH2=C); 5.86 (s, 1H, CH2=C); 3.82 (s, 1H, HO-C); 2.95–2.74 (m, 1H, HC-(CH3)2); 1.96 (s, 3H, H3C-Ph); 1.19 (d, J = 6.9 Hz, 6H, (CH3)2-CH). 13C-NMR δ (ppm): 164.36 (C10); 148.92 (C11); 148.12 (C5); 140.83 (C13); 136.39 (C8); 133.61 (C2); 130.93 (C15); 128.96 (C3); 128.79 (C1); 127.70 (C6); 127.66 (C9); 127.18 (C16); 124.78 (C4); 124.32 (C14); 119.61 (C12); 67.54 (C7); 33.53 (C17); 23.89 (C18/18′); 15.55 (C19). HRMS (TOF MS ES−) calculated for C20H21NO5: 355.1400 [M − H]−; found: 354.1335.
3.4.7. 5-Isopropyl-2-methylphenyl 2-(hydroxy(4-nitrophenyl)methyl)acrylate (13)
92% yield; FTIR: 3510 cm−1 (O-H); 1728 cm−1 (C=O); 1624 cm−1 (C=C); 1606 cm−1 (C=C); 1521 and 1348 cm−1 (R-NO2). 1H-NMR δ (ppm): 8.20 (d, J = 8.8 Hz, 2H, H-Ar); 7.63 (d, J = 8.6 Hz, 2H, H-Ar); 7.06 (dd, J = 21.4, 7.8 Hz, 2H, H-Ar); 6.78 (d, J = 1.2 Hz, 1H, H-Ar); 6.67 (s, 1H, H-C-OH); 6.12 (s, 1H, CH2=C); 5.75 (d, J = 4.8 Hz, 1H, CH2=C); 3.50 (d, J = 4.9 Hz, 1H, HO-C); 2.85 (hept, J = 6.8 Hz, 1H, HC-(CH3)2); 1.95 (s, 3H, H3C-Ph); 1.20 (d, J = 6.9 Hz, 6H, (CH3)2-CH). 13C-NMR δ (ppm): 164.24 (C8); 148.63 (C4); 148.27 (C9); 147.48 (C3); 140.93 (C11); 131.01 (C13); 128.23 (C6); 128.16 (C7); 127.56 (C2e2′); 126.95 (C14); 124.49 (C12); 123.63 (C1e1′); 119.46 (C10); 72.36 (C5); 33.50 (C16); 23.85 (C17e17′); 15.57 (C15). HRMS (TOF MS ES−) calculated for C20H21NO5: 355.1400 [M − H]−; found: 354.1335.
3.4.8. 5-Isopropyl-2-methylphenyl 2-(hydroxy(3-nitrophenyl)methyl)acrylate (14)
63% yield; FTIR: 3450 cm−1 (O-H); 1735 cm−1 (C=O); 1637 cm−1 (C=C); 1602 cm−1 (C=C); 1531 and 1350 cm−1 (R-NO2). 1H-NMR δ (ppm): 8.30 (s, 1H, H-Ar); 8.14 (d, J = 8.2 Hz, 1H, H-Ar); 7.79 (d, J = 7.7 Hz, 1H, H-Ar); 7.53 (t, J = 7.9 Hz, 1H, H-Ar); 7.08 (d, J =7.8 Hz, 2H, H-Ar); 6.79 (s, 1H, H-Ar); 6.68 (s, 1H, H-C-OH); 6.13 (s, 1H, CH2=C); 5.74 (d, J = 5.2 Hz, 1H, CH2=C); 3.36 (d, J = 5.6 Hz, 1H, HO-C), 2.97–2.71 (m, 1H, HC-(CH3)2); 1.95 (s, 3H, H3C-Ph); 1.20 (d, J = 6.9 Hz, 6H, (CH3)2-CH). 13C-NMR δ (ppm): 164.29 (C10); 148.69 (C11); 148.29 (C4); 143.56 (C13); 140.81 (C6); 132.90 (C1); 131.01 (C2); 129.44 (C15); 128.36 (C8); 128.28 (C9); 126.99 (C16); 124.51 (C5); 122.89 (C3); 121.65 (C14); 119.49 (C12); 72.17 (C7); 33.51 (C17); 23.87 (C18/18′); 15.60 (C19). HRMS (TOF MS ES−) calculated for C20H21NO5: 355.1400 [M − H]−; found: 354.1154.
3.4.9. 5-Isopropyl-2-methylphenyl 2-(hydroxy(2-nitrophenyl)methyl)acrylate (15)
72% yield; FTIR: 3489 cm−1 (O-H); 1734 cm−1 (C=O); 1624 cm−1 (C=C); 1527 and 1348 cm−1 (R-NO2). 1H- NMR δ (ppm): 7.86 (d, J = 7.5 Hz, 2H, H-Ar); 7.62 (t, J = 7.5 Hz, 1H, H-Ar); 7.42 (t, J = 7.7 Hz, 1H, H-Ar); 7.03 (d, J = 7.9 Hz, 2H, H-Ar); 6.81 (s, 1H, H-Ar); 6.58 (s, 1H, H-C-OH); 6.30 (s, 1H, CH2=C); 5.86 (s, 1H, CH2=C); 3.82 (s, 1H, HO-C); 2.99–2.67 (m, 1H, HC-(CH3)2); 1.96 (s, 3H, H3C-Ph); 1.19 (d, J = 6.9 Hz, 6H, (CH3)2-CH). 13C-NMR δ (ppm): 164.36 (C10); 148.92 (C11); 148.12 (C5); 140.83 (C13); 136.39 (C8); 133.61 (C2); 130.93 (C15); 128.96 (C3); 128.79 (C1); 127.70 (C6); 127.66 (C9); 127.18 (C16); 124.78 (C4); 124.32 (C14); 119.61 (C12); 67.54 (C7); 33.53 (C17); 23.89 (C18/18′); 15.55 (C19). HRMS (TOF MS ES) calculated for C20H21NO5: 355.1400 [M − H]−; found: 354.1516.
3.5. Biology
The promastigote viabilities were determined by the ability of living cells to reduce the yellow MTT (3-(4,5-dimethylthiazol-2-yl)-2,5-diphenyltetrazolium bromide, a tetrazole) to purple formazan [23]. Promastigote forms of Leishmania amazonensis (IFLA/BR/67/PH8) in the log phase of growth were incubated at 25 °C in 96-well cellular culture plates (TPP, Trasadingen, Switzerland) with 1 × 105 cells/well in 100 μL Schneider’s Drosophila medium supplemented with 20% of FBS in the presence or absence of different concentrations of compounds 4–15. The growth of promastigotes forms was evaluated simultaneously in the presence of Glucantime®, as reference drug. After 72 h of incubation, 10 mL of a 5 mg·mL−1 MTT solution was added. After 4 h of incubation at 25 °C, the formed product formazan was dissolved in 50 mL of sodium dodecyl sulfate (SDS) at 10% for 24 h, and the absorbance was measured by spectrophotometry at a 545 nm wavelength. The percentage viability was calculated from the ratio of OD readings in the wells with compounds versus the wells without compounds × 100. The concentration that inhibited 50% of growth (IC50) was determined by regression analysis using the SPSS 8.0 software for Windows (IBM, New York, NY, USA). All experiments were performed at least three times, and each experiment was performed in triplicate [16]. Haemolytic assays (HC50 > 400 μM) showed that the 4, 7, 8, 9, 16, 17 and 3 exhibit low toxicity towards human red blood cells, unlike amphotericin B (HC50 = 11.61 μM Table 1) [24].
3.6. Conformational Analysis
The relaxed potential energy surface scan (RPESS) was performed by taking particular care of the dihedral angles θ1–θ10, which are illustrated in Figure 3. These calculations were executed by using the semi-empiric PM6 level with angle variations from 0° to 360° in intervals of 10°. Next, the minimum conformation was fully optimized by M062x//6-31+G(d,p) as the level of the calculations without any symmetry constraint and with all geometries modeled at a minimum of potential energy because no imaginary frequencies were found. The minima of hybrids 7 and 9 were optimized in water implicit simulations using the CPCM methodology by GAUSSIAN09L [25].
Figure 3.
Computational methodology used to minimize the new hybrids 7 and 9. Optimized geometries (Cartesian coordinates) to 7 and 9 are available in the Supplementary information.
4. Conclusions
The nine new molecular hybrids designed in this study were synthesized in good yields in two steps from eugenol, thymol and carvacrol and presented IC50 values in the range of 22.30–4.71 μM to promastigotes of Leishmania amazonensis. Besides, the most active hybrid 9 does not exhibit significant toxicity in red blood cell studies (SIrb > 84.92) which suggests the possibility of an advancement in CL and MCL treatment. The experimental studies of bioactivity and conformational DFT calculations presented here are in full agreement with our first mechanistic proposal whereby the biological activity of nitro compounds is connected to nitro group reduction that generates RNO−•. Separation of the enantiomers of the new compound 9 by kinetic resolution catalyzed by lipase B from Candida antarctica [26] and performing in vivo studies will continue this present work.
Supplementary Materials
Supplementary information related to this article is available at www.mdpi.com/1420-3049/21/11/1483/s1.
Acknowledgments
The authors gratefully acknowledge CNPq and CAPES for financial support; Felipe T. Martins (UFG) for the HRMS data; and PRPG-UFPB by financial support of the highly qualified native English speaking editors at American Journal Experts and the payment of publication fees of this article.
Author contributions
Francisco José da Seixas Xavier was responsible for the chemical experiments and analyzed the data; Klinger Antonio da Franca Rodrigues was responsible for antipromastigotes experiments, Ramon Guerra de Oliveira and Claudio Gabriel Lima Junior participate in discussions during the work. Juliana da Câmara Rocha developed the study of cytotoxicity and selectivity index of compounds. Tatjana Keesen de Souza Lima directed the study of cytotoxicity and selectivity index of compounds. Marcia Rosa de Oliveira directed the study of antipromastigotes experiments; Fábio Pedrosa Lins Silva and Mário Luiz Araújo de Almeida Vasconcellos coordinate the chemical experiments and analyzed the data and had all conception of this work. They also wrote this article.
Conflicts of Interest
The authors declare no conflict of interest.
References
- Alvar, J; Vélez, I.D.; Bern, C.; Herrero, M.; Desjeux, P.; Cano, J.; Jannin, J.; den-Boer, M. Leishmaniasis Worldwide and Global Estimates of Its Incidence. PLoS ONE 2012, 7, e35671. [Google Scholar] [CrossRef]
- Volpinia, Â.C.; Passos, V.M.A.; Oliveira, G.C.; Romanha, A.J. PCR-RFLP to identify Leishmania (Viannia) braziliensis and L. (Leishmania) amazonensis causing American cutaneous leishmaniasis. Acta Tropica 2004, 90, 31–37. [Google Scholar] [CrossRef]
- Leishmaniasis. Available online: http://www.who.int/leishmaniasis/en/ (accessed on 10 March 2016).
- Rafik, L.; Rhaiem, B.; Houimel, M. Targeting Leishmania major parasite with peptides derived from a combinatorial phage display library. Acta Tropica 2016, 159, 11–19. [Google Scholar]
- Croft, S.L.; Coombs, G.H. Leishmaniasis-current chemotherapy and recent advances in the search for novel drugs. Trends Parasitol. 2003, 19, 502–508. [Google Scholar] [CrossRef]
- Sangshetti, J.N.; Khan, F.A.K.; Kulkarni, A.A.; Arote, R.; Patil, R.H. Antileishmanial drug discovery: Comprehensive review of the last 10 years. RSC Adv. 2015, 5, 32376–32415. [Google Scholar] [CrossRef]
- Lima-Junior, C.G.; Vasconcellos, M.L.A.A. Morita-Baylis-Hillman adducts: Biological activities and potentialities to the discovery of new cheaper drugs. Bioorg. Med. Chem. 2012, 20, 3954–3971. [Google Scholar] [CrossRef]
- Basavaiah, D.; Reddy, B.S.; Badsara, S.S. Recent Contributions from the Baylis−Hillman Reaction to Organic Chemistry. Chem. Rev. 2010, 110, 5447–5674. [Google Scholar] [CrossRef]
- Santos, M.S.; Coelho, F.; Lima-Junior, C.G.; Vasconcellos, M.L.A.A. The Morita-Baylis-Hillman Reaction: Advances and Contributions from Brazilian Chemistry. Curr. Org. Synth. 2015, 12, 830–852. [Google Scholar] [CrossRef]
- Barbosa, T.P.; Sousa, S.C.O.; Amorim, F.M.; Rodrigues, Y.K.S.; De Assis, P.A.C.; Caldas, J.P.A.; Oliveira, M.R.; Vasconcellos, M.L.A.A. Design, synthesis and antileishmanial in vitro activity of new series of chalcones-like compounds: A molecular hybridization approach. Bioorg. Med. Chem. 2011, 19, 4250–4256. [Google Scholar] [CrossRef]
- De Souza, R.O.M.A.; Pereira, V.L.P.; Muzitano, M.F.; Rossi-Bergmann, B.; Filho, E.B.A.; Vasconcellos, M.L.A.A. High selective leishmanicidal activity of 3-hydroxy-2-methylene-3-(4-bromophenyl) propanenitrile and analogous compounds. Eur. J. Med. Chem. 2007, 42, 99–102. [Google Scholar] [CrossRef]
- Barbosa, T.C.; Lima, C.G., Jr.; Silva, F.P.L.; Lopes, H.M.; Figueiredo, L.R.F.; Souza, S.C.O.; Batista, G.N.; Silva, T.G.; Silva, T.M.; Oliveira, M.R.; et al. Improved synthesis of seven aromatic Baylis-Hillman adducts (BHA): Evaluation against Artemia salina Leach. and Leishmania chagasi. Eur. J. Med. Chem. 2009, 44, 1726–1730. [Google Scholar] [CrossRef]
- Junior, C.G.L.; de Assis, P.A.C.; Silva, F.P.L.; Sousa, S.C.O.; de Andrade, N.G.; Barbosa, T.P.; Nerís, P.L.N.; Segundo, L.V.G.; Anjos, I.C.; Carvalho, G.A.U.; et al. Efficient synthesis of 16 aromatic Morita–Baylis–Hillman adducts: Biological evaluation on Leishmania amazonensis and Leishmania chagasi. Bioorg. Chem. 2010, 38, 279–284. [Google Scholar] [CrossRef]
- Silva, F.P.L.; de Assis, P.A.C.; Lima-Junior, C.G.; de Andrade, N.G.; da Cunha, S.M.D.; Oliveira, M.R.; Vasconcellos, M.L.A.A. Synthesis, evaluation against Leishmania amazonensis and cytotoxicity assays in macrophages of sixteen new congeners Morita-Baylis-Hillman adducts. Eur. J. Med. Chem. 2011, 46, 4295–4301. [Google Scholar] [CrossRef]
- Da Silva, W.A.V.; Rodrigues, D.C.; Oliveira, R.G.; Mendes, R.K.S.; Olegário, T.R.; Rocha, J.C.; Keesen, T.S.L.; Lima, C.G., Jr.; Vasconcellos, M.L.A.A. Synthesis and activity of novel homodimers of Morita-Baylis-Hillman adducts against Leishmania donovani: A twin drug approach. Bioorg. Med. Chem. Lett. 2016, 26, 4523–4526. [Google Scholar] [CrossRef]
- Islamuddin, M.; Sahal, D.; Afrin, F. Apoptosis-like death in Leishmania donovani promastigotes induced by eugenol-rich oil of Syzygium aromaticum. J. Med. Microbiol. 2014, 63, 74–85. [Google Scholar] [CrossRef]
- Morais, S.M.; Vila-Nova, N.S.; Bevilaqua, C.M.L.; Rondon, F.C.; Lobo, C.H.; Moura, A.A.A.; Sales, N.A.D.; Rodrigues, A.P.R.; Figuereido, J.R.; Campello, C.C.; et al. Thymol and eugenol derivatives as potential antileishmanial agentes. Bioorg. Med. Chem. 2014, 22, 6250–6255. [Google Scholar] [CrossRef]
- Farias, P.A., Jr.; Rios, M.C.; Moura, T.A.; Almeida, R.P.; Alves, P.B.; Blank, A.F.; Fernandes, R.P.; Scher, M.R. Leishmanicidal activity of carvacrol-rich essential oil from Lippia sidoides Cham. Biol. Res. 2012, 45, 399–402. [Google Scholar] [CrossRef]
- Patterson, S.; Wyllie, S. Nitro drugs for the treatment of trypanosomatid diseases: Past, present, and future prospects. Trends Parasitol. 2014, 30, 289–298. [Google Scholar] [CrossRef]
- Paiva, Y.G.; Souza, A.A.; Lima, C.G., Jr.; Silva, F.P.L.; Filho, E.B.A.; Vasconcelos, C.C.; Abreu, F.C.; Goulart, M.O.F.; Vasconcellos, M.L.A.A. Correlation between electrochemical and theoretical studies on the leishmanicidal activity of twelve Morita-Baylis-Hillman adducts. J. Braz. Chem. Soc. 2012, 23, 894–904. [Google Scholar] [CrossRef]
- Paiva, Y.G.; Júnior, W.P.A.; de Souza, A.; Costa, C.O.; Silva, F.P.L.; Lima, C.G., Jr.; Vasconcellos, M.L.A.A.; Goulart, M.O.F. Electrochemical and computational studies, in protic medium, of Morita-Baylis-Hillman adducts and correlation with leishmanicidal activity. Electrochim. Acta 2014, 140, 557–563. [Google Scholar] [CrossRef]
- Filho, E.B.A.; Ventura, E.; do Monte, S.A.; Oliveira, B.G.; Junior, C.G.L.; Rocha, G.B.; Vasconcellos, M.L.A.A. Synthesis and conformational study of a new class of highly bioactive compounds. Chem. Phys. Lett. 2007, 449, 336–340. [Google Scholar] [CrossRef]
- Mosmann, T. Rapid colorimetric assay for cellular growth and survival: Application to proliferation and cytotoxicity assays. J. Immunol. Methods 1983, 65, 55–63. [Google Scholar] [CrossRef]
- Rodrigues, K.A.F.; Dias, C.N.S.; Néris, P.L.N.; Rocha, J.C.; Scotti, M.T.; Scotti, L.; Mascarenhas, S.R.; Veras, R.C.; de Medeiros, I.A.; Keesen, T.S.L.; et al. 2-Amino-thiophene derivatives present antileishmanial activity mediated by apoptosis and immunomodulation in vitro. Eur. J. Med. Chem. 2015, 106, 1–14. [Google Scholar] [CrossRef]
- Frisch, M.J.; Trucks, G.W.; Schlegel, H.B.; Scuseria, G.E.; Robb, M.A.; Cheeseman, J.R.; Scalmani, G.; Barone, V.; Mennucci, B.; Petersson, G.A.; et al. Gaussian 09, Revision E.01. Gaussian, Inc.: Wallingford, CT, USA, 2009. [Google Scholar]
- Xavier, F.J.S.; Neto, J.S.S.; Néris, P.L.N.; Oliveira, M.R.; Vale, J.A.; Vasconcellos, M.L.A.A. Kinetic resolution of leishmanicidal meta and para (±)-2-[Hydroxy(nitrophenyl) methyl]acrylonitrile catalyzed by CALB: In vitro evaluations of separated meta (R), (S) and (R/S) adducts. J. Mol. Catal. B. Enzyn. 2014, 108, 7–12. [Google Scholar] [CrossRef]
- Sample Availability: Samples of the compounds are available from the authors.
© 2016 by the authors. Licensee MDPI, Basel, Switzerland. This article is an open access article distributed under the terms and conditions of the Creative Commons Attribution (CC-BY) license ( http://creativecommons.org/licenses/by/4.0/).






