Molecular Structures of the Products of a Diphosphonate Ester Building Block with Lewis Bases
Abstract
:1. Introduction


2. Results and Discussion
2.1. Supramolecular Structure of 1

2.2. Supramolecular Structure of 2


| Compound | C-H···π | Symmetry Code | C···π Centroid-Centroid (Å) | ∠C-H···π (°) |
|---|---|---|---|---|
| 2 | C(14)-H(14B)···Cg(3) | x, −1 + y, z | 3.640 | 149.55 |
| C(14)-H(14B)···Cg(3) | 1− x, 1 − y, −z | 3.640 | 149.55 | |
| C(17)-H(17B)···Cg(4) | x, y, z | 3.695 | 136.52 | |
| C(17)-H(17B)···Cg(4) | − x, 1 − y, 1 − z | 3.695 | 136.52 | |
| 3 | C(5)-H(5A)···Cg(1) | − x, −½ + y, ½ − z | 4.044 | 164.92 |
| C(5)-H(5A)···Cg(1) | x, −½ − y, ½ + z | 4.044 | 164.92 | |
| 4 | C(2)-H(2B)···Cg(1) | x, y, z | 3.792 | 145.37 |
| C(2)-H(2B)···Cg(1) | − x, −y, −z | 3.792 | 145.37 |
2.3. Supramolecular Structure of 3


2.4. Supramolecular Structure of 4

2.5. Fluorescence Properties

3. Experimental Section
3.1. Materials and Methods
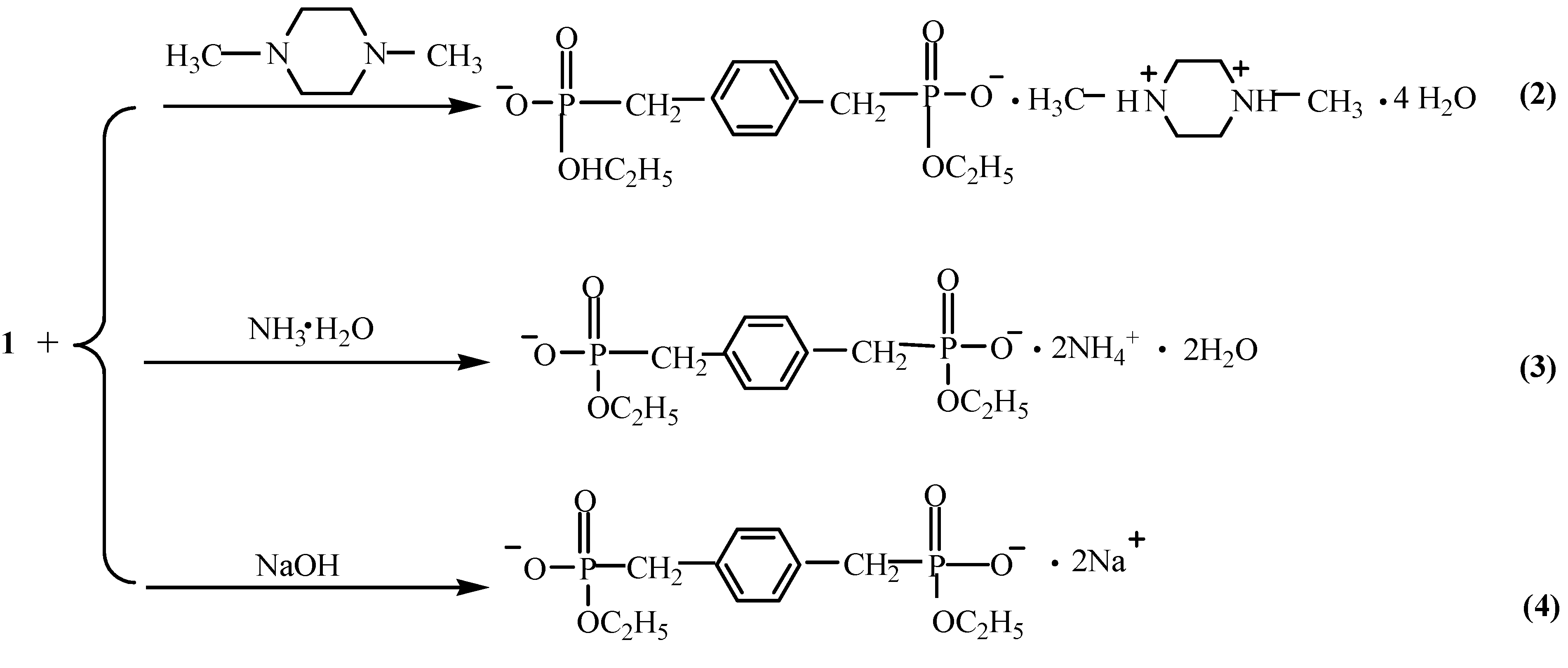
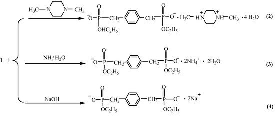
3.2. Synthesis of H2[BBPEH2] (1)
3.3. Synthesis of [BBPEH2]2−·[Protonated N,N-dimethylpiperazine]2+·4H2O (2)
3.4. Synthesis of [BBPEH2]2−·[NH4]22+·2H2O (3)
3.5. Synthesis of {[BBPEH2]·[Na2(H2O)6]}∞ (4)
3.6. Single Crystal X-ray Diffraction Studies
| Empirical Formula | C6H8O3P | C18H40N2O10P2 | C6 H15NO4P | C12H30Na2O12P2 |
|---|---|---|---|---|
| M | 159.09 | 506.46 | 196.16 | 474.28 |
| crystal size/mm | 0.24 × 0.20 × 0.16 | 0.30 × 0.18 × 0.14 | 0.22 × 0.20 × 0.18 | 0.24 × 0.22 × 0.18 |
| T/K | 293(2) | 293(2) | 293(2) | 293(2) |
| λ/Å | 0.71073 | 0.71073 | 0.71073 | 0.71073 |
| crystal system | monoclinic | centric | centric | centric |
| space group | C2 | P-1 | P-1 | Pnma |
| a/Å | 13.431(3) | 9.3520(19) | 13.079(3) | 8.2010(16) |
| b/Å | 8.8309(18) | 10.458(2) | 9.1170(18) | 28.502(6) |
| c/Å | 7.7810(16) | 15.736(3) | 8.9340(18) | 9.7120(19) |
| α/deg | 90 | 81.56(3) | 89.88(3) | 90 |
| β/deg | 123.98(3) | 82.84(3) | 107.82(3) | 90 |
| γ/deg | 90 | 63.46(3) | 90.02(3) | 90 |
| V/Å3 | 765.3(3) | 1358.9(5) | 1014.2(4) | 2270.1(8) |
| Z | 4 | 2 | 4 | 4 |
| ρ calcd/g.cm−3 | 1.381 | 1.238 | 1.285 | 1.352 |
| F (000) | 332 | 544 | 420 | 952 |
| μ/mm−1 | 0.304 | 0.208 | 0.252 | 0.280 |
| θ range/deg | 2.94 to 26.98 | 1.31 to 29.31 | 1.64 to 26.97 | 1.43 to 25.00 |
| completeness to θ | 98.7% | 74.9% | 97.2% | 99.6% |
| range of h, k, l | −17 ≤ h ≤ 14, −11 ≤ k ≤ 11, 0 ≤ l ≤ 9 | 0 ≤ h ≤ 11, −11 ≤ k ≤ 12, −18 ≤ l ≤ 18 | −15 ≤ h ≤ 15, −10 ≤ k ≤ 10, 0 ≤ l ≤ 10 | 0 ≤ h ≤ 9, −33 ≤ k ≤ 0, 0 ≤ l ≤ 11 |
| reflections collected/unique | 1773/881 | 6013/5585 | 4426/2150 | 2035/2035 |
| Rint | 0.0334 | 0.1221 | 0.0691 | 0.0000 |
| data/restraints/parameters | 881/1/60 | 5585/0/297 | 2150/2/134 | 2035/0/133 |
| GOF on F2 | 1.144 | 1.027 | 1.086 | 1.065 |
| final R indices [I > 2σ (I)] | R1 = 0.0504 wR2 = 0.1373 | R1 = 0.0574 wR2 = 0.1688 | R1 = 0.0374 wR2 = 0.0994 | R1 = 0.0962 wR2 = 0.2405 |
| R indices (all data) | R1 = 0.0545 wR2 = 0.1416 | R1 = 0.0954 wR2 = 0.1946 | R1 = 0.0496 wR2 = 0.1069 | R1 = 0.1459 wR2 = 0.2891 |
| peak, hole/e.Å−3 | 0.600 and −0.358 | 0.584 and −0.610 | 0.350 and −0.378 | 1.396 and −1.108 |
| Compound | D-H···A | Symmetry Code | D···A (Å) | ∠D-H···A (°) |
|---|---|---|---|---|
| 1 | O(2)-H(1)···O(2) | − x, y, −z | 2.5114 | 165.95 |
| 2 | N(1)-H(1)···O(2) | x, −1 + y, z | 2.6265 | 175.86 |
| O(1w)-H(11W)···O(4W) | −1 + x, y, z | 3.0756 | 126.99 | |
| O(2W)-H(12W)···O(1) | −1 + x, y, z | 2.8627 | 155.48 | |
| O(3W)-H(13W)···O(2) | 2 − x, 1 − y, −z | 3.0145 | 164.35 | |
| O(4W)-H(14W)···O(5) | 1 − x, 1 − y, 1 − z | 2.9162 | 172.15 | |
| O(1W)-H(21W)···O(4) | x, −1 + y, z | 2.8216 | 164.14 | |
| 3 | N (1)-H(1)···O(1) | x, ½ − y, ½ + z | 2.8338 | 168.93 |
| O(2W)-H(3)···O(2) | x, ½ − y, ½ + z | 2.7913 | 171.10 | |
| N(1)-H(5)···O(2W) | 1 − x, −1/2 + y, ½ − z | 2.8304 | 162.13 | |
| N(1)-H(6)···O(2) | 1 − x, ½ + y, ½ − z | 2.7767 | 169.00 |
4. Conclusions
Supplementary Materials
Acknowledgments
Author Contributions
Conflicts of Interest
References
- Fu, R.B.; Hu, S.M.; Wu, X.T. Mix-Solvothermal Syntheses, Characterization, and Properties of New Zinc Diphosphonates with Zn-O-P Chains, Layers, and 3D Frameworks. Cryst. Growth Des. 2007, 7, 1134–1144. [Google Scholar]
- Mahmoudkhani, A.H.; Langer, V. Supramolecular Isomerism and Isomorphism in the Structures of 1,4-Butanebisphosphonic Acid and Its Organic Ammonium Salts. Cryst. Growth Des. 2002, 2, 21–25. [Google Scholar]
- Wu, S.M.; Chen, S.P.; Li, M. Self-assembly of organic acid-base compounds from 2-D layered network to 3-D supramolecular framework: Synthesis, structure and photoluminescence. CrystEngComm. 2007, 9, 907–914. [Google Scholar]
- Ortiz-Avila, C.Y.; Bhardwaj, C.; Clearfield, A. Zirconium Polyimine Phosphonates, a New Class of Remarkable Complexing Agents. Inorg. Chem. 1994, 33, 2499–2500. [Google Scholar]
- TianHua, Z.; Zhang-Zhen, H.; Xiang, X. Ligand Geometry Directed Polar Cobalt(II) Phosphonate Displaying Weak Ferromagnetism. Cryst. Growth Des. 2013, 13, 838–843. [Google Scholar]
- Kumar, T.S.; Yang, T.; Mishra, S. 5′-Phosphate and 5′-phosphonate ester derivatives of (N)-methanocarba adenosine with in vivo cardioprotective activity. J. Med. Chem. 2013, 56, 902–914. [Google Scholar] [CrossRef] [PubMed]
- Ferreira, C.L.; Holley, I.; Bensimon, C. Pharmacokinetic Modulation of Radiolabeled Chelates Facilitated by Phosphonate Ester Coordinating Groups. Mol. Pharmaceutics. 2012, 9, 2180–2186. [Google Scholar] [CrossRef]
- Tolis, E.I.; Helliwell, M.; Langley, S. Synthesis and characterization of iron(III) phosphonate cage complexes. Angew. Chem. Int. Ed. 2003, 42, 3804–3808. [Google Scholar] [CrossRef] [PubMed]
- Harvey, H.G.; Teat, S.J.; Tang, C.C. Synthesis and Characterisation of Three Novel Cation-Containing (NH4+/(CHNH3+) H3N7/NH3+C2H4NH3+). Inorg. Chem. 2003, 42, 2428–2439. [Google Scholar] [CrossRef]
- Yue, Q.; Yang, J.; Li, G.H. Homochiral Porous Lanthanide Phosphonates with 1D Triple-Strand Helical Chains: Synthesis, Photoluminescence, and Adsorption Properties. Inorg. Chem. 2006, 45, 4431–4439. [Google Scholar] [CrossRef] [PubMed]
- Alberti, G.; Brunet, E.; Dionigi, C. Shaping solid-state supramolecular cavities: Chemically induced accordionlike movement of γ-zirconium phosphate containing polyethylenoxide pillars. Angew. Chem. Int. Ed. 1999, 38, 3351–3353. [Google Scholar] [CrossRef]
- Tang, S.F.; Song, J.L.; Li, X.L. Novel Luminescent Lanthanide(III) Diphosphonates with Rarely Observed Topology. Cryst. Growth Des. 2007, 7, 360–366. [Google Scholar] [CrossRef]
- Mao, J.G.; Wang, Z.K.; Clearfield, A. New Lead Inorganic-Organic Hybrid Microporous and Layered Materials: Synthesis, Properties, and Crystal Structures. Inorg. Chem. 2002, 41, 6106–6111. [Google Scholar] [CrossRef] [PubMed]
- Jiang, J.G.; Wang, Z.K.; Clearfiels, A. Synthesis, Characterization, and Crystal Structures of Two New Divalent Metal Complexes of N,N′-Bis(phosphonomethyl)-1,10-diaza-18-crown-6: A Hydrogen-Bonded 1D Array and a 3D Network with a Large Channel. Inorg. Chem. 2002, 41, 3713–3720. [Google Scholar]
- Yang, B.P.; Mao, J.G. New Types of Metal Squarato-phosphonates: Condensation of Aminodiphosphonate with Squaric Acid under Hydrothermal Conditions. Inorg. Chem. 2005, 44, 566–571. [Google Scholar] [CrossRef] [PubMed]
- Liu, B.; Yin, P.; Yi, X.Y. Template- and pH-Directed Assembly of Diruthenium Diphosphonates with Different Topologies and Oxidation States. Inorg. Chem. 2006, 45, 4205–4213. [Google Scholar] [CrossRef] [PubMed]
- Chandrasekhar, V.; Azhakar, R.; Bickley, J.F. Influence of O-H···OP Hydrogen Bonding on the Supramolecular Architectures of Phosphorus-Based Hydrazones: Alternate Right- and Left-Handed Fused Helical Chains Based on O-H···OP Hydrogen Bonds in the Crystal Structure of C6H5P(O)[N(CH3)NCHC6H4-p-OH]2. Cryst. Growth Des. 2006, 6, 910–914. [Google Scholar] [CrossRef]
- Bakhmutova, E.V.; Ouyang, X.; Medvedev, D.G. Cobalt Phosphonates: An Unusual Polymeric Cobalt Phosphonate Containing a Clathrated Phosphonate Anion and a Layered Bisphosphonate. Inorg. Chem. 2003, 42, 7046–7051. [Google Scholar] [CrossRef] [PubMed]
- Tang, S.F.; Song, J.L.; Mao, J.G. Syntheses, Crystal Structures, and Characterizations of a Series of New Layered Lanthanide Carboxylate-Phosphonates. Eur. J. Inorg. Chem. 2006, 10, 2011–2019. [Google Scholar] [CrossRef]
- Serre, C.; Ferey, G. Hybrid Open Frameworks. 8. Hydrothermal Synthesis, Crystal Structure, and Thermal Behavior of the First Three-Dimensional Titanium(IV) Diphosphonate with an Open Structure: Ti3O2(H2O)2(O3P-(CH2)-PO3)2·(H2O)2, or MIL-22. Inorg. Chem. 1999, 38, 5370–5373. [Google Scholar] [CrossRef]
- Serpaggi, S.; Ferey, G. Hybrid open frameworks (MIL-n). Part 6 Hydrothermal synthesis and X-ray powder ab initio structure determination of MIL-11, a series of lanthanide organodiphosphonates with three-dimensional networks, LnIIIH[O3P(CH2)nPO3] (n = 1–3). J. Mater. Chem. 1998, 8, 2749–2755. [Google Scholar] [CrossRef]
- Neeraj, S.; Natarajan, S.; Rao, C.N.R. Amine Phosphates as Intermediates in the Formation of Open-Framework Structures. Angew. Chem. Int. Ed. 1999, 38, 3480–3483. [Google Scholar] [CrossRef]
- Choudhuty, A.; Neeraj, S.; Natarajan, S. An Unusual Open-Framework Cobalt(II) Phosphate with a Channel Structure That Exhibits Structural and Magnetic Transitions. Angew. Chem. Int. Ed. 2000, 39, 3091–3093. [Google Scholar] [CrossRef]
- Calin, N.; Sevov, S.C. Novel Mixed-Valence Heteropolyoxometalates: A Molybdenum Diphosphonate Anion [MoV7MoVIO16(O3PPhPO3H)4]3− and Its One- and Two-Dimensional Assemblies. Inorg. Chem. 2003, 42, 7304–7308. [Google Scholar] [CrossRef] [PubMed]
- Ushak, S.; Spodine, E.; Fur, E.L. Two New Hybrid Organic/Inorganic Copper(II)-Oxovanadate(V) Diphosphonates: [Cu2(phen)2(O3PCH2PO3) (V2O5)(H2O)]·H2O and [Cu2(phen)2(O3P(CH2)3PO3)(V2O5)]·C3H8. Synthesis, Structure, and Magnetic Properties. Inorg. Chem. 2006, 45, 5393–5398. [Google Scholar] [CrossRef] [PubMed]
- Dumas, E.; Sassoye, C.; Smith, K.D. Synthesis and Characterization of [Mo7O16(O3PCH2PO3)3]8−: A Mixed-Valent Polyoxomolybdenum Diphosphonate Anion with Octahedrally and Tetrahedrally Coordinated Molybdenum. Inorg. Chem. 2002, 41, 4029–4032. [Google Scholar] [CrossRef] [PubMed]
- Sharma, C.V.K.; Hessheimer, A.J.; Clearfield, A. Novel materials based on self-assembly of organophosphonic acids. Polyhedron 2001, 20, 2095–2104. [Google Scholar] [CrossRef]
- Rosa, C.; Berta, C.; Nuria, F.H. Supramolecular Aggregation of Hexameric Water Clusters into a 2D Water Polymer Containing (H2O)18 Holes. Crys. Growth Design 2006, 6, 629–631. [Google Scholar]
- Djamal, D.; Roger, B.; Donald, C.C. Schroeter and Vossen's red salt revealed. New J. Chem. 2002, 26, 614–616. [Google Scholar]
- Song, J.L.; Zhao, H.H.; Mao, J.G.; Dunbar, K.R. New Types of Layered and Pillared Layered Metal Carboxylate-Phosphonates Based on the 4,4′-Bipyridine Ligand. Chem. Mater. 2004, 16, 1884–1889. [Google Scholar] [CrossRef]
- Ge, G.Z.; Miao, Y.X. Application of wittig reaction and the modified method in fluorescent whitener syntheses. Textile Auxiliaries 2006, 23, 10–11. [Google Scholar]
- Sheldrick, G.M. SHELXTL, v5 Reference Manual; Siemens Analytical X-Ray Systems: Madison, WI, USA, 1997. [Google Scholar]
- Wilson, A.J. International Table for X-Ray Crystallography; Kluwer Academic: Dordrecht, The Netherlands, 1992; Volume C: Tables 6.1.1.4, 500–502 and 4.2.6.8, 219–222, respectively. [Google Scholar]
- Sample Availability: Samples of the compounds 1–4 are available from the authors.
© 2015 by the authors. Licensee MDPI, Basel, Switzerland. This article is an open access article distributed under the terms and conditions of the Creative Commons Attribution license ( http://creativecommons.org/licenses/by/4.0/).
Share and Cite
Li, Y.; Jian, F. Molecular Structures of the Products of a Diphosphonate Ester Building Block with Lewis Bases. Molecules 2015, 20, 14435-14450. https://doi.org/10.3390/molecules200814435
Li Y, Jian F. Molecular Structures of the Products of a Diphosphonate Ester Building Block with Lewis Bases. Molecules. 2015; 20(8):14435-14450. https://doi.org/10.3390/molecules200814435
Chicago/Turabian StyleLi, Yufeng, and Fangfang Jian. 2015. "Molecular Structures of the Products of a Diphosphonate Ester Building Block with Lewis Bases" Molecules 20, no. 8: 14435-14450. https://doi.org/10.3390/molecules200814435
APA StyleLi, Y., & Jian, F. (2015). Molecular Structures of the Products of a Diphosphonate Ester Building Block with Lewis Bases. Molecules, 20(8), 14435-14450. https://doi.org/10.3390/molecules200814435
