Synthesis, Anti-Tumor and Anti-Angiogenic Activity Evaluations of Asiatic Acid Amino Acid Derivatives
Abstract
:1. Introduction

2. Results and Discussion
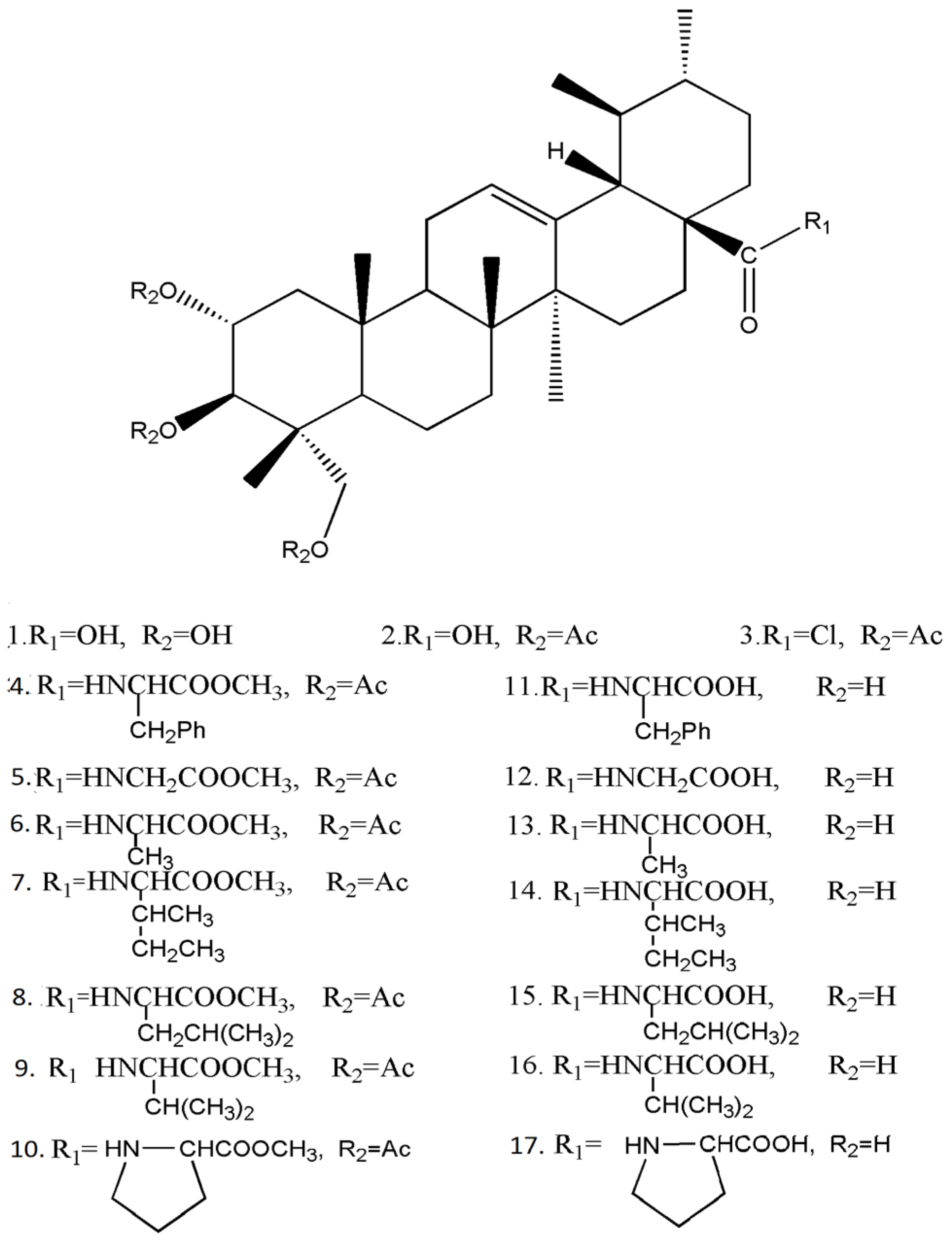
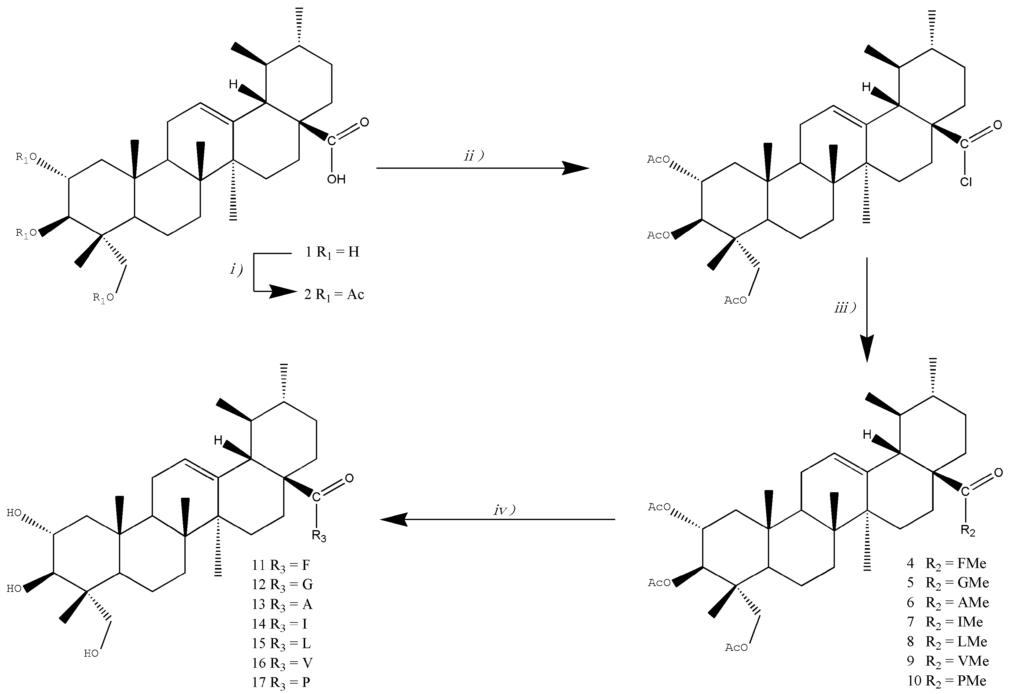
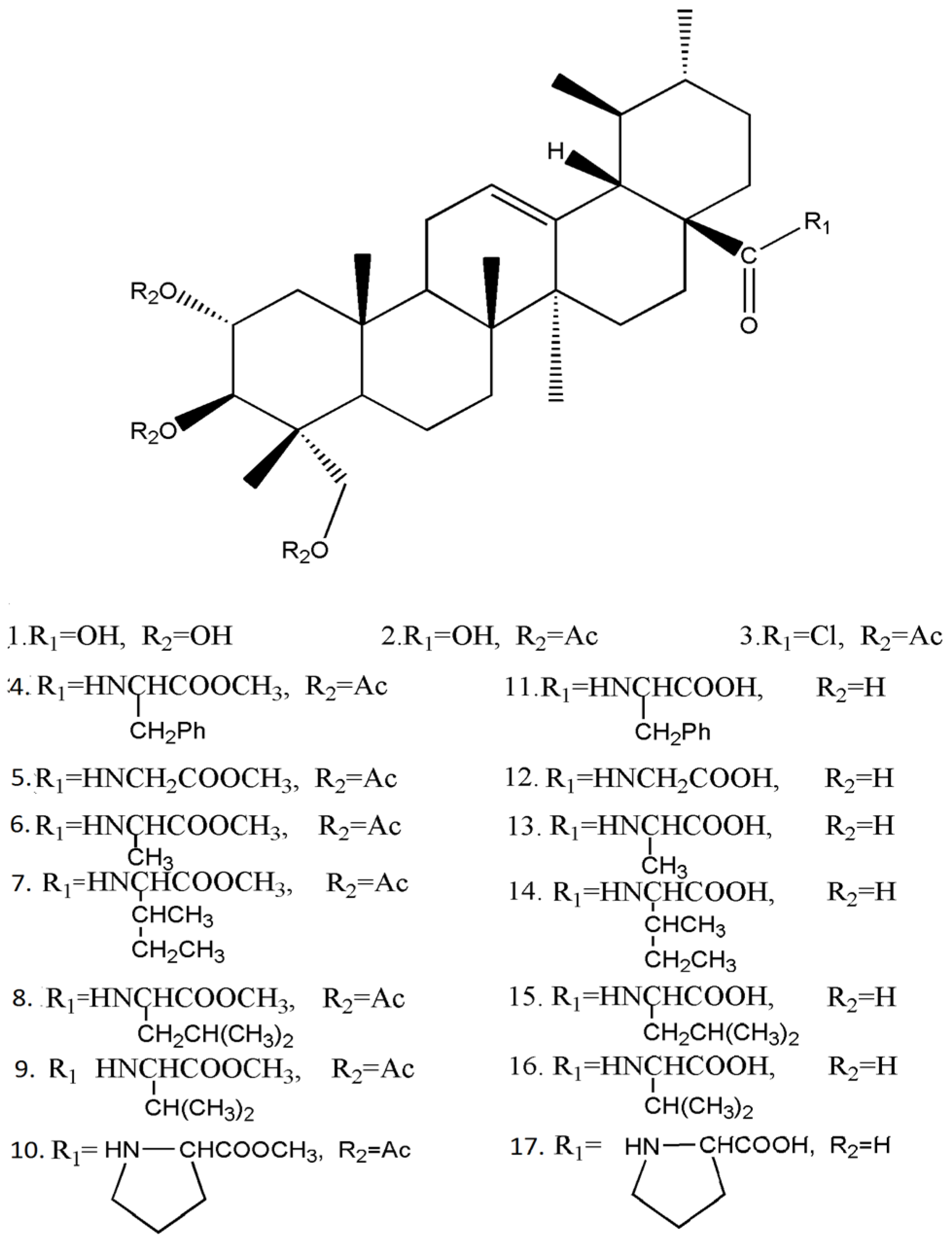
2.1. Chemistry

2.2. Antitumor Activity of the Compounds
2.2.1. IC50 Values of the Compounds.
| Compound | IC50 (µM) | ||||||
|---|---|---|---|---|---|---|---|
| A549 | B16F10 | Hela | HepG2 | SGC7901 | MCF7 | PC3 | |
| 1 | 18.8 ± 2.3 | 20.4 ± 2.9 | 55.1 ± 2.1 | 4.0 ± 1.4 | 36.8 ± 2.1 | 32.8 ± 0.4 | 53.6 ± 2.0 |
| 2 | 21.1 ± 4.5 | >50.0 | 24.2 ± 1.6 | 10.2 ± 0.3 | nt | nt | 17.5 ± 0.3 |
| 4 | 5.7 ± 1.4 | 2.9 ± 0.5 | 9.2 ± 0.4 | 0.3 ± 0.1 | 14.2 ± 1.3 | 12.1 ± 1.0 | 10.9 ± 0.5 |
| 5 | 7.4 ± 0.8 | 5.8 ± 0.3 | 11.0 ± 1.6 | 1.8 ± 0.5 | 4.5 ± 0.2 | 5.6 ± 0.3 | >10.0 |
| 6 | 3.1 ± 0.5 | 4.4 ± 0.4 | 5.1 ± 0.3 | 0.3 ± 0.1 | 9.2 ± 0.7 | 3.9 ± 0.7 | 10.1 ± 1.3 |
| 7 | 2.0 ± 0.2 | 17.1 ± 0.9 | 4.2 ± 0.2 | 1.7 ± 0.2 | 4.7 ± 0.6 | >50.0 | >10.0 |
| 8 | 33.9 ± 6.3 | 3.8 ± 0.3 | 32.3 ± 1.4 | 1.4 ± 0.1 | nt | 17.0 ± 0.3 | 10.2 ± 1.3 |
| 9 | 2.4 ± 0.2 | 11.3 ± 0.7 | 3.7 ± 0.1 | 4.1 ± 0.3 | 9.6 ± 1.0 | 12.8 ± 0.9 | >10.0 |
| 10 | 2.4 ± 0.4 | 4.2 ± 0.2 | 4.8± 0.3 | 0.9 ± 0.3 | 4.6 ± 0.1 | 4.5 ± 0.1 | 9.2 ± 2.0 |
| 11 | nt | nt | nt | 14.0 ± 1.1 | nt | nt | >50.0 |
| 12 | 30.2 ± 4.0 | >50.0 | nt | 18.7 ± 1.6 | nt | >50.0 | >50.0 |
| 13 | 21.8 ± 1.7 | >50.0 | 19.2 ± 3.9 | 20.5 ± 0.2 | nt | 17.1 ± 0.7 | nt |
| 14 | 25.4 ± 3.6 | >50.0 | 13.8 ± 1.6 | nt | nt | nt | nt |
| 15 | nt | nt | nt | 16.5 ± 1.6 | nt | nt | >50.0 |
| 16 | 25.0 ± 4.6 | 24.2 ± 0.6 | nt | nt | nt | nt | nt |
| 17 | nt | nt | 21.3 ± 5.1 | nt | nt | nt | nt |
2.2.2. Cell Viability Suppression Activity of the Compounds


2.3. Anti-Angiogenic Activity of the Compounds in Zebrafish


2.4. Stability of the Compounds

3. Experimental Section
3.1. General
3.2. Synthesis and Characterization Data
3.2.1. Asiatic Acid (1)
3.2.2. 2α,3β,23-Triacetoxyurs-12-en-28-oic Acid (2)
3.2.3. N-(2α,3β,23-Acetoxyurs-12-en-28-oyl)acyl Chloride (3)
3.2.4. N-(2α,3β,23-Acetoxyurs-12-en-28-oyl)-l-phenylalanine Methyl Ester (4)
3.2.5. N-(2α,3β,23-Acetoxyurs-12-en-28-oyl)glycine Methyl Ester (5)
3.2.6. N-(2α,3β,23-Acetoxyurs-12-en-28-oyl)-l-alanine Methyl Ester (6)
3.2.7. N-(2α,3β,23-Acetoxyurs-12-en-28-oyl)-l-isoleucine Methyl Ester (7)
3.2.8. N-(2α,3β,23-Acetoxyurs-12-en-28-oyl)-l-leucine Methyl Ester (8)
3.2.9. N-(2α,3β,23-Acetoxyurs-12-en-28-oyl)-l-valine Methyl Ester (9)
3.2.10. N-(2α,3β,23-Acetoxyurs-12-en-28-oyl)-l-proline Methyl Ester (10)
3.2.11. N-(2α,3β,23-Hydroxyurs-12-en-28-oyl)-l-phenylalanine (11)
3.2.12. N-(2α,3β,23-Hydroxyurs-12-en-28-oyl)glycine (12)
3.2.13. N-(2α,3β,23-Hydroxyurs-12-en-28-oyl)-l-alanine (13)
3.2.14. N-(2α,3β,23-Hydroxyurs-12-en-28-oyl)-l-isoleucine (14)
3.2.15. N-(2α,3β,23-Hydroxyurs-12-en-28-oyl)-l-leucine (15)
3.2.16. N-(2α,3β,23-Hydroxyurs-12-en-28-oyl)-l-valine (16)
3.2.17. N-(2α,3β,23-Hydroxyurs-12-en-28-oyl)-l-proline (17)
3.3. Cell Culure
3.4. Antitumor Activity Assays
3.5. Embryo Handling
3.6. Assessment of Vessel Changes in Zebrafish Embryos by Fluorescent Microscopy
3.7. Quantitation of Endogenous Alkaline Phosphatase EAP in Zebrafish Embryo
3.8. Stability Studies
3.8.1. Solution Preparation
3.8.2. HPLC Methods
3.9. Statistic Analysis
4. Conclusions
Acknowledgments
Author Contributions
Conflicts of Interest
References
- Somboonwong, J.; Kankaisre, M.; Tantisira, B.; Tantisira, M.H. Wound Healing Activities of Different Extracts of Centella Asiatica in Incision and Burn Wound Models: An Experimental Animal Study. BMC Complement. Altern. Med. 2012, 12, 103. [Google Scholar] [CrossRef] [PubMed]
- Park, B.C.; Bosire, K.O.; Lee, E.S.; Lee, Y.S.; Kim, J.A. Asiatic acid induces apoptosis in SK-MEL-2 human melanoma cells. Cancer Lett. 2005, 218, 81–90. [Google Scholar] [CrossRef] [PubMed]
- Baek, J.H.; Lee, Y.S.; Kang, C.M.; Kim, J.A.; Kwon, K.S.; Son, H.C.; Kim, K.W. Intracellular Ca2+ release mediates ursolic acid–induced apoptosis in human leukemic HL-60 cells. Intern. J. Cancer 1997, 73, 725–728. [Google Scholar] [CrossRef]
- Lee, Y.S.; Jin, D.Q.; Kwon, E.J.; Park, S.H.; Lee, E.S.; Jeong, T.C.; Nam, D.H.; Huh, K.; Kim, J.A. Asiatic acid, a triterpene, induces apoptosis through intracellular Ca2+ release and enhanced expression of p53 in HepG2 human hepatoma cells. Cancer Lett. 2002, 186, 83–91. [Google Scholar] [CrossRef] [PubMed]
- Bunpo, P.; Kataoka, K.; Arimochi, H.; Nakayama, H.; Kuwahara, T.; Vinitketkumnuen, U.; Ohnishi, Y. Inhibitory effects of asiatic acid and CPT-11 on growth of HT-29 cells. J. Med. Investig. 2005, 52, 65–73. [Google Scholar] [CrossRef]
- Gurfinkel, D.M.; Chow, S.; Hurren, R.; Gronda, M.; Henderson, C.; Berube, C.; Hedley, D.W.; Schimmer, A.D. Disruption of the endoplasmic reticulum and increases in cytoplasmic calcium are early events in cell death induced by the natural triterpenoid Asiatic acid. Apoptosis 2006, 11, 1463–1471. [Google Scholar] [CrossRef] [PubMed]
- Fan, Y.M.; Xu, L.Z.; Gao, J.; Wang, Y.; Tang, X.H.; Zhao, X.N.; Zhang, Z.X. Phytochemical and antiinflammatory studies on Terminalia catappa. Fitoterapia 2004, 75, 253–260. [Google Scholar] [CrossRef] [PubMed]
- Gao, J.; Tang, X.; Dou, H.; Fan, Y.; Zhao, X.; Xu, Q. Hepatoprotective activity of Terminalia catappa L. leaves and its two triterpenoids. J. Pharm. Pharmacol. 2004, 56, 1449–1455. [Google Scholar] [CrossRef] [PubMed]
- Jew, S.S.; Yoo, C.H.; Lim, D.Y.; Kim, H.; Mook-Jung, I.; Whan Jung, M.; Choi, H.; Jung, Y.H.; Kim, H.; Park, H.G. Structure–activity relationship study of asiatic acid derivatives against beta amyloid (Aβ)-induced neurotoxicity. Bioorg. Med. Chem. Lett. 2000, 10, 119–121. [Google Scholar] [CrossRef] [PubMed]
- Mook-Jung, I.; Shin, J.E.; Yun, S.H.; Huh, K.; Koh, J.Y.; Park, H.K.; Jew, S.S.; Jung, M.W. Protective effects of asiaticoside derivatives against beta-amyloid neurotoxicity. J. Neurosci. Res. 1999, 58, 417–425. [Google Scholar] [CrossRef] [PubMed]
- Panichpakdee, J.; Supaphol, P. Use of 2-hydroxypropyl-β-cyclodextrin as adjuvant for enhancing encapsulation and release characteristics of asiaticoside within and from cellulose acetate films. Carbohydr. Polym. 2011, 85, 251–260. [Google Scholar] [CrossRef]
- Sane, A.; Limtrakul, J. Co-precipitation of asiatic acid and poly(l-lactide) using rapid expansion of subcritical solutions into liquid solvents. J. Nanoparticle Res. 2011, 13, 4001–4013. [Google Scholar] [CrossRef]
- Jeong, B.S.; Kim, Y.C.; Lee, E.S. Modification of C2,3,23,28 functional groups on asiatic acid and evaluation of hepatoprotective effects. Bull. Korean Chem. Soc. 2007, 28, 977–982. [Google Scholar] [CrossRef]
- Zhao, L.X.; Park, H.G.; Jew, S.S.; Lee, M.K.; Kim, Y.C.; Thapa, P.; Karki, R.; Jahng, Y.; Jeong, B.S.; Lee, E.S. Modification of C11, C28, C2,3,23 or C2,23,28 functional groups on asiatic acid and evaluation of hepatoprotective effects. Bull. Korean Chem. Soc. 2007, 28, 970–976. [Google Scholar] [CrossRef]
- Wen, X.; Sun, H.; Liu, J.; Cheng, K.; Zhang, P.; Zhang, L.; Hao, J.; Zhang, L.; Ni, P.; Zographos, S.E.; et al. Naturally Occurring Pentacyclic Triterpenes as Inhibitors of Glycogen Phosphorylase: Synthesis, Structure−Activity Relationships, and X-ray Crystallographic Studies. J. Med. Chem. 2008, 51, 3540–3554. [Google Scholar] [CrossRef] [PubMed]
- Lu, X.M.; Yi, H.W.; Xu, J.L.; Sun, Y.; Li, J.X.; Cao, S.X.; Xu, Q. A novel synthetic oleanolic acid derivative with amino acid conjugate suppresses tumour growth by inducing cell cycle arrest. J. Pharm. Pharmacol. 2007, 59, 1087–1093. [Google Scholar] [CrossRef] [PubMed]
- He, M.F.; Liu, L.; Ge, W.; Shaw, P.C.; Jiang, R.; Wu, L.W.; But, P.P. Antiangiogenic activity of Tripterygium wilfordii and its terpenoids. J. Ethnopharmacol. 2009, 121, 61–68. [Google Scholar] [CrossRef] [PubMed]
- Truong, L.; Harper, S.L.; Tanguay, R.L. Evaluation of embryotoxicity using the zebrafish model. Methods Mol. Biol. 2011, 691, 271–279. [Google Scholar] [PubMed]
- Mu, X.Y.; Pang, S.; Sun, X.Z.; Gao, J.J.; Chen, J.Y.; Chen, X.F.; Li, X.F.; Wang, C.J. Evaluation of acute and developmental effects of difenoconazole via multiple stage zebrafish assays. Environ. Pollut. 2013, 175, 147–157. [Google Scholar] [CrossRef] [PubMed]
- Parng, C.; Seng, W.L.; Semino, C.; McGrath, P. Zebrafish: A preclinical model for drug screening. Assay Drug Dev. Technol. 2002, 1, 41–48. [Google Scholar] [CrossRef] [PubMed]
- Sample Availability: Samples of the compounds (AA and derivatives 2–17) are available from the authors.
© 2015 by the authors. Licensee MDPI, Basel, Switzerland. This article is an open access article distributed under the terms and conditions of the Creative Commons Attribution license ( http://creativecommons.org/licenses/by/4.0/).
Share and Cite
Jing, Y.; Wang, G.; Ge, Y.; Xu, M.; Gong, Z. Synthesis, Anti-Tumor and Anti-Angiogenic Activity Evaluations of Asiatic Acid Amino Acid Derivatives. Molecules 2015, 20, 7309-7324. https://doi.org/10.3390/molecules20047309
Jing Y, Wang G, Ge Y, Xu M, Gong Z. Synthesis, Anti-Tumor and Anti-Angiogenic Activity Evaluations of Asiatic Acid Amino Acid Derivatives. Molecules. 2015; 20(4):7309-7324. https://doi.org/10.3390/molecules20047309
Chicago/Turabian StyleJing, Yue, Gang Wang, Ying Ge, Minjie Xu, and Zhunan Gong. 2015. "Synthesis, Anti-Tumor and Anti-Angiogenic Activity Evaluations of Asiatic Acid Amino Acid Derivatives" Molecules 20, no. 4: 7309-7324. https://doi.org/10.3390/molecules20047309
APA StyleJing, Y., Wang, G., Ge, Y., Xu, M., & Gong, Z. (2015). Synthesis, Anti-Tumor and Anti-Angiogenic Activity Evaluations of Asiatic Acid Amino Acid Derivatives. Molecules, 20(4), 7309-7324. https://doi.org/10.3390/molecules20047309
