New Ent-Kaurane-Type Diterpene Glycosides and Benzophenone from Ranunculus muricatus Linn.
Abstract
:1. Introduction

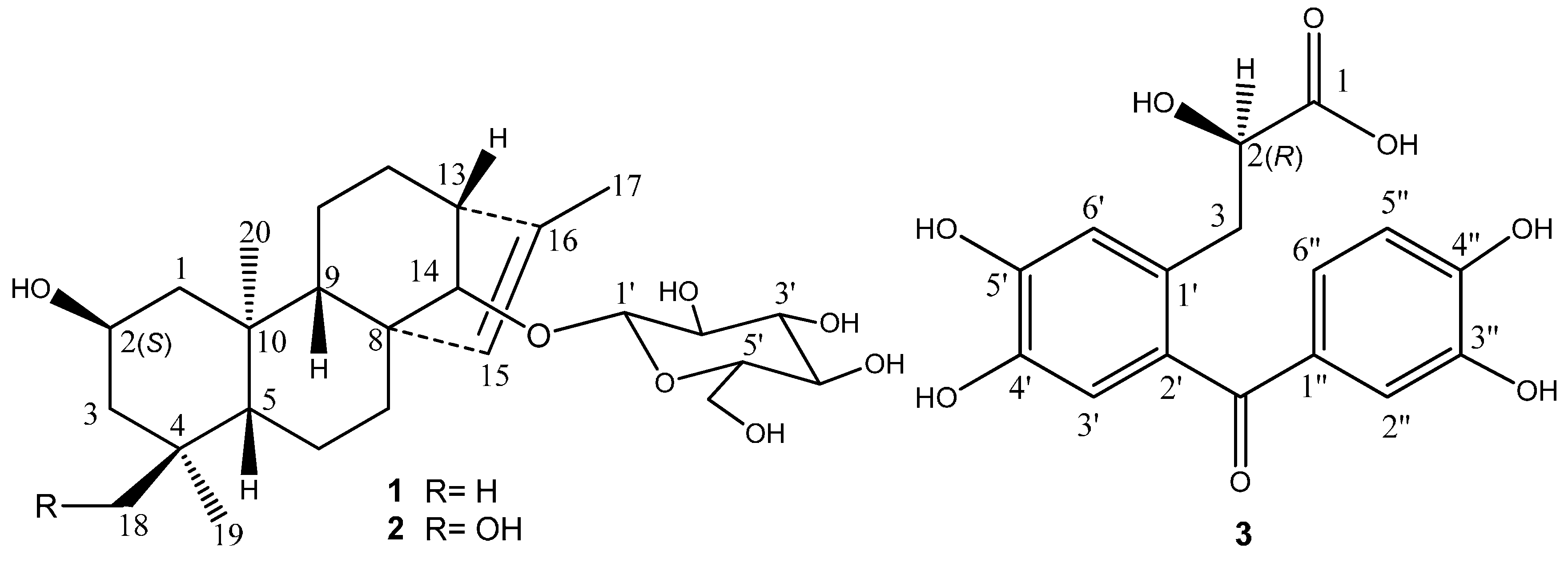
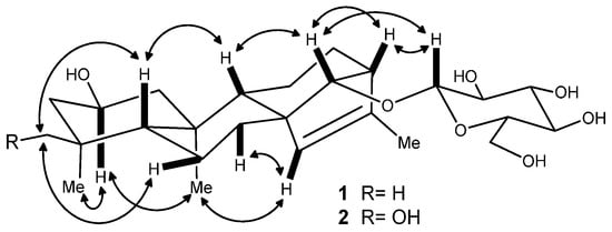
2. Results and Discussion
| H-Atom | 1a (Multiplet) | 1 (Multiplet) | 2 (Multiplet) |
|---|---|---|---|
| CH2(1) | α 2.27 (ddd, J = 12.3, 3.8, 2.1) | α 2.20 (brd, J = 12.3) | α 2.25 o |
| β 1.13 (m) | β 1.02 (m) | β 1.10 (m) | |
| H-C(2) | α 4.16 (m) | α 4.12 (m) | α 4.27 (m) |
| CH2(3) | α 2.05 (ddd, J = 12.3, 3.8, 2.1) | α 2.03 (brd, J = 12.3) | α 2.16 (m) |
| β 1.46 (m) | β 1.43 (m) | β 2.06 (m) | |
| H-C(5) | β 0.88 o | β 0.71 (dd, J = 10.6, 1.2) | β 1.52 o |
| CH2(6) | α 1.36 o | α 1.26 o | α 1.50 o |
| β 1.61 o | β 1.47 o | β 1.70 o | |
| CH2(7) | α 2.33 (dd, J = 10.7, 3.2) | α 2.21 (brd, J = 10.2) | α 2.29 o |
| β 1.62 (m) | β 1.57 (m) | β 1.73 (m) | |
| CH2(9) | β 1.09 (m) | β 0.97 (m) | β 1.03 o |
| CH2(11) | α 1.45 o | α 1.38 o | α 1.40 o |
| β 1.24 o | β 1.18 o | β 1.23 o | |
| CH2(12) | α 1.50 o | α 1.51 o | α 1.52 o |
| β 1.32 o | β 1.30 o | β 1.28 o | |
| H-C(13) | β 2.44 (br s) | β 2.72 (br s) | β 2.73 (br s) |
| H-C(14) | β 3.50 (br s) | β 3.78 (br s) | β 3.75 (br s) |
| H-C(15) | 5.38 (br s) | 5.34 (br s) | 5.38 (br s) |
| Me(17) | 1.70 (d, J = 1.1) | 1.66 (d, J = 1.3) | 1.67 (d, J = 1.3) |
| Me(18) | 0.94 (s) | 0.87 (s) | a 3.64 (brd, J = 10.5) |
| CH2(18) | b 3.43 (brd, J = 10.5) | ||
| Me(19) | 0.92 (s) | 0.86 (s) | 0.98 (s) |
| Me(20) | 0.90 (s) | 0.83 (s) | 0.94 (s) |
| H-C(1′) | β 4.88 (d, J = 7.8) | β 4.88 (d, J = 7.8) | |
| H-C(2′) | 3.95 (m) | 3.95 (m) | |
| H-C(3′) | 3.98 (m) | 3.99 (m) | |
| H-C(4′) | 4.28 o | 4.26 o | |
| H-C(5′) | 4.28 o | 4.27 o | |
| CH2(6′) | a 4.43 (dd, J = 11.7, 5.3) | a 44.4 (dd, J = 11.8, 5.3) | |
| b 4.61 (dd, J = 11.7, 2.3) | b 4.59 (dd, J = 11.7, 2.4) |



| C-Atom | 1a | 1 | 2 |
|---|---|---|---|
| C(1) | 50.1 (t) | 49.8 (t) | 49.7 (t) |
| C(2) | 64.3 (d) | 64.2 (d) | 64.5 (d) |
| C(3) | 52.4 (t) | 52.3 (t) | 46.5 (t) |
| C(4) | 35.3 (s) | 35.2 (s) | 40.0 (s) |
| C(5) | 55.7 (d) | 55.1 (d) | 48.7 (d) |
| C(6) | 20.3 (t) | 20.0 (t) | 20.0 (t) |
| C(7) | 32.8 (t) | 32.7 (t) | 32.5 (t) |
| C(8) | 54.0 (s) | 52.8 (s) | 53.0 (s) |
| C(9) | 53.7 (d) | 53.3 (d) | 53.3 (d) |
| C(10) | 39.5 (s) | 39.4 (s) | 39.4 (s) |
| C(11) | 19.5 (t) | 19.4 (t) | 19.5 a (t) |
| C(12) | 24.0 (t) | 23.5 (t) | 23.6 (t) |
| C(13) | 52.9 (d) | 48.8 (d) | 48.6 (d) |
| C(14) | 92.2 (d) | 97.7 (d) | 97.6 (d) |
| C(15) | 127.4 (d) | 127.3 (d) | 127.5 (d) |
| C(16) | 138.5 (s) | 138.1 (s) | 138.0 (s) |
| C(17) | 16.3 (q) | 16.2 (q) | 16.2 (q) |
| C(18) | 34.3 (q) | 34.1 (q) | 71.9 (t) |
| C(19) | 23.5 (q) | 23.4 (q) | 19.5 a (q) |
| C(20) | 17.0 (q) | 16.9 (q) | 17.6 (q) |
| C(1′) | 102.9 (d) | 102.8 (d) | |
| C(2′) | 75.2 (d) | 75.2 (d) | |
| C(3′) | 78.9 a (d) | 79.0 a (d) | |
| C(4′) | 72.1 (d) | 72.2 (d) | |
| C(5′) | 78.9 a (d) | 79.0 a (d) | |
| C(6′) | 63.2 (t) | 63.3 (t) |

| C-Atom | δ(C) | H-Atom | δ(H) Multiplet |
|---|---|---|---|
| C(1) | 177.5 (s) | - | |
| C(2) | 73.2 (d) | H-C(2) | 4.28 (dd, J = 7.8, 3.9) |
| C(3) | 38.0 (t) | CH2(3) | a 2.92 (dd, J = 13.8, 8.0) |
| b 3.12 (dd, J = 13.7, 3.8) | |||
| C=O | 199.3 (s) | - | |
| C(1′) | 131.0 (s) | - | |
| C(2′) | 131.6 (s) | - | |
| C(3′) | 118.6 (d) | H-C(3′) | 6.81 (br s) |
| C(4′) | 143.9 (s) | - | |
| C(5′) | 149.0 (s) | - | |
| C(6′) | 119.3 (d) | H-C(6′) | 6.88 (br s) |
| C(1″) | 131.4 (s) | - | |
| C(2″) | 118.3 (d) | H-C(2″) | 7.30 (d, J = 1.8) |
| C(3″) | 146.1 (s) | - | |
| C(4″) | 152.2 (s) | - | |
| C(5″) | 115.6 (d) | H-C(5″) | 6.83 (d, J = 8.3) |
| C(6″) | 125.9 (d) | H-C(6″) | 7.20 (dd, J = 8.3, 1.8) |
3. Experimental Section
3.1. General
3.2. Plant Material
3.3. Extraction and Isolation
4. Conclusions
Acknowledgments
Author Contributions
Conflicts of Interest
References
- Lal, S.D.; Yadav, B.K. Folk medicines of Kurukshetra district (Haryana), India. Econ. Bot. 1983, 37, 299–305. [Google Scholar] [CrossRef]
- Wang, A.W.; Wang, M.; Yuan, J.-R.; Tian, J.-K.; Wu, L.-M.; Geng, H. The study on antitumour effects in vitro of different extracts in Radix Ranunculus Ternati. J. Nat. Prod. Res. Dev. 2004, 16, 529–531. [Google Scholar]
- Xie, J.P.; He, Y.; Yue, J.; Hu, C.H.; Wang, H.-H. Identification of differential expression proteins of Mycobacterium tuberculosis strain isolated from clinical species treated with Radix Ranuncoli Ternati Extracts by comparative proteomics. Chin. Biochem. Mol. Biol. 2006, 22, 63–69. [Google Scholar]
- Qasem, J.R. Fungicidal activity of Ranunculus asiaticus and other weeds against Fusarium oxysporum f. sp. lycopersici. Ann. Appl. Biol. 1996, 128, 533–540. [Google Scholar] [CrossRef]
- Zhong, Y.M.; Feng, Y.-F. Advances in studies on flavonoids and lactones in plants of Ranunculus Linn. Chin. Tradit. Herb. Drug 2011, 42, 825–828. [Google Scholar]
- Xiong, Y.; Deng, K.Z.; Guo, Y.Q.; Gao, W.Y. Studies on chemical constituents of flavonoids and glycosides in Ranunculus ternatus. Chin. Tradit. Herb. Drug 2008, 39, 1449–1452. [Google Scholar]
- Wang, L.J.; Gao, X.Z. Studies on the chemical constituents in Ranunculus muricatus L. Chin. JMAP 2009, 26, 460–462. [Google Scholar]
- Wu, B.L.; Qin, F.M.; Zhou, G.X. Studies on chemical constituents of Ranunculus muricatus Linn. Nat. Prod. Res. Dev. 2013, 25, 736–741. [Google Scholar]
- Ge, X.; Ye, G.; Li, P.; Tang, W.J.; Gao, J.L.; Zhao, W.M. Cytotoxic diterpenoids and sesquiterpenoids from Pteris multifida. J. Nat. Prod. 2008, 71, 227–231. [Google Scholar] [CrossRef] [PubMed]
- Zeng, L.; Ye, Q.; Oberlies, N.H.; Shi, G.; Gu, Z.M.; He, K.; Mclaughlin, J.L. Recent advances in Annonaceous acet-ogenins. Nat. Prod. Rep. 1996, 13, 275–306. [Google Scholar] [CrossRef] [PubMed]
- Xiong, Y.; Deng, K.Z.; Gao, W.Y.; Guo, Y.Q.; Zhang, T.J. A novel alkenoic acid ester and a new benzophenone from Ranunculus ternatus. Chin. Chem. Lett. 2007, 18, 1364–1366. [Google Scholar] [CrossRef]
- Zhang, D.C.; Wu, W.L.; Liu, X.X.; Pan, D.J.; Yang, C.Y.; Zhang, B.T. Study on the water-soluble constituents of Salvia miltiorrhiza. Chin. Tradit. Pat. Med. 1982, 1, 9, 24–25. [Google Scholar]
- Mosmann, T. Rapid colorimetric assay for cellular growth and survival: Application to proliferation and cytotoxicity assays. J. Immunol. Methods 1983, 65, 55–63. [Google Scholar] [CrossRef]
- Tanaka, T.; Nakashima, T.; Ueda, T.; Tomii, K.; Kouno, I. Facile discrimination of aldose enantiomers by reversed-phase HPLC. Chem. Pharm. Bull. 2007, 55, 899–901. [Google Scholar] [CrossRef] [PubMed]
- Sample Availability: Samples of the compounds are available from the authors.
© 2015 by the authors. Licensee MDPI, Basel, Switzerland. This article is an open access article distributed under the terms and conditions of the Creative Commons by Attribution (CC-BY) license ( http://creativecommons.org/licenses/by/4.0/).
Share and Cite
Wu, B.-L.; Zou, H.-L.; Qin, F.-M.; Li, H.-Y.; Zhou, G.-X. New Ent-Kaurane-Type Diterpene Glycosides and Benzophenone from Ranunculus muricatus Linn. Molecules 2015, 20, 22445-22453. https://doi.org/10.3390/molecules201219801
Wu B-L, Zou H-L, Qin F-M, Li H-Y, Zhou G-X. New Ent-Kaurane-Type Diterpene Glycosides and Benzophenone from Ranunculus muricatus Linn. Molecules. 2015; 20(12):22445-22453. https://doi.org/10.3390/molecules201219801
Chicago/Turabian StyleWu, Bi-Ling, Hui-Liang Zou, Fang-Min Qin, Hong-Yu Li, and Guang-Xiong Zhou. 2015. "New Ent-Kaurane-Type Diterpene Glycosides and Benzophenone from Ranunculus muricatus Linn." Molecules 20, no. 12: 22445-22453. https://doi.org/10.3390/molecules201219801
APA StyleWu, B.-L., Zou, H.-L., Qin, F.-M., Li, H.-Y., & Zhou, G.-X. (2015). New Ent-Kaurane-Type Diterpene Glycosides and Benzophenone from Ranunculus muricatus Linn. Molecules, 20(12), 22445-22453. https://doi.org/10.3390/molecules201219801
