Preparation and Application of Crosslinked Poly(sodium acrylate)-Coated Magnetite Nanoparticles as Corrosion Inhibitors for Carbon Steel Alloy
Abstract
:1. Introduction
2. Results and Discussion

2.1. Characterization of AA-Na/Magnetite Composite





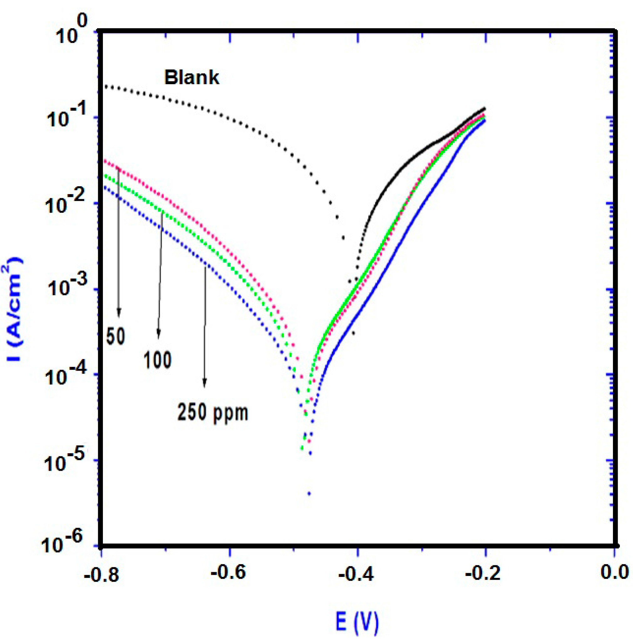
2.2. Potentiodynamic Polarization Measurements

| Polarization Method | EIS Method | ||||||
|---|---|---|---|---|---|---|---|
| Ba (mV) | Bc (mV) | Ecorr (V) | icorr mA/cm2 | IE% | Rct Ohm | IE% | |
| Blank | 147.00 | 141.00 | −0.4034 | 7.45 | _____ | 1.80 | ____ |
| 50 ppm | 74.80 | 86.70 | −0.4683 | 0.159 | 97 | 983 | 99.1 |
| 100 | 89.54 | 109.93 | −0.4814 | 0.132 | 98 | 1158 | 99.4 |
| 250 | 91.27 | 111.41 | −0.4849 | 0.067 | 99 | 1264 | 99.8 |
2.3. EIS Measurements


2.4. Adsorption Isotherm

3. Experimental Section
3.1. Materials
3.2. Nanoparticles Synthesis
3.3. Preparation of Poly(sodium acrylate)/Magnetite Nanocomposites
3.4. Characterization
3.5. Electrochemical Measurements
4. Conclusions
- New AA-Na/magnetite nanoparticles were prepared with either hydrophilic magnetite or hydrophobic magnetite and consisted of simple core-shell nanoparticles where the polymer shell of AA-Na is clearly visible.
- The inhibition efficiency of steel in 1 M HCl increases on increasing the AA-Na/magnetite composites concentration. The excellent inhibition efficiency was attributed to the adsorption of the inhibitor molecules and formation of protective film on the steel surface.
- The potentiodynamic polarization results indicated that the AA-Na/magnetite composites inhibit both anodic metal dissolution and also cathodic hydrogen evolution reactions and act as a mixed-type of inhibitor.
- EIS data showed that charge transfer resistance increases with the increase of AA-Na/magnetite composites concentration and the corrosion reaction is controlled by charge transfer processes.
Acknowledgments
Author Contributions
Conflicts of Interest
References
- Popovic, M.M.; Grgur, B.N.; Miskovic-Stankovic, V.B. Corrosion studies on electrochemically deposited PANI and PANI/epoxy coatings on mild steel in acid sulfate solution. Prog. Org. Coat. 2005, 52, 359–365. [Google Scholar] [CrossRef]
- Mayne, J.E.O. The mechanism of the protection of Iron and steel by paint. Anti-Corrosion Meth. Mater. 1973, 20, 3–8. [Google Scholar] [CrossRef]
- Wicks, Z.W.; Jones, F.N.; Pappas, S.P. Organic Coatings: Science and Technology; Wiley: New York, NY, USA, 1992. [Google Scholar]
- Hussain, F.; Hojjati, M.; Okamoto, M.; Gorga, R.E. Review article: Polymer-matrix nanocomposites, processing, manufacturing, and application: An overview. J. Compos. Mater. 2006, 40, 1511–1575. [Google Scholar] [CrossRef]
- Ray, S.S.; Okamoto, M. Polymer/layered silicate nanocomposites: A review from preparation to processing. Prog. Polym. Sci. 2003, 28, 1539–1641. [Google Scholar] [CrossRef]
- Behzadnasab, M.; Mirabedini, S.M.; Kabiri, K.; Jamali, S. Corrosion performance of epoxy coatings containing silane treated ZrO2 nanoparticles on mild steel in 3.5% NaCl solution. Corros. Sci. 2011, 53, 89–98. [Google Scholar] [CrossRef]
- Behzadnasab, M.; Mirabedini, S.M.; Esfandeh, M. Corrosion protection of steel by epoxy nanocomposite coatings containing various combinations of clay and nanoparticulate zirconia. Corros. Sci. 2013, 75, 134–141. [Google Scholar] [CrossRef]
- Curkovic, L.; Curkovic, H.O.; Salopek, S.; Renjo, M.M.; Šegot, S. Enhancement of corrosion protection of AISI 304 stainless steel by nanostructured sol-gel TiO2 films. Corros. Sci. 2013, 77, 176–184. [Google Scholar] [CrossRef]
- El-Mahdy, G.A.; Atta, A.M.; Al-Lohedan, H.A. Synthesis and evaluation of poly(sodium 2-acrylamido-2-methylpropane sulfonate-co-styrene)/magnetite nanoparticle composites as corrosion inhibitors for steel. Molecules 2014, 19, 1713–1731. [Google Scholar] [CrossRef] [PubMed]
- Atta, A.M.; El-Azabawy, O.E.; Ismail, H.S. Novel dispersed magnetite core-shell nanogel polymers as corrosion inhibitors for carbon steel in acidic medium. Corros. Sci. 2011, 53, 1680–1689. [Google Scholar] [CrossRef]
- Pinnavaia, T.J.; Beall, G.W. Polymer-Clay Nanocomposites; Wiley: Chichester, UK, 2000. [Google Scholar]
- Chen, C.; Khobaib, M.; Curliss, D. Epoxy layered-silicate nanocomposites. Prog. Org. Coat. 2003, 47, 376–383. [Google Scholar] [CrossRef]
- Chen, X.; Mao, S.S. Titanium dioxide nanomaterials: Synthesis, properties, modifications, and applications. Chem. Rev. 2007, 107, 2891–2959. [Google Scholar] [CrossRef] [PubMed]
- Zheludkevich, M.L.; Tedim, J.; Ferreira, M.G.S. Smart coatings for active corrosion protection based on multi-functional micro and nanocontainers. Electrochim. Acta 2012, 82, 314–323. [Google Scholar] [CrossRef]
- Afshari, V.; Dehghanian, C. The effect of pure iron in a nanocrystalline grain size on the corrosion inhibitor behavior of sodium benzoate in near-neutral aqueous solution. Mater. Chem. Phys. 2010, 124, 466–471. [Google Scholar] [CrossRef]
- Matthews, A.N. Magnetite forrnation by the reduction of hematite with iron under hydrothermal conditions. Am. Miner. 1976, 6, 927–932. [Google Scholar]
- El Mahdy, G.; Atta, A.M.; Dyab, A.; Al-Lohedan, H.A. Protection of petroleum pipeline carbon steel alloys with new modified core-shell magnetite nanogel against corrosion in acidic medium. J. Chem. 2013. [Google Scholar] [CrossRef]
- Gao, M.; Li, W.; Dong, J.; Zhang, Z.; Yang, B. Synthesis and characterization of superparamagnetic Fe3O4@SiO2 core-shell composite nanoparticles. World J. Condens. Matter Phys. 2011, 1, 49–54. [Google Scholar] [CrossRef]
- Butterworth, M.D.; Illum, L.; Davis, S.S. Preparation of ultrafine silica- and PEG-coated magnetite particles. Colloids Surf. A 2001, 179, 93–102. [Google Scholar] [CrossRef]
- Shang, H.; Chang, W.S.; Kan, S.; Majetich, S.A.; Lee, G.U. Synthesis and characterization of paramagnetic microparticles through emulsion templated free radical initiated polymerization. Langmuir 2006, 22, 2516–2522. [Google Scholar] [CrossRef] [PubMed]
- Khng, H.P.; Cunliffe, D.; Davies, S.; Turner, N.A.; Vulfson, E.N. The synthesis of sub-micron magnetic particles and their use for preparative purification of proteins. Biotechnol. Bioeng. 1998, 60, 419–424. [Google Scholar] [CrossRef] [PubMed]
- Rana, S.; White, P.; Bradley, M. Synthesis of magnetic scavenging beads for solid phase synthesis and reaction scavenging. Tetrahedron Lett. 1999, 40, 8137–8140. [Google Scholar]
- Ramirez, L.P.; Landfester, K. Magnetic polystyrene nanoparticles with a high magnetite content obtained by miniemulsion processes. Macromol. Chem. Phys. 2003, 204, 22–31. [Google Scholar] [CrossRef]
- Mason, T.G.; Bibette, J. Shear rupturing of droplets in complex fluids. Langmuir 1997, 13, 4600–4613. [Google Scholar] [CrossRef]
- Cornell, R.M.; Schwertmann, U. The Iron Oxides; Wiley-VCH: Weinheim, Germany, 2003. [Google Scholar]
- Odenbach, S. Ferrofluids: Magnetically Controllable Fluids and Their Applications; Springer-Verlag: Heidelberg, Germany, 2002; pp. 236–242. [Google Scholar]
- Wooding, A.; Kilner, M.; Lambrick, D.B. Studies of the double surfactant layer stabilization of water-based magnetic fluids. J. Colloid Interface Sci. 1991, 144, 236–242. [Google Scholar] [CrossRef]
- Wennerstrom, H.; Balogh, J.; Olsson, U. Interfacial tensions in microemulsions. Colloids Surf. A 2006, 291, 69–77. [Google Scholar] [CrossRef]
- McClements, D.J. Nanoemulsions versus microemulsions: Terminology, differences, and similarities. Soft Matter 2012, 8, 1719–1729. [Google Scholar] [CrossRef]
- Ma, M.; Zhang, Y.; Yu, W.; Shen, H.; Zhang, H.; Gu, N. Preparation and characterization of magnetite nanoparticles coated by amino silane. Colloids Surf. A 2003, 212, 219–226. [Google Scholar] [CrossRef]
- Dubois, L.H.; Zegarski, B.R.; Nuzzo, R.G. Spontaneous organization of carboxylic acid monolayer films in ultrahigh vacuum. Kinetic constraints to assembly via gas-phase adsorption. Langmuir 1986, 2, 412–417. [Google Scholar] [CrossRef]
- Atta, A.M.; Al-Lohedan, H.A.; Al-Hussain, S.A. Synthesis of stabilized Myrrh-capped hydrocolloidal magnetite nanoparticles. Molecules 2014, 19, 11263–11278. [Google Scholar] [CrossRef] [PubMed]
- Fang, F.F.; Kim, J.H.; Choi, H.J. Synthesis of core-shell structured PS/Fe3O4 microbeads and their magnetorheology. Polymer 2009, 50, 2290–2293. [Google Scholar] [CrossRef]
- Burke, N.A.D.; Stöver, H.D.H.; Dawson, F.P. Magnetic Nanocomposites: Preparation and characterization of polymer-coated iron nanoparticles. Chem. Mater. 2002, 14, 4752–4761. [Google Scholar] [CrossRef]
- Aljourani, J.; Raeissi, K.; Golozar, M.A. Benzimidazole and its derivatives as corrosion inhibitors for mild steel in 1 M HCl solution. Corros. Sci. 2009, 51, 1836–1843. [Google Scholar] [CrossRef]
- Cao, C. On electrochemical techniques for interface inhibitor research. Corros. Sci. 1996, 38, 2073–2082. [Google Scholar] [CrossRef]
- Chetouani, A.; Aouniti, A.; Hammouti, B.; Benchat, N.; Benhadda, T.; Kertit, S. Corrosion inhibitors for iron in hydrochloride acid solution by newly synthesised pyridazine derivatives. Corros. Sci. 2003, 45, 1675–1684. [Google Scholar] [CrossRef]
- El Achouri, M.; Kertit, S.; Gouttaya, H.M.; Nciri, B.; Bensouda, Y.; Perez, L.; Infante, M.R.; Elkacemi, K. Corrosion inhibition of iron in 1 M HCl by some gemini surfactants in the series of alkanediyl-α,ω-bis-(dimethyl tetradecyl ammonium bromide). Prog. Org. Coat. 2001, 43, 267–273. [Google Scholar] [CrossRef]
- Touhami, F.; Aouniti, A.; Abed, Y.; Hammouti, B.; Kertit, S.; Ramdani, A.; Elkacemi, K. Corrosion inhibition of armco iron in 1 M HCl media by new bipyrazolic derivatives. Corros. Sci. 2000, 42, 929–940. [Google Scholar] [CrossRef]
- Zhang, Q.B.; Hua, Y.X. Corrosion inhibition of mild steel by alkylimidazolium ionic liquids in hydrochloric acid. Electrochim. Acta 2009, 54, 1881–1887. [Google Scholar] [CrossRef]
- Ehteshamzadeh, M.; Jafari, A.H.; Naderia, E.; Hosseini, M.G. Effect of carbon steel microstructures and molecular structure of two new Schiff base compounds on inhibition performance in 1 M HCl solution by EIS. Mater. Chem. Phys. 2009, 113, 986–993. [Google Scholar] [CrossRef]
- Navvaro-Flores, E.; Chong, Z.; Omanovic, S. Characterization of Ni, NiMo, NiW and NiFe electroactive coatings as electrocatalysts for hydrogen evolution in an acidic medium. J. Mol. Catal. A 2005, 226, 179–197. [Google Scholar] [CrossRef]
- Trinstancho-Reyes, J.L.; Sanchez-Carrillo, M.; Sandoval-Jabalera, R.; Orozco-Carmona, V.M.; Almeraya-Calderón, F.; Chacon-Nava, J.G.; Gonzalez-Rodriguez, J.G.; Marinez-Villafane, A. Electrochemical impedace spectroscopy investigation of alloy inconel 718 in molten salts at high temperature. Int. J. Electrochem. Sci. 2011, 6, 419–431. [Google Scholar]
- Kissi, M.; Bouklah, M.; Hammouti, B.; Benkaddour, M. Establishment of equivalent circuits from electrochemical impedance spectroscopy study of corrosion inhibition of steel by pyrazine in sulphuric acidic solution. Appl. Surf. Sci. 2006, 252, 4190–4197. [Google Scholar] [CrossRef]
- Xu, B.; Liu, Y.; Yin, X.; Yang, W.; Chen, Y. Experimental and theoretical study of corrosion inhibition of 3-pyridinecarbozalde thiosemicarbazone for mild steel in hydrochloric acid. Corros. Sci. 2013, 74, 206–213. [Google Scholar] [CrossRef]
- Kumar, S.; Sharma, D.; Yadav, P.; Yadav, M. Experimental and quantum chemical studies on corrosion inhibition effect of synthesized organic compounds on n80 steel in hydrochloric acid. Ind. Eng. Chem. Res. 2013, 52, 14019–14029. [Google Scholar] [CrossRef]
- Qin, T.T.; Li, J.; Luo, H.Q.; Li, M.; Li, N.B. Corrosion inhibition of copper by 2,5-dimercapto-1,3,4-thiadiazole monolayer in acidic solution. Corros. Sci. 2011, 53, 1072–1078. [Google Scholar] [CrossRef]
- Zarrouk, A.; Hammouti, B.; Dafali, A.; Bentiss, F.; Oujda, M. Inhibitive properties and adsorption of purpald as a corrosion inhibitor for copper in nitric acid medium. Ind. Eng. Chem. Res. 2013, 52, 2560–2568. [Google Scholar] [CrossRef]
- Keles, H.; Keles, M.; Dehri, I.; Serindag, O. Adsorption and inhibitive properties of aminobiphenyl and its Schiff base on mild steel corrosion in 0.5 M HCl medium. Colloid. Surf. A 2008, 320, 138–145. [Google Scholar] [CrossRef]
- Küstü, C.; Emregül, K.C.; Atakol, O. Schiff bases of increasing complexity as mild steel corrosion inhibitors in 2 M HCl. Corros. Sci. 2007, 49, 2800–2814. [Google Scholar] [CrossRef]
- Tang, Y.; Yang, W.; Yin, X.; Liu, Y.; Wan, R.; Wang, J. Phenylsubstituted amino thiadiazoles as corrosion inhibitors for copper in 0.5 M H2SO4. Mater. Chem. Phys. 2009, 116, 479–483. [Google Scholar] [CrossRef]
- Sample Availability: Samples of the AA-Na/magnetite composites are available from the authors.
© 2015 by the authors. Licensee MDPI, Basel, Switzerland. This article is an open access article distributed under the terms and conditions of the Creative Commons Attribution license ( http://creativecommons.org/licenses/by/4.0/).
Share and Cite
Atta, A.M.; El-Mahdy, G.A.; Al-Lohedan, H.A.; El-Saeed, A.M. Preparation and Application of Crosslinked Poly(sodium acrylate)-Coated Magnetite Nanoparticles as Corrosion Inhibitors for Carbon Steel Alloy. Molecules 2015, 20, 1244-1261. https://doi.org/10.3390/molecules20011244
Atta AM, El-Mahdy GA, Al-Lohedan HA, El-Saeed AM. Preparation and Application of Crosslinked Poly(sodium acrylate)-Coated Magnetite Nanoparticles as Corrosion Inhibitors for Carbon Steel Alloy. Molecules. 2015; 20(1):1244-1261. https://doi.org/10.3390/molecules20011244
Chicago/Turabian StyleAtta, Ayman M., Gamal A. El-Mahdy, Hamad A. Al-Lohedan, and Ashraf M. El-Saeed. 2015. "Preparation and Application of Crosslinked Poly(sodium acrylate)-Coated Magnetite Nanoparticles as Corrosion Inhibitors for Carbon Steel Alloy" Molecules 20, no. 1: 1244-1261. https://doi.org/10.3390/molecules20011244
APA StyleAtta, A. M., El-Mahdy, G. A., Al-Lohedan, H. A., & El-Saeed, A. M. (2015). Preparation and Application of Crosslinked Poly(sodium acrylate)-Coated Magnetite Nanoparticles as Corrosion Inhibitors for Carbon Steel Alloy. Molecules, 20(1), 1244-1261. https://doi.org/10.3390/molecules20011244

