Next Article in Journal
Combinatorial Libraries on Rigid Scaffolds: Solid Phase Synthesis of Variably Substituted Pyrazoles and Isoxazoles
Previous Article in Journal
Synthesis of New 2-(1,3-Dithianyl)phenols and Hexakis-[p-(1,3-dithian-2-yl)phenoxy]cyclotriphosphazene
 
 
Font Type:
Arial Georgia Verdana
Font Size:
Aa Aa Aa
Line Spacing:
Column Width:
Background:
Article

Photoinduced Electron-transfer Reaction of Pentafluoroiodobenzene with Alkenes

Shanghai Institute of Organic Chemistry, Chinese Academy of Sciences, 354 Fenglin Lu, Shanghai 200032, China
*
Author to whom correspondence should be addressed.
Molecules 1997, 2(1), 11-16; https://doi.org/10.3390/jan97p4
Submission received: 5 December 1996 / Accepted: 15 January 1997 / Published: 29 January 1997

Abstract

:
Irradiation of pentafluoroiodobenzene and alkenes gave the corresponding adducts. The presence of single electron-transfer scavengers, (p-dinitrobenzene and t-Bu2NO) and the free radical inhibitor (hydroquinone) suppressed the reaction. A photoinduced electron-transfer mechanism is proposed.

Introduction

The investigation of pentafluoroiodobenzene, C6F5I (1), previously, has been concentrated mainly on its radical generation and reaction with aromatic compounds [1], besides the formation of pentafluorophenyl organometallic compounds [2]. The pentafluorophenyl radical was formed in situ by oxidation of pentafluorophenyl-hydrazine [3], by photochemical decomposition of 1 [2a] or pyrolysis of pentafluorobenzenesulphonyl chlorides [4]. The introduction of the pentafluorophenyl moiety to toluene with [C6F5Xe]+[AsF 6]- was also assumed to be through the pentafluorophenyl radical [5].
Very recently, we found that this radical can be photolytically generated from both pentafluorophenyl per-(poly)fluoroalkanesulphonates (RFSO3C6F5) and C6F5I (1) [2d, 6]. Using this method, the pentafluorophenyl group can be smoothly introduced into benzenes, anilines, pyrroles, indoles, imidazoles, aromatic ethers or phenols. Furthermore a photo-induced electron-transfer (PET) rather than a simple radical mechanism has been proposed. Surprisingly, to our knowledge, there is no report of the reaction of 1 with alkenes in spite of the fact that a palladium catalyzed addition of 1 with alkyne has already been described [7]. Herein, we present the results of irradiation of 1 with simple olefins as well as allyl ethers.

Results and Discussion

Irradiation of 1 with alkenes 2 (1:2=1:10) for 12h gave the 1:1 adducts in moderate yields in addition to a small amount of pentafluorobenzene (4) (Scheme 1).
The reaction temperature, ca. 80°C, was a result of the irradiation, however, at this temperature without irradiation no reaction took place, an indication that irradiation was essential.
Similarly, the reaction of 1 with excess ethyl allyl ether and allyl acetate gave the corresponding adducts in high yields (Scheme 2).
The reaction results are listed in Table 1.
All the reactions proceeded without extra solvent; when using CH3CN or CH3OH as a solvent the yield of 4 was increased (see Table 1, Entry 16-18).
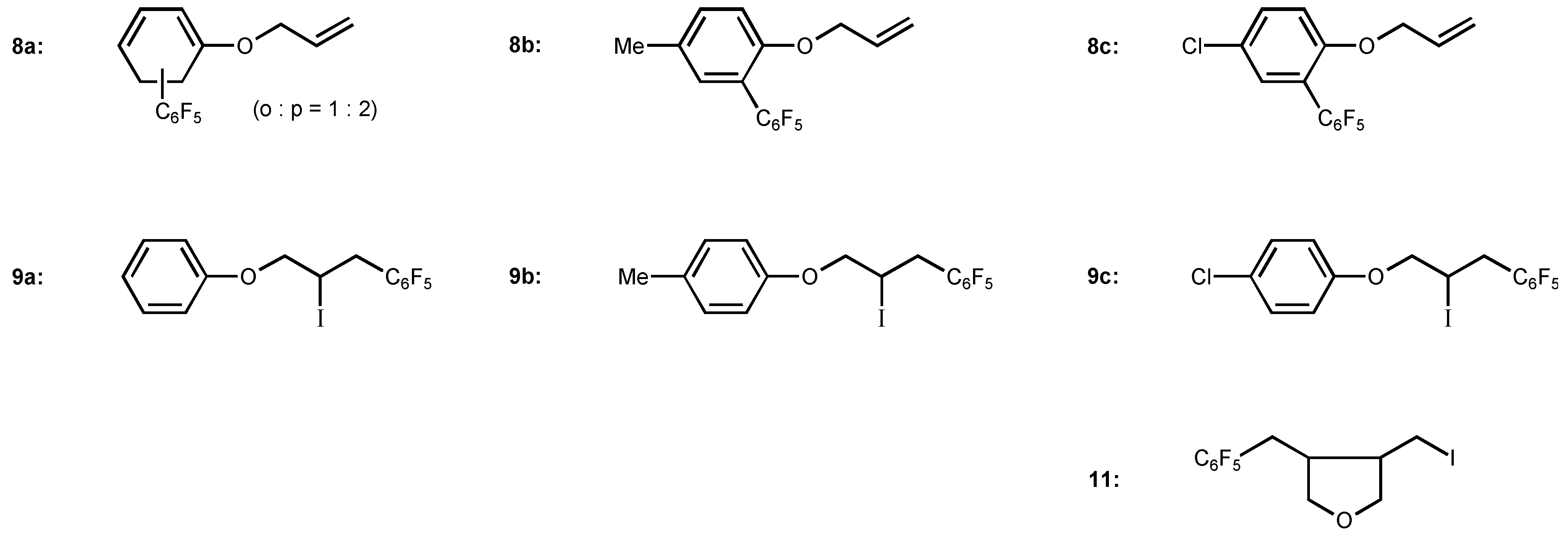
Under similar conditions 1 did not react with electrondeficient alkenes such as CH2=CHCN. When 1 reacted with arylallylethers (7) in CH3CN, both the pentafluorinated biphenyl products 8 and the 1:1 adducts 9 were obtained. (see, Entry 8-10, Table 1). Compound 4 was not detected by 19F NMR spectroscopy in these reactions. The total yield of 8 and 9 was remarkably dependent upon the ratio of 1 and 7 used. For example, when 1:7a was 1:3, the total yield of (8+9) reached 66%, whereas 1:1 only 37%. It was also found that the para substitute (X) in 7 has some influence on the yield of 8 and 9. For example, the reactant with an electron-donating group, e.g. 7b, seemed to give more favorable substitution in the benzene ring than addition to the alkene, whereas the reverse result for 7c was observed (Scheme 3).
Noteworthy, for 7a, only ortho- and para (8a) (1:2), for 7b and 7c merely ortho-(related to allyoxy group) 8b or 8c were isolated and none of the other regioisomers were detected.
Usually diallyether (DAE, 10) can trap efficiently the poly or perfluoroalkyl radicals resulting in the formation of tetrahydrofuran derivatives (Clock reaction) [8]. However, in this case, besides the major product, 11, a small amount of 1:1 adduct (12) was also obtained (Scheme 4).
In order to elucidate the reaction mechanism, inhibition studies were carried out. For example, the presence of single electron transfer (SET) scavengers, p-dinitrobenzene (p-DNB) and t-Bu2NO or a free radical inhibitor hydroquinone (HQ), in the reaction system significantly suppressed the reaction of 1 and 2a or 5a (see Entry 4-6, 13-15).
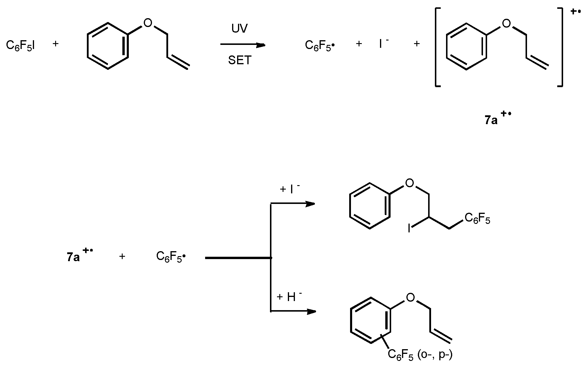
All the results, in addition to our previous work [2d, 6], seem to show that the mechanism may involve a photoinduced electron-transfer cation diradical coupling process, described using 7a as an example, as shown in Scheme 5.
The radical cation of 7a and pentafluorophenyl radical are generated through an electron-transfer under UV irradiation. The resulting C6F5• either adds to the alkene giving the adduct or attacks the benzene ring producing the corresponding o- and p-biphenyl mixture.
It is interesting to note that both cyclized (11) and uncyclized (12) products were obtained in the reaction of 1 and 10, indicating that, as very recently reported by Ashby et al, the uncyclized, like cyclized, product, can still be formed via SET pathway [9]. On the other hand, for the formation of the cyclized product 11, the cation diradical coupling may proceed either stepwise or by first transfering DAE+. to the distonic radical cation [10] (Scheme 6).

Experimental

M.P.s are uncorrected. IR spectra were obtained on a Schimadzu-440 instrument in potassium bromide pellets for all solid samples and in films for all liquid samples. 1H NMR spectra were recorded on a Jeol FX-90Q instrument using tetramethylsilane as an internal standard. 19F NMR spectra were recorded on a Varian EM-360 instrument at 56.4 MHz using trifluoroacetic acid as an external standard with chemical shifts in ppm positive upfield. Mass spectra was obtained on a Finnigan-4021 instrument. Silica gel (10-40m) was used for column chromatography.

Typical procedure of the reaction of pentafluoroiodoben-zene (1) with alkene (2) and (5)

Under a N2 atmosphere, a stirred mixture of 1 (2.94g, 10mmol) and 1-hexene (8.4g, 100mmol) in a quartz flask, connected to a condenser, was exposed to a high pressure mercury lamp (300W) at a distance of 8cm for 12h. 19F NMR, showed that 10% of pentafluorobenzene (4) was formed. The mixture was concentrated under reduced pressure and was subjected to column chromatography, using light petroleumether as eluent to give the product 3a (0.68g, 30%).

2-Iodo-1-pentafluorophenyl hexane (3a)

νmax/cm-1: 2890, 1530, 1510, 1130, 950-1020; δH(CDCl3): 4.20 (m, 1H), 3.30 (d, 2H, J=6), 1.63 (m, 2H), 1.33 (m, 4H) and 0.88 (s, 3H)ppm; δF(CDCl3): 64.3 (m, 2F), 78.9 (t, 1F), 84.3 (m, 2F) ppm; m/z: 251 (M+-I, 31%), 181(C6F5CH2+, 100%), 127 (2.7%), 57 (30%); Found: C, 38.18; H, 3.36; F, 25.25%; Calc. for C12H12F5I: C, 38.10; H, 3.17; F, 25.13%.

2-Iodo-1-pentafluorophenyl octane (3b)

νmax/cm-1: 2890, 1530, 1510, 1120; δH(CDCl3): 4.27 (m, 1H), 3.33 (d, 2H, J=6), 0.90-2.0 (m, 13H) ppm; δF(CDCl3): 66.0 (m, 2F), 80.0 (t, 1F), 86.2 (m, 2F) ppm; m/z: 279 (M+-I, 12.4%), 278 (M+-HI, 46.1%), 194 (M+-I-C6H13, 56.8%), 181 (C6F5CH2+, 100%), 167 (5.4%); Found: C, 41.38; H, 3.94; F, 23.40%; Calc. for C12H12F5I: C, 41.39; H, 3.97; F, 23.38%.

2-Iodo-1-pentafluorophenyl heptane (3c)

νmax/cm-1: 2890, 1530, 1500, 1120; δH(CDCl3): 4.27 (m, 1H), 3.33 (d, 2H, J=6), 0.90-2.20 (m, 11H) ppm; δF(CDCl3): 65.0 (m, 2F), 79.0 (t, 1F), 85.2 (m, 2F) ppm; m/z: 265 (M+-I, 2.4%), 264 (M+-HI, 16.1%), 194 (M+-I-C5H11, 100%), 181 (C6F5CH2+, 35.2%), 167 (7.4%); HRMS (for C13F5H13, M+-HI), Calc: 264.0937, Found: 264.0922.

C6F5CH2CH(I)CH2OC2H5 (6a)

νmax/cm-1: 2900, 1740, 1500, 1220; δH(CDCl3): 3.10-4.24 (m, 7H), 1.80 (t, 3H)ppm; δF(CDCl3): 65.7 (m, 2F), 79.5 (t, 1F), 85.3 (m, 2F) ppm; m/z: 353 (M+-I, 34.0%), 224 (M+-IC2H5, 29%), 181 (C6F5CH2+, 100%), Found: C, 34.70; H, 2.56; F, 24.50%; Calc. for C11H10F5IO: C, 34.74; H, 2.62; F, 25.00%.

C6F5CH2CHICH2OAc (6b)

νmax/cm-1: 2900, 1740, 1500, 1220; δH(CDCl3): 4.37 (m, 3H), 3.37 (m, 2H), 2.13 (s, 3H)ppm; δF(CDCl3): 66.7 (m, 2F), 80.3 (t, 1F), 86.7 (m, 2F) ppm; m/z: 395 (M++1, 0.77%), 335 (M+-AcO, 29%), 267 (M+-I, 100%), 207 (M+-AcO-HI, 67%), 181 (C6F5CH2+, 49%), 43 (AcO+, 84%), Found: C, 33.56; H, 1.99; F, 24.52%; Calc. for C11H8F5IO2: C, 33.50; H, 2.03; F, 24.52%.

Typical procedure of the reaction of pentafluoroiodoben-zene (1) with aryl allyl ether 7

Under a N2 atmosphere, the mixture of 1 (2.94g, 10mmol), 7a (10g, 0.1mol) and CH3CN(20ml) was irradiated for 12h as above. After work-up, the excess of 7a was then distilled off in vacuum, the oily residue was subject to column chromatography using petroleum ether as eluent to give product 8a (0.6g, 36%) and 9a (0.4g, 24%).

8a (Formula see Scheme 7)

νmax/cm-1: 1640, 1520, 1480, 1280, 1060, 860, 820; δH(CDCl3): 7.0 (m, 4H), 5.9 (m, 1H), 5.25 (m, 2H), 4.5 (m, 2H) ppm; δF(CDCl3): 63.7 (m, 2F, p-), 65.7 (m, 2F, o-), 78.7 (t, 1F), 85.0 (m, 2F) ppm; m/z: 300 (M+, 100%), 260 (M+-C3H4, 18%), 231 (M+-CO-C3H5, 46%), 205 (M+-C3H5-C2H2, 24%), 181 (C6F5CH2+, 70%), HRMS (for C15H9F5O): Calc: 300.2220, Found: 300.1599.

9a (Formula see Scheme 7)

νmax/cm-1: 1580, 1500, 1230, 980, 750, 680; δH(CDCl3): 7.10 (m, 5H), 4.42 (m, 1H), 4.20 (m, 2H), 3.40 (m, 2H) ppm; δF(CDCl3): 66.3 (m, 2F), 78.7 (t, 1F), 85.0 (m, 2F) ppm; m/z: 427 (M+, 18.0%), 300 (M+-I, 100%), 181 (C6F5CH2+, 70%), 94 (C6H5OH+, 25.0%), Found: C, 42.32; H, 2.39; Calc. for C15H10F5IO: C, 42.08; H, 2.35.

8b (Formula see Scheme 7)

νmax/cm-1: 1640, 1600, 1580, 1500, 1280, 1220, 1120, 980, 910, 800; δH(CDCl3): 6.95 (m, 3H), 5.9 (m, 1H), 5.20 (m, 2H), 4.40 (d, 2H), 2.21 (s, 3H) ppm; δF(CDCl3): 63.0 (m, 2F), 79.0 (t, 1F), 85.3 (m, 2F) ppm; m/z: 314 (M+, 100%), 299 (M+-CH3, 36%), 273 (M+-C3H5, 12%), 245 (M+-COC3H5, 16%). HRMS (for C16H11F5O): Calc: 314.2543, Found: 314.0768.

9b (Formula see Scheme 7)

M.p.: 71-73°C. νmax/cm-1: 2860, 1520, 1500, 1370, 1220, 1120, 980, 960; δH(CDCl3): 6.90 (AA’BB’, 4H), 4.4 (m, 1H), 4.20 (s, 2H), 3.40 (m, 2H), 2.23 (s, 3H) ppm; δF(CDCl3): 65.0 (m, 2F), 78.0 (t, 1F), 85.3 (m, 2F) ppm; m/z: 442 (M+, 26%), 315 (M+-CH3, 36%), 181 (C6F5CH2+, 82%), 108 (p-MeC6H4OH+, 100%). Found: C, 43.32; H, 2.39; Calc. for C16H12F5IO: C, 43.44; H, 2.71.

8c (Formula see Scheme 7)

νmax/cm-1: 2960, 1640, 1590, 1580, 1520, 1480 1280, 1220, 1010, 980; δH(CDCl3): 7.17-6.83 (m, 3H), 5.90 (m, 1H), 5.30 (m, 2H), 4.62 (s, 2H) ppm; δF(CDCl3): 63.0 (m, 2F), 78.3 (t, 1F), 86.0 (m, 2F) ppm; m/z: 334 (M+, 100%), 293 (M+-C3H5, 32%), 265 (M+-CO-C3H5, 45%). HRMS (for C15H8ClF5O): Calc: 334.6640, Found: 334.6216.

9c (Formula see Scheme 7)

M.p.: 59-60°C. νmax/cm-1: 1600, 1540, 1510, 1498, 1240, 1000; δH(CDCl3): 7.27 (AA’BB’, 4H), 4.40 (m, 2H), 4.25(d, 1H, J=4Hz), 3.43 (m, 2H) ppm; δF(CDCl3): 65.0 (m, 2F), 78.3 (t, 1F), 84.7 (m, 2F) ppm; m/z: 462 (M+, 50%), 335 (M+-I, 25%), 181 (C6F5CH2+, 100%), 128 (p-ClC6H4OH+, 25%), Found: C, 39.25; H, 1.81; F, 20.40%; Calc. for C15H9ClF5IO: C, 38.96; H, 1.94; F, 20.56%.

11 (Formula see Scheme 7)

M.p.: 42-44°C. νmax/cm-1: 1520, 1500, 1120, 980; δH(CDCl3): 4.00 (d, 2H, J=6Hz), 3.70 (m, 4H), 3.26 (m, 2H), 2.80 (m, 2H) ppm; δF(CDCl3): 66.0 (m, 2F), 79.7 (t, 1F), 85.3 (m, 2F) ppm; m/z: 392 (M+, 19%), 265 (M+-I, 60%), 235 (M+-I-CH2O, 22%), 181 (C6F5CH2+, 100%), Found: C, 37.51; H, 2.57; F, 24.45%; Calc. for C12H10F5IO: C, 37.42; H, 2.55; F, 24.23%.

C6F5CH2CHIOCH2CH=CH2 (12)

νmax/cm-1: 2800, 1650,1500, 1110, 980; δH(CDCl3): 5.80 (m, 1H), 5.23 (m, 2H), 4.32 (m, 1H), 4.00 (d, 2H, J=4Hz) ppm; δF(CDCl3): 65.0 (m, 2F), 79.0 (t, 1F), 85.0 (m, 2F) ppm; m/z: 392 (M+, 0.68%), 335 (M+-C3H5O, 63%), 181 (C6F5CH2+, 100%), 127 (I+, 4.5%), Found: C, 37.74; H, 2.55; F, 24.23%; Calc. for C12H10F5IO: C, 37.42; H, 2.55; F, 24.23%.

Acknowledgment: 

The authors wish to thank the Chinese National Sciences Foundation for financial support for this work.

References

  1. (a) Birchall, J. M.; Hazard, R.; Haszeldine, R. N.; Wakalski, W. W. J. Chem. Soc. 1967, 47. (b) Birchall, J. M.; Hazard, R.; Haszeldine, R. N. J. Chem. Soc. 1970, 2187. (c) Birchall, J. M.; Evans, L. R.; Haszeldine, R.N. J. Chem. Soc. Perkin Trans. 1 1974, 1715. (d) Chen, Q.-Y.; Li, Z.-T. J. Chem. Soc. Perkin Trans. 1 1993, 1705.
  2. Chambers, R. D. Fluorine in Organic Chemistry; John Wiley and Sons: New York, 1973. [Google Scholar]
  3. Birchall, J. M.; Haszeldine, R. N.; Parkinson, A. R. J. Chem. Soc. 1962, 4966.
  4. Bain, P. J.; Blackman, E. J.; Cummings, W.; Hughes, S. A.; Lynch, E. R.; MccCCall, E. B.; Roberts, R. J. Proc. Chem. Soc. 1962, 186.
  5. Frohn, H. J.; Klose, A. J. Fluorine Chem. 1993, 64, 201.
  6. Chen, Q.-Y.; Li, Z.-T. J. Org. Chem. 1993, 58, 2599.
  7. (a) Zhang, Y.-D.; Wen, J.-X. J. Fluorine Chem. 1990, 47, 533. (b) Ngulyn, B. V.; Yang, Z.-Y.; Burton, D. J. J. Fluorine Chem. 1990, 50, 265.
  8. Chen, Q.-Y.; Yang, Z.-Y. J. Fluorine Chem. 1985, 128, 399.
  9. Tolbert, L. M.; Sun, X.-J.; Ashby, E.C. J. Am. Chem. Soc. 1995, 117, 2681.
  10. Schepp, N. P.; Johnston, L. J. J. Am. Chem. Soc. 1994, 116, 6895.
  • Sample Availability: Samples available from the author.
Scheme 1.
Scheme 1.
Molecules 02 00011 sch001
Scheme 2.
Scheme 2.
Molecules 02 00011 sch002
Scheme 3.
Scheme 3.
Molecules 02 00011 sch003
Scheme 4.
Scheme 4.
Molecules 02 00011 sch004
Scheme 5.
Scheme 5.
Molecules 02 00011 sch005
Scheme 6.
Scheme 6.
Molecules 02 00011 sch006
Scheme 7.
Scheme 7.
Molecules 02 00011 sch007
Table 1. Irradiation reaction of 1 with alkenesa.
Table 1. Irradiation reaction of 1 with alkenesa.
EntryOlefinaSolventConv.%bProductsYield%cC6F5H%b
12a-603a3010
22b-703b8010
32c-703c605
4d2a-263a-10
5e2a-303a-10
6f2a-353a-10
75b-606b60trace
87aCH3CN508a36-
97bCH3CN799a24-
8b40
107cCH3CN469b26-
8c21
1110-709c428
1152
126
125a-826a70-
13d5a-466a349
14e5a-536a4010
15f5a-566a469
16g5an-C6H14826a549
17g5aCH3CN866a4025
18g5aCH3CN1006a5036
(a) 1: Alkenes=1:10, for 10-12h; (b) Determined by 19F NMR; (c) Isolated yields based on 1 consumed; (d) 20mol% p-DNB was added; (e) 20mol% t-Bu2NO was added; (f) 20mol% HQ was added; (g) 1: 5a=1:3.

Share and Cite

MDPI and ACS Style

Cao, P.; Long, Z.-Y.; Chen, Q.-Y. Photoinduced Electron-transfer Reaction of Pentafluoroiodobenzene with Alkenes. Molecules 1997, 2, 11-16. https://doi.org/10.3390/jan97p4

AMA Style

Cao P, Long Z-Y, Chen Q-Y. Photoinduced Electron-transfer Reaction of Pentafluoroiodobenzene with Alkenes. Molecules. 1997; 2(1):11-16. https://doi.org/10.3390/jan97p4

Chicago/Turabian Style

Cao, Ping, Zheng-Yu Long, and Qing-Yun Chen. 1997. "Photoinduced Electron-transfer Reaction of Pentafluoroiodobenzene with Alkenes" Molecules 2, no. 1: 11-16. https://doi.org/10.3390/jan97p4

APA Style

Cao, P., Long, Z.-Y., & Chen, Q.-Y. (1997). Photoinduced Electron-transfer Reaction of Pentafluoroiodobenzene with Alkenes. Molecules, 2(1), 11-16. https://doi.org/10.3390/jan97p4

Article Metrics

Back to TopTop