Abstract
2,2'-(4,4'(Butane-1,4-diyl/hexane-1,6-diyl)bis(3-methyl-5-oxo-4,5-dihydro-1,2,4-triazole-4,1-diyl)) diacetohydrazides 3a,b were obtained via the formation of diethyl 2,2'-(4,4'(butane-1,4-diyl/hexane-1,6-diyl)bis(3-methyl-5-oxo-4,5-dihydro-1,2,4-triazole-4,1-diyl))diacetates 2a,b, obtained starting from di-[3(methyl-2-yl-methyl)-4,5-dihydro-1H-[1,2,4]-triazole-5-one-4yl]-n-alkanes 1a,b in two steps. The synthesis of the compounds 7a,b–9a,b incorporating the 1,3,4-thiadiazole, and 10a,b–11a,b with a 1,2,4-triazole-thiol nucleus as the second heterocycle, was performed by the acidic or basic treatment of compounds 4a,b–6a,b which were obtained from the reaction of 3a,b with several isothiocyanates. Newly synthesized compounds were screened for antimicrobial activities and their antioxidant properties by the 1,1-diphenyl-2-picryl hydrazyl (DPPH) radical scavenging method. Compounds 4a,b, 5a,b, and 6a,b were found to possess good antioxidant properties. Almost all compounds have significant antimicrobial activities.
1. Introduction
Derivatives of 1,3,4-thiadiazoles and 1,2,4-triazole are known to exhibit anti-inflammatory, antiviral, analgesic, antimicrobial, anticonvulsant and antidepressant activity, the latter being usually explored by the forced swim test [1,2,3,4,5,6,7,8,9,10]. Among the pharmacological profiles of 1,3,4-thiadiazoles and 1,2,4-triazoles, their antimicrobial, anticonvulsant and antidepressant properties seem to be the best documented. Triazoles, in particular, substituted-1,2,4-triazoles and the open-chain thiosemicarbazide counterparts of 1,2,4-triazole, are among the various heterocycles that have received the most attention during the last two decades as potential antimicrobial agents [11]. Substitutions including thio-, alkylthio- and alkenylthio-derivatives have been carried out primarily at the 3-position of the 1,2,4-triazole ring, to afford potential antimicrobial agents that will overcome the abovementioned resistance problems.
Heterocycles containing a 1,2,4-triazole or 1,3,4-thiadiazole moiety, and the compounds consisting of 1,2,4-triazole and 1,3,4-thiadiazole condensed nucleus systems constitute a class of compounds possessing a wide spectrum of biological activities such as anti-inflammatory, antiviral and antimicrobial and antitumoral properties [12,13,14,15,16,17,18]. It was reported that more efficacious antibacterial compounds can be designed by joining two or more biologically active heterocyclic systems together in a single molecular framework. Keeping this observation in mind, this paper has presented the synthesis of new triazole thiadiazole derivatives incorporating different pharmacophores as hybrid molecules possessing antioxidant and antimicrobial activities [19].
2. Results and Discussion
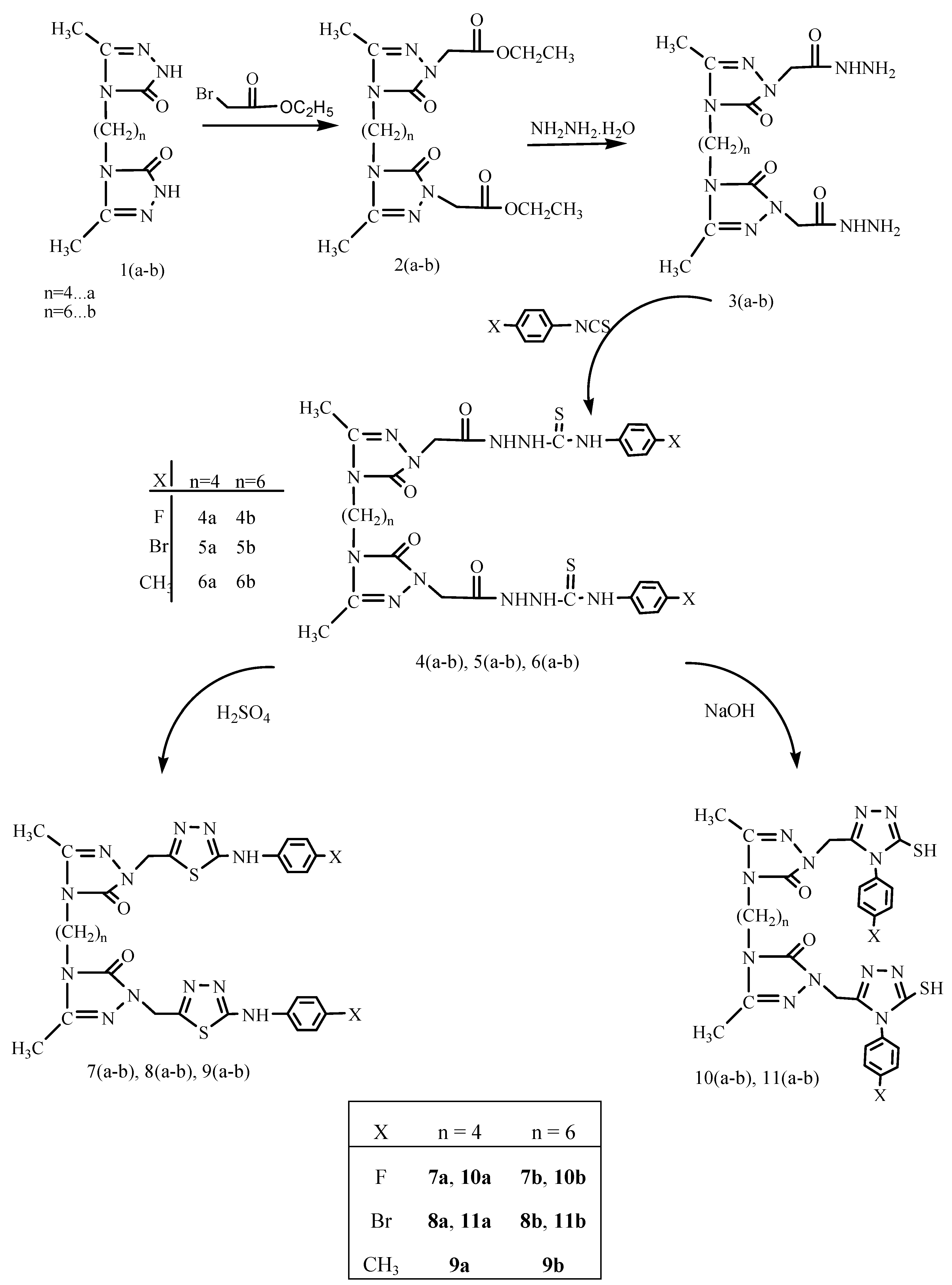
The synthesis of the intermediate and target compounds was performed according to the reactions outlined in Scheme 1. The starting compounds 1a,b were prepared following a previously reported literature procedure [20]. The reaction of compounds 1a,b with ethyl bromoacetate in the presence of sodium ethoxide produced diethyl 2,2'-(4,4'(butane-1,4-diyl/hexane-1,6-diyl)bis(3-methyl-5-oxo-4,5-dihydro-1,2,4-triazole-4,1-diyl))diacetates 2a,b. The ethoxy group on compounds 2a,b is an good leaving group for further nucleophilic substitution, thus reactions of 2a,b with hydrazine hydrate converted these esters into the corresponding 2,2'-(4,4'(butane-1,4-diyl/hexane-1,6-diyl)bis(3-methyl-5-oxo-4,5-dihydro-1,2,4-triazole-4,1diyl))diacetohydrazides derivatives 3a,b which were employed as key intermediates for synthesis of the target compounds.
Analytical and spectroscopic data of compounds 2a,b confirmed this reaction by the additional signals derived from the –CH2CO2 Et group at the expected chemical shift values. Moreover, compounds 2a,b gave a stable M+1 ion peak. The 1H-NMR spectra of compounds 3a,b displayed no signals belonging to the -OCH2CH3 group; instead, new signals derived from the hydrazide structure appeared at 3.38–3.57 ppm (-NHNH2) and 9.16–9.17 ppm (-NHNH2) integrating for two protons and one proton, respectively (D2O exchange). Furthermore, compounds 3a,b gave relatively stable M+1 ion peaks.
N-(4-Halo/methyl- phenyl)-2-(2-(4-(4-(1-(2-(2-(4-halo/methyl- phenylcarbamothioyl)hydrazinyl)-2-oxoethyl)-3-methyl-5-oxo-1H-1,2,4-triazole-4(5H)-yl)alkyl)-3-methyl-5-oxo-4,5-dihydro-1,2,4-triazole-1-yl)acetyl)hydrazinecarbothioamides 4a,b–6a,b were obtained by the reaction of compounds 3a,b with 4-fluorophenylisothiocyanate (4), 4-bromophenylisothiocyanate (5), or p-tolylisothiocyanate (6). The reaction was carried out at reflux temperature in ethanol and afforded the desired thiosemicarbazide derivatives, which were the starting materials for further cyclizations. The IR spectrum of compounds 4a,b–6a,b displayed a broad signal at 3245 cm−1 due to three NH absorptions. In the 1H-NMR spectra of compounds 4a,b–6a,b, these groups were observed at 9.56, 9.74, 10.24 ppm. Different from compound 3a,b, the 1H- and 13C-NMR spectra of compounds 4a,b–6a,b exhibited additional signals due to thiosemicarbazide moiety at the expected chemical shift values. In addition, compounds 4a,b–6a,b gave relatively stable molecular ion peaks in the corresponding mass spectra.
Scheme 1.
Synthetic pathway for the preparation of compounds 2–11.
Scheme 1.
Synthetic pathway for the preparation of compounds 2–11.

The treatment of compounds 4a,b–6a,b with cold concentrated sulfuric acid caused the conversion of the thiosemicarbazide structures into 1,3,4-thiadiazole rings; thus, 4,4'-(butane-1,4-diyl/hexane-1,6-diyl)bis(2-((5-(4-halogen/methylphenylamino)1,3,4-thiadiazole-2-yl)methyl)-5-methyl-2H-1,2,4-triazole-3(4H)-ones 7a,b–9a,b were obtained. On the other hand, the cyclization of the same intermediates, 4a,b–6a,b in the presence of 2 N NaOH produced 4,4'-(butane-1,4-diyl/hexane-1,6-diyl)bis(2-((4-(4-halogen/methylphenyl)-5-mercapto-4H-1,2,4-triazole-3-yl)methyl)-5-methyl-2H-1,2,4-triazole-3(4H)-ones 10a,b and 11a,b. In the IR spectra of compounds 7a,b–9a,b the NH stretching band appeared at 3285–3198 cm−1. The NH proton resonated at about 10.20–10.27 ppm in the 1H-NMR spectra. The IR spectra of compounds 10a,b and 11a,b displayed SH stretching bands at 2962–2988 cm−1. Moreover, in the 1H-NMR spectra of compounds 10a,b and 11a,b, additional signals due to the SH group were observed at 13.88–13.99 ppm (D2O exchangeable), while the NH signals disappeared.
The newly synthesized compounds were screened for antioxidant properties by radical scavenging methods such as the 1,1-diphenyl-2-picryl hydrazyl (DPPH) assay. Compounds 4a,b–6a,b possessing triazole-thiosemicarbazides have better antioxidant activity than 5a,b. While compounds 4a,b and 6a,b have fluorine and methyl group substituents on the phenyl rings, compounds 5a,b have bromine substituents. Thiosemicarbazide derivatives 4a,b–6a,b also showed antibacterial activity against microorganisms. The 1,2,4-triazole nucleus is one of the active components present in many standard drugs and it is known to increase the pharmacological activity of the corresponding molecules. As an biological group, thiosemicarbazide groups in the triazole compounds should be considered for the synthesis of lead compounds in search of antioxidant and antimicrobial activity. All of the synthesized compounds were tested for antimicrobial activity. The antimicrobial screening suggests that among the newly synthesized compounds, 2a, 3a, 4a,b–11a,b exhibited moderate activity against some of the tested microorganisms.
3. Experimental
3.1. General Information
Melting points were measured on an electrothermal apparatus and are uncorrected. 1H-NMR and 13C-NMR spectra were recorded on a Varian XL-200 NMR spectrophotometer (Palo Alto, CA, USA) in DMSO-d6. IR spectra were recorded on a Perkin-Elmer Spectrum one FT-IR spectrometer (Waltham, MA, USA) in KBr pellets. The MS spectra were measured with a Micromass Quattro LC/ULTIMA LC-MS/MS spectrometer (Waters, Milford, MA, USA) with EtOH as solvent. The experiment was performed in the positive ion mode. Elemental analyses were performed on a Hewlett-Packard 185 CHN analyzer. All the chemicals were obtained from Fluka Chemie AG (Buchs, Switzerland).
3.2. General Method for the Synthesis of Compounds 2
The corresponding compound 1 (0.01 mol) was refluxed with an equivalent amount of sodium in absolute ethanol for 2 h. Then, ethyl bromoacetate (0.01 mol) was added and the mixture was refluxed for an additional 5 h. After evaporation of the solvent under reduced pressure at 35–40 °C, a solid appeared. This was recrystallized from 1:1 ethanol/water to afford the desired product.
Diethyl 2,2'-(4,4'(butane-1,4-diyl)bis(3-methyl-5-oxo-4,5-dihydro-1,2,4-triazole-4,1-diyl))diacetate (2a). Yield 78%, m.p. 150–151 °C. IR (υ, cm−1): 1,755 (ester C=O), 1,698 (triazole C=O), 1,638 (C=N), 1,212 (C-O); Anal. Calcd (%) for C18H28N6O6: C, 50.93; H, 6.65; N, 19.80. Found: C, 50.98; H, 6.68; N, 19.85; 1H-NMR (δ ppm): 1.14 (6H, t, J =7.0 Hz, 2 OCH2CH3), 1.52–1.59 (4H, bs, 2 NCH2CH2), 2.16 (6H, s, 2CH3), 3.57 (4H, t, 2 NCH2), 4.08 (4H, q, J = 7.0Hz, 2 OCH2CH3), 4.45 (4H, s, 2 NCH2C=O); 13C-NMR (δ ppm): 13.01 (2CH3), 19.94 (2OCH2CH3), 26.45 (2NCH2CH2), 43.79 (2 NCH2), 49.25 (2 NCH2C=O), 62.11 (2OCH2), 147.96 (2C=N), 159.71(2C=O), 169.74(2C=O hydrazide); MS (ESI): m/z (%) 425.21(M+1).
Diethyl 2,2'-(4,4'(hexane-1,6-diyl)bis(3-methyl-5-oxo-4,5-dihydro-1,2,4-triazole-4,1-diyl))diacetate (2b). Yield 80%, m.p. 142–143 °C. IR (υ, cm−1): 1748 (ester C=O), 1698 (triazole C=O), 1618 (C=N), 1208 (C-O); Anal. Calcd (%) for C20H32N6O6: C, 53.09; H, 7.13; N, 18.57. Found: C, 53.14; H, 7.17; N, 18.53; 1H-NMR (DMSO-d6, δ ppm): 1H-NMR (δ ppm): 1.20 (6H, bs, 2OCH2CH3), 1.52 (4H, bs, 2NCH2CH2), 2.16 (6H, s, 2CH3), 2.46 (4H, bs, 2NCH2CH2CH2), 4.09 (4H, bs, 2NCH2), 4.11 (4H, bs, 2OCH2CH3), 4.46 (4H, s, 2NCH2C=O); 13C-NMR (δ ppm): 11.06 (2CH3), 20.01 (2OCH2CH3), 25.58 (2NCH2CH2CH2), 27.75 (2NCH2CH2), 43.66 (2 NCH2), 49.26 (2 NCH2C=O), 62.15(OCH2), 146.28 (2C=N), 159.57 (2C=O), 169.72 (2C=O hydrazide); MS (ESI): m/z (%) 453.25 (M+1).
3.3. General Method for the Synthesis of Compounds 3
A solution of the corresponding compound 2 (10 mmol) in n-butanol was refluxed with hydrazine hydrate (25 mmol) for 4 h. After cooling it to room temperature, a white solid appeared. This was recrystallized from 1:2 ethanol-water to obtain the desired compound.
2,2'-(4,4'(Butane-1,4-diyl)bis(3-methyl-5-oxo-4,5-dihydro-1,2,4-triazole-4,1-diyl)) diacetohydrazide (3a). Yield 72%, m.p. 204–206 °C. IR (υ, cm−1): 3203 and 3056 (NH-NH2), 1705 (triazole C=O), 1666 (hydrazide C=O); Anal. Calcd (%) for C14H24N10O4: C, 42.42; H, 6.10; N, 35.33. Found: C, 42.45; H, 6.17; N, 35.38; 1H-NMR (δ ppm): 1.54 (4H, bs, 2 NCH2CH2), 2.15 (6H, s, 2 CH3), 3.57–3.64 (8H, bs, 2 NCH2 + 2 NHNH2), 4.16 (4H, s, 2 NCH2C=O), 9.16 (2H, s, 2NHNH2); 13C-NMR (δ ppm): 11.09 (2CH3), 26.24 (2NCH2CH2), 41.37 (2 NCH2), 46.76 (2 NCH2C=O), 144.33 (2C=N), 154.38 (2C=O), 170.12 (2C=O hydrazide); MS (ESI): m/z (%) 396.20 (M+1).
2,2'-(4,4'(Hexane-1,6-diyl)bis(3-methyl-5-oxo-4,5-dihydro-1,2,4-triazole-4,1-diyl)) diacetohydrazide (3b). Yield 73%, m.p. 232–233 °C. IR (υ, cm−1): 3213 and 3058 (NH-NH2), 1710 (triazole C=O), 1666 (hydrazide C=O); Anal. Calcd (%) for C16H28N10O4: C, 45.27; H, 6.65; N, 33.00. Found: C, 45.33; H, 6.72; N, 33.05; 1H-NMR (δ ppm): 1.26 (4H, bs, 2NCH2CH2CH2), 2.13 (6H, s, 2 CH3), 3.38–3.51 (8H, bs, 2 NCH2 + 2 NHNH2), 4.17 (4H, s, 2 NCH2C=O), 9.17 (2H, s, 2NHNH2); 13C-NMR (δ ppm): 14.54 (2CH3), 20.37 (2NCH2CH2CH2), 28.47 (2NCH2CH2), 43.87 (2 NCH2), 49.35 (2 NCH2C=O), 146.87 (2C=N), 154.99 (2C=O), 171.45 (2C=O hydrazide); MS (ESI): m/z (%) 396.20 (M+1).
3.4. General Method for the Synthesis of Compounds 4–6
A mixture of corresponding compound 3 (10 mmol) and 4-fluorophenylisothiocyanate (for compounds 4), 4-bromophenylisothiocyanate (for compounds 5) or p-tolylisothiocyanate (for compounds 6) (15 mmol) was refluxed in ethanol for 4 h. The solution was cooled and a white solid appeared. This was filtered and recrystallized from ethanol to afford the desired product.
N-(4-Fluorophenyl)-2-(2-(4-(4-(1-(2-(2-(4-fluorophenylcarbamothioyl)hydrazinyl)-2-oxoethyl)-3-methyl-5-oxo-1H-1,2,4-triazole-4(5H)-yl)butyl)-3-methyl-5-oxo-4,5-dihydro-1,2,4-triazole-1-yl)acetyl)hydrazinecarbothioamide (4a). Yield 85%, m.p. 180–181 °C. IR (υ, cm−1): 3,245 (NH), 1,698 (triazole C=O), 1610 (C=N), 1191(C=S); Anal. Calcd (%) for C28H32F2N12O4S2: C, 47.85; H, 4.59; N, 23.92. Found: C, 47.89; H, 4.65; N, 23.97; 1H-NMR (δ ppm): 1.58 (4H, bs, 2 NCH2CH2), 2.47 (6H, s, 2 CH3), 3.56 (4H, t, 2 NCH2), 4.41 (4H, s, 2 NCH2C=O), 7.11–7.20 (4H, m, ArH), 7.33–7.40 (4H, m, ArH), 9.63 (2H, s, NH), 9.74 (2H, s, NH), 10.26 (2H, s, NH); 13C-NMR (δ ppm): 11.94 (2CH3), 26.17 (2NCH2CH2), 46.89 (2NCH2CH2), 56.71 (2NCH2C=O), ArC: [115.28 (2CH), 128.78 (2CH), 135.95 (2C), 144.47 (2C)], 154.66 (2C=N), 162.66 (2 triazole C=O), 167.32 (2 C=O), 181.61 (2C=S); MS (ESI): m/z (%) 703.20 (M+1).
N-(4-Fluorophenyl)-2-(2-(4-(6-(1-(2-(2-(4-fluorophenylcarbonothioyl)hydrazinyl)-2-oxoethyl)-3-methyl-5-oxo-4,5-dihydro-1,2,4-triazole-4(5H)-yl)hexyl)-3-methyl-5-oxo-4,5-dihydro-1,2,4-triazole-1-yl)acetyl)hydrazinecarbothioamide (4b). Yield 80%, m.p. 170–171 °C. IR (υ, cm−1): 3234 (NH), 1688 (triazole C=O), 1610 (C=N), 1189 (C=S); Anal. Calcd (%) for C30H36F2N12O4S2: C, 49.30; H, 4.97; N, 23.00. Found: C, 49.36; H, 4.92; N, 23.07; 1H-NMR (δ ppm): 1.15 (4H, bs, 2 NCH2CH2CH2), 1.51 (4H, bs, 2 NCH2CH2), 2.14 (6H, s, 2 CH3), 3.52 (4H, bs, 2 NCH2), 4.02 (4H, bs, 2 NCH2C=O), 6.76–7.45 (8H, m, ArH), 9.58 (2H, s, NH), 9.81 (2H, s, NH), 10.74 (2H, s, NH); 13C-NMR (δ ppm): 11.86 (CH3), 20.45 (2NCH2CH2CH2), 27.19 (NCH2CH2), 45.93 (NCH2CH2), 55.78 (NCH2C=O), ArC: [115.72 (2CH), 128.95 (2CH), 136.05 (2C), 144.90 (2C)], 154.86 (2C=N), 162.68 (2 triazole C=O), 168.60 (2 C=O), 181.64 (2C=S); MS (ESI): m/z (%) 730.24 (M+1).
N-(4-Bromophenyl)-2-(2-(4-(4-(1-(2-(2-(4-bromophenylcarbamothioyl)hydrazinyl)-2-oxoethyl)-3-methyl-5-oxo-1H-1,2,4-triazole-4(5H)-yl)butyl)-3-methyl-5-oxo-4,5-dihydro-1,2,4-triazole-1-yl)-acetyl)hydrazinecarbothioamide (5a). Yield 76%, m.p. 206–207 °C. IR (υ, cm−1): 3265 (NH), 1705 (triazole C=O), 1587 (C=N), 1192 (C=S); Anal. Calcd (%) for C28H32Br2N12O4S2: C, 40.78; H, 3.91; N, 20.38. Found: C, 40.75; H, 3.98; N, 20.42; 1H-NMR (δ ppm):1.04 (4H, bs, 2 NCH2CH2), 2.16 (6H, s, 2 CH3), 3.57 (4H, t, 2 NCH2), 4.43 (4H, s, 2 NCH2C=O), 7.38–7.55 (8H, m, ArH), 9.67 (2H, s, 2NH), 9.83 (2H, s, 2NH), 10.30 (2H, s, 2NH); 13C-NMR (δ ppm): 11.25 (CH3), 25.45 (NCH2CH2), 46.37(NCH2CH2), 56.79 (NCH2C=O), ArC: [115.34 (2CH), 128.86 (2CH), 135.98 (2C), 144.46 (2C)], 154.67 (2C=N), 162.69 (2 triazole C=O), 167.35 (2 C=O), 181.62 (2 C=S); MS (ESI): m/z (%) 824.05 (M+).
N-(4-Bromophenyl)-2-(2-(4-(6-(1-(2-(2-(4-bromophenylcarbonothioyl)hydrazinyl)-2-oxoethyl)-3-methyl-5-oxo-4,5-dihydro-1,2,4-triazole-4(5H)-yl)hexyl)-3-methyl-5-oxo-4,5-dihydro-1,2,4-triazole-1-yl)acetyl)hydrazinecarbothioamide (5b). Yield 79%, m.p. 190–191 °C. IR (υ, cm−1): 3224 (NH), 1711 (triazole C=O), 1668 (hydrazide C=O), 1185 (C=S); Anal. Calcd (%) for C30H36Br2N12O4S2: C, 42.26; H, 4.26; N, 19.71. Found: C, 42.21; H, 4.30; N, 19.76; 1H-NMR (δ ppm): 1.27 (4H, bs, 2 NCH2CH2CH2), 1.56 (4H, bs, 2 NCH2CH2), 2.54 (6H, s, 2 CH3), 3.60 (4H, t, 2 NCH2), 4.44 (4H, s, 2 NCH2C=O), 7.10–7.25 (4H, m, ArH), 7.38–7.49 (4H, m, ArH), 9.66 (2H, s, 2NH), 9.76 (2H, s, 2NH), 10.29 (2H, s, 2NH); 13C-NMR (δ ppm): 11.94 (2CH3), 20.50 (2NCH2CH2CH2), 26.16 (2NCH2CH2), 46.80 (2NCH2CH2), 56.72 (2NCH2C=O), ArC: [115.27 (2CH), 128.74 (2CH), 135.90 (2C), 144.41 (2C)], 154.61 (2C=N), 162.68 (2 triazole C=O), 168.35 (2C=O), 181.64 (2C=S); MS (ESI): m/z (%) 852.08 (M+).
N-(p-Tolyl))-2-(2-(3-methyl-4-(4-(3-methyl-5-oxo-1-(2-oxo-2-(2-(p-tolylcarbamothioyl)hydrazinyl)-ethyl)-1H-1,2,4-triazole-4(5H)-yl)butyl)-5-oxo-4,5-dihydro-1,2,4-triazole-1-yl)acetyl)hydrazine-carbothioamide (6a). Yield 77%, m.p. 218–219 °C. IR (υ, cm−1): 3224 (NH), 1705 (triazole C=O), 1637 (hydrazide C=O), 1188 (C=S); Anal. Calcd (%) for C30H38N12O4S2: C, 51.86; H, 5.51; N, 24.19. Found: C, 51.90; H, 5.57; N, 24.11; 1H-NMR (δ ppm):1.58 (4H, bs, 2 NCH2CH2), 2.15 (6H, s, 2 CH3), 2.27 (6H, s, 2 phenyl-CH3), 3.39 (4H, t, 2 NCH2), 4.42 (4H, s, 2 NCH2C=O), 7.14–7.23 (8H, m, ArH), 9.56 (2H, s, 2NH), 9.65 (2H, s, 2NH), 10.24 (2H, s, 2NH); 13C-NMR (δ ppm): 11.94 (CH3), 21.09 (2 phenyl-CH3), 26.17 (NCH2CH2), 46.93 (NCH2CH2), 58.62 (NCH2C=O), ArC: [120.54 (2CH), 129.27 (2CH), 137.07 (2C), 144.47 (2C)], 154.64 (2C=N), 167.31 (2 triazole C=O), 167.35 (2 C=O), 181.34 (2C=S); MS (ESI): m/z (%) 694.26(M+).
N-(p-Tolyl))-2-(2-(3-methyl-4-(4-(3-methyl-5-oxo-1-(2-oxo-2-(2-(p-tolylcarbamothioyl)hydrazinyl)-ethyl)-1H-1,2,4-triazole-4(5H)-yl)hexyl)-5-oxo-4,5-dihydro-1,2,4-triazole-1-yl)acetyl)hydrazine-carbothioamide (6b). Yield 76%, m.p. 185–186 °C. IR (υ, cm−1): 3247 (NH), 1688 (triazole C=O), 1590 (C=N), 1190 (C=S); Anal. Calcd (%) for C32H42N12O4S2: C, 53.17; H, 5.86; N, 23.25. Found: C, 53.22 H, 5.92; N, 23.48; 1H-NMR (δ ppm): 1.26 (4H, bs, 2NCH2CH2CH2), 1.54 (4H, bs, 2 NCH2CH2), 2.17 (6H, s, 2CH3), 2.29 (6H, s, 2 phenyl-CH3), 3.51 (4H, t, 2 NCH2), 4.35 (4H, s, 2 NCH2C=O), 7.07–7.13 (4H, m, ArH), 7.41–7.64 (4H, m, ArH), 9.61 (2H, s, 2 NH), 9.80 (2H, s, 2NH), 10.35 (2H, s, 2NH); 13C-NMR (δ ppm): 12.86 (CH3), 20.95 (2NCH2CH2CH2), 21.00 (2 phenyl-CH3), 25.58 (NCH2CH2), 43.25 (NCH2CH2), 56.12 (NCH2C=O), ArC: [120.67 (2CH), 127.65 (2CH), 138.76 (2C), 145.35 (2C)], 153.50 (2C=N), 160.21 (2 triazole C=O), 169.67 (2C=O), 180.81 (2C=S); MS (ESI): m/z (%) 722.29(M+).
3.5. General Method for the Synthesis of Compounds 7–9
A mixture of corresponding thiosemicarbazides 4–6 (10 mmol) in cold concentrated sulfuric acid (30 mL) was stirred for 10 min then, the mixture was allowed to reach room temperature. After stirring for an additional 30 min, the resulting solution was poured into ice cold water and made alkaline to pH 8 with ammonia. The precipitated product was filtered, washed with water and recrystallized from ethanol to afford the pure compounds.
4,4'-(Butane-1,4-diyl)bis(2-((5-(4-fluorophenylamino)1,3,4-thiadiazole-2-yl)methyl)-5-methyl-2H-1,2,4-triazole-3(4H)-one) (7a). Yield 88%, m.p. 300–301 °C. IR (υ, cm−1): 3267 (NH), 1694 (triazole C=O), 1621 (C=N); Anal. Calcd (%) for C28H28F2N12O2S2: C, 50.44; H, 4.23; N, 25.21. Found: C, 50.49; H, 4.18; N, 25.28; 1H-NMR (δ ppm): 1.54 (4H, bs, NCH2CH2), 2.16 (6H, s, 2CH3), 3.58 (4H, bs, 2NCH2CH2), 5.07 (4H, s, CH2), 7.11–7.19 (4H, m, ArH), 7.54–7.61 (4H, m, ArH), 10.20 (2H, s, 2NH); 13C-NMR (δ ppm): 11.98 (2CH3), 26.10 (2NCH2CH2), 38.84–41.34 (DMSO-d6+2NCH2CH2), 44.03 (2 CH2), ArC: [105.00 (2C), 116.58 (2CH), 119.89 (2CH), 137.61 (2C), 145.25 (2C), 153.77 (2C)], 155.57 (2 C=N), 160.32 (2 triazole C=O), MS (ESI): m/z (%) 666.19 (M+).
4,4'-(Hexane-1,6-diyl)bis(2-((5-(4-fluorophenylamino)1,3,4-thiadiazole-2-yl)methyl)-5-methyl-2H-1,2,4-triazole-3(4H)-one) (7b). Yield 85%, m.p. 278–279 °C. IR (υ, cm−1): 3219 (NH), 1691 (triazole C=O), 1,627 (C=N); Anal. Calcd (%) for C30H32F2N12O2S2: C, 51.86; H, 4.64; N, 24.19. Found: C, 51.82; H, 4.68; N, 24.12; 1H-NMR (δ ppm): 1.20 (4H, bs, 2NCH2CH2CH2), 1.58 (4H, bs, NCH2CH2), 2.21 (6H, s, 2CH3), 3.48 (4H, bs, 2NCH2CH2), 5.11 (4H, s, 2CH2), 7.12–7.20 (8H, m, ArH), 10.26 (2H, s, 2NH); 13C-NMR (δ ppm): 11.25 (2CH3), 20.98 (2NCH2CH2CH2), 26.32 (2NCH2CH2), 38.80–41.41 (DMSO-d6+2NCH2CH2), 44.56 (2CH2), ArC: [101.07 (2C), 117.45 (2CH), 120.24 (2CH), 137.65 (2C), 145.20 (2C), 153.76 (2C)], 155.51 (2C=N), 160.30 (2 triazole C=O), MS (ESI): m/z (%) 694.22 (M+).
4,4'-(Butane-1,4-diyl)bis(2-((5-(4-bromophenylamino)1,3,4-thiadiazole-2-yl)methyl)-5-methyl-2H-1,2,4-triazole-3(4H)-one) (8a). Yield 83%, m.p. 299–300 °C. IR (υ, cm−1): 3241 (NH), 1690 (triazole C=O), 1,603 (C=N); Anal. Calcd (%) for C28H28Br2N12O2S2: C, 43.40; H, 3.77; N, 20.94. Found: C, 43.46; H, 3.79; N, 20.98; 1H-NMR (δ ppm):1.54 (4H, bs, NCH2CH2), 2.16 (6H, s, 2CH3), 3.58 (4H, bs, 2NCH2CH2), 5.07 (4H, s, CH2), 7.11–7.19 (8H, m, ArH), 10.23 (2H, s, 2NH); 13C-NMR (δ ppm): 11.19 (2CH3), 25.31 (2NCH2CH2), 38.84–41.31 (DMSO-d6+2NCH2CH2), 43.22 (2CH2), ArC: [113.11 (2C), 119.21 (2CH), 131.69 (2CH), 139.59 (2C), 144.43 (2C), 152.96 (2C)], 155.02 (2C=N), 164.85 (2 triazole C=O), MS (ESI): m/z (%) 788.02 (M+).
4,4'-(Hexane-1,6-diyl)bis(2-((5-(4-bromophenylamino)1,3,4-thiadiazole-2-yl)methyl)-5-methyl-2H-1,2,4-triazole-3(4H)-one) (8b). Yield 80%, m.p. 243–244 °C. IR (υ, cm−1): 3285 (NH), 1703 (triazole C=O), 1667 (C=N); Anal. Calcd (%) for C30H32Br2N12O2S2: C, 44.12; H, 3.95; N, 20.58. Found: C, 44.19; H, 4.05; N, 20.62; 1H-NMR (δ ppm): 1.24 (4H, bs, 2NCH2CH2CH2), 1.50 (4H, bs, NCH2CH2), 2.22 (6H, s, 2CH3), 3.45 (4H, bs, 2NCH2CH2), 5.10 (4H, s, 2CH2), 7.11–7.20 (8H, m, ArH), 10.28 (2H, s, 2NH); 13C-NMR (δ ppm): 11.02 (2CH3), 20.96 (2NCH2CH2CH2), 24.98 (2NCH2CH2), 38.84–41.36 (DMSO-d6+2NCH2CH2), 43.19 (2CH2), ArC: [115.15 (2C), 120.11 (2CH), 131.60 (2CH), 139.50 (2C), 144.35 (2C), 150.55 (2C)], 154.80 (2C=N), 164.80 (2 triazole C=O) MS (ESI): m/z (%) 817.07 (M+1).
4,4'-(Butane-1,4-diyl)bis(2-((5-(p-toluidino)1,3,4-thiadiazole-2-yl)methyl)-5-methyl-2H-1,2,4-triazole-3(4H)-one) (9a). Yield 76%, m.p. 303–304 °C. IR (υ, cm−1): 3240 (NH), 1692 (triazole C=O), 1645 (C=N); Anal. Calcd (%) for C30H34N12O2S2: C, 54.69; H, 5.20; N, 25.51. Found: C, 54.60; H, 5.27; N, 25.58; 1H-NMR (δ ppm): 1.54 (4H, bs, NCH2CH2), 2.18 (6H, s, 2CH3), 2.23 (6H, s, 2 phenyl-CH3), 3.59 (4H, bs, 2NCH2CH2), 5.07 (4H, s, 2CH2), 7.13–7.45 (8H, m, ArH), 10.24 (2H, s, 2NH); 13C-NMR (δ ppm): 12.00 (2CH3), 21.03 (2 phenyl-CH3), 26.14 (2NCH2CH2), 38.84–41.35 (DMSO-d6+2NCH2CH2), 44.07 (2CH2), ArC: [106.27 (2C), 129.74 (2CH), 130.20 (CH), 138.83 (2C), 145.20 (2C), 153.54 (2C)], 154.96 (2C=N), 166.33 (2 triazole C=O), MS (ESI): m/z (%) 658.24 (M+).
4,4'-(Hexane-1,6-diyl)bis(2-((5-(p-toluidino)1,3,4-thiadiazole-2-yl)methyl)-5-methyl-2H-1,2,4-triazole-3(4H)-one) (9b). Yield 77%, m.p. 269–270 °C. IR (υ, cm−1): 3198 (NH), 1690 (triazole C=O), 1656 (C=N); Anal. Calcd (%) for C32H38N12O2S2: C, 55.96; H, 5.58; N, 24.47. Found: C, 56.04; H, 5.68; N, 24.40 1H-NMR (δ ppm): 1.24 (4H, bs, 2NCH2CH2CH2), 2.25 (6H, s, 2 phenyl-CH3), 1.50 (4H, bs, NCH2CH2), 2.23 (6H, s, 2CH3), 3.49 (4H, bs, 2NCH2CH2), 5.15 (4H, s, 2CH2), 7.14–7.25 (8H, m, ArH), 10.27 (2H, s, 2NH); 13C-NMR (δ ppm): 12.01 (2CH3), 20.94 (2NCH2CH2CH2), 21.03 (2 phenyl-CH3), 26.18 (2NCH2CH2), 38.80–41.39 (DMSO-d6+2NCH2CH2), 44.07 (2CH2), ArC: [108.27 (2C), 128.79 (2CH), 130.21 (CH), 138.73 (2C), 145.28 (2C), 150.05 (2C)], 154.00 (2C=N), 167.56 (2 triazole C=O), MS (ESI): m/z (%) 687.27 (M+1).
3.6. General Method for the Synthesis of Compounds 10 and 11
A solution of corresponding carbothioamide (4–6) (10 mmol) inequivalent amount of 2 N NaOH solution was refluxed for 3 h. The resulting solution was cooled to room temperature and acidified topH 3–4 with 37% HCl. The precipitate formed was filtered, washedwith water and recrystallized from dimethyl sulfoxide/water (1:1) to afford the desired compound.
4,4'-(Butane-1,4-diyl)bis(2-((4-(4-fluorophenyl)-5-mercapto-4H-1,2,4-triazole-3-yl)methyl)-5-methyl-2H-1,2,4-triazole-3(4H)-one) (10a). Yield 89%, m.p. 304–305 °C. IR (υ, cm−1): 2962 (SH), 1676 (triazole C=O), 1589 (C=N); Anal. Calcd (%) for C28H28F2N12O2S2: C, 50.44; H, 4.23; N, 25.21. Found: C, 50.48; H, 4.27; N, 25.28; 1H-NMR (δ ppm): 1.27 (4H, bs, NCH2CH2), 2.05 (6H, s, 2CH3), 3.46 (4H, bs, 2NCH2CH2), 4.79 (4H, s, 2CH2), 7.23–7.26 (8H, m, 2ArH), 13.95 (2H, s, 2SH); 13C-NMR (δ ppm): 11.71 (2CH3), 26.08 (2NCH2CH2), 38.82–41.31 (DMSO-d6+2NCH2CH2+2CH2), ArC: [116.62 (2C), 129.84 (2C), 130.43 (CH) 145.04 (2CH), 148.54 (2C), 153.08 (2C)], 165.32 (2C=N), 169.27 (2 triazole C=O), MS (ESI): m/z (%) 667.19 (M+).
4,4'-(Hexane-1,6-diyl)bis(2-((4-(4-fluorophenyl)-5-mercapto-4H-1,2,4-triazole-3-yl)methyl)-5-methyl-2H-1,2,4-triazole-3(4H)-one) (10b). Yield 81%, m.p. 310–311 °C. IR (υ, cm−1): 2988 (SH), 1678 (triazole C=O), 1580 (C=N); Anal. Calcd (%) for C30H32F2N12O2S2: C, 51.86; H, 4.64; N, 24.19. Found: C, 51.82; H, 4.72; N, 24.10; 1H-NMR (δ ppm): 1.22 (4H, bs, 2 NCH2CH2CH2), 1.49 (4H, bs, 2 NCH2CH2), 2.59 (6H, s, 2 CH3), 3.65 (4H, t, 2 NCH2), 7.46–7.65 (8H, m, 2ArH), 13.90 (2H, s, 2SH); 13C-NMR (δ ppm): 11.88 (2CH3), 20.56 (2NCH2CH2CH2), 27.18 (2NCH2CH2), 38.79–42.31 (DMSO-d6+2NCH2CH2+2CH2), ArC: [119.25 (2C), 126.67 (2C), 131.46 (CH) 147.25 (2CH), 149.74 (2C), 155.01 (2C)], 164.78 (2C=N), 169.27 (2 triazole C=O), MS (ESI): m/z (%) 694.22 (M+).
4,4'-(Butane-1,4-diyl)bis(2-((4-(4-bromophenyl)-5-mercapto-4H-1,2,4-triazole-3-yl)methyl)-5-methyl-2H-1,2,4-triazole-3(4H)-one) (11a). Yield 91%, m.p. 296–297 °C. IR (υ, cm−1): 2971 (SH), 1697 (triazole C=O), 1,591 (C=N); Anal. Calcd (%) for C28H28Br2N12O2S2: C, 42.65; H, 3.58; N, 21.32. Found: C, 42.70; H, 3.65; N, 21.28; 1H-NMR (δ ppm): 1.29 (4H, bs, NCH2CH2), 2.07 (6H, s, 2CH3), 3.36 (4H, bs, 2NCH2CH2), 4.84 (4H, s, 2NCH2C=O), 7.16–7.66 (8H, m, 2ArH), 13.99 (2H, s, 2SH); 13C-NMR (δ ppm): 11.04 (2CH3), 25.43 (2NCH2CH2), 38.08–40.59 (DMSO-d6+2NCH2CH2+2CH2), ArC: [122.79 (2C), 129.56 (2C), 132.14 (CH) 132.22 (2CH), 144.36 (2C), 147.73 (2C)], 152.29 (2C=N), 168.36 (2 triazole C=O), MS (ESI): m/z (%) 788.02 (M+).
4,4'-(Hexane-1,6-diyl)bis(2-((4-(4-bromophenyl)-5-mercapto-4H-1,2,4-triazole-3-yl)methyl)-5-methyl-2H-1,2,4-triazole-3(4H)-one) (11b). Yield 89%, m.p. 314–315 °C. IR (υ, cm−1): 2969 (SH), 1680 (triazole C=O), 1578 (C=N); Anal. Calcd (%) for C30H32Br2N12O2S2: C, 44.12; H, 3.95; N, 20.58. Found: C, 44.19; H, 34.07; N, 21.64; 1H-NMR (δ ppm): 1.20 (4H, bs, 2NCH2CH2CH2), 1.44 (4H, bs, 2 NCH2CH2), 2.50 (6H, s, 2 CH3), 3.71 (4H, t, 2NCH2), 7.49–7.69 (8H, m, 2ArH), 13.88 (2H, s, 2SH); 13C-NMR (δ ppm): 11.61 (2CH3), 20.45 (2NCH2CH2CH2), 27.01 (2NCH2CH2), 38.80–42.37 (DMSO-d6+2NCH2CH2+2CH2), ArC: [122.88 (2C), 129.79 (2C), 132.16 (CH) 132.69 (2CH), 144.39 (2C) 147.60 (2C)], 152.41 (2C=N), 167.76 (2 triazole C=O), MS (ESI): m/z (%) 816.06 (M+).
3.7. Antioxidant Activity
DPPH assay: The hydrogen atoms or electrons donation ability of the samples was measured from the bleaching of purple coloured methanol solution of DPPH. This spectrophotometric assay uses stable radical 2,2'-diphenylpicrylhydrazyl (DPPH) as a reagent [21,22]. Fifty microliters of various concentrations of the samples in methanol was added to a 0.004% methanol solution of DPPH (5 mL). After a 30 min incubation period at room temperature the absorbance was read against a blank at 517 nm. Inhibition free radical DPPH in percent (I %) was calculated in following way: I %: (Ablank − Asample/Ablank) × 100 where Ablank is the absorbance of the control reaction (containing all reagents except the test sample), and Asample is the absorbance of the test compound. Sample concentration providing 50% inhibition (IC50) was calculated form the graph plotted inhibition percentage against extract concentration. Tests were carried out in triplicate. Butylated hydroxytoluene (BHT) was used as positive control. The results are shown in the Table 1 and Figure 1.
Table 1.
IC50 values of compounds 4a,b, 5a,b, 6a,b, 10a,b and 11a,b.
| Compounds | DPPH IC50 (µg/mL) ± 0.5 |
|---|---|
| 4a | 4.7 ± 0.7 |
| 4b | 5.6 ± 0.4 |
| 5a | 7.0 ± 5.7 |
| 5b | 7.1 ± 0.4 |
| 6a | 4.1 ± 0.5 |
| 6b | 5.1 ± 0.3 |
| 10a | 40 ± 2.7 |
| 10b | 40 ± 0.9 |
| 11a | 36± 0.9 |
| 11b | 10 ± 0.7 |
| BHT (Positive control) | 19.8 ± 0.5 |
Figure 1.
The graphical representation of antioxidant activities compounds.
Figure 1.
The graphical representation of antioxidant activities compounds.

3.8. Antimicrobial Activity
All test microorganisms were obtained from the Hıfzıssıha Institute of Refik Saydam (Ankara, Turkey) and are as follows; Ec; Escherichia coli ATCC 25922, Sa; Staphylococcus aureus ATCC 25923, Pa; Pseudomonas aeruginosa ATCC 27853, Ah; Acinetobacter haemolyticus ATCC 19002, Bs; Bacillus subtilis ATCC 6633, Pv; Proteus vulgaris ATCC 13315, Entc; Enterobacter cloacea ATCC 13047, Ef; Enterococcus faecalis ATCC 29212, Ca; Candida albicans ATCC 60193, Af; Aspergillus sp., Fusa; Fusarium sp., Rhyso; Rhizopus sp. The new compounds were dissolved in dimethylsulphoxide (DMSO) to prepare extract stock solutions of 1,000 μg/mL.
Agar Well Diffusion Method
Simple susceptibility screening test using the agar–well diffusion method [23] as adapted earlier was used. Each microorganism was suspended in Brain Heart Infusion (BHI) (Difco, Detroit, MI, USA) broth and diluted to 106 colony forming unit (cfu) per mL. They were “flood–inoculated” onto the surface of BHI agar and Sabouraud Dextrose Agar (SDA, Difco) and then dried. For C. albicans, C. tropicalis, Penicillum spp. and Aspergillus spp., SDA was used. Five millimeter diameter wells were cut from the agar using a sterile cork-borer, and 250–5,000 μg/50 μL of the chemical substances were delivered into the wells. The plates were incubated for 18 h at 35 °C. Antimicrobial activity was evaluated by measuring the zone of inhibition against the test organism. Ceftazidime (Fortum) (10 μg) and triflucan (5 μg) were standard drugs. The results are shown in the Table 2.
Table 2.
Screening for antimicrobial activity of the compounds.
| Compounds | Stock Concentration µg/mL | Microorganisms and İnhibition zones (mm) | |||||||||||
|---|---|---|---|---|---|---|---|---|---|---|---|---|---|
| Ec | Sa | Pa | Ah | Bs | Pv | Entc | Ef | Ca | Af | Fusa | Rhyso | ||
| 2a | 1000 | - | - | - | 13 | - | - | - | - | 13 | - | - | - |
| 3a | 1000 | - | - | - | 13 | - | - | - | - | - | - | - | - |
| 4a | 1000 | - | - | - | 12 | - | - | - | - | 13 | - | - | - |
| 4b | 1000 | - | - | - | - | - | - | - | - | 11 | - | - | - |
| 5a | 1000 | - | - | 9 | 12 | - | - | - | - | 11 | - | - | - |
| 5b | 1000 | - | - | - | - | - | - | 12 | - | - | - | - | - |
| 6a | 1000 | - | - | - | 12 | - | 11 | - | - | 11 | - | - | - |
| 6b | 1000 | - | - | - | 10 | - | - | - | - | 11 | - | - | - |
| 7a | 1000 | - | - | - | 12 | - | - | - | - | - | - | - | - |
| 8a | 1000 | - | - | - | 12 | - | - | - | - | - | - | - | - |
| 8b | 1000 | - | - | - | - | - | - | 13 | - | 11 | - | - | - |
| 9a | 1000 | - | - | - | 12 | - | - | 12 | - | - | - | - | - |
| 9b | 1000 | - | - | - | - | - | - | 14 | - | - | - | - | - |
| 10a | 1000 | - | - | - | 10 | - | - | - | - | 11 | - | - | - |
| 10b | 1000 | - | - | - | - | - | - | 11 | - | - | - | - | - |
| Ampicillin | 8 | 5 | 5 | 5 | 11 | 15 | 14 | - | - | ||||
| Fortum | 45 | 45 | 45 | 20 | 30 | 30 | 35 | ||||||
| Triflucan | 25 | 25 | |||||||||||
Ec; Escherichia coli ATCC 25922, Sa; Staphylococcus aureus ATCC 25923, Pa; Pseudomonas aeruginosa ATCC 27853, Ah; Acinetobacter haemolyticus ATCC 19002; Bs; Bacillus subtilis ATCC 6633, Pv; Proteus vulgaris ATCC 13315, Entc; Enterobacter cloacea ATCC 13047, Ef; Enterococcus faecalis ATCC 29212, Ca; Candida albicans ATCC 60193, Af; Aspergillus sp., Fusa; Fusarium sp., Rhyso; Rhizopus sp.
4. Conclusions
In this study, a series of new triazole derivatives having carbohydrazide, thiosemicarbazide, thiadiazole and triazole-thiol moieties, respectively, at the 1-position was synthesized, and their antioxidant and antimicrobial activities were evaluated. It was observed that in vitro the newly synthesized triazole-thiosemicarbazides 4a,b–6a,b possess highly potent antioxidant properties and triazole/triazole-thiol derivatives 10a,b–11a,b possess moderate potent antioxidant properties. Compounds 7a,b, 8a,b and 9a,b, containing triazole-thiadiazole and triazole/triazole-thiol moieties didn’t show antioxidant properties. All newly synthesized compounds were screened for their antibacterial and antifungal activities by the inhibition zones (mm) method. Almost all the synthesized compounds showed significant activity against bacteria, while no compounds showed activity against fungi (Aspergillus, Fusarium, Rhizopus). In particular the 1,2,4-triazole-possessing thiosemicarbazides 4a,b–6a,b show both antibacterial and antifungal activities.
Acknowledgments
This work was supported by the Research Fund of Karadeniz Technical University. The authors thank Atalay Sökmen for the antioxidant and antimicrobial studies.
Conflicts of Interest
The authors declare no conflict of interest.
References
- Unangst, P.C.; Shrum, G.P.; Dyer, D.T.; Schrier, D.J. Novel 1,2,4-oxadiazoles and 1,2,4-thiadiazoles as dual 5-lipoxygenase and cyclooxygenase inhibitors. J. Med. Chem. 1992, 35, 3691–3698. [Google Scholar] [CrossRef]
- Mullican, M.D.; Wilson, M.W.; Connor, D.T.; Kostlan, C.R.; Schrier, D.J. Design of 5-(3,5-di-tert-butyl-4-hydroxyphenyl)-1,3,4-thiadiazoles, -1,3,4-oxadiazoles, and -1,2,4-triazoles as orally active, nonulcerogenic antiinflammatory agents. J. Med. Chem. 1993, 36, 1090–1099. [Google Scholar] [CrossRef]
- Boschelli, D.H.; Conner, D.T.; Bornemeir, D.A.; Dyer, R.D.; Kennedy, J.A.; Kuipers, P.J.; Okonkwo, G.C.; Schrier, D.J.; Wright, C.D. 1,3,4-oxadiazole, 1,3,4-thiadiazole, and 1,2,4-triazole analogs of the fenamates: In vitro inhibition of cyclooxygenase and 5-lipoxygenase activities. J. Med. Chem. 1993, 36, 1802–1810. [Google Scholar] [CrossRef]
- Jones, D.H.; Slack, R.; Squires, S.; Wooldridge, K.H. Antiviral chemotherapy. I. The activity of pyridine and quinoline derivatives against neurovaccinia in mice. J. Med. Chem. 1965, 8, 676–680. [Google Scholar] [CrossRef]
- Kelarev, V.I.; Karakhanov, R.A.; Gasanvo, S.; Morozova, G.V.; Kuatbekova, K.P. Synthesis of 2-amino-sym-triazines containing alkyl radicals. Chem. Heterocycl. Compd. 1993, 29, 1087–1092. [Google Scholar] [CrossRef]
- Habib, N.S.; Abdel-Hamid, S.; El-Hawash, M. Synthesis of benzimidazole derivatives as potential antimicrobial agents. Il Farmaco 1989, 44, 1225–1232. [Google Scholar]
- Stillings, M.R.; Welbour, A.P.; Walter, D.S. Substituted 1,3,4-thiadiazoles with anticonvulsant activity. J. Med. Chem. 1986, 29, 2280–2284. [Google Scholar] [CrossRef]
- Kane, J.M.; Staeger, M.A.; Dalton, C.R.; Miller, F.P.; Dubley, M.W.; Ogden, A.M.L.; Kehne, J.H.; Ketteler, H.J.; McCloskey, T.C.; Senyah, Y. 5-Aryl-3-(alkylthio)-4H-1,2,4-triazoles as selective antagonists of strychnine-induced convulsions and potential antispastic agents. J. Med. Chem. 1994, 37, 125–132. [Google Scholar] [CrossRef]
- Chapleo, C.B.; Myers, M.; Myers, P.L.; Saville, J.F.; Smith, A.C.B.; Stillings, M.R.; Tulloch, I.F.; Walter, D.S.; Welbour, A.P. Substituted 1,3,4-thiadiazoles with anticonvulsant activity. J. Med. Chem. 1986, 29, 2273–2280. [Google Scholar] [CrossRef]
- Kane, J.M.; Dubley, M.W.; Sorenson, S.M.; Miller, F.P. 2,4-Dihydro-3H-1,2,4-triazole-3-thiones as potential antidepressant agents. J. Med. Chem. 1988, 31, 1253–1258. [Google Scholar] [CrossRef]
- Mano, M.; Matsuno, T.; Imai, K.; Anticoccidials, I. Syntheses and anticoccidial activity of 2-amino-5-aryl-1,3,4-oxadiazoles, 5-alkoxy-3-aryl-1H-1,2,4-triazoles, and 3-aryl-1,2,4-triazolin-5-ones. Chem. Pharm. Bull. 1976, 24, 2871–2876. [Google Scholar] [CrossRef]
- Gürsoy, A.; Demirayak, S.; Cesur, Z.; Reisch, J.; Otük, G. Synthesis of some new hydrazide-hydrazones, thiosemicarbazides, thiadiazoles, triazoles and their derivatives as possible antimicrobials. Pharmazie 1990, 45, 246–250. [Google Scholar]
- Hiremath, S.P.; Biradar, J.S.; Kuradi, S.M. Synthesis of substituted oxadiazoles, thiadiazoles and triazoles and their biologocal activity. J. Indian Chem. Soc. 1984, 61, 74–76. [Google Scholar]
- Amir, M.; Kumar, H.; Javed, S.A. Condensed bridgehead nitrogen heterocyclic system: Synthesis and pharmacological activities of 1,2,4-triazolo-[3,4]-1,3,4-thiadiazole derivatives of ibuprofen and biphenyl-4-yloxy acetic acid. Eur. J. Med. Chem. 2008, 43, 2056–2066. [Google Scholar] [CrossRef]
- Navidpour, L.; Shafaroodi, H.; Abdi, K.; Amini, M.; Ghahremani, M.H.; Dehpourd, A.R.; Shafiee, A. Design, synthesis, and biological evaluation of substituted 3-alkylthio-4,5-diaryl-4H-1,2,4-triazoles as selective COX-2 inhibitors. Bioorg. Med. Chem. 2006, 14, 2507–2517. [Google Scholar] [CrossRef]
- Cukurovali, A.; Yilmaz, I.; Gur, S.; Kazaz, C. Synthesis, Antibacterial and Antifungal Activity of Some New Thiazolylhydrazone Derivatives Containing 3-Substituted Cyclobutane Ring. Eur. J. Med. Chem. 2006, 41, 201–207. [Google Scholar] [CrossRef]
- Tehranchian, S.; Akbarzadeh, T.; Fazeli, M.R.; Jamalifar, H.; Shafiee, A. Synthesis and antibacterial activity of 1-[1,2,4-triazol-3-yl] and 1-[1,3,4-thiadiazol-2-yl]-3-methylthio-6,7-dihydrobenzo[c]thiophen-4(5H)ones. Bioorg. Med. Chem. Lett. 2005, 15, 1023–1025. [Google Scholar] [CrossRef]
- Holla, B.S.; Poojary, K.N.; Rao, B.S.; Shivananda, M.K. New bis-aminomercaptotriazoles and bis-triazolothiadiazoles as possible anticancer agents. Eur. J. Med. Chem. 2002, 37, 511–517. [Google Scholar] [CrossRef]
- Ghorab, M.M.; El-Sharief, A.M.S.; Ammar, Y.A.; Mohamed, S.I. Synthesis and radiation stability of novel biologically active sulfur compounds derived from 1,2-bis(4-amino-5-mercapto-s-triazol-3-yl)ethane. Il Farmaco 2000, 55, 354–361. [Google Scholar] [CrossRef]
- İkizler, A.A.; Sancak, K. Synthesis of 4-Hydroxy-4,5-dihydro-1,2,4-triazol-5-ones. Collect. Czech. Commun. 1995, 60, 903–909. [Google Scholar] [CrossRef]
- Burits, M.; Bucar, F. Antioxidant activity of Nigella sativa essential oil. Phytother. Res. 2000, 14, 323–328. [Google Scholar] [CrossRef]
- Cuendet, M.; Hostettmann, K.; Potterat, O. Iridoid glucosides with free radical scavenging properties from Fagraea blumei. Helv. Chim. Acta 1997, 80, 1144–1152. [Google Scholar] [CrossRef]
- Finegold, S.M.; Martin, W.J. Bailey and Scott’s Diagnostic Microbiology, 6th ed.; C.V. Mosby Co.: St. Louis, MO, USA, 1982. [Google Scholar]
- Sample Availability: Not available.
© 2014 by the authors. Licensee MDPI, Basel, Switzerland. This article is an open access article distributed under the terms and conditions of the Creative Commons Attribution license ( http://creativecommons.org/licenses/by/3.0/).