Anti-Addition Mechanism in the Intramolecular Hydroalkoxylation of Alkenes Catalyzed by PVP-Stabilized Nanogold
Abstract
:1. Introduction


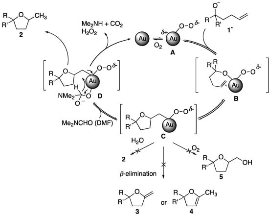
2. Results and Discussion


3. Experimental Section
3.1. Preparation of (1R*,4S*,4aR*,9aS*,10S*)-10-Hydroxy-10-phenyl-1,4a,9a,10-tetrahydro-1,4-methanoanthracen-9(4H)-one (1c)
3.2. Procedure for the Hydroalkoxylation
4. Conclusions
Acknowledgements
References and Notes
- Haruta, M.; Kobayashi, T.; Sano, H.; Yamada, N. Novel gold catalysts for the oxidation of carbon monoxide at a temperature far below 0 °C. Chem. Lett. 1987, 405–408. [Google Scholar]
- Haruta, M. When Gold Is Not Noble: Catalysis by Nanoparticles. Chem. Rec. 2003, 3, 75–87. [Google Scholar] [CrossRef]
- Hashmi, A.S.K.; Hutchings, G.J. Gold catalysis. Angew.Chem. Int. Ed. 2006, 45, 7896–7936. [Google Scholar] [CrossRef]
- Matsumoto, T.; Ueno, M.; Wang, N.; Kobayashi, S. Recent advances in immobilized metal catalysts for environmentally benign oxidation of alcohols. Chem. Asian J. 2008, 3, 196–214. [Google Scholar] [CrossRef]
- Pina, C.D.; Falletta, E.; Prati, L.; Rossi, M. Selective oxidation using gold. Chem. Soc. Rev. 2008, 37, 2077–2095. [Google Scholar] [CrossRef]
- Corma, A.; Garcia, H. Supported gold nanoparticles as catalysts for organic reactions. Chem. Soc. Rev. 2008, 37, 2096–2126. [Google Scholar] [CrossRef]
- Tsukuda, T.; Tsunoyama, H.; Sakurai, H. Aerobic oxidations catalyzed by colloidal nanogold. Chem. Asian J. 2011, 6, 736–748. [Google Scholar] [CrossRef]
- Sakurai, H.; Kamiya, I.; Kitahara, H. Formal Lewis acidic character of Gold nanocluster catalyst. Pure Appl. Chem. 2010, 82, 2005. [Google Scholar] [CrossRef]
- Kamiya, I.; Tsunoyama, H.; Tsukuda, T.; Sakurai, H. Lewis acid character of zero-valent gold nanoclusters under aerobic conditions: Intramolecularhydroalkoxylation of alkenes. Chem. Lett. 2007, 36, 646–647. [Google Scholar] [CrossRef]
- Kitahara, H.; Kamiya, I.; Sakurai, H. Intramolecular addition of toluenesulfonamide to unactivated alkenes catalyzed by gold nanoclusters under aerobic conditions. Chem. Lett. 2009, 38, 908–909. [Google Scholar] [CrossRef]
- Kitahara, H.; Sakurai, H. Catalytic activity of gold nanoclusters in intramolecularhydroamination of alkenes and alkynes with toluenesulfonamide under aerobic and basic conditions. J. Organomet. Chem. 2011, 696, 442–449. [Google Scholar] [CrossRef]
- Kitahara, H.; Sakurai, H. Gold nanoclusters as a catalyst for intramolecular addition of primary amines to unactivated alkenes under aerobic conditions. Chem. Lett. 2010, 39, 46–48. [Google Scholar] [CrossRef]
- Müller, T.E.; Beller, M. Metal-initiated amination of alkenes and alkynes. Chem. Rev. 1998, 98, 675–704. [Google Scholar] [CrossRef]
- Müller, T.E.; Hultzsch, K.C.; Yus, M.; Foubelo, F.; Tada, M. Hydroamination: Direct addition of amines to alkenes and alkynes. Chem. Rev. 2008, 108, 3795–3892. [Google Scholar] [CrossRef]
- Patil, N.T. Heterogeneous π-acid catalysis with metal nanoparticles. ChemCatChem 2011, 3, 1121–1125. [Google Scholar] [CrossRef]
- de Almeida, M.P.; Carabineiro, S.A.C. The best of two worlds from the gold catalysis universe: Making homogeneous heterogeneous. ChemCatChem 2012, 4, 18–29. [Google Scholar] [CrossRef]
- Hong, S.; Marks, T.J. Organolanthanide-catalyzed hydroamination. Acc. Chem. Res. 2004, 37, 673–686. [Google Scholar] [CrossRef]
- Walsh, J.; Baranger, A.M.; Bergman, R.G. Stoichiometric and catalytic hydroamination of alkynes and allene by zirconium bisamides Cp2Zr (NHR)2. J. Am. Chem. Soc. 1992, 114, 1708–1719. [Google Scholar]
- Majumder, S.; Odom, A.L. Group-4 dipyrrolylmethane complexes in intramolecular olefin hydroamination. Organometallics 2008, 27, 1174–1177. [Google Scholar] [CrossRef]
- Bexrud, J.A.; Beard, J.D.; Leitch, D.C.; Schafer, L.L. Intramolecular hydroamination of unactived olefins with Ti (NMe2)4 as a precatalyst. Org. Lett. 2005, 7, 1959–962. [Google Scholar] [CrossRef]
- Kim, J.Y.; Livinghouse, T. Chelating diamide based rate enhancement of intramolecular alkene hydroaminations catalyzed by a neutral Sc (III) complex. Org. Lett. 2005, 7, 4391–4393. [Google Scholar] [CrossRef]
- Ohmiya, H.; Moriya, T.; Sawamura, M. Cu (I)-catalyzed intramolecular hydroamination of unactivated alkenes bearing a primary or secondary amino group in alcoholic solvents. Org. Lett. 2009, 11, 2145–2147. [Google Scholar] [CrossRef]
- Zhang, J.; Yang, C.-G.; He, C. Gold (I)-catalyzed intra-and intermolecular hydroamination of unactivated olefins. J. Am. Chem. Soc. 2006, 128, 1798–1799. [Google Scholar] [CrossRef]
- 24. LaLonde, R.L.; Brenzovich, W.E., Jr.; Benitez, D.; Tkatchouk, E.; Kelley, K.; Goddaed, W.A., III; Toste, F.D. Alkylgold complexes by the intramolecular aminoauration of unactivated alkene. Chem. Sci. 2010, 1, 226–233. [Google Scholar] [CrossRef]
- Witham, C.A.; Huang, W.; Tsung, C.-K.; Kuhn, J.N.; Somorjai, G.A.; Toste, F.D. Converting homogeneous to heterogeneous in electrophilic catalysis using monodisperse metal nanoparticles. Nat. Chem. 2010, 2, 36–41. [Google Scholar] [CrossRef]
- Huang, W.; Liu, J.H.-C.; Alayoglu, P.; Li, Y.; Witham, C.A.; Tsung, C.-K.; Toste, F.D.; Somorjai, G.A. Highly active heterogeneous palladium nanoparticle catalysts for homogeneous electrophilic reactions in solution and the utilization of a continuous Flow Reactor. J. Am. Chem. Soc. 2010, 132, 16771–16673. [Google Scholar]
- Bobuatong, K.; Karanjit, S.; Fukuda, R.; Ehara, M.; Sakurai, H. Aerobic oxidation of methanol to formic acid on Au20−: A theoretical study on the reaction mechanism. Phys. Chem. Chem. Phys. 2012, 14, 3103–3111. [Google Scholar]
- Tsunoyama, H.; Ichikuni, N.; Sakurai, H.; Tsukuda, T. Effect of electronic structures of Au clusters stabilized by poly(N-vinyl-2-pyrrolidone) on aerobic oxidation catalysis. J. Am. Chem. Soc. 2009, 131, 7086–7093. [Google Scholar] [CrossRef]
- Karanjit, S.; Bobuatong, K.; Fukuda, R.; Ehara, M.; Sakurai, H. Mechanism of the aerobic oxidation of methanol to formic acid on Au8-: A DFT stud. Int. J. Quant. Chem. 2012. [Google Scholar] [CrossRef]
- Wu, H.-J.; Chao, C.-S.; Lin, C.-C. Synthesis of new type diacetaltrioxa-cage compounds via an intramolecularnucleophilic addition of the hydroxy group to the carbonyl oxide group. J. Org. Chem. 1998, 63, 7687–7693. [Google Scholar] [CrossRef]
- Tsunoyama, H.; Sakurai, H.; Negishi, Y.; Tsukuda, T. Size-specific catalytic activity of polymer-stabilized gold nanoclusters for aerobic alcohol oxidation in water. J. Am. Chem. Soc. 2005, 127, 9374–9375. [Google Scholar]
- Preedasuriyachai, P.; Kitahara, H.; Chavasiri, W.; Sakurai, H. N-Formylation of amines catalyzed by nanogold under aerobic oxidation conditions with MeOH or formalin. Chem. Lett. 2010, 39, 1174–1176. [Google Scholar] [CrossRef]
- We can exclude the possibility of the leaching Au as a catalyst by measuring the ICP-AES analysis, which showed that no Au was present in the filtrate (detection limit: 0.02 ppm).
- Tsunoyama, H.; Sakurai, H.; Ichikuni, H.; Negishi, Y.; Tsukuda, T. Colloidal gold nanoparticles as catalyst for carbon-carbon bond formation:Application to aerobic homocoupling of phenylboronic acid in water. Langmuir 2004, 20, 11293–11296. [Google Scholar] [CrossRef]
© 2012 by the authors; licensee MDPI, Basel, Switzerland. This article is an open-access article distributed under the terms and conditions of the Creative Commons Attribution license (http://creativecommons.org/licenses/by/3.0/).
Share and Cite
Kitahara, H.; Sakurai, H. Anti-Addition Mechanism in the Intramolecular Hydroalkoxylation of Alkenes Catalyzed by PVP-Stabilized Nanogold. Molecules 2012, 17, 2579-2586. https://doi.org/10.3390/molecules17032579
Kitahara H, Sakurai H. Anti-Addition Mechanism in the Intramolecular Hydroalkoxylation of Alkenes Catalyzed by PVP-Stabilized Nanogold. Molecules. 2012; 17(3):2579-2586. https://doi.org/10.3390/molecules17032579
Chicago/Turabian StyleKitahara, Hiroaki, and Hidehiro Sakurai. 2012. "Anti-Addition Mechanism in the Intramolecular Hydroalkoxylation of Alkenes Catalyzed by PVP-Stabilized Nanogold" Molecules 17, no. 3: 2579-2586. https://doi.org/10.3390/molecules17032579
APA StyleKitahara, H., & Sakurai, H. (2012). Anti-Addition Mechanism in the Intramolecular Hydroalkoxylation of Alkenes Catalyzed by PVP-Stabilized Nanogold. Molecules, 17(3), 2579-2586. https://doi.org/10.3390/molecules17032579
