Two New Oleanane-Type Triterpenoids from Platycodi Radix and Anti-proliferative Activity in HSC-T6 Cells
Abstract
:1. Introduction
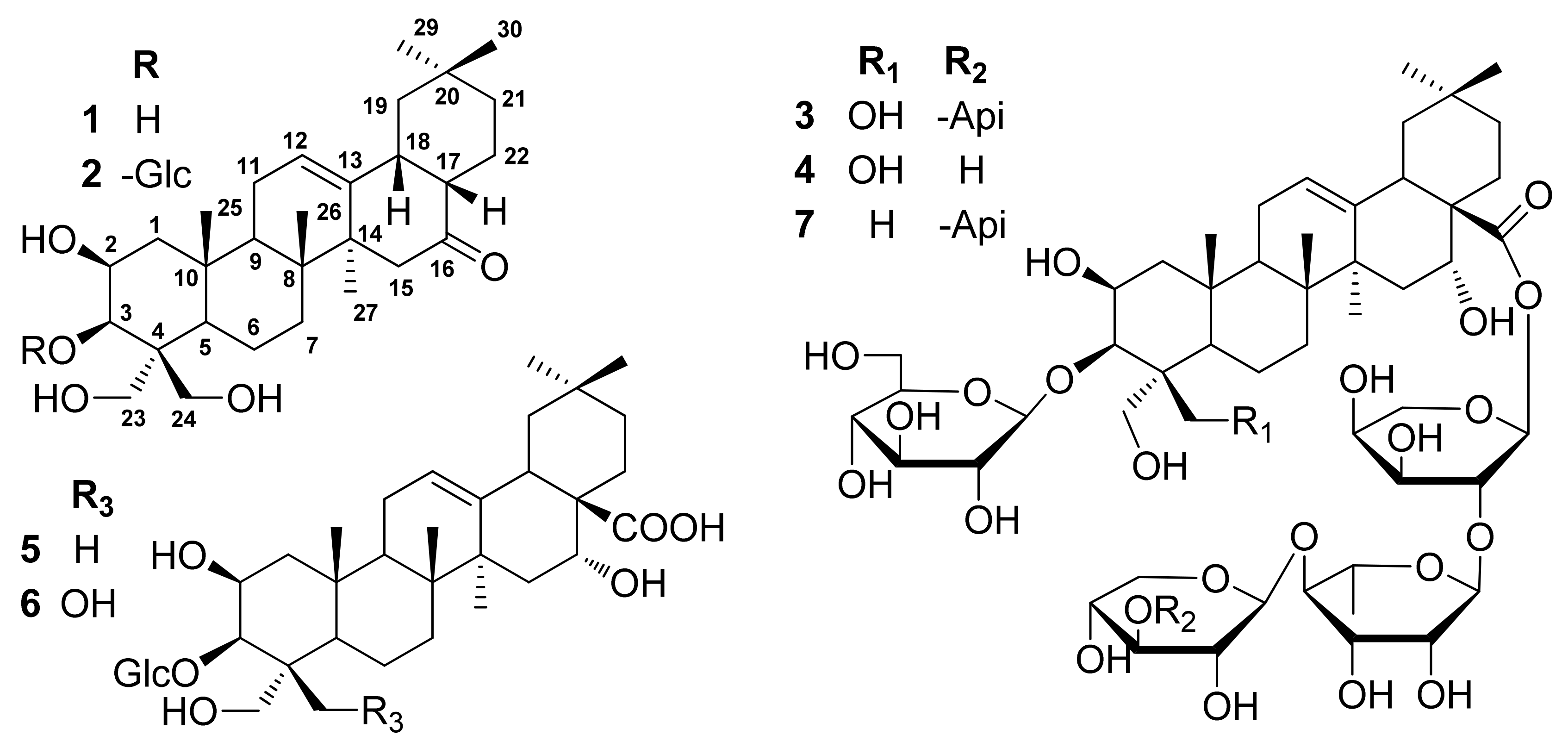
2. Results and Discussion
3. Experimental
3.1. General
3.2. Plant Material
3.3. Extraction and Isolution
3.4. Characterization of Compound 1 and Compound 2
3.5. Acid Hydrolysis of Compound 2
3.6. In Vitro Inhibitory Activity on Cell Proliferation
4. Conclusions
Acknowledgments
References
- Chinese Pharmacopoeia Commission. Pharmacopoeia of the People’s Republic of China; Chemical Industry Press: Beijing, China, 2010; Volume 1, pp. 259–260. [Google Scholar]
- Hong, D.Y.; Lian, Y.S.; Shen, L.D. Flora Reipublicae Popularis Sinica (Zhongguo Zhiwu Zhi); Science Press: Beijing, China, 1977; Volume 73, Issue 2, p. 77. [Google Scholar]
- Yu, M.; Fang, P.H.; Yu, G.F.; Liu, M.X. Research advances on chemical constituents and anti-tumor effect of Radix Platycodi. J. Int. Pharm. Res. 2011, 38, 280–283. [Google Scholar]
- Park, D.I.; Lee, J.H.; Moon, S.K.; Kim, C.H.; Lee, Y.T.; Cheong, J.; Choi, B.T.; Choi, Y.H. Induction of apoptosis and inhibition of telomerase activity by aqueous extract from Platycodon grandiflorum in human lung carcinoma cells. Pharmacol. Res. 2005, 51, 437–443. [Google Scholar] [CrossRef] [PubMed]
- Lee, K.J.; Shin, D.W.; Chung, Y.C.; Jeong, H.G. Chemopreventive effect of saponins derived from roots of Platycodon grandiflorum on 4-(methyinitrosamino)-1-(3-pyridyl)-1-butanone-induced lung turnorigenesis in A/J mice. Arch. Pharm. Res. 2006, 29, 651–656. [Google Scholar] [CrossRef] [PubMed]
- Li, W.; Qi, Y.; Wang, Z.; Zhang, J.; Zhang, W.; Zheng, Y.N. Study on anti-tumor activity of saponins from Platycodi Radix in vitro. Pharmacol. Clin. Chin. Mater. Med. 2009, 25, 37–40. [Google Scholar]
- Yu, J.S.; Kim, A.K. Platycodin D induces apoptosis in MCF-7 human breast cancer cells. J. Med. Food 2010, 13, 298–305. [Google Scholar] [CrossRef] [PubMed]
- Yu, J.S.; Kim, A.K. Platycodin D induces reactive oxygen species-mediated apoptosis signal-regulating kinase 1 activation and endoplasmic reticulum stress response in human breast cancer cells. J. Med. Food 2012, 15, 691–699. [Google Scholar] [CrossRef] [PubMed]
- Kim, M.S.; Hur, Y.G.; Kim, W.G.; Park, B.W.; Ahn, K.S.; Kim, J.J.; Bae, H. Inhibitory effect of Platycodon grandiflorum on T(H)1 and T(H)2 immune responses in a murine model of 2,4-dinitrofluorobenzene-induced atopic dermatitis-like skin lesions. Ann. Allergy Asthma Immunol. 2011, 106, 54–61. [Google Scholar] [CrossRef] [PubMed]
- Park, S.J.; Lee, H.A.; Kim, J.W.; Lee, B.S.; Kim, E.J. Platycodon grandiflorus alleviates DNCB-induced atopy-like dermatitis in NC/Nga mice. Indian J. Pharmacol. 2012, 44, 469–474. [Google Scholar] [PubMed]
- Choi, J.H.; Han, E.H.; Park, B.H.; Kim, H.G.; Hwang, Y.P.; Chung, Y.C.; Lee, Y.C.; Jeong, H.G. Platycodi Radix suppresses development of atopic dermatitis-like skin lesions. Environ. Toxicol. Pharmacol. 2012, 33, 446–452. [Google Scholar] [CrossRef] [PubMed]
- Hwang, Y.P.; Kim, H.G.; Choi, J.H.; Han, E.H.; Kwon, K.I.; Lee, Y.C.; Choi, J.M.; Chung, Y.C.; Jeong, T.C.; Jeong, H.G. Saponins from the roots of Platycodon grandiflorum suppress ultraviolet A-induced matrix metalloproteinase-1 expression via MAPKs and NF-κB/AP-1-dependent signaling in HaCaT cells. Food Chem. Toxicol. 2011, 49, 3374–3382. [Google Scholar] [CrossRef] [PubMed]
- Lee, H.; Bae, S.; Kim, Y.S.; Yoon, Y. WNT/β-catenin pathway mediates the anti-adipogenic effect of platycodin D, a natural compound found in Platycodon grandiflorum. Life Sci. 2011, 89, 388–394. [Google Scholar] [CrossRef] [PubMed]
- Han, S.; Oh, K.S.; Yoon, Y.; Park, J.S.; Park, Y.S.; Han, J.H.; Jeong, A.L.; Lee, S.; Park, M.; Choi, Y.A.; et al. Herbal extract THI improves metabolic abnormality in mice fed a high-fat diet. Nutr. Res. Pract. 2011, 5, 198–204. [Google Scholar] [CrossRef] [PubMed]
- Twiner, E.M.; Liu, Z.; Gimble, J.; Yu, Y.; Greenway, F. Pharmacokinetic pilot study of the antiangiogenic activity of standardized Platycodi Radix. Adv. Ther. 2011, 28, 857–865. [Google Scholar] [CrossRef] [PubMed]
- Ahn, Y.M.; Kim, S.K.; Kang, J.S.; Lee, B.C. Platycodon grandiflorum modifies adipokines and the glucose uptake in high-fat diet in mice and L6 muscle cells. J. Pharm. Pharmacol. 2012, 64, 697–704. [Google Scholar] [CrossRef] [PubMed]
- Lee, C.E.; Hur, H.J.; Hwang, J.T.; Sung, M.J.; Yang, H.J.; Kim, H.J.; Park, J.H.; Kwon, D.Y.; Kim, M.S. Long-term consumption of Platycodi Radix ameliorates obesity and insulin resistance via the activation of ampk pathways. Evid. Based Complement. Alternat. Med. 2012, 2012, 1–11. [Google Scholar] [CrossRef] [PubMed]
- Wu, J.; Yang, G.; Zhu, W.; Wen, W.; Zhang, F.; Yuan, J.; An, L. Anti-atherosclerotic activity of platycodin D derived from roots of Platycodon grandiflorum in human endothelial cells. Biol. Pharm. Bull. 2012, 35, 1216–1221. [Google Scholar] [CrossRef] [PubMed]
- Chung, M.J.; Kim, S.H.; Park, J.W.; Lee, Y.J.; Ham, S.S. Platycodon grandiflorum root attenuates vascular endothelial cell injury by oxidized low-density lipoprotein and prevents high-fat diet-induced dyslipidemia in mice by up-regulating antioxidant proteins. Nutr. Res. 2012, 32, 365–373. [Google Scholar] [CrossRef] [PubMed]
- Guo, W.J.; Xu, X.D.; Wei, J.H.; Yang, J.S. Advances in studies on triterpenoid saponins of Platycodon grandiflorum. Chin. Pharm. J. 2008, 43, 801–804. [Google Scholar]
- Fu, W.W.; Fu, J.N.; Zhang, W.M.; Sun, L.X.; Pei, Y.H.; Liu, P. Platycoside O, a new triterpenoid saponin from the roots of Platycodon grandiflorum. Molecules 2011, 16, 4371–4378. [Google Scholar] [CrossRef] [PubMed]
- Fu, W.W.; Dou, D.Q.; Pei, Y.H. Review on chemical components and bioactivities of Platycodon grandiflorum. J. Shenyang Pharm. Univ. 2006, 23, 184–187. [Google Scholar]
- Lee, K.J.; Kim, J.Y.; Jung, K.S.; Choi, C.Y.; Chung, Y.C.; Kim, D.H.; Jeong, H.G. Suppressive effects of Platycodon grandiflorum on the progress of carbon tetrachloride-induced hepatic fibrosis. Arch. Pharm. Res. 2004, 27, 1238–1244. [Google Scholar] [CrossRef] [PubMed]
- Lee, K.J.; Choi, J.H.; Kim, H.G.; Han, E.H.; Hwang, Y.P.; Lee, Y.C.; Chung, Y.C.; Jeong, H.G. Protective effect of saponins derived from the roots of Platycodon grandiflorum against carbon tetrachloride induced hepatotoxicity in mice. Food Chem. Toxicol. 2008, 46, 1778–1785. [Google Scholar] [CrossRef] [PubMed]
- Khanal, T.; Choi, J.H.; Hwang, Y.P.; Chung, Y.C.; Jeong, H.G. Saponins isolated from the root of Platycodon grandiflorum protect against acute ethanol-induced hepatotoxicity in mice. Food Chem. Toxicol. 2009, 47, 530–535. [Google Scholar] [CrossRef] [PubMed]
- Kim, T.W.; Lim, J.H.; Song, I.B.; Park, S.J.; Yang, J.W.; Shin, J.C.; Suh, J.W.; Son, H.Y.; Cho, E.S.; Kim, M.S.; et al. Hepatoprotective and anti-hepatitis C viral activity of Platycodon grandiflorum extract on carbon tetrachloride-induced acute hepatic injury in mice. J. Nutr. Sci. Vitaminol. (Tokyo) 2012, 58, 187–194. [Google Scholar] [CrossRef] [PubMed]
- Lim, J.H.; Kim, T.W.; Park, S.J.; Song, I.B.; Kim, M.S.; Kwon, H.J.; Cho, E.S.; Son, H.Y.; Lee, S.W.; Suh, J.W.; et al. Protective effects of Platycodon grandiflorum aqueous extract on thioacetamide-induced fulminant hepatic failure in mice. J. Toxicol. Pathol. 2011, 24, 223–228. [Google Scholar] [CrossRef] [PubMed]
- Noh, J.R.; Kim, Y.H.; Gang, G.T.; Hwang, J.H.; Kim, S.K.; Ryu, S.Y.; Kim, Y.S.; Lee, H.S.; Lee, C.H. Hepatoprotective effect of Platycodon grandiflorum against chronic ethanol-induced oxidative stress in C57BL/6 mice. Ann. Nutr. Metab. 2011, 58, 224–231. [Google Scholar] [CrossRef] [PubMed]
- Kim, T.W.; Lee, H.K.; Song, I.B.; Lim, J.H.; Cho, E.S.; Son, H.Y.; Jung, J.Y.; Yun, H.I. Platycodin D attenuates bile duct ligation-induced hepatic injury and fibrosis in mice. Food Chem. Toxicol. 2012, 51C, 364–369. [Google Scholar] [CrossRef] [PubMed]
- Kim, T.W.; Lee, H.K.; Song, I.B.; Kim, M.S.; Hwang, Y.H.; Lim, J.H.; Park, S.J.; Lee, S.W.; Kim, J.W.; Yun, H.I. Protective effect of the aqueous extract from the root of Platycodon grandiflorum on cholestasis-induced hepatic injury in mice. Pharm. Biol. 2012, 50, 1473–1478. [Google Scholar] [CrossRef] [PubMed]
- Nikaido, T.; Koike, K.; Mitsunaga, K.; Saeki, T. Two New Triterpenoid Saponins from Platycodon grandiflorum. Chem. Pharm. Bull. 1999, 47, 903–904. [Google Scholar] [CrossRef] [PubMed]
- Fu, W.W.; Hou, W.B.; Dou, D.Q.; Hua, H.M.; Gui, M.H.; Fu, R.; Chen, Y.J.; Pei, Y.H. Saponins of polygalacic acid type from Platycodon grandiflorum. Acta Pharm. Sinic 2006, 41, 358–360. [Google Scholar]
- Fu, W.W.; Dou, D.Q.; Hou, W.B.; Cheng, B.H.; Liu, F.; Chen, Y.J.; Pei, Y.H.; Takeda, T. Isolation and identification of triterpenoid saponins from Platycodon grandiflorum (Jacq.) A. DC. Chin. J. Med. Chem. 2005, 15, 297–301. [Google Scholar]
- Li, L.J.; Liu, Z.H.; Chen, Y.; Tian, J.K. Chemical constituents from roots of Platycodon grandiflorum. Chin. J. Chin. Mater. Med. 2006, 31, 1506–1509. [Google Scholar]
- Fox, A.; Morgan, S.L. Analysis of Carbohydrates by GLC and MS; CRC Press: Boca Raton, FL, USA, 1989; pp. 87–107. [Google Scholar]
- Mosmann, T. Rapid colorimetric assay for cellular growth and survival: Application to proliferation and cytotoxicity assays. J. Immunol. Methods 1983, 65, 55–63. [Google Scholar] [CrossRef]
Sample Availability: Samples of the compounds 1−7 are available from the authors. |



| Position | 1 | 2 | ||
|---|---|---|---|---|
| δC | δH | δC | δH | |
| 1 | 44.7 | 2.33 (1H, dd, 13.8, 3.0), 1.30 (1H, m) | 45.0 | 2.08 (1H, m), 1.57 (1H, m) |
| 2 | 72.0 | 4.58 (1H, dt, 7.2, 3.6) | 70.0 | 4.76 (1H, m) |
| 3 | 75.2 | 4.39 (1H, d, 3.6) | 86.4 | 4.61 (1H, brs) |
| 4 | 48.1 | 47.8 | ||
| 5 | 48.5 | 1.82 (1H, brd, 12.0) | 48.4 | 1.85 (1H, d, 12.0) |
| 6 | 19.2 | 1.98 (1H, m), 1.83 (1H, brs) | 19.4 | 1.92 (1H, m ), 1.61 (1H, m) |
| 7 | 33.5 | 1.53 (1H, m), 0.91 (1H, m) | 33.4 | 1.47 (1H, t, 13.8), 1.18 (1H, m) |
| 8 | 40.1 | 40.3 | ||
| 9 | 47.3 | 2.49 (1H, t, 5.4) | 47.3 | 2.53 (1H, t, 5.4) |
| 10 | 37.3 | 37.7 | ||
| 11 | 24.2 | 2.05 (1H, m), 0.84(1H, m) | 24.2 | 2.04 (1H, m), 0.88 (1H, m) |
| 12 | 123.3 | 5.38 (1H, t, 3.6) | 123.6 | 5.42 (1H, brs) |
| 13 | 142.9 | 142.9 | ||
| 14 | 46.9 | 47.1 | ||
| 15 | 47.2 | 2.55 (1H, d, 14.4), 1.93 (1H, d, 14.4) | 47.1 | 2.58 (1H, d, 14.4), 1.96 (1H, d, 14.4) |
| 16 | 214.0 | 213.8 | ||
| 17 | 48.1 | 1.65 (1H, m) | 48.3 | 1.71 (1H, m) |
| 18 | 45.1 | 2.79 (1H, m) | 45.2 | 2.83 (1H, m) |
| 19 | 47.0 | 1.40 (1H, t, 13.2), 1.17 (1H, m) | 47.3 | 1.47 (1H, t, 13.2), 1.21(1H, m) |
| 20 | 31.3 | 31.4 | ||
| 21 | 35.0 | 1.09 (2H, m) | 35.0 | 1.09 (2H, m) |
| 22 | 21.5 | 2.14 (1H, m), 1.34 (1H, m) | 21.6 | 2.17 (1H, m), 1.38 (1H, m) |
| 23 | 64.1 | 4.87 (1H, d, 10.8), 4.20 (1H, d, 10.8) | 63.8 | 4.99 (1H, d, 10.8), 4.11 (1H, d, 11.4) |
| 24 | 64.7 | 5.20 (1H, d, 10.8), 4.21 (1H, d, 10.8) | 63.8 | 4.80 (1H, d, 10.8), 4.26 (1H, d, 10.8) |
| 25 | 17.9 | 0.96 (3H, s) | 18.3 | 0.99 (3H, s) |
| 26 | 17.6 | 1.63 (3H, s) | 18.0 | 1.55 (3H, s) |
| 27 | 27.3 | 1.14 (3H, s) | 27.2 | 1.17 (3H, s) |
| 29 | 33.6 | 0.78 (3H, s) | 33.5 | 0.85 (3H, s) |
| 30 | 23.7 | 0.84 (3H, s) | 23.8 | 0.89 (3H, s) |
| 1' | 106.6 | 5.15 (1H, d, 7.8) | ||
| 2' | 75.6 | 4.05 (1H, t, 8.1) | ||
| 3' | 79.0 | 4.18 (1H, m) | ||
| 4' | 72.0 | 4.18 (1H, m) | ||
| 5' | 79.0 | 3.98 (1H, m) | ||
| 6' | 63.0 | 4.59 (1H, d, 10.8), 4.35 (1H, t, 6.0) | ||
© 2012 by the authors; licensee MDPI, Basel, Switzerland. This article is an open access article distributed under the terms and conditions of the Creative Commons Attribution license (http://creativecommons.org/licenses/by/3.0/).
Share and Cite
Zhan, Q.; Zhang, F.; Sun, L.; Wu, Z.; Chen, W. Two New Oleanane-Type Triterpenoids from Platycodi Radix and Anti-proliferative Activity in HSC-T6 Cells. Molecules 2012, 17, 14899-14907. https://doi.org/10.3390/molecules171214899
Zhan Q, Zhang F, Sun L, Wu Z, Chen W. Two New Oleanane-Type Triterpenoids from Platycodi Radix and Anti-proliferative Activity in HSC-T6 Cells. Molecules. 2012; 17(12):14899-14907. https://doi.org/10.3390/molecules171214899
Chicago/Turabian StyleZhan, Qin, Feng Zhang, Lianna Sun, Zhijun Wu, and Wansheng Chen. 2012. "Two New Oleanane-Type Triterpenoids from Platycodi Radix and Anti-proliferative Activity in HSC-T6 Cells" Molecules 17, no. 12: 14899-14907. https://doi.org/10.3390/molecules171214899
APA StyleZhan, Q., Zhang, F., Sun, L., Wu, Z., & Chen, W. (2012). Two New Oleanane-Type Triterpenoids from Platycodi Radix and Anti-proliferative Activity in HSC-T6 Cells. Molecules, 17(12), 14899-14907. https://doi.org/10.3390/molecules171214899
