A Convenient and Safe O-Methylation of Flavonoids with Dimethyl Carbonate (DMC)
Abstract
:1. Introduction

2. Results and Discussion


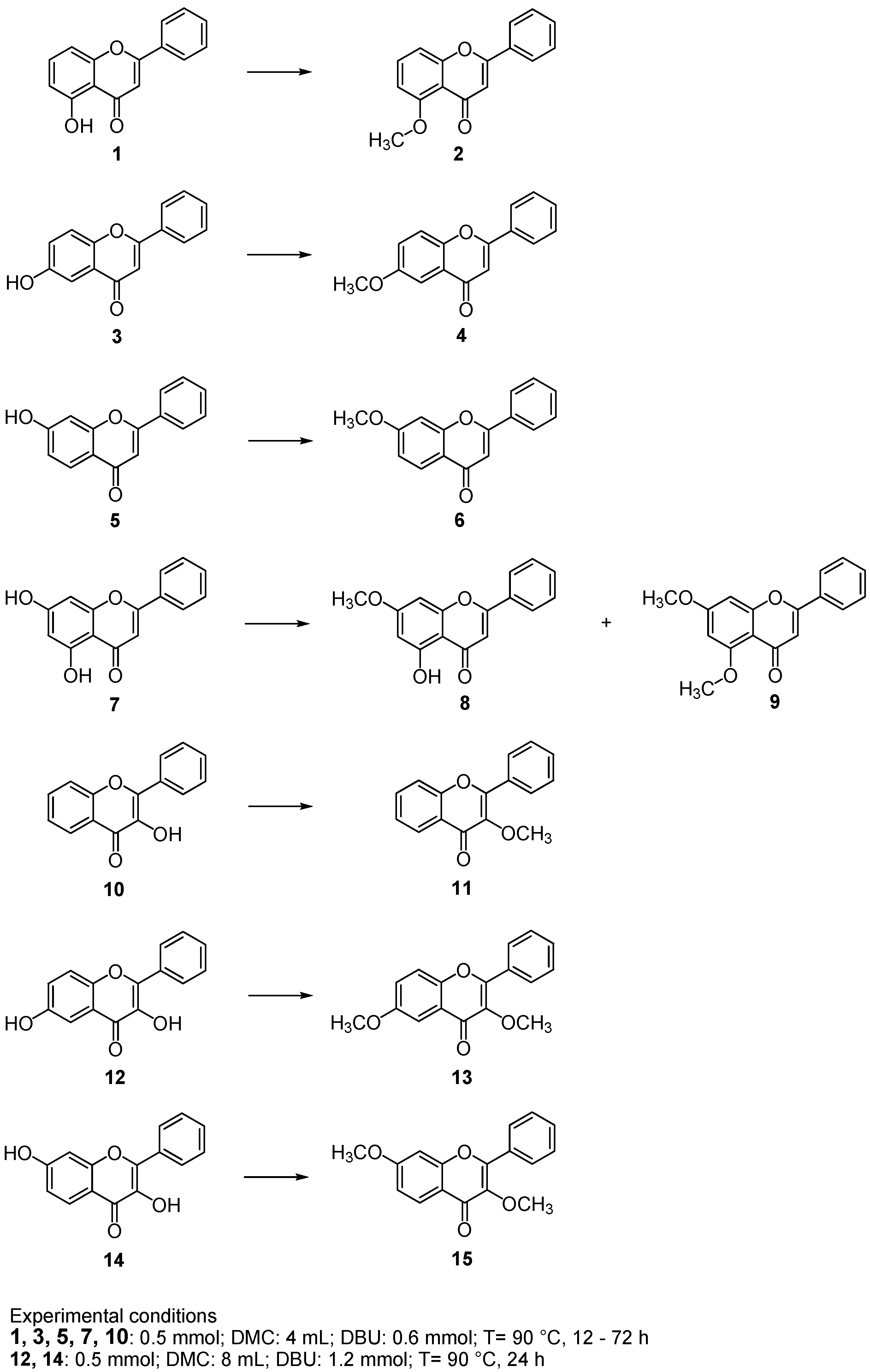
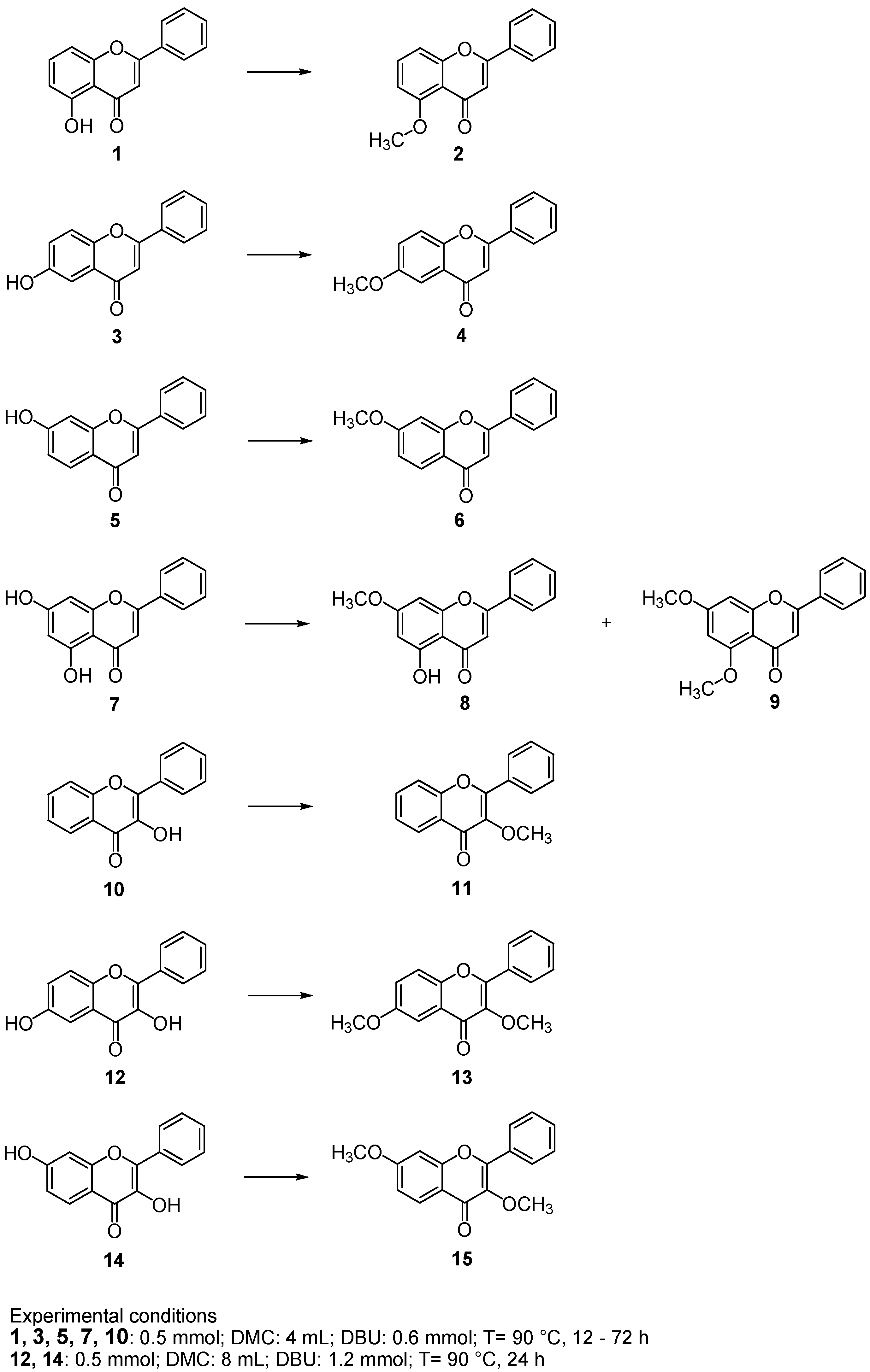
| Entry | Substrate | Time (h) | Conv. (%) | Yield (%) |
|---|---|---|---|---|
| 1 | 1 | 48 | > 98 | 2 : >98 |
| 2 | 3 | 36 | > 98 | 4 : >98 |
| 3 | 5 | 12 | > 98 | 6 : >98 |
| 4 | 7 | 48 | >98 | 8 : 70; 9: 30 |
| 5 | 7 | 72 | >98 | 9: 95 |
| 6 | 10 | 24 | > 98 | 11: >98 |
| 7 | 12 | 24 | > 98 | 13: >98 |
| 8 | 14 | 24 | > 98 | 15: >98 |
3. Experimental
3.1. Materials and methods
3.2. General procedure for the methylation reaction of flavonoids
4. Conclusions
Acknowledgements
References
- Dixon, R.A.; Achnine, L.; Kota, P.; Liu, C.J.; Reddy, M.S.S.; Lang, L.J. The phenylpropanoid pathway and the plant defence-A genomic perspective. Mol. Plant Pathol. 2002, 3, 371–390. [Google Scholar] [CrossRef]
- Harborne, J.B.; Williams, C.A. Advances in flavonoid research since 1992. Phytochemistry 2000, 55, 481–504 and references therein. [Google Scholar] [CrossRef]
- Otake, Y.; Hsieh, F.; Walle, T. Glucoronidation versus oxidation of the flavonoid galangin by human liver microsomes and hepatocytes. Drug Metab. Dispos. 2002, 30, 576–581. [Google Scholar] [CrossRef]
- Wen, X.; Walle, T. Methylated flavonoids have greatly improved intestinal adsorption and metabolic stability. Drug Metab. Dispos. 2006, 34, 1786–1792. [Google Scholar] [CrossRef]
- Walle, T.; Ta, N.; Kawamori, T.; Wen, X.; Tsuji, P.A.; Walle, U.K. Cancer chemopreventive properties of orally bioavailable flavonoids – Methylated versus unmethylated flavones. Biochem. Pharmacol. 2007, 73, 1288–1296. [Google Scholar] [CrossRef]
- Walle, T.; Walle, U.K. Novel methoxylated flavones inhibitors of cytochrome P450 1B1 in SCC-9 human oral cancer cells. J. Pharm. Pharmacol. 2007, 59, 857–862. [Google Scholar] [CrossRef]
- Murakami, A.; Koshimizu, K.; Ohigashi, H.; Kuwahara, S.; Kuki, W.; Takahashi, Y.; Hosotani, K.; Kawahara, S.; Matsuoka, Y. Characteristic rat tissue accumulation of nobiletin, a chemopreventive polymethoxylated flavonoid, in comparison with luteolin. Biofactors 2002, 16, 73–82. [Google Scholar] [CrossRef]
- Pan, M.H.; Chen, W.-J.; Lin-Shiaau, S.-Y. Tangeretin induces cell-cycle G1 arrest through inhibiting cyclin-dependent kinases 2 and 4 activities as well as elevating Cdk, inhibitors p21 and p27 in human colorectal carcinoma cells. Carcinogenesis 2002, 23, 1677–1684. [Google Scholar]
- Morley, K.L.; Ferguson, P.J.; Koropatnick, J. Tangeretin and nobiletin indice G1 cell cycle arrest but not apoptosis in human breast and colon cancer cells. Cancer Lett. 2007, 251, 168–178. [Google Scholar] [CrossRef]
- Tsuji, P.A.; Walle, T. Inhibition of benzo[a]pyrene-activating enzymes and DNA binding in human bronchial epithelial BEAS-2B cells by methoxylated flavonoids. Carcinogenesis 2006, 27, 1579–1585. [Google Scholar] [CrossRef]
- Ta, N.; Walle, T. Aromatase inhibition by bioavailable methylated flavones. J. Steroid Biochem. Mol. Biol. 2007, 107, 127–129. [Google Scholar] [CrossRef]
- Van Zanden, J.J.; Wortelboer, H.M.; Bijlsma, S.; Punt, A.; Usta, M.; Van Bladeren, P.J.; Rietjens, I.M.C.M.; Cnubben, N.H.P. Quantitative structure activity relationship studies on the flavonoid mediated inhibition of multidrug resistance proteins 1 and 2. Biochem. Pharm. 2005, 69, 699–708. [Google Scholar] [CrossRef]
- Almada-Ruiz, E.; Martinez-Tellez, M.A.; Hernandez-Alamos, M.M.; Vallejo, S.; Primo-Yufera, E.; Vargas-Arispuro, I. Fungicidal potential of methoxylated flavones from citrus for in vitro control of Colletotrichum gloeosporioides, causal agent of anthracnose disease in tropical fruits. Pest. Manag. Sci. 2003, 59, 1245–1249. [Google Scholar]
- Hosny, M.; Dhar, K.; Rosazza, J.P.N. Microbial and enzymatic transformations of flavonoids. J. Nat. Prod. 2001, 64, 462–465. [Google Scholar]
- Tundo, P.; Selva, M. The chemistry of dimethyl carbonate. Acc. Chem. Res. 2002, 35, 706–716. [Google Scholar] [CrossRef]
- Bomben, A.; Selva, M.; Tundo, P. A Continuos-flow O-methylation of phenols with dimethyl carbonate in a continuous fed stirred tank reactor. Ind. Eng. Chem. Res. 1999, 38, 2075–2079. [Google Scholar] [CrossRef]
- Fu, Y.; Baba, T.; Ono, Y. Vapor-phase reactions of catechol with dimethyl carbonate. Part I. O-Methylation of catechol over alumina. Appl. Catal. A, 1998; 166, 419–424. [Google Scholar]
- Fu, Y.; Baba, T.; Ono, Y. Vapor-phase reactions of catechol with dimethyl carbonate. Part II. Selective synthesis of guaiacol over alumina loaded with alkali hydroxide. Appl. Catal. A 1998, 166, 425–430. [Google Scholar]
- Fu, Y.; Baba, T.; Ono, Y. Vapor-phase reactions of catechol with dimethyl carbonate. Part III: Selective synthesis of veratrole over alumina loaded with potassium nitrate. Appl. Catal. A 1998, 176, 201–204. [Google Scholar]
- Jyothi, T.M.; Sawant, P.D.; Raja, T.; Rao, B.S. Calcined Mg–Al hydrotalcite as an efficient catalyst for the synthesis of guaiacol. Green Chem. 2000, 2, 266–268. [Google Scholar] [CrossRef]
- Jyothi, T.M.; Raja, T.; Talawar, M.B.; Rao, B.S. Selective O-methylation of catechol using dimethyl carbonate over calcined Mg-Al hydrotalcites. Appl. Catal. A 2001, 211, 41–46. [Google Scholar]
- Shieh, W.-C.; Dell, S.; Repič, O. 1,8-Diazabicyclo[5.4.0]undec-7-ene (DBU) and microwave-accelerated green chemistry in methylation of phenols, indoles, and benzimidazoles with dimethyl carbonate. Org. Lett. 2001, 3, 4279–4281. [Google Scholar]
- Shin, J.-S.; Kim, K.-S.; Kim, M.-B.; Jeong, J.-H.; Kim, B.-K. Synthesis and hypoglycemic effect of chrysin derivatives. Biorg. Med. Chem. Lett. 1999, 9, 869–874. [Google Scholar] [CrossRef]
- Yoo, H.; Kim, S.H.; Lee, J.; Kim, H.J.; Seo, S.H.; Chung, B.Y.; Jin, C.; Lee, Y.S. Synthesis and antioxidants activity of 3-methoxyflavones. Bull. Korean Chem. Soc. 2005, 26, 2057–2060. [Google Scholar] [CrossRef]
- Dok-Go, H.; Lee, K.H.; Kim, H.J.; Lee, E.H.; Lee, J.; Song, Y.S.; Lee, Y.-H.; Jin, C.; Lee, Y.S.; Cho, J. Neuroprotective effects of antioxidative flavonoids, quercetin, (+)-dihydroquercetin and quercetin 3-methyl ether, isolated from Opuntia ficus-indica var. saboten. Brain Research 2003, 965, 130–136. [Google Scholar] [CrossRef]
- Looker, J.H. Physical and chemical properties of hydroxyflavones. Infrared absorption spectra of monohydroxyflavones and their O-methyl and O-acetyl derivatives. J. Org. Chem. 1962, 27, 381–389. [Google Scholar] [CrossRef]
- Lee, S.-H.; Moon, B.-H.; Park, Y.-H.; Lee, E.-J.; Hong, S.; Lim, Y.-H. Methyl substitution effects on 1H and 13C NMR data of methoxyflavone. Bull. Korean Chem. Soc. 2008, 29, 1793–1796. [Google Scholar] [CrossRef]
- Bennardi, D.O.; Romanelli, G.P.; Jios, J.L.; Autino, J.C.; Baronetti, G.T.; Thomas, H.J. Synthesis of substituted flavones and chromones using a Wells-Dawson heteropolyacid as catalyst. ARKIVOC 2008, xi, 123–130. [Google Scholar]
- Sutthanut, K.; Sripanidkulchai, B.; Yenjai, C.; Jay, M. Simultaneous identification and quantitation of 11 flavonoid constituents in Kaempferia parviflora by gas chromatography. J. Chromatogr. A 2007, 1143, 227–233. [Google Scholar] [CrossRef]
- Marié, J.-C.; Xiong, Y.; Min, G.K.; Yeager, A.R.; Taniguchi, T.; Berova, N.; Schaus, S.E.; Porco, J.A. Enantioselective synthesis of 3,4-chromanedione via asymmetric rearrangement of 3-allyloxyflavones. J. Org. Chem. 2010, 75, 4584–4590. [Google Scholar]
- Sample Availability: Samples of methylated flavonoids are available from the authors.
© 2011 by the authors; licensee MDPI, Basel, Switzerland. This article is an open access article distributed under the terms and conditions of the Creative Commons Attribution license ( http://creativecommons.org/licenses/by/3.0/).
Share and Cite
Bernini, R.; Crisante, F.; Ginnasi, M.C. A Convenient and Safe O-Methylation of Flavonoids with Dimethyl Carbonate (DMC). Molecules 2011, 16, 1418-1425. https://doi.org/10.3390/molecules16021418
Bernini R, Crisante F, Ginnasi MC. A Convenient and Safe O-Methylation of Flavonoids with Dimethyl Carbonate (DMC). Molecules. 2011; 16(2):1418-1425. https://doi.org/10.3390/molecules16021418
Chicago/Turabian StyleBernini, Roberta, Fernanda Crisante, and Maria Cristina Ginnasi. 2011. "A Convenient and Safe O-Methylation of Flavonoids with Dimethyl Carbonate (DMC)" Molecules 16, no. 2: 1418-1425. https://doi.org/10.3390/molecules16021418
APA StyleBernini, R., Crisante, F., & Ginnasi, M. C. (2011). A Convenient and Safe O-Methylation of Flavonoids with Dimethyl Carbonate (DMC). Molecules, 16(2), 1418-1425. https://doi.org/10.3390/molecules16021418
