Synthesis of a Dual-Labeled Probe of Dimethyl Lithospermate B with Photochemical and Fluorescent Properties
Abstract
:1. Introduction

2. Results and Discussion
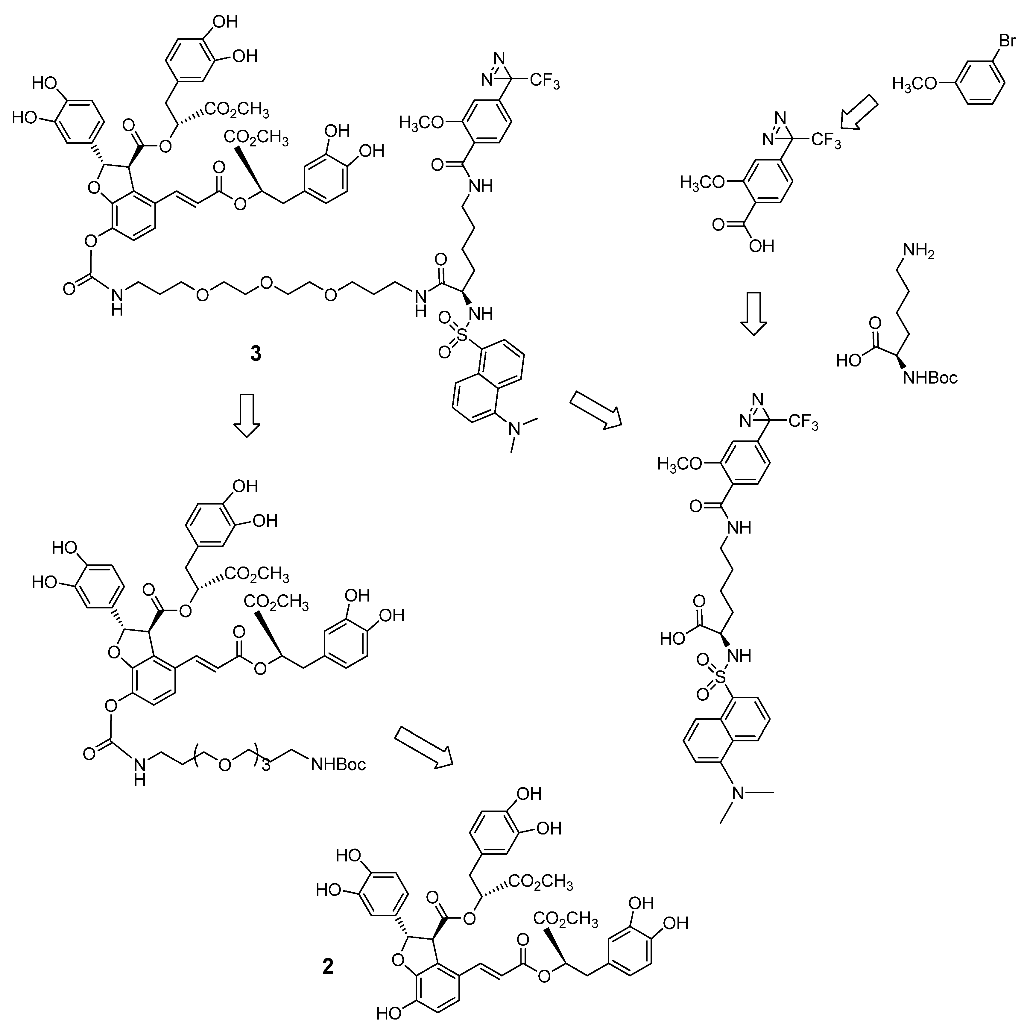
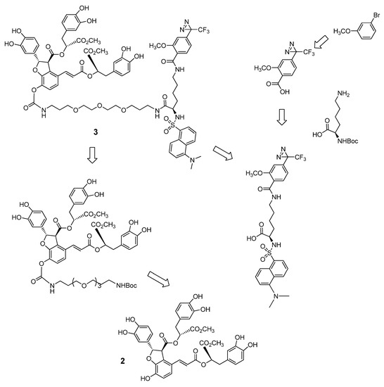
2.1. Synthesis of DLB Photoaffinity Probe





2.2. Photochemical and Fluorescent Evaluation


3. Experimental
3.1. General
3.2. (2S,3S)-(R)-3-(2,2-Diphenylbenzo[d][1,3]dioxol-5-yl)-1-methoxy-1-oxopropan-2-yl)2-(2,2-diphenylbenzo[d][1,3]dioxol-5-yl)-4-((E)-3-((R)-3-(2,2-diphenylbenzo[d][1,3]dioxol-5-yl)-1-methoxy-1-oxopropan-2-yloxy)-3-oxoprop-1-enyl)-7-hydroxy-2,3-dihydrobenzofuran-3-carboxylate (4)
3.3. (2S,3S)-(R)-3-(2,2-Diphenylbenzo[d][1,3]dioxol-5-yl)-1-methoxy-1-oxopropan-2-yl) 2-(2,2-diphenyl benzo[d][1,3]dioxol-5-yl)-4-(E)-3-(R)-3-(2,2-diphenylbenzo[d][1,3]dioxol-5-yl)-1-methoxy-1-oxopropan-2-yloxy)-3-oxoprop-1-enyl)-7-(4-nitrophenoxy)carbonyloxy)-2,3-dihydrobenzofuran-3-carboxylate (5)
3.4. (2S,3S)-(R)-3-(2,2-Diphenylbenzo[d][1,3]dioxol-5-yl)-1-methoxy-1-oxopropan-2-yl) 7-(2,2-dimethyl-4-oxo-3,9,12,15-tetraoxa-5-azaoctadecan-18-ylcarbamoyloxy)-2-(2,2-diphenylbenzo [d] [1,3]dioxol-5-yl)-4-(E)-3-((R)-3-(2,2-diphenylbenzo[d][1,3]dioxol-5-yl)-1-methoxy-1-oxopropan-2-yloxy)-3-oxoprop-1-enyl)-2,3-dihydrobenzofuran-3-carboxylate (7)
3.5. (R)-Methyl-6-(tert-butoxycarbonylamino)-2-(5-(dimethylamino)naphthalene-1-sulfonamido)hexanoate (13)
3.6. (R)-Methyl-2-(5-(dimethylamino)naphthalene-1-sulfonamido)-6-(2-methoxy-4-(3-(trifluoromethyl)-3H-diazirin-3-yl)benzamido)hexanoate (14)
3.7. (R)-2-(5-(Dimethylamino)naphthalene-1-sulfonamido)-6-(2-methoxy-4-(3-(trifluoromethyl)-3H-diazirin-3-yl)benzamido)hexanoic acid (15)
3.8. (2S,3S)-(R)-3-(3,4-Dihydroxyphenyl)-1-methoxy-1-oxopropan-2-yl) 2-(3,4-dihydroxyphenyl)-4-(E)-3-((R)-3-(3,4-dihydroxyphenyl)-1-methoxy-1-oxopropan-2-yloxy)-3-oxoprop-1-enyl)-7-(R)-7-(5-(dimethylamino)naphthalene-1-sulfonamido)-1-(2-methoxy-4-(3-(trifluoromethyl)-3H-diazirin-3-yl)phenyl)-1,8-dioxo-13,16,19-trioxa-2,9-diazadocosan-22-ylcarbamoyloxy)-2,3-dihydrobenzofuran-3-carboxylate (3)
3.9. (2S,3S)-((R)-3-(3,4-Dihydroxyphenyl)-1-methoxy-1-oxopropan-2-yl) 2-(3,4-dihydroxyphenyl)-4-((E)-3-((R)-3-(3,4-dihydroxyphenyl)-1-methoxy-1-oxopropan-2-yloxy)-3-oxoprop-1-enyl)-7-((7R)-7-(5-(dimethylamino)naphthalene-1-sulfonamido)-1-(2-methoxy-4-(2,2,2-trifluoro-1-methoxyethyl)phenyl)-1,8-dioxo-13,16,19-trioxa-2,9-diazadocosan-22-ylcarbamoyloxy)-2,3-dihydrobenzofuran-3-carboxylate (16)
4. Conclusions
Supplementary Materials
Acknowledgements
References and Notes
- Hase, K.; Kasimu, R.; Basnet, P.; Kadota, S.; Namba, T. Preventive effect of lithospermate B from Salvia miltiorhiza on experimental hepatitis induced by carbon tetrachloride or D-galactosamine/lipopolysaccharide. Planta Med. 1997, 63, 22–26. [Google Scholar] [CrossRef]
- Kamata, K.; Iizuka, T.; Nagai, M.; Kasuya, Y. Endothelium-dependent vasodilator effects of the extract from Salviae miltiorrhizae radix. A study on the identification of lithospermic acid B in the extracts. Gen. Pharmacol. 1993, 24, 977–981. [Google Scholar] [CrossRef]
- Kamata, K.; Noguchi, M.; Nagai, M. Hypotensive effects of lithospermic acid B isolated from the extract of Salviae miltiorrhizae Radix in the rat. Gen. Pharmacol. 1994, 25, 69–73. [Google Scholar] [CrossRef]
- Yokozawa, T.; Dong, E.; Liu, Z.W.; Shibata, T.; Hasegawa, M.; Watanabe, H.; Oura, H. Magnesium lithospermate B ameliorates cephaloridine-induced renal injury. Exp. Toxicol. Pathol. 1997, 49, 337–341. [Google Scholar] [CrossRef]
- Kang, D.G.; Oh, H.; Sohn, E.J.; Hur, T.Y.; Lee, K.C.; Kim, K.J.; Kim, T.Y.; Lee, H.S. Lithospermic acid B isolated from Salvia miltiorrhiza ameliorates ischemia/reperfusion-induced renal injury in rats. Life Sci. 2004, 75, 1801–1816. [Google Scholar] [CrossRef]
- Yoon, J.-Y.; Ahn, S.-H.; Oh, H.; Kim, Y.-S.; Ryu, S.Y.; Ho, W.-K.; Lee, S.-H. A novel Na+ channel agonist, dimethyl lithospermate B, slows Na+ current inactivation and increases action potential duration in isolated rat ventricular myocytes. Brit. J. Pharmacol. 2004, 143, 765–773. [Google Scholar] [CrossRef]
- Fish, J.M.; Welchons, D.R.; Kim, Y.-S.; Lee, S.-H.; Ho, W.-K.; Antzelevitch, C. Dimethyl lithospermate B, an extract of Danshen, suppresses arrhythmogenesis associated with the Brugada syndrome. Circulation 2006, 113, 1393–1400. [Google Scholar] [CrossRef]
- Jung, M.; Lee, H.C.; Ahn, C.W.; Park, W.; Choi, S.; Kim, H.; Cho, D.; Lee, G.T.; Li, H.R. Effective isolation of magnesium lithospermate B and its inhibition of aldose reductase and fibronectin on mesangial cell line. Chem. Pharm. Bull. 2002, 50, 1135–1136. [Google Scholar] [CrossRef]
- Lee, G.T.; Ha, H.; Jung, M.K.; Li, H.; Hong, S.W.; Cha, B.S.; Lee, C.C.; Cho, Y.D. Delayed treatment with lithospermate B attenuates experimental diabetic renal injury. J. Am. Soc. Nephrol. 2003, 14, 709–720. [Google Scholar] [CrossRef]
- Hur, K.Y.; Seo, H.J.; Kang, E.S.; Kim, S.H.; Song, S.; Kim, E.H.; Lim, S.; Choi, C.; Heo, J.H.; Hwang, K.C.; et al. herapeutic effect of magnesium lithospermate B on neointimal formation after balloon-induced vascular injury. Eur. J. Pharmacol. 2008, 586, 226–233. [Google Scholar] [CrossRef]
- Hashimoto, M.; Hatanaka, Y. Recent progress in diazirine-based photoaffinity labeling. Eur. J. Org. Chem. 2008, 2513–2523. [Google Scholar] [CrossRef]
- Chee, G.-L.; Yalowich, J.C.; Bodner, A.; Wu, X.; Hasinoff, B.B. A diazirine-based photoaffinity etoposide probe for labeling topoisomerase II. Bioorgan. Med. Chem. 2010, 18, 830–838. [Google Scholar] [CrossRef]
- Mayer, T.; Maier, M.E. Design and synthesis of a tag-free chemical probe for photoaffinity labeling. Eur. J. Org. Chem. 2007, 4711–4720. [Google Scholar] [CrossRef]
- Ingenhorst, G.; Bindseil, K.U.; Boddien, C.; Dröse, S.; Gaßel, M.; Altendorf, K.; Zeeck, A. Synthesis of a doubly labelled concanamycin derivatives for ATPase binding studies. Eur. J. Org. Chem. 2001, 4525–4532. [Google Scholar]
- Goncalves, M.S.T. Fluorescent labeling of biomolecules with organic probes. Chem. Rev. 2009, 109, 190–212. [Google Scholar] [CrossRef]
- Liu, Y.; Lok, C.N.; Ko, B.C.B.; Shum, T.Y.T.; Wong, M.K.; Che, C.M. Subcellular localization of a fluorescent artemisinin derivative to endoplasmic reticulum. Org. Lett. 2010, 12, 1420–1423. [Google Scholar]
- Chen, C.P.; Yokozawa, T.; Chung, H.Y. Inhibitory effect of caffeic acid analogues isolated from Salviae miltiorrhizae Radix against 1,1-diphenyl-2-picrylhydrazyl radical. Exp. Toxicol. Pathol. 1999, 51, 59–63. [Google Scholar] [CrossRef]
- Zhao, G.-R.; Zhang, H.-M.; Ye, T.-X.; Xiang, Z.-J.; Yuan, Y.-J.; Guo, Z.-X.; Zhao, L.-B. Characterization of the radical scavenging and antioxidant activities of danshensu and salvianolic acid B. Food Chem. Toxicol. 2008, 46, 73–81. [Google Scholar]
- Bouktaib, M.; Lebrun, S.; Atmani, A.; Rolando, C. Hemisynthesis of all the o-monomethylated analogues of quercetin including the major metabolites, through selective protection of phenolic functions. Tetrahedron 2002, 58, 10001–10009. [Google Scholar]
- Zhang, L.; Wu, Y.; Brunsveld, L. A synthetic supramolecular construct modulating protein assembly in cells. Angew. Chem. Int. Ed. 2007, 46, 1798–1802. [Google Scholar] [CrossRef]
- Hatanaka, Y.; Hashimoto, M.; Kurihara, H.; Nakayama, H.; Kanaoka, Y. A novel family of aromatic diazirines for photoaffinity labeling. J. Org. Chem. 1994, 59, 383–387. [Google Scholar]
- Hatanaka, Y.; Hashimoto, M.; Nakayama, H.; Kanaoka, Y. Syntheses of nitro-substituted aryl diazirines. An entry to chromogenic carbene precursors for photoaffinity labeling. Chem. Pharm. Bull. 1994, 42, 826–831. [Google Scholar] [CrossRef]
- Burgermeister, W.; Nassal, M.; Wieland, T.; Helmreich, E.J.M. A carbene-generating photoaffinity probe for beta-adrenergic receptors. Biochim. Biophys. Acta 1983, 729, 219–228. [Google Scholar]
- Ambroise, Y.; Pillon, F.; Mioskowski, C.; Valleix, A.; Rousseau, B. Synthesis and tritium labeling of new aromatic diazirine building blocks for photoaffinity labeling and cross-linking. Eur. J. Org. Chem. 2001, 20, 3961–3964. [Google Scholar]
- Weber, T.; Brunner, J. 2-(Tributylstannyl)-4-[3-(trifluoromethyl)-3H-diazirin-3-yl]benzyl alcohol: A building block for photolabeling and crosslinking reagents of very high specific radioactivity. J. Am. Chem. Soc. 1995, 117, 3084–3095. [Google Scholar] [CrossRef]
- Sample Availability: Samples of the compounds in mg scales are available from the authors.
© 2011 by the authors; licensee MDPI, Basel, Switzerland. This article is an open access article distributed under the terms and conditions of the Creative Commons Attribution license ( http://creativecommons.org/licenses/by/3.0/).
Share and Cite
Lim, E.; Ricci, J.; Jung, M. Synthesis of a Dual-Labeled Probe of Dimethyl Lithospermate B with Photochemical and Fluorescent Properties. Molecules 2011, 16, 9886-9899. https://doi.org/10.3390/molecules16129886
Lim E, Ricci J, Jung M. Synthesis of a Dual-Labeled Probe of Dimethyl Lithospermate B with Photochemical and Fluorescent Properties. Molecules. 2011; 16(12):9886-9899. https://doi.org/10.3390/molecules16129886
Chicago/Turabian StyleLim, Eunyoung, Jeremy Ricci, and Mankil Jung. 2011. "Synthesis of a Dual-Labeled Probe of Dimethyl Lithospermate B with Photochemical and Fluorescent Properties" Molecules 16, no. 12: 9886-9899. https://doi.org/10.3390/molecules16129886
APA StyleLim, E., Ricci, J., & Jung, M. (2011). Synthesis of a Dual-Labeled Probe of Dimethyl Lithospermate B with Photochemical and Fluorescent Properties. Molecules, 16(12), 9886-9899. https://doi.org/10.3390/molecules16129886
