Abstract
The extracts of the stem bark of Calophyllum soulattri gave a new pyranocoumarin, soulamarin (1), together with five other xanthones caloxanthone B (2), caloxanthone C (3), macluraxanthone (4), trapezifolixanthone (5) and brasixanthone B (6) one common triterpene, friedelin (7), and the steroidal triterpene stigmasterol (8). The structures of these compounds were established based on spectral evidence (1D and 2D NMR).
1. Introduction
The genus Calophyllum comprises over 200 species of trees and shrubs native to tropical Asia, East Africa, India and Australia. Calophyllum species have been used in traditional Chinese folk medicine for the treatment of wounds, inflammation and rheumatism. Phytochemical studies on Calophyllum species have revealed the presence of xanthones [1,2,3], coumarins [4], triterpenoids [5] and flavonoids [6]. The coumarins have been reported to have displayed anti-HIV biological effects [7] and are used as cancer chemo-preventive agents [8]. Various xanthone derivatives show antifungal [9], antimicrobial [10] and molluscicidal [11] effects. We report here the isolation and characterization of a new pyranocoumarin, soulamarin (1), from the stem bark of Calophyllum soulattri.
2. Results and Discussion
Soulamarin (1) was isolated as yellowish oil from the hexane extract of the stem bark of Calophyllum soulattri. The HRESIMS displayed a negative molecular ion peak at m/z 387.1818 [M−H]− indicating a molecular formula C22H28O6. Compound 1 gave typical coumarin IR absorptions at 3,296 (OH), 2,930 (sp2 and sp3 CH), 1,706 (C=O) and 1,621 (C=C) cm−1. Maximum absorptions were observed at 314, 300, 274 and 268 nm in the UV spectrum [12].
The 1H-NMR spectrum revealed the presence of one chelated hydroxyl proton signal at δ 12.46 (s, 1H), two vinylic proton signals at δ 6.60 (d, 1H, J = 10.1 Hz) and 5.46 (d, 1H, J = 10.1 Hz,) for H-9 and H-10 respectively, three methine signals at δ 2.53 (m, H-2'), 4.09 (m, H-3') and 3.80 (m, H-4) and three methylene signals at δ 1.26 (m, H-14), 1.38 (m, H-15) and 2.71 and 2.81 (both dd, J = 7.8 Hz) for H-3a and H-3b. Five methyl signals at δ 1.19 (d, J = 6.4 Hz), 1.27 (t, J = 3.4 Hz), 1.42 (s), 1.44 (s) and 1.49 (d, J = 6.4 Hz) were also observed. The 13C-NMR spectrum and DEPT experiment showed the presence of seven quaternary carbons at δ 78.2 (C-11), 102.1 (C-5), 102.9 (C-7), 110.9 (C-4a), 157.0 (C-6), 159.6 (C-8) and 159.7 (C-8a), five methines at δ 25.4 (C-4), 45.8 (C-2'), 79.0 (C-3'), 115.8 (C-9), 125.8 (C-10), three methylenes (δ 39.5, 28.4, 29.8 for C-3, C-14 and C-15, respectively) and five methyls (δ 10.4, 19.3, 19.7, 28.3 × 2 for C-5', C-16, C-4' and C-12 and C-13, respectively). The 13C-NMR spectrum also indicated a carbonyl (δ 179.1) and an aliphatic ketone (δ 199.4).
The structure was further elucidated by HMBC spectral analysis after the assignment of the protons to their direct bonding carbons by the HMQC spectrum. The low field chelated proton at δ 12.46 was due to hydrogen-bonding with the carbonyl group (δ 199.4, C=O) which resulted in the deshielding effect. The 3J and 2J connectivity of the chelated hydroxyl proton at δ 12.46 with δ 102.1 (C-5), 102.9 (C-7) and 157.0 (C-6) confirmed its location at C-6 (see Figure 1).
Figure 1.
HMBC 2J and 3J correlations between 1H and 13C in 1.
Figure 1.
HMBC 2J and 3J correlations between 1H and 13C in 1.

The HMBC experiment also demonstrated long-range 2J and 3J correlations between the two doublet protons at δ 5.46 (H-10, J = 10.1 Hz) and 6.60 (H-9, J = 10.1 Hz) with the carbon signal at δ 78.2 (C-11) respectively. The linkages between the two aliphatic methyls at δ 1.42 (H-12) and δ 1.44 (H-13) to the two carbon signals at δ 78.2 (C-11) and 125.8 (C-10) were also seen. These data together with the COSY spectrum analysis suggested the existence of a pyran ring. The pyran ring was clearly fused onto the non-oxygenated carbon C-7 and an oxygenated carbon C-8, as confirmed by the long range (3J) correlations of H-9 (δ 6.60) with C-8 (δ 159.6) and H-10 (δ 5.46) with C-7 (δ 102.9).
Meanwhile, the HMBC correlations of δ 1.19 (H-5') with δ 45.8 (C-2'), 79.0 (C-3') and 199.4 (C-1') proved that these methyl protons were located at position C-2'. The coupling of H-2' and H-3' in the COSY spectrum established the connectivity between δ 45.8 (C-2') and 79.0 (C-3'). The linkage between δ 1.49 (H-4') with δ 45.8 (C-2') and 79.0 (C-3') confirmed its position at C-4'.
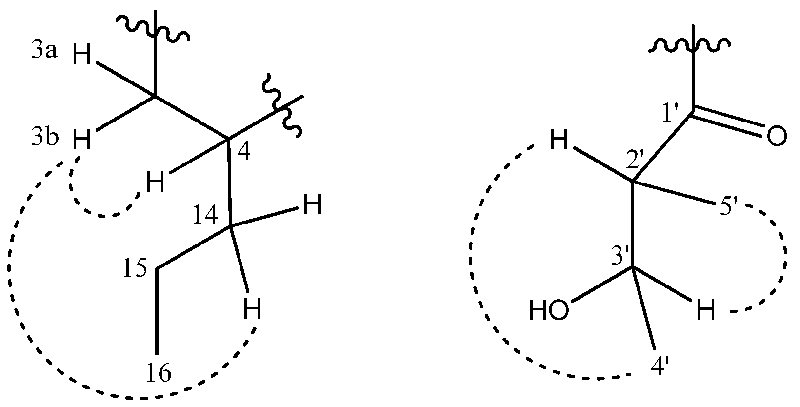
An n-propyl substituent was found to be attached to C-4 via long range correlations of δ 1.26 (H-14) with δ 25.4 (C-4), 39.5 (C-3) and 110.9 (C-4a). The existence of the n-propyl group was also observed in the COSY spectrum through cross peaks between δ 1.26 (H-14) and 1.38 (H-15) and between δ 1.38 (H-15) and 1.27 (H-16). NOESY experiments predicted the relative configurations of soulamarin. Cross peaks were observed between H-3' and H-5' and between H-2' and H-4' suggesting the two proton pairs were oriented on opposite sides. Cross peaks between H-3b and H-4 and between H-3b and H-14 indicate these protons have similar orientations. The NOESY correlations for compound 1 are shown in Figure 2. Taken together, the evidence suggested that compound 1 is 6-hydroxy-4-propyl-5-(3-hydroxy-2-methyl-1-oxobutyl)-6",6"-dimethylpyrano-[2",3":8,7]-benzopyran-2-one (Figure 3).
Figure 2.
NOESY correlations between 1H and 1H in 1.
Figure 2.
NOESY correlations between 1H and 1H in 1.

3. Experimental
3.1. Plant Material
The stem bark of Calophyllum soulattri was collected from the Sri Aman district in Sarawak, Malaysia. This plant was identified by Dr. Rusea Go from the Department of Biology, Faculty of Science, Universiti Putra Malaysia.
3.2. General
EIMS were recorded on a Shimadzu GC-MS model QP2010 Plus spectrometer. NMR spectra were obtained using a JEOL 500 MHz FT-NMR spectrometer using tetramethylsilane (TMS) as an internal standard. Ultraviolet spectra were recorded in EtOH on a Shimadzu UV-160A, UV-Visible Recording Spectrophotometer. Infrared spectra were measured using the universal attenuated total reflection (UATR) technique on a Perkin-Elmer 100 Series FT-IR spectrometer.
3.3. Extraction and Isolation
Approximately 1 kg of air-dried stem bark of Calophyllum soulattri was ground to a fine powder and extracted successively in a Soxhlet apparatus with n-hexane (68-72 °C, 3 × 2 L) and dichloromethane (40 °C, 3 × 2 L) for 24 hours. The extracts were evaporated to dryness under vacuum to give 101.2 g of n-hexane extract and 15.3 g of dichloromethane extract. Part of each extract was subjected to column chromatography over silica gel and eluted with a stepwise gradient system of n-hexane, dichloromethane, ethyl acetate and methanol. Further purification of the n-hexane extract afforded the new coumarin soulamarin (1, 8 mg) and the triterpene friedelin (7, 450 mg). Compound 1 was isolated from the n-hexane:chloroform (1:4) eluate mixture, followed by several further purifications using a Chromatotron® (Harrison Research) eluting with an n-hexane:chloroform (3:2) mixture. Soulamarin (1): Yellowish Oil; UV (EtOH) λmax nm: 314, 300, 274, 268; IR νmax cm−1: 3296, 2930, 1706, 1621; EIMS m/z (rel. int.): 388 [M+] (9), 373 (53), 360 (42), 345 (100), 301 (14), 285 (13), 245 (9), 229 (24), 55 (11); HRESIMS: 387.1818 [M-H]− (Calc’d. for C22H28O6: 388.1886); 1H-NMR (CDCl3): δ 12.46 (OH-6, s), 6.60 (1H, d, J = 10.1 Hz, H-9), 5.46 (1H, d, J = 10.1 Hz, H-10), 4.09 (1H, m, H-3'), 3.80 (1H, m, H-4), 2.81 (1H, dd, J = 7.8 Hz, H-3a), 2.71 (1H, dd, J = 7.8 Hz, H-3b), 2.53 (1H, m, H-2'), 1.49 (3H, d, J = 6.4 Hz, H-4'), 1.44 (3H, s, H-13), 1.42 (3H, s, H-12), 1.38 (2H, m, H-15), 1.27 (3H, t, J = 3.4 Hz, H-16), 1.26 (2H, m, H-14), 1.19 (3H, d, J = 6.4 Hz, H-5'); 13C-NMR (CDCl3): δ 199.4 (C-1'), 179.1 (C-2), 159.7 (C-8a), 159.6 (C-8), 157.0 (C-6), 125.8 (C-10), 115.8 (C-9), 110.9 (C-4a), 102.9 (C-7), 102.1 (C-5), 79.0 (C-3'), 78.2 (C-11), 45.8 (C-2'), 39.5 (C-3), 29.8 (C-15), 28.3 × 2 (C-12 & C-13), 25.4 (C-4), 19.7 (C-4'), 19.3 (C-14 & C-16), 10.4 (C-5'). Meanwhile, purification of the dichloromethane extract afforded the five known xanthones caloxanthone B (2, 12 mg), caloxanthone C (3, 14 mg), macluraxanthone (4, 6 mg), trapezifolixanthone (5, 10 mg), brasixanthone B (6, 21 mg) and stigmasterol (8, 22 mg) (Figure 3).
- Caloxanthone B (2). Yellow needles; M.P. 157–158 °C (lit. 160.5 °C [13]); Spectral data were consistent with published data [13].
- Caloxanthone C (3). Yellow needles; M.P. 210–212 °C (lit. 217 °C [14]); Spectral data were consistent with published data [14].
- Macluraxanthone (4). Yellow crystal; M.P. 174–175 °C (lit. 170–172 °C [13]); Spectral data were consistent with published data [13].
- Trapezifolixanthone (5). Yellow crystal; M.P. 171–172 °C (lit. 171–172 °C [15]); Spectral data were consistent with published data [15].
- Brasixanthone B (6). Yellow crystal; M.P. 227–229 °C (lit. 227–229 °C [16]); Spectral data were consistent with published data [16].
- Friedelin (7). White needles; M.P. 245–246 °C (lit. 246–248 °C [2]); Spectral data were consistent with published data [2].
- Stigmasterol (8). White needles; M.P. 155–157 °C (lit. 168–169 °C [17]); Spectral data were consistent with literature data [17].
Figure 3.
Structures of soulamarin (1), caloxanthone B (2), caloxanthone C (3), macluraxanthone (4), trapezifolixanthone (5), brasixanthone B (6), friedelin (7) and stigmasterol (8).
Figure 3.
Structures of soulamarin (1), caloxanthone B (2), caloxanthone C (3), macluraxanthone (4), trapezifolixanthone (5), brasixanthone B (6), friedelin (7) and stigmasterol (8).

4. Conclusions
The stem bark of Calophyllum soulattri furnished one new pyranocoumarin, soulamarin (1), together with five xanthones caloxanthone B (2), caloxanthone C (3), macluraxanthone (4), trapezifolixanthone (5) and brasixanthone (6), a common triterpene, friedelin (7), and the steroidal triterpene stigmasterol (8).
Acknowledgements
The authors acknowledge financial support from UPM and MOSTI under the Agri Science Fund. Special thanks go to Jegak Uli for collection of plant samples.
References and Notes
- Mah, S.H.; Ee, G.C.L.; Rahmani, M.; Taufiq-Yap, Y.H.; Sukari, M.A.; Teh, S.S. A New Pyranoxanthone from Calophyllum soulattri. Molecules 2011, 16(5), 3999–4004. [Google Scholar]
- Mah, S.H.; Ee, G.C.L.; Rahmani, M.; Taufiq-Yap, Y.H.; Go, R.; Teh, S.S. A New Pyranoxanthone from the Stem Bark of Calophyllum inophyllum. Lett. Org. Chem. 2011, 8(6), 447–449. [Google Scholar]
- Ee, G.C.L.; Mah, S.H.; Rahmani, M.; Taufiq-Yap, Y.H.; Lim, Y.M.; Teh, S.S. A New Furanoxanthone from the Stem Bark of Calophyllum inophyllum. J. Asian Nat. Prod. Res. 2011, 13(10), 956–960. [Google Scholar]
- Ee, G.C.L.; Ng, K.N.; Taufiq-Yap, Y.H.; Rahmani, M.; Ali, A.M.; Muse, R. Mucigerin, a new coumarin from Calophyllum mucigerum (Guttiferae). Nat. Prod. Res. 2004, 18(2), 123–128. [Google Scholar]
- Dharmaratne, H.R.; Sotheeswaran, S.; Balasubramaniam, S.; Waight, E.S. Triterpenoids and Coumarins from the Leaves of Calophyllum cordato-oblongum. Phytochemistry 1985, 24(7), 1553–1556. [Google Scholar]
- Ito, C.; Itoigawa, M.; Miyamoto, Y.; Rao, K.S.; Takayasu, J.; Okuda, Y.; Mukainaka, T.; Tokuda, H.; Nishino, H.; Furukawa, H. A New Biflavonoid from Calophyllum panciflorum with Antitumor-promoting Activity. J. Nat. Prod. 1999, 62(12), 1668–1671. [Google Scholar]
- Ishikawa, T.; Oku, Y.; Tanaka, T.; Kumamoto, T. An Approach to Anti-HIV-1 Active Calophyllum Coumarin Synthesis: An Enantioselective Construction of 2,3-Dimethyl-4-chromanone Ring by Quinine- Assisted Intramolecular Michael-Type Addition. Tetrahedron Lett. 1999, 40(19), 3777–3780. [Google Scholar]
- Itoigawa, M.; Ito, C.; Tan, H.T.; Kuchide, M.; Tokuda, H.; Nishino, H.; Furukawa, H. Cancer Chemopreventive Agents, 4-phenylcoumarins from Calophyllum inophyllum. Cancer Lett. 2001, 169(1), 15–19. [Google Scholar]
- Dharmaratne, H.R.; Napagoda, M.T.; Tennakoon, S.B. Xanthones from Roots of Calophyllum thwaitesii and Their Bioactivity. Nat. Prod. Res. 2009, 23(6), 539–545. [Google Scholar]
- Yimdjo, M.C.; Azebaze, A.G.; Nkengfack, A.E.; Meyer, A.M.; Bodo, B.; Fomum, Z.T. Antimicrobial and Cytotoxic Agents from Calophyllum inophyllum. Phytochemistry 2004, 65(20), 2789–2795. [Google Scholar]
- Ravelonjato, B.; Libot, F.; Ramiandrasoa, F.; Kunesch, N.; Gayral, P.; Poisson, J. Molluscicidal Constituents of Calophyllum from Madagascar: Activity of Some Natural and Synthetic Neoflavonoids and Khellactones. Planta Med. 1992, 58(1), 51–55. [Google Scholar]
- Ito, C.; Itoigawa, M.; Mishina, Y.; Filho, V.C.; Enjo, F.; Tokuda, H.; Nishino, H.; Furukawa, H. Chemical Constituents of Calophyllum brasiliense. 2. Structure of Three New Coumarins and Cancer Chemopreventive Activity of 4-substituted Coumarins. J. Nat. Prod. 2003, 66(3), 368–371. [Google Scholar]
- Iinuma, M.; Tosa, H.; Tanaka, T.; Yonemori, S. Two Xanthones from Root Bark of Calophyllum inophyllum. Phytochemistry 1994, 35(2), 527–532. [Google Scholar]
- Iinuma, M.; Tosa, H.; Tanaka, T.; Yonemori, S. Two New Xanthones in the Underground Part of Calophyllum inophyllum. Heterocycles 1994, 37(2), 833–838. [Google Scholar]
- Somanathan, R.; Sultanbawa, S.; Uvais, M. Chemical Investigation of Ceylonese Plants. Part VIII. Trapezifolixanthone, a New Di-isoprenylated Xanthone from the Bark of Calophyllum trapezifolium Thw. (Guttiferae). J. Chem. Soc. Perkin Trans. I 1974, 2515–2517. [Google Scholar]
- Ito, C.; Itoigawa, M.; Mishina, Y.; Filho, V.C.; Mukainaka, T.; Tokuda, H.; Nishino, H.; Furukawa, H. Chemical constituents of Calophyllum brasiliensis: Structure Elucidation of Seven New Xanthones and Their Cancer Chemopreventive Activity. J. Nat. Prod. 2002, 65(3), 267–272. [Google Scholar]
- Jamaluddin, F.; Mohamed, S.; Lajis, M.N. Hypoglycaemic effect of Parkia speciosa seeds due to the synergistic action of [beta]-sitosterol and stigmasterol. Food Chem. 1994, 49(4), 339–345. [Google Scholar]
- Sample Availability: Samples of all the compounds are available from the authors.
© 2011 by the authors; licensee MDPI, Basel, Switzerland. This article is an open access article distributed under the terms and conditions of the Creative Commons Attribution license ( http://creativecommons.org/licenses/by/3.0/).