Sign in to use this feature.

Years

Between: -

Subjects

remove_circle_outline
remove_circle_outline
remove_circle_outline
remove_circle_outline
remove_circle_outline
remove_circle_outline
remove_circle_outline
remove_circle_outline
remove_circle_outline

Journals

Article Types

Countries / Regions

Search Results (54)

Search Parameters:
Keywords = Clusiaceae

Order results
Result details
Results per page
Select all
Export citation of selected articles as:
36 pages, 3151 KB  
Article
Floristic Diversity and Stand Structure of Tree Species in Historical Rubber Plantations (Hevea brasiliensis Wild ex A. Juss) in Sankuru, DR Congo: Implications for Biodiversity Conservation
by Joël Mobunda Tiko, Serge Shakanye Ndjadi, Jean Pierre Azenge, Yannick Useni Sikuzani, Lebon Aganze Badesire, Prince Baraka Lucungu, Maurice Kesonga Nsele, Julien Bwazani Balandi, Jémima Lydie Obandza-Ayessa, Josué Muganda Matabaro, Jean Pierre Mate Mweru, Olivia Lovanirina Rakotondrasoa and Jean Pierre Meniko To Hulu
Conservation 2025, 5(3), 37; https://doi.org/10.3390/conservation5030037 - 21 Jul 2025
Cited by 1 | Viewed by 1304
Abstract
The rubber plantations in Sankuru province, located in the Democratic Republic of Congo (DRC), have historically been pivotal to the regional economy. However, the absence of suitable silvicultural practices has promoted self-regeneration, resulting in the proliferation of diverse species. This study aims to [...] Read more.
The rubber plantations in Sankuru province, located in the Democratic Republic of Congo (DRC), have historically been pivotal to the regional economy. However, the absence of suitable silvicultural practices has promoted self-regeneration, resulting in the proliferation of diverse species. This study aims to characterize species richness and plant structure of these plantations. To this end, 80 subplots measuring 0.25 hectares were meticulously established, with a proportionate division between state-owned and farmer plantations. The results obtained from this study indicate that these plantations are home to approximately 105 species, classified into 33 distinct botanical families, with dominant families such as Fabaceae, Meliaceae, Euphorbiaceae, Olacaceae, Clusiaceae, and Moraceae. Despite the similarity between the two types of plantations (Cs = 58%), significant disparities were observed in terms of individuals, 635 ± 84.06 and 828 ± 144.62 (p < 10−3); species, 41 ± 7.49 and 28 ± 4.59 (p < 10−3); families, 19 ± 3.06 and 16 ± 1.62 (p < 10−2); and basal area, 29.88 ± 5.8 and 41.37 ± 7.57 (p < 10−2) for state and peasant plantations, respectively. State plantations exhibited greater diversity (H′ = 1.87) and enhanced equity (J’ = 0.43) than peasant plantations. The diametric structure exhibited an inverted J-shaped distribution, indicating constant and regular regeneration of these plantations. The upper canopy dominates the vertical structure in both types of plantations, with a significantly higher proportion in peasant plantations (83.60%) than in state plantations (73.8%), ANOVA (F (2.24 = 21.78), df = 24; p = 4.03 × 10−6). The findings indicate that the sustainable management of these plantations could incorporate agroecological principles to promote the coexistence of rubber production and biodiversity conservation while contributing to the restoration of degraded ecosystems and the well-being of local communities. Full article
Show Figures

Figure 1

40 pages, 539 KB  
Review
α-Mangostin Is a Xanthone Derivative from Mangosteen with Potent Immunomodulatory and Anti-Inflammatory Properties
by Amin F. Majdalawieh, Bayan K. Khatib and Tala M. Terro
Biomolecules 2025, 15(5), 681; https://doi.org/10.3390/biom15050681 - 7 May 2025
Cited by 3 | Viewed by 3163
Abstract
α-Mangostin, a bioactive xanthone derived from the Garcinia mangostana L. Clusiaceae (G. mangostana) fruit, has demonstrated significant anti-inflammatory and immunomodulatory properties. Chronic inflammation plays a critical role in the pathogenesis of various diseases, including metabolic disorders, autoimmune conditions, and cancer. Conventional [...] Read more.
α-Mangostin, a bioactive xanthone derived from the Garcinia mangostana L. Clusiaceae (G. mangostana) fruit, has demonstrated significant anti-inflammatory and immunomodulatory properties. Chronic inflammation plays a critical role in the pathogenesis of various diseases, including metabolic disorders, autoimmune conditions, and cancer. Conventional anti-inflammatory therapies, such as non-steroidal anti-inflammatory drugs (NSAIDs), often carry undesirable side effects, prompting the need for safer, natural alternatives. This review consolidates the existing literature on the mechanisms by which α-mangostin exerts its anti-inflammatory effects, including the suppression of pro-inflammatory cytokines, modulation of immune cell activity, and inhibition of key signaling pathways such as nuclear factor-kappa B (NF-κB) and mitogen-activated protein kinase (MAPK). Additionally, α-mangostin exhibits immunomodulatory properties by influencing both innate and adaptive immune responses, affecting macrophage polarization, T cell differentiation, and cytokine production. Its efficacy has been observed in numerous disease models, including joint disorders, digestive and metabolic conditions, hepatic diseases, neurological disorders, and respiratory ailments. The potential therapeutic applications of α-mangostin as an anti-inflammatory agent warrant further investigation through preclinical and clinical studies to validate its efficacy and safety. Full article
(This article belongs to the Section Natural and Bio-derived Molecules)
Show Figures

Figure 1

15 pages, 1770 KB  
Article
Tocochromanols in the Leaves of Plants in the Hypericum and Clusia Genera
by Inga Mišina, Danija Lazdiņa and Paweł Górnaś
Molecules 2025, 30(3), 709; https://doi.org/10.3390/molecules30030709 - 5 Feb 2025
Cited by 7 | Viewed by 997
Abstract
Now under Clusiaceae and Hypericaceae, Clusia and Hypericum were previously categorized under one family until they were divided in 2003 by the APG III system. The Clusia genus is characterized by the presence of tocotrienol derivatives with antiangiogenic properties, and only Hypericum perforatum [...] Read more.
Now under Clusiaceae and Hypericaceae, Clusia and Hypericum were previously categorized under one family until they were divided in 2003 by the APG III system. The Clusia genus is characterized by the presence of tocotrienol derivatives with antiangiogenic properties, and only Hypericum perforatum tocochromanol content has been studied in the Hypericum genus. Twelve species were analyzed: H. aegypticum, H. calycinum, H. empetrifolium, H. lancasteri, H. olympicum f. minus ‘Sulphureum’, H. perforatum, H. xylosteifolium, C. fluminensis, C. minor, C. odorata, C. palmicida, and C. tocuchensis. Plant leaves were analyzed for their tocochromanol (α-, β-, γ-, and δ-tocotrienol and tocopherol) contents using a reverse-phase high-performance liquid chromatography with fluorescent light detector (RP-HPLC-FLD) method. While α-tocopherol (α-T) was present in the highest proportion, the leaves had significant tocotrienol (T3) contents. Following α-T, δ-T3 was present in most Clusia samples, and γ-T3 in most Hypericum samples, except H. olympicum, in which α-T3 followed. C. minor had the highest α-T (112.72 mg 100 g−1) and total tocochromanol (141.43 mg 100 g−1) content, followed by C. palmicida (65.97 and 82.96 mg 100 g−1, respectively) and H. olympicum (α-T 32.08, α-T3 30.68, and total tocochromanols 89.06 mg 100 g−1). The Hypericum genus is a valuable source of tocotrienols, with potential use after purification. Full article
(This article belongs to the Topic Natural Compounds in Plants, 2nd Volume)
Show Figures

Graphical abstract

15 pages, 1354 KB  
Article
Tocotrienols in Eleven Species of Hypericum Genus Leaves
by Danija Lazdiņa, Inga Mišina and Paweł Górnaś
Molecules 2025, 30(3), 662; https://doi.org/10.3390/molecules30030662 - 2 Feb 2025
Cited by 10 | Viewed by 1286
Abstract
Saint John’s worts or goatweeds are mostly perennial flowering plants in the Hypericaceae family, formerly under the Clusiaceae family. Teas and macerations of the plants are common in traditional medicines and modern depression and cancer therapies. The most notable bioactive compounds in Hypericum [...] Read more.
Saint John’s worts or goatweeds are mostly perennial flowering plants in the Hypericaceae family, formerly under the Clusiaceae family. Teas and macerations of the plants are common in traditional medicines and modern depression and cancer therapies. The most notable bioactive compounds in Hypericum are hyperforin and hypericin. While Hypericum contains a variety of carotenoid and phenolic compounds, which are well documented, there is little available information on tocopherols and almost none on tocotrienols. Considering the frequency of tocotrienol derivatives in Clusiaceae species, this study investigates and reports the presence of tocotrienols in eleven Hypericum species’ leaves: H. hircinum, H. hookerianum, H. calycinum, H. xylosteifolium, H. densifolium, H. prolificum, H. kalmianum, H. frondosum, H. olympicum, and two hybrids: H. × moserianum and H × ‘Rowallane’. Eight tocopherol and tocotrienol forms (α, β, γ, δ) were detected in the leaves, predominantly containing α-tocopherol. Tocotrienol content was most significant in Myriandra section species and was highest in H. prolificum (22.90 ± 0.63 mg 100 g−1), while the highest tocotrienol proportion was observed in H. × ‘Rowallane’ (54.12% of total tocochromanols) and H. prolificum (37.27% of total tocochromanols). The results demonstrated significant tocochromanol accumulation in Hypericum leaves. Full article
Show Figures

Graphical abstract

19 pages, 1639 KB  
Article
Phytochemical Analysis and Antidiarrheal Activity of Stem Bark Decoctions of Pentadesma butyracea Sabine (Clusiaceae)
by Ericka Lorleil Mayindza Ekaghba, Manon Grenet, Pierrick Gandolfo, Corinne Loutelier-Bourhis, Isabelle Schmitz, Carlos Afonso, Patrice Lerouge and Line Edwige Mengome
Molecules 2024, 29(23), 5789; https://doi.org/10.3390/molecules29235789 - 7 Dec 2024
Cited by 2 | Viewed by 1485
Abstract
Pentadesma butyracea is a medicinal plant of which bark decoctions are used in traditional medicine for the treatment of diarrhea symptoms in Gabon. The aim of the present work was to perform phytochemical and pharmacological analyses of decoctions of P. butyracea bark. In [...] Read more.
Pentadesma butyracea is a medicinal plant of which bark decoctions are used in traditional medicine for the treatment of diarrhea symptoms in Gabon. The aim of the present work was to perform phytochemical and pharmacological analyses of decoctions of P. butyracea bark. In a principal approach, spectrophotometric analyses were used to quantify phenolic compounds, followed by liquid chromatography coupled to mass spectrometry analysis that allowed the identification of flavanone–flavone dimers as the main metabolites. Pharmacological analyses showed the absence of toxicity, thus confirming the safety of use of this decoction in traditional medicine. The antioxidant activity of the bark decoctions was demonstrated to depend on their phenolic contents. The decoction of stem barks harvested during the rainy season also induced a dose-dependent relaxation of isolated ileum fragments from Wistar rats. In addition, the antidiarrheal activity of P. butyracea barks was investigated against castor oil-induced diarrhea. The oral administration of different concentrations of this decoction led to a decrease in wet stools, indicating an antidiarrheal effect at the doses that were used. These results encourage the deepening of bio-guided research on P. butyracea bark decoctions in order to propose standard traditional medical treatments. Full article
(This article belongs to the Special Issue Chemical Analyses and Therapeutic Properties of Plant Extracts)
Show Figures

Graphical abstract

14 pages, 2968 KB  
Article
Unconventional Germination in Terrestrial Plants: A Counterintuitive Case in Desiccation-Sensitive Garcinia aristata (Clusiaceae) Seeds Showing Seedling Growth Without Roots
by Ganesh K. Jaganathan, Jorge A. Sánchez, Mayté Pernús and Baolin Liu
Plants 2024, 13(23), 3269; https://doi.org/10.3390/plants13233269 - 21 Nov 2024
Viewed by 1307
Abstract
Unconventional germination, wherein shoots emerge and establish true leaves before the root emerges, is only found in Zosteraceae. In Garcinia, germination proceeds with the primary root emerging, followed by shoot emergence on the opposite side, but before leaf differentiation, adventitious roots emerge [...] Read more.
Unconventional germination, wherein shoots emerge and establish true leaves before the root emerges, is only found in Zosteraceae. In Garcinia, germination proceeds with the primary root emerging, followed by shoot emergence on the opposite side, but before leaf differentiation, adventitious roots emerge at the base of the shoots. However, germination and survival mechanisms in several Garcinia species are still unclear. We subjected freshly collected G. aristata seeds to an imbibition test, and germination was evaluated at various temperatures and light conditions. Desiccation sensitivity assessments were made at different stages of drying. The effect of natural drying (ambient storage) on germination was assessed by leaving the seeds outside in natural conditions. Seeds of G. aristata with a moisture content (MC) of 67% had more than 95% germination only at 25 and 25/30 °C both in light/dark and darkness, but at 25/40 °C only 10% germinated. In 4% of the seeds, germination incepted with primary shoot emergence, and a secondary (adventitious) root emerged just before leaf differentiation. More than 95% of the seeds germinated with only a secondary root and shoot emerging concurrently. Drying fresh seeds above silica gel to 30% MC resulted in complete viability loss. Seeds stored at ambient conditions germinated without external water, and had no primary or secondary root, and the emerging shoot continued to grow into seedlings. A root develops in these seeds only when water becomes available. G. aristata seeds are desiccation-sensitive and non-dormant. When no external water is available, G. aristata seeds can germinate with shoots and establish seedlings. This is the first report on germination and successful seedling establishment without roots in Garcinia. Full article
Show Figures

Figure 1

2 pages, 212 KB  
Correction
Correction: Maňourová et al. Domestication Potential of Garcinia kola Heckel (Clusiaceae): Searching for Diversity in South Cameroon. Plants 2023, 12, 742
by Anna Maňourová, Irikidzai Prosper Chinheya, Marie Kalousová, José Alejandro Ruiz-Chután, Uche Cyprian Okafor, Zac Tchoundjeu, Alain Tsobeng, Patrick Van Damme and Bohdan Lojka
Plants 2023, 12(24), 4191; https://doi.org/10.3390/plants12244191 - 18 Dec 2023
Viewed by 1037
Abstract
The original version on the publication [...] Full article
(This article belongs to the Special Issue Advances in Domestication of Fruit Trees)
19 pages, 3390 KB  
Article
Garcinia mangostana L. Pericarp Extract and Its Active Compound α-Mangostin as Potential Inhibitors of Immune Checkpoint Programmed Death Ligand-1
by Sandar Naing, Nichawadee Sandech, Arnatchai Maiuthed, Sumet Chongruchiroj, Jaturong Pratuangdejkul and Pattamapan Lomarat
Molecules 2023, 28(19), 6991; https://doi.org/10.3390/molecules28196991 - 9 Oct 2023
Cited by 10 | Viewed by 5636
Abstract
α-Mangostin, a major xanthone found in mangosteen (Garcinia mangostana L., Family Clusiaceae) pericarp, has been shown to exhibit anticancer effects through multiple mechanisms of action. However, its effects on immune checkpoint programmed death ligand-1 (PD-L1) have not been studied. This study investigated [...] Read more.
α-Mangostin, a major xanthone found in mangosteen (Garcinia mangostana L., Family Clusiaceae) pericarp, has been shown to exhibit anticancer effects through multiple mechanisms of action. However, its effects on immune checkpoint programmed death ligand-1 (PD-L1) have not been studied. This study investigated the effects of mangosteen pericarp extract and its active compound α-mangostin on PD-L1 by in vitro and in silico analyses. HPLC analysis showed that α-mangostin contained about 30% w/w of crude ethanol extract of mangosteen pericarp. In vitro experiments in MDA-MB-231 triple-negative breast cancer cells showed that α-mangostin and the ethanol extract significantly inhibit PD-L1 expression when treated for 72 h with 10 µM or 10 µg/mL, respectively, and partially inhibit glycosylation of PD-L1 when compared to untreated controls. In silico analysis revealed that α-mangostin effectively binds inside PD-L1 dimer pockets and that the complex was stable throughout the 100 ns simulation, suggesting that α-mangostin stabilized the dimer form that could potentially lead to degradation of PD-L1. The ADMET prediction showed that α-mangostin is lipophilic and has high plasma protein binding, suggesting its greater distribution to tissues and its ability to penetrate adipose tissue such as breast cancer. These findings suggest that α-mangostin-rich mangosteen pericarp extract could potentially be applied as a functional ingredient for cancer chemoprevention. Full article
Show Figures

Graphical abstract

39 pages, 3555 KB  
Review
Naturally Occurring Simple Oxygenated Benzophenones: Structural Diversity, Distribution, and Biological Properties
by Teodor Marinov, Zlatina Kokanova-Nedialkova and Paraskev T. Nedialkov
Diversity 2023, 15(10), 1030; https://doi.org/10.3390/d15101030 - 22 Sep 2023
Cited by 8 | Viewed by 4781
Abstract
Naturally occurring benzophenones represent a relatively small group of plant metabolites with narrow distribution, mainly in members of Clusiaceae, Gentianaceae, Hypericaceae, Polygalaceae, Myrtaceae, etc.; however, there were reports of several compounds derived from microorganisms belonging to the Aspergillaceae and Valsaceae families and propolis. [...] Read more.
Naturally occurring benzophenones represent a relatively small group of plant metabolites with narrow distribution, mainly in members of Clusiaceae, Gentianaceae, Hypericaceae, Polygalaceae, Myrtaceae, etc.; however, there were reports of several compounds derived from microorganisms belonging to the Aspergillaceae and Valsaceae families and propolis. Benzophenones exhibit many biological activities, such as antioxidant, anti-inflammatory, cytotoxic, antimicrobial, etc. Few reviews on benzophenones that have appeared in the literature were focused on their prenylated derivatives. Summarized information on structural diversity, distribution, and biological activities of simple oxygenated naturally occurring benzophenones and their glycosides has not been found in the literature. Until 2000, only benzophenone C-glycosides were known to occur in nature. Since then, many O-glycosides have been isolated, structurally, and biologically characterized. This review covers the years from 1850 to 2023 and was compiled using databases such as Chemical Abstracts, Scopus, Google Scholar, PubMed, and ResearchGate. Based on their degree of oxidation, 210 chemical structures of benzophenone derivatives and glycosides were grouped into six categories. In addition, in one group of 40 miscellaneous benzophenones, where one or several protons are replaced by a methyl, alcohol, carboxyl, or acyl group, glycosidic forms with such an aglycone and dimeric compounds with xanthone was included. Simple oxygenated benzophenones and their glycosides were found in 77 plant genera belonging to 44 families. The allergy-associated bezophenone-1, benzophenone-2 and benzophenone-3 have limited distribution across natural sources. A wide range of biological activities (antioxidant, anti-inflammatory, cytotoxic, antitumor, cytoprotective, antimicrobial, MAO-A, antiarthritic, anticholinesterase, anti-atherosclerotic, laxative, etc.) of simple oxygenated benzophenones and their glycosides that appeared in the literature were discussed. Full article
(This article belongs to the Special Issue Chemistry and Biology of Medicinal and Aromatic Plants)
Show Figures

Figure 1

8 pages, 281 KB  
Brief Report
The Contributions of Neotropical Tree Families to the Structure of Common Amazon Forest-Types
by Randall W. Myster
Int. J. Plant Biol. 2023, 14(2), 339-346; https://doi.org/10.3390/ijpb14020028 - 29 Mar 2023
Cited by 1 | Viewed by 2248
Abstract
In order to investigate how familial biodiversity structures forests in the critically important Amazon, I combined past plot samplings to investigate the contributions of tree families in those samplings to the structure of common Amazon forest types. I found that the families Arecaceae, [...] Read more.
In order to investigate how familial biodiversity structures forests in the critically important Amazon, I combined past plot samplings to investigate the contributions of tree families in those samplings to the structure of common Amazon forest types. I found that the families Arecaceae, Fabaceae, Clusiaceae, and Malvaceae had the most stems; Staphyleaceae, Caricaceae, and Anacardiaceae had the largest stems; Arecaceae, Fabaceae, Lecythidaceae, and Malvaceae had the largest basal area; Fabaceae, Malvaceae, and Sapotaceae had the most genera; Annonaceae, Euphorbiaceae, Fabaceae, Lauraceae, Malvaceae, Moraceae, and Sapotaceae had the most species, and the maximum Fisher’s α diversity index was found for many families. Together, results suggest that Fabaceae and Malvaceae are the most important families structuring these forests, but also that Arecaceae and Sapotaceae may be important. Thus, conservationists and managers may help sustain structure in these forests by propagating and maintaining species in these families. Finally, correlations between total number of stems and basal area, and between total number of genera and total number of species, suggest a causal relationship between them as they structure these forests, but the lack of correlations with Fisher’s α suggest it has little structural utility for these forests. Full article
(This article belongs to the Section Plant Ecology and Biodiversity)
14 pages, 1135 KB  
Article
Constituents of the Stem Bark of Symphonia globulifera Linn. f. with Antileishmanial and Antibacterial Activities
by Ruland Tchuinkeu Nguengang, Billy Toussie Tchegnitegni, Eric Carly Nono Nono, Georges Bellier Tabekoueng, Yannick Stéphane Fotsing Fongang, Jean Jules Kezetas Bankeu, Jean Rodolphe Chouna, Céline Nguefeu Nkenfou, Fabrice Boyom Fekam, Norbert Sewald and Bruno Ndjakou Lenta
Molecules 2023, 28(6), 2473; https://doi.org/10.3390/molecules28062473 - 8 Mar 2023
Cited by 5 | Viewed by 2672
Abstract
The chemical investigation of the n-hexane fraction from the methanol extract of the stem bark of Symphonia globulifera Linn f., which displayed good in vitro activity against Leishmania donovani NR-48822 promastigotes (IC50 43.11 µg/mL), led to the isolation of three previously [...] Read more.
The chemical investigation of the n-hexane fraction from the methanol extract of the stem bark of Symphonia globulifera Linn f., which displayed good in vitro activity against Leishmania donovani NR-48822 promastigotes (IC50 43.11 µg/mL), led to the isolation of three previously unreported polyprenylated benzophenones, guttiferone U (1), V (2)/W (3), and a new tocotrienol derivative named globuliferanol (4), along with 11 known compounds (515). Their structures were elucidated based on their NMR and MS data. Some isolated compounds were assessed for both their antileishmanial and cytotoxic activities against L. donovani and Vero cells, respectively. Guttiferone K (5) exhibited the best potency (IC50 3.30 μg/mL), but with low selectivity to Vero cells. The n-hexane fraction and some compounds were also assessed in vitro for their antibacterial activity against seven bacterial strains. All the samples exhibited moderate to potent antibacterial activity (MICs ≤ 15.6 µg/mL) against at least one of the tested strains. Full article
(This article belongs to the Special Issue Biological Activity of Phenolics and Polyphenols in Nature Products)
Show Figures

Graphical abstract

15 pages, 2887 KB  
Article
Effects of Ethanolic and Aqueous Extracts of Garcinia gardneriana Leaves in an In Vivo Experimental Model Induced by a Hyperlipidic Diet
by Bruna Larissa Spontoni do Espirito Santo, Lidiani Figueiredo Santana, Wilson Hino Kato Junior, Felipe de Oliveira de Araújo, Mariana Bento Tatara, Júlio Croda, Danielle Bogo, Karine de Cássia Freitas, Rita de Cássia Avellaneda Guimarães, Priscila Aiko Hiane, Arnildo Pott, Wander Fernando de Oliveira Filiú, Bernardo Bacelar de Faria, Patrícia de Oliveira Figueiredo, Valter Aragão do Nascimento, Frederico Louveira Ayres and Paulo Roberto Haidamus de Oliveira Bastos
Nutrients 2023, 15(6), 1308; https://doi.org/10.3390/nu15061308 - 7 Mar 2023
Cited by 1 | Viewed by 2763
Abstract
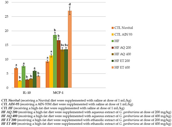
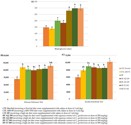
The study of medicinal plants, such as the genus Garcinia (Clusiaceae), in the treatment of non-communicable chronic diseases has aroused the interest of researchers. However, there are no studies in the literature that have investigated the effects of Garcinia gardneriana in experimental models [...] Read more.
The study of medicinal plants, such as the genus Garcinia (Clusiaceae), in the treatment of non-communicable chronic diseases has aroused the interest of researchers. However, there are no studies in the literature that have investigated the effects of Garcinia gardneriana in experimental models of obesity for possible metabolic alterations. Swiss mice receiving a high-fat diet were supplemented with aqueous or ethanolic extract of G. gardneriana at doses of 200 or 400 mg/kg/day. It was found that there was a reduction in food consumption in experimental groups compared with the control groups, and the group supplemented with aqueous extract at a dose of 200 mg/kg/daydisplayed a reduction in weight. The results showed an increase in the values of high density lipoprotein (HDL-c), total cholesterol, triglycerides and fasting blood glucose. G. gardneriana did not protect against insulin resistance, and caused in an increase in monocyte chemoattractant protein-1 (MCP-1) concentrations and a reduction in interleukin 10 (IL-10). In addition, hepatic steatosis and microvesicular steatosis were indicated. It was revealed that, under the experimental conditions in the study, G. gardneriana did not prevent weight gain or comorbidities; that is, a different behavior was obtained from that described in the literature with regard to the medicinal potential of the Garcinia species, which is probably related to the phytochemical properties. Full article
(This article belongs to the Section Lipids)
Show Figures

Graphical abstract

17 pages, 3083 KB  
Article
Domestication Potential of Garcinia kola Heckel (Clusiaceae): Searching for Diversity in South Cameroon
by Anna Maňourová, Irikidzai Prosper Chinheya, Marie Kalousová, José Alejandro Ruiz-Chután, Uche Cyprian Okafor, Zac Tchoundjeu, Alain Tsobeng, Patrick Van Damme and Bohdan Lojka
Plants 2023, 12(4), 742; https://doi.org/10.3390/plants12040742 - 7 Feb 2023
Cited by 4 | Viewed by 4024 | Correction
Abstract
Seeds and bark of Garcinia kola Heckel (Clusiaceae) are popular products in West and Central Africa. Despite the tree’s economic and cultural importance, little is known about its phenotypic and genotypic variation. This study characterised the morphological and genetic diversity of G. kola [...] Read more.
Seeds and bark of Garcinia kola Heckel (Clusiaceae) are popular products in West and Central Africa. Despite the tree’s economic and cultural importance, little is known about its phenotypic and genotypic variation. This study characterised the morphological and genetic diversity of G. kola in South Cameroon, searching for traits and populations that might be used for domestication. Morphological assessment and amplified fragment length polymorphism (AFLP) markers were applied to characterise diversity among geographic populations from Central and South regions, and between managed and wild trees. AFLP-SURV and analysis of molecular variance results indicated that a major part of genetic diversity is harboured within populations rather than between them. Bayesian analysis, principal component analysis and t-SNE identified three clusters where Ebolowa emerged as the transition population combining features from both regions. Trees from the South demonstrated a higher incidence of domestication-related traits, showing higher genetic diversity compared to the Central region. This suggests that individuals from the South might be more suitable for selection as “elite trees” in future breeding strategies for the species. No significant differences in phenotype and genotype were revealed between wild and managed populations, suggesting G. kola is still in the early stages of its domestication process. Full article
(This article belongs to the Special Issue Advances in Domestication of Fruit Trees)
Show Figures

Graphical abstract

21 pages, 2397 KB  
Article
Production and Characterization of a β-Cyclodextrin Inclusion Complex with Platonia insignis Seed Extract as a Proposal for a Gastroprotective System
by Juliana Lima Nascimento, Angélica Gomes Coelho, Ytallo Samuel Oliveira Barros, Irisdalva Sousa Oliveira, Francilene Vieira da Silva, Ana Flávia Seraine Custódio Viana, Bruno Quirino Araújo, Márcio dos Santos Rocha, Francisco das Chagas Pereira de Andrade, Celma de Oliveira Barbosa, Hélio de Barros Fernandes, Anderson Nogueira Mendes, Joaquim Soares da Costa-Júnior, Rita de Cássia Meneses Oliveira, Massimo Lucarini, Alessandra Durazzo, Daniel Dias Rufino Arcanjo and Antônia Maria das Graças Lopes Citó
Appl. Sci. 2023, 13(1), 58; https://doi.org/10.3390/app13010058 - 21 Dec 2022
Cited by 10 | Viewed by 4295
Abstract
Platonia insignis Mart, Clusiaceae, known as bacuri, is a species native to Brazil that, in studies with extract of the seed of its fruit, showed antioxidant activity against free radicals. Products with such properties may be of great importance in the treatment [...] Read more.
Platonia insignis Mart, Clusiaceae, known as bacuri, is a species native to Brazil that, in studies with extract of the seed of its fruit, showed antioxidant activity against free radicals. Products with such properties may be of great importance in the treatment of peptic ulcers since this pathology may be associated with the inflammatory process caused by the action of free radicals. Cyclodextrins are molecules capable of forming inclusion complexes with other molecules, affecting their physicochemical properties and improving their pharmacokinetic characteristics. Thus, this work aimed to produce, characterize, and evaluate the gastroprotective effect of the inclusion complex of β-cyclodextrin (β-CD) with the bacuri seeds hexanic extract (BSHE). In the characterization of the inclusion complex, an apparent stability constant (Kc) of 416 mol/L was obtained in the solubility study; the BSHE:β-CD m/m (g) complexation ratios at 1:9, 2:8, and 3:7 were 5.51%, 21.46%, and 20.11%, respectively. The formation of the BSHE:β-CD inclusion complex was observed by FTIR technique, indicating the disappearance of bands characteristic of BSHE (2960 cm−1 and 1755 cm−1) when in the complex, compared to the spectra of pure BSHE or in physical mixture with β-CD, and by X-ray diffraction, which indicated a loss of crystallinity, typical signals of pure β-CD, and presentation of intense amorphization, characteristic of BSHE, incorporated in the β-CD pockets. In the evaluation of gastroprotective activity, through absolute ethanol-induced gastric lesions in mice, both BSHE and BSHE:β-CD reduced gastric lesions, with 100 mg/kg dose of the complex having the greatest gastroprotective effect. BSHE:β-CD was also able to reduce gastric lesions from ischemia and reperfusion, with the 50 mg/kg dose being the most effective. BSHE:β-CD, also at this dose, reduced the MDA levels of the gastric mucosa, indicating a possible antioxidant activity in its gastroprotective effect. Thus, it was concluded that inclusion complex formation between β-CD and BSHE is possible, and that this formulation enhanced the gastric protective activity. Full article
(This article belongs to the Special Issue Next Steps for the Production of Nanoparticles for Nanomedicine)
Show Figures

Figure 1

16 pages, 3676 KB  
Article
Garcinone E Mitigates Oxidative Inflammatory Response and Protects against Experimental Autoimmune Hepatitis via Modulation of Nrf2/HO-1, NF-κB and TNF-α/JNK Axis
by Gamal A. Mohamed, Sabrin R. M. Ibrahim, Rawan H. Hareeri, Lenah S. Binmahfouz, Amina M. Bagher, Hossam M. Abdallah, Wael M. Elsaed and Dina S. El-Agamy
Nutrients 2023, 15(1), 16; https://doi.org/10.3390/nu15010016 - 21 Dec 2022
Cited by 11 | Viewed by 2944
Abstract
Garcinia mangostana L. (Clusiaceae), a popular tropical fruit for its juiciness and sweetness, is an opulent fountain of prenylated and oxygenated xanthones with a vast array of bio-activities. Garcinone E (GE), a xanthone derivative reported from G. mangostana, possesses cytotoxic and aromatase inhibitory [...] Read more.
Garcinia mangostana L. (Clusiaceae), a popular tropical fruit for its juiciness and sweetness, is an opulent fountain of prenylated and oxygenated xanthones with a vast array of bio-activities. Garcinone E (GE), a xanthone derivative reported from G. mangostana, possesses cytotoxic and aromatase inhibitory activities. The present research endeavors to investigate the hepato-protection efficaciousness of GE on concanavalin-A (Con-A)-instigated hepatitis. Results showed that GE pretreating noticeably diminishes both the serum indices (transaminases, ALP, LDH, and γ-GT) and histopathological lesions of the liver. It counteracted neutrophil and CD4+ infiltration into the liver. GE furthered the Nrf2 genetic expression and its antioxidants’ cascade, which resulted in amelioration of Con-A-caused oxidative stress (OS), lipid per-oxidative markers (4-HNE, MDA, PC) reduction, and intensified antioxidants (TAC, SOD, GSH) in the hepatic tissue. Additionally, GE prohibited NF-ĸB (nuclear factor kappa-B) activation and lessened the genetics and levels of downstream cytokines (IL1β and IL6). Moreover, the TNF-α/JNK axis was repressed in GE-treated mice, which was accompanied by attenuation of Con-A-induced apoptosis. These findings demonstrated the protective potential of GE in Con-A-induced hepatitis which may be associated with Nrf2/HO-1 signaling activation and OS suppression, as well as modulation of the NF-κB and TNF-α/JNK/apoptosis signaling pathway. These results suggest the potential use of GE as a novel hepato-protective agent against autoimmune hepatitis. Full article
(This article belongs to the Section Nutritional Immunology)
Show Figures

Figure 1

Back to TopTop