Soulamarin, a New Coumarin from Stem Bark of Calophyllum soulattri
Abstract
:1. Introduction
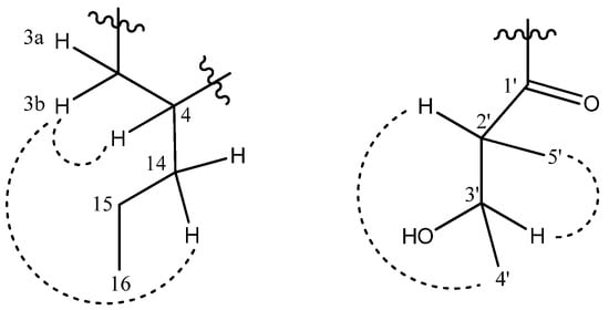
2. Results and Discussion


3. Experimental
3.1. Plant Material
3.2. General
3.3. Extraction and Isolation

4. Conclusions
Acknowledgements
References and Notes
- Mah, S.H.; Ee, G.C.L.; Rahmani, M.; Taufiq-Yap, Y.H.; Sukari, M.A.; Teh, S.S. A New Pyranoxanthone from Calophyllum soulattri. Molecules 2011, 16(5), 3999–4004. [Google Scholar]
- Mah, S.H.; Ee, G.C.L.; Rahmani, M.; Taufiq-Yap, Y.H.; Go, R.; Teh, S.S. A New Pyranoxanthone from the Stem Bark of Calophyllum inophyllum. Lett. Org. Chem. 2011, 8(6), 447–449. [Google Scholar]
- Ee, G.C.L.; Mah, S.H.; Rahmani, M.; Taufiq-Yap, Y.H.; Lim, Y.M.; Teh, S.S. A New Furanoxanthone from the Stem Bark of Calophyllum inophyllum. J. Asian Nat. Prod. Res. 2011, 13(10), 956–960. [Google Scholar]
- Ee, G.C.L.; Ng, K.N.; Taufiq-Yap, Y.H.; Rahmani, M.; Ali, A.M.; Muse, R. Mucigerin, a new coumarin from Calophyllum mucigerum (Guttiferae). Nat. Prod. Res. 2004, 18(2), 123–128. [Google Scholar]
- Dharmaratne, H.R.; Sotheeswaran, S.; Balasubramaniam, S.; Waight, E.S. Triterpenoids and Coumarins from the Leaves of Calophyllum cordato-oblongum. Phytochemistry 1985, 24(7), 1553–1556. [Google Scholar]
- Ito, C.; Itoigawa, M.; Miyamoto, Y.; Rao, K.S.; Takayasu, J.; Okuda, Y.; Mukainaka, T.; Tokuda, H.; Nishino, H.; Furukawa, H. A New Biflavonoid from Calophyllum panciflorum with Antitumor-promoting Activity. J. Nat. Prod. 1999, 62(12), 1668–1671. [Google Scholar]
- Ishikawa, T.; Oku, Y.; Tanaka, T.; Kumamoto, T. An Approach to Anti-HIV-1 Active Calophyllum Coumarin Synthesis: An Enantioselective Construction of 2,3-Dimethyl-4-chromanone Ring by Quinine- Assisted Intramolecular Michael-Type Addition. Tetrahedron Lett. 1999, 40(19), 3777–3780. [Google Scholar]
- Itoigawa, M.; Ito, C.; Tan, H.T.; Kuchide, M.; Tokuda, H.; Nishino, H.; Furukawa, H. Cancer Chemopreventive Agents, 4-phenylcoumarins from Calophyllum inophyllum. Cancer Lett. 2001, 169(1), 15–19. [Google Scholar]
- Dharmaratne, H.R.; Napagoda, M.T.; Tennakoon, S.B. Xanthones from Roots of Calophyllum thwaitesii and Their Bioactivity. Nat. Prod. Res. 2009, 23(6), 539–545. [Google Scholar]
- Yimdjo, M.C.; Azebaze, A.G.; Nkengfack, A.E.; Meyer, A.M.; Bodo, B.; Fomum, Z.T. Antimicrobial and Cytotoxic Agents from Calophyllum inophyllum. Phytochemistry 2004, 65(20), 2789–2795. [Google Scholar]
- Ravelonjato, B.; Libot, F.; Ramiandrasoa, F.; Kunesch, N.; Gayral, P.; Poisson, J. Molluscicidal Constituents of Calophyllum from Madagascar: Activity of Some Natural and Synthetic Neoflavonoids and Khellactones. Planta Med. 1992, 58(1), 51–55. [Google Scholar]
- Ito, C.; Itoigawa, M.; Mishina, Y.; Filho, V.C.; Enjo, F.; Tokuda, H.; Nishino, H.; Furukawa, H. Chemical Constituents of Calophyllum brasiliense. 2. Structure of Three New Coumarins and Cancer Chemopreventive Activity of 4-substituted Coumarins. J. Nat. Prod. 2003, 66(3), 368–371. [Google Scholar]
- Iinuma, M.; Tosa, H.; Tanaka, T.; Yonemori, S. Two Xanthones from Root Bark of Calophyllum inophyllum. Phytochemistry 1994, 35(2), 527–532. [Google Scholar]
- Iinuma, M.; Tosa, H.; Tanaka, T.; Yonemori, S. Two New Xanthones in the Underground Part of Calophyllum inophyllum. Heterocycles 1994, 37(2), 833–838. [Google Scholar]
- Somanathan, R.; Sultanbawa, S.; Uvais, M. Chemical Investigation of Ceylonese Plants. Part VIII. Trapezifolixanthone, a New Di-isoprenylated Xanthone from the Bark of Calophyllum trapezifolium Thw. (Guttiferae). J. Chem. Soc. Perkin Trans. I 1974, 2515–2517. [Google Scholar]
- Ito, C.; Itoigawa, M.; Mishina, Y.; Filho, V.C.; Mukainaka, T.; Tokuda, H.; Nishino, H.; Furukawa, H. Chemical constituents of Calophyllum brasiliensis: Structure Elucidation of Seven New Xanthones and Their Cancer Chemopreventive Activity. J. Nat. Prod. 2002, 65(3), 267–272. [Google Scholar]
- Jamaluddin, F.; Mohamed, S.; Lajis, M.N. Hypoglycaemic effect of Parkia speciosa seeds due to the synergistic action of [beta]-sitosterol and stigmasterol. Food Chem. 1994, 49(4), 339–345. [Google Scholar]
- Sample Availability: Samples of all the compounds are available from the authors.
© 2011 by the authors; licensee MDPI, Basel, Switzerland. This article is an open access article distributed under the terms and conditions of the Creative Commons Attribution license ( http://creativecommons.org/licenses/by/3.0/).
Share and Cite
Ee, G.C.L.; Mah, S.H.; Teh, S.S.; Rahmani, M.; Go, R.; Taufiq-Yap, Y.H. Soulamarin, a New Coumarin from Stem Bark of Calophyllum soulattri. Molecules 2011, 16, 9721-9727. https://doi.org/10.3390/molecules16119721
Ee GCL, Mah SH, Teh SS, Rahmani M, Go R, Taufiq-Yap YH. Soulamarin, a New Coumarin from Stem Bark of Calophyllum soulattri. Molecules. 2011; 16(11):9721-9727. https://doi.org/10.3390/molecules16119721
Chicago/Turabian StyleEe, Gwendoline Cheng Lian, Siau Hui Mah, Soek Sin Teh, Mawardi Rahmani, Rusea Go, and Yun Hin Taufiq-Yap. 2011. "Soulamarin, a New Coumarin from Stem Bark of Calophyllum soulattri" Molecules 16, no. 11: 9721-9727. https://doi.org/10.3390/molecules16119721
APA StyleEe, G. C. L., Mah, S. H., Teh, S. S., Rahmani, M., Go, R., & Taufiq-Yap, Y. H. (2011). Soulamarin, a New Coumarin from Stem Bark of Calophyllum soulattri. Molecules, 16(11), 9721-9727. https://doi.org/10.3390/molecules16119721
