Synthesis and Biological Activity of Some New 1,3,4-Thiadiazole and 1,2,4-Triazole Compounds Containing a Phenylalanine Moiety
Abstract
:1. Introduction
2. Results and Discussion
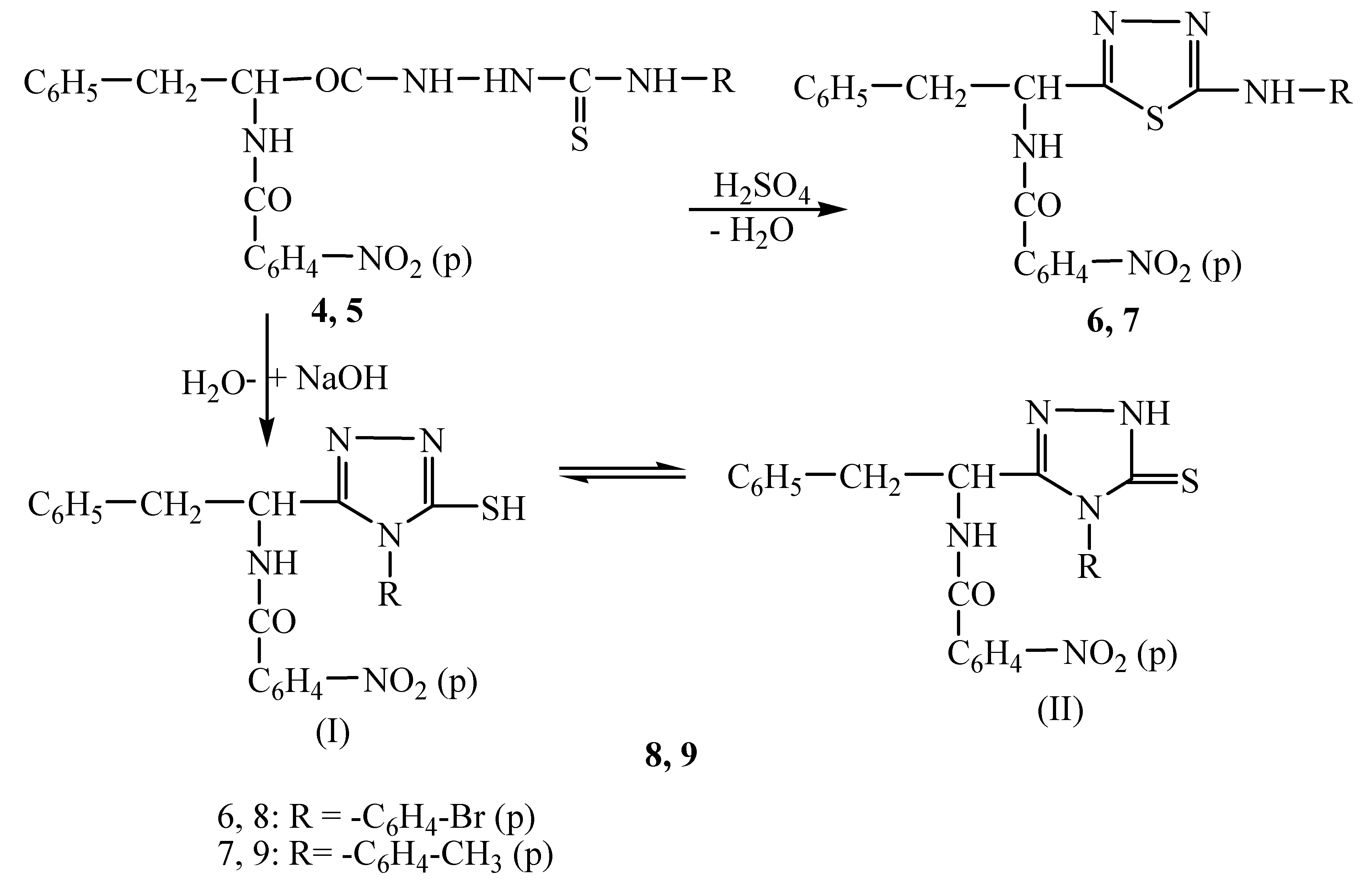
2.1. Chemistry




2.2. Biological Activities
| Comp. | DL50 (mg/kg body weight) | |||
|---|---|---|---|---|
| 24 hours | 48 hours | 7 days | Average | |
| 2 | 1,110 | 1,110 | 975 | 1,065 |
| 3 | 1,100 | 1,100 | 875 | 1,025 |
| 4 | 1,650 | 1,650 | 1,560 | 1,620 |
| 5 | 2,050 | 2,050 | 1,810 | 1,970 |
| 6 | 2,350 | 2,350 | 2,110 | 2,270 |
| 7 | 5,200 | 5,200 | 3,460 | 4,620 |
| 8 | 2,250 | 2,250 | 1,950 | 2,150 |
| 9 | 5,150 | 5,150 | 4,730 | 5,010 |
| Comp. | Dose (mg/kg body, p.o.) | Inflammatory oedema (mL/100 g body) | Inhibition (%) | |
|---|---|---|---|---|
| Control | Comp. | |||
| Indometacine | 5* | 0.280±0.110 | 0.111±0.008 | 60.30 |
| Phenylbutazone | 50* | 0.280±0.110 | 0.190±0.062 | 32.10 |
| Acetylsalicylic Acid | 150 * | 0.310±0.005 | 0.250±0.057 | 19.35 |
| 1,2,4-Triazole (9) | 80* | 0.280±0.110 | 0.186± 0.060 | 33.57 |
3. Experimental Section
3.1. Chemistry
3.1.1. General
3.1.2. Synthesis of 2-(p-nitrophenyl)-4-benzyl-Δ2-oxazolin-5-one (2)
3.1.3. N-(p-nitrobenzoyl)-D,L-phenylalanine hydrazide (3)
3.1.4. General procedure for synthesis of 1,4-disubstituted thiosemicarbazides 4, 5
3.1.5. General procedure for synthesis of 1,3,4-thiadiazoles 6, 7
3.1.6. General procedure for the synthesis of 1,2,4-triazoles 8, 9
3.2. Toxicity study
3.3. Anti-inflammatoty study
4. Conclusions
References and Notes
- Varvarason, A.; Tantili-Kakoulidou, A.; Siatra-Papastasikoudi, T.; Tiligada, E. Synthesis and biological evaluation of indole containing derivatives of thiosemicarbazide and their cyclic 1,2,4-triazole and 1,3,4-thiadiazole analogs. Arzneim. Forsch. 2000, 50, 48–54. [Google Scholar]
- Gokce, M.; Cakir, B.; Earl, K.; Sahin, M. Synthesis and antimicrobial activity of [(2-oxabenzothiazolin-3-yl)-methyl]-4-alkyl/aryl-1,2,4-triazoline-5-thiones. Arch. Pharm. 2001, 334, 279–283. [Google Scholar] [CrossRef]
- Pintilie, O.; Profire, L.; Sunel, V.; Popa, M.; Pui, A. Synthesis and antimicrobial activity of some new 1,3,4-thiadiazole and 1,2,4-triazole compounds having a D,L-methionine moiety. Molecules 2007, 12, 103–113. [Google Scholar] [CrossRef]
- Faroumadi, A.; Mirzaei, M.; Shafiee, A. Synthesis and antituberculosis activity of 2-aryl-1,3,4-thiadiazole derivatives. Pharmazie 2001, 56, 610–612. [Google Scholar]
- Mamolo, M.G.; Falagiani, V.; Zanpier, D.; Vio, L.; Banfi, F. Synthesis and antimycobacterial activity of [5-(pyridin-2-1,3,4-thiadiazol-2-yl-thio)]-acetic acid arylidene-hydrazide derivatives. Farmaco 2001, 56, 587–592. [Google Scholar] [CrossRef]
- Zamani, K.; Faghifi, K.; Tefighi, I.; Sharlatzadeh, R. Synthesis and potential antimycotic activity of 4-substituted 3-(thiophene-2-yl-methyl)-Δ2-1,2,4-triazoline-5-thiones. Turk. J. Chem. 2004, 28, 95–101. [Google Scholar]
- Zan, X.I.; Lai, L.H.; Jin, G.Y.; Zhong, Z.X. Synthesis, fungicide activity and 3D- QSAR of 1,3,4-oxadiazoles and 1,3,4-thiadiazoles. J. Agric. Food Chem. 2002, 50, 3757–3760. [Google Scholar] [CrossRef]
- Chem, H.; Li, Z.; Han, Y. Synthesis and fungicidal activity against Rhizoctonia solani of 2-alkyl(alkylthio)-5-pyrazolyl-1,3,4-oxadiazoles (thiadiazoles). J. Agric. Food Chem. 2000, 48, 5312–5315. [Google Scholar] [CrossRef]
- Clerici, F.; Pocar, D.; Guido, M.; Loche, A.; Perlini, V.; Brufoni, M. Synthesis of 2-amino-5-sulphonyl-1,3,4-thiadiazole derivatives and evaluation of their antidepressant and anxiolytic activity. J. Med. Chem. 2001, 44, 931–936. [Google Scholar] [CrossRef]
- Onkol, T.; Cakir, B.; Sahin, M.F. Synthesis and antinociceptive activity of 2-[(2-oxabenzothiazolin-3-yl)-methyl]-5-aminoalkyl/aryl-1,3,4-thiadiazole. Turk. J. Chem. 2004, 28, 461–466. [Google Scholar]
- Shenone, S.; Bruno, O.; Ranise, A.; Bondavalli, W.; Falcone, G.; Giordano, L.; Vitelli, M. 3-Arylsulphonyl-5-arylamino-1,3,4-thiadiazol-2(3H)ones as anti-inflammatory and analgesic agents. Bioorg. Med. Chem. 2001, 9, 2149–2153. [Google Scholar] [CrossRef]
- Labanauskas, L.; Kalcas, V.; Uderenaite, E.; Gaidelis, P.; Brukstus, A.; Dauksas, V. Synthesis of 3-(3,4-dimethoxyphenyl)-1H-1,2,4-triazole-5-thiol and 2-amino-5-(3,4-dimethoxyphenyl)-1,3,4-thiadiazole derivatives exhibiting anti-inflammatory activity. Pharmazie 2001, 56, 617–619. [Google Scholar]
- Palaska, E.; Sahin, G.; Kelincen, P.; Durlu, N.T.; Altionax, G. Synthesis and anti-inflammatory activity of 1-acyl thiosemicarbazides, 1,3,4-oxadiazoles, 1,3,4-thiadiazoles and 1,2,4-triazole-3-thiones. Farmaco 2002, 57, 101–107. [Google Scholar] [CrossRef]
- Sunel, V.; Lionte, C.; Popa, M.; Pintilie, O.; Mungiu, P.; Teleman, S. Synthesis of new methionine derivatives for the treatment of paracetamol-inducet hepatic injury. Eur. Chem. Tech. J. 2002, 4, 201–205. [Google Scholar]
- Pintilie, O.; Sunel, V.; Profire, L.; Pui, A. Synthesis and antimicrobial activity of some new (sulfonamidophenyl)-amides of N-(metanitrobenzoyl)-D,L-methionine. Farmacia 2007, 55, 345–251. [Google Scholar]
- Moise, M.; Sunel, V.; Profire, L.; Popa, M.; Lionte, C. Synthesis and antimicrobial activity of some new (sulfon-amidophenyl)-amide derivatives of N-(4-nitrobenzoyl)-phenylglycine and N-(4-nitrobenzoyl)-phenylalanine. Farmacia 2008, 56, 283–289. [Google Scholar]
- Sunel, V.; Lionte, C.; Basu, C.; Cheptea, C. New antitumour alkylating compounds with N-[m-(arylthiocarbamoyl)-aminobenzoyl]-asparagic acids support. Chem. Indian J. 2005, 2, 1–6. [Google Scholar]
- Sunel, V.; Popa, M.; Desbrieres, J.; Profire, L.; Pintilie, O.; Lionte, C. New di-(β-chloroethyl)-α-amides on N-(m-acylaminobenzoyl)-D, L-aminoacid supports with antitumoral activity. Molecules 2008, 13, 177–189. [Google Scholar] [CrossRef]
- Shaker, R.M. The chemistry of mercapto- and thione- substituted 1,2,4-triazole and their utility in heterocyclic synthesis. ARKIVOC 2006 (ix), 59–112. [Google Scholar]
- Serwar, M.; Akhtar, T.; Hameed, S; Khan, K.M. Synthesis, urease inhibition and antimicrobial activities of some chiral 5-aryl-4-(1-phenylpropyl)-2H-1,2,4-triazole-3(H)-thiones. ARKIVOC 2009 (vii), 59–112. [Google Scholar]
- Whitehouse, W. Anti-inflammatory agents; Academic Press: San Diego, CA, USA, 1974; Volume 2, pp. 210–221. [Google Scholar]
- Seymar, P.A.; Larson, D.; Browne, P. The effect of piroxicam and nystatin on locomotor activity in rats with adjuvants arthritis. Drug Dev. Res. 1986, 7, 165–172. [Google Scholar] [CrossRef]
- Selph, L.; Boncek, V.; Soroko, E.; Harris, T.; Cochran, R. The pharmacologic evaluation of locomotor activity versus inflammatory parameters in rat adjuvant arthritis. Agents Actions 1993, 39, 201–203. [Google Scholar]
- Czajkowska, T.; Graczyk, J.; Krysiak, B.; Stetkiewicz, J. Acute toxic effects of trimethyl and triethyl phosphates. J. Med. Pharm. 1978, 29, 393–398. [Google Scholar]
- Hamilton, M.A.; Russo, R.C.; Thurston, R.V. Trimmed Sperman Käber method for estimating median lethal concentrations in toxicological bioassays. Envir. Sci. Technol. 1978, 12, 417–422. [Google Scholar]
- Niemegeers, E.; Awouters, F.; Lenacrts, F.M.; Janseen, P.A. The activity of suprofen on nystatin-induced paw oedema in rats. Arzneim. Forsch. 1975, 25, 1516–1519. [Google Scholar]
- Sample Availability: Samples of the compounds 2-9 are available from the authors.
© 2009 by the authors; licensee Molecular Diversity Preservation International, Basel, Switzerland. This article is an open-access article distributed under the terms and conditions of the Creative Commons Attribution license ( http://creativecommons.org/licenses/by/3.0/).
Share and Cite
Moise, M.; Sunel, V.; Profire, L.; Popa, M.; Desbrieres, J.; Peptu, C. Synthesis and Biological Activity of Some New 1,3,4-Thiadiazole and 1,2,4-Triazole Compounds Containing a Phenylalanine Moiety. Molecules 2009, 14, 2621-2631. https://doi.org/10.3390/molecules14072621
Moise M, Sunel V, Profire L, Popa M, Desbrieres J, Peptu C. Synthesis and Biological Activity of Some New 1,3,4-Thiadiazole and 1,2,4-Triazole Compounds Containing a Phenylalanine Moiety. Molecules. 2009; 14(7):2621-2631. https://doi.org/10.3390/molecules14072621
Chicago/Turabian StyleMoise, Mihaela, Valeriu Sunel, Lenuta Profire, Marcel Popa, Jacques Desbrieres, and Cristian Peptu. 2009. "Synthesis and Biological Activity of Some New 1,3,4-Thiadiazole and 1,2,4-Triazole Compounds Containing a Phenylalanine Moiety" Molecules 14, no. 7: 2621-2631. https://doi.org/10.3390/molecules14072621
APA StyleMoise, M., Sunel, V., Profire, L., Popa, M., Desbrieres, J., & Peptu, C. (2009). Synthesis and Biological Activity of Some New 1,3,4-Thiadiazole and 1,2,4-Triazole Compounds Containing a Phenylalanine Moiety. Molecules, 14(7), 2621-2631. https://doi.org/10.3390/molecules14072621
