Polymeric Plant-derived Excipients in Drug Delivery
Abstract
:1. Introduction
2. Cellulose

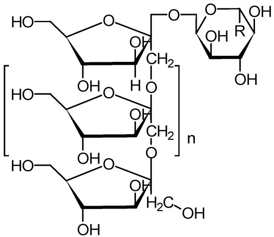
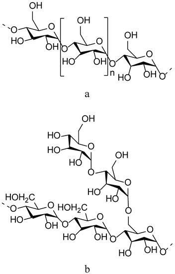
3. Hemicellulose
4. Pectin

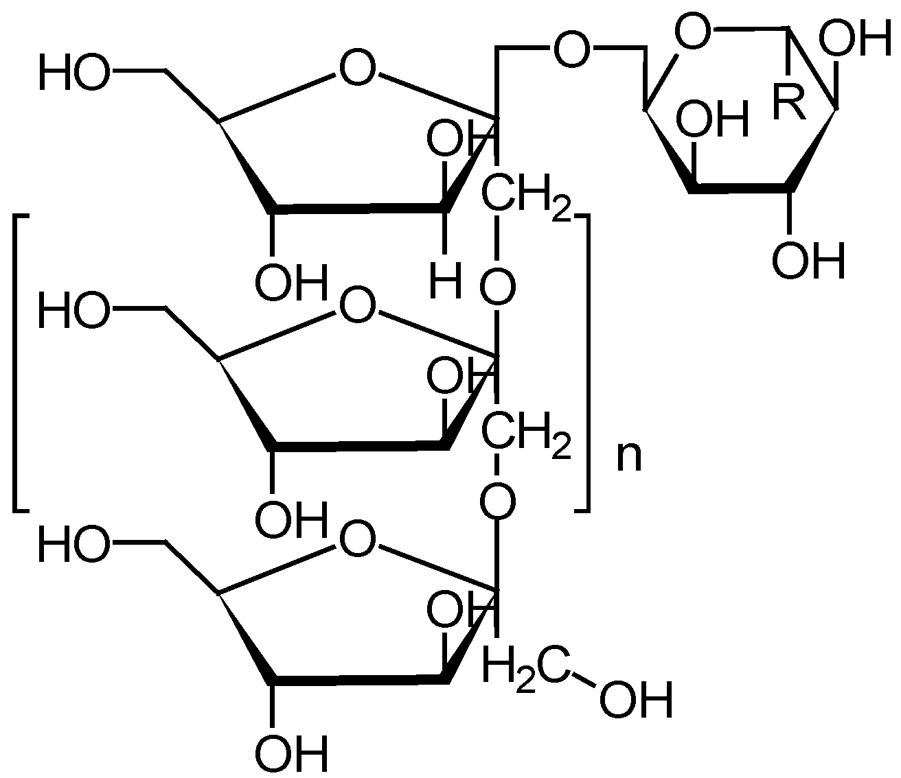
5. Inulin

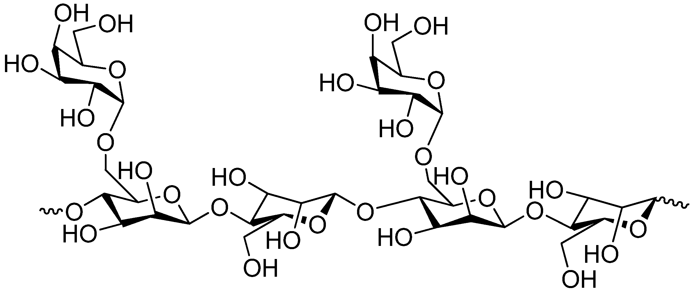
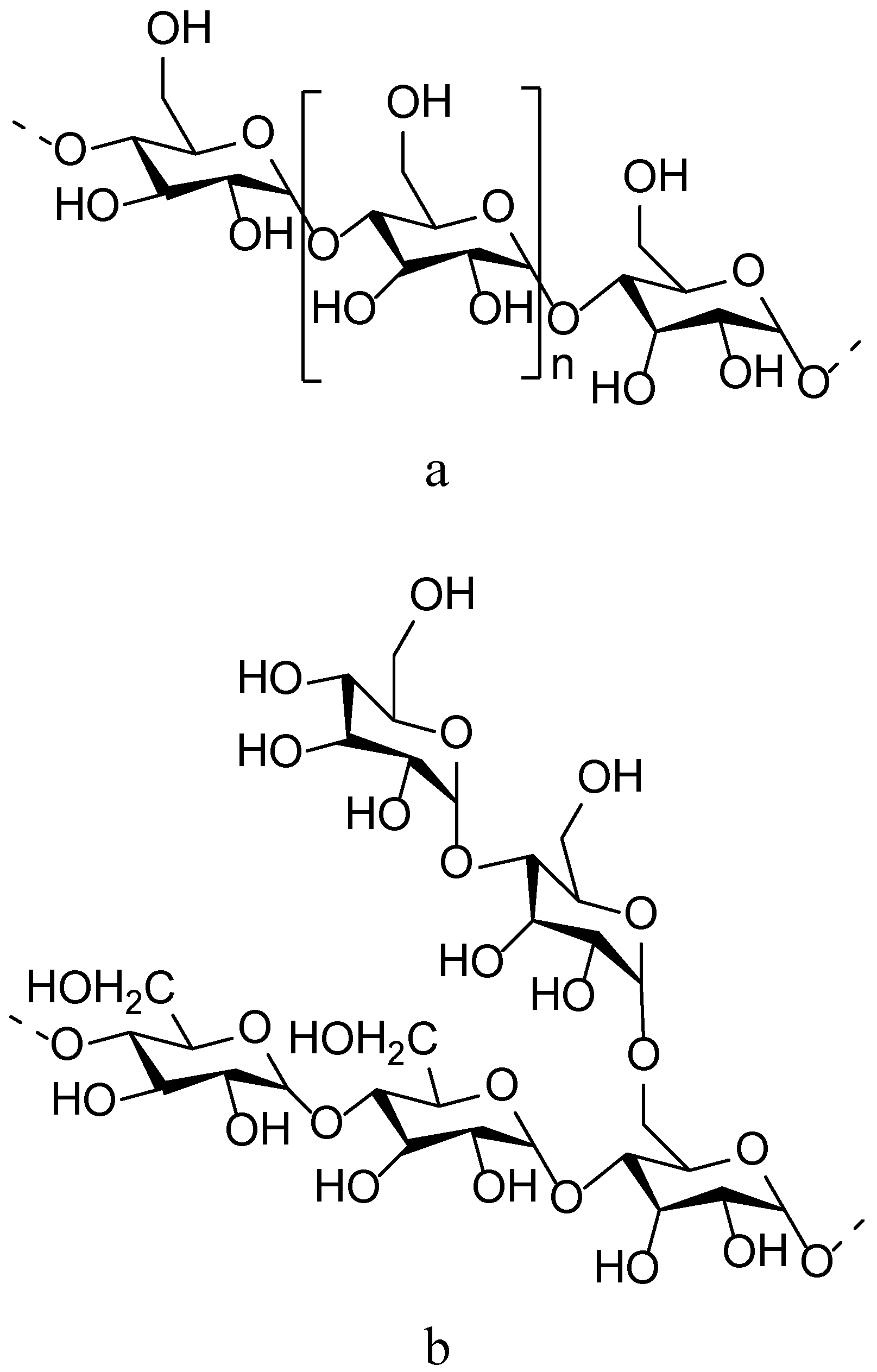
6. Alginates

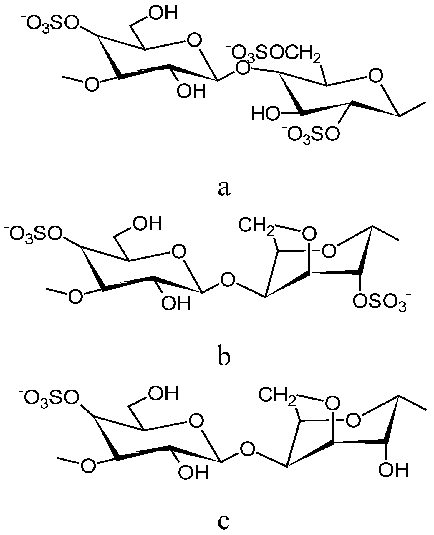
7. Carrageenans

8. Rosin

9. Gums and mucilages
9.1. Guar gum

9.2. Locust bean gum

9.3. Gum arabic
9.4. Psyllium
9.5. Starch

9.6. Aloe gel
9. Conclusions
References and Notes
- Guo, J.; Skinner, G.W.; Harcum, W.W.; Barnum, P.E. Pharmaceutical applications of naturally occurring water-soluble polymers. PSTT 1998, 1, 254–261. [Google Scholar]
- Varshosaz, J.; Tavakoli, N.; Eram, S.A. Use of natural gums and cellulose derivatives in production of sustained release Metoprolol tablets. Drug Deliv. 2006, 13, 113–119. [Google Scholar] [CrossRef]
- Satturwar, P.M.; Fulzele, S.V.; Dorle, A.K. Biodegradation and in vivo biocompatibility of rosin: a natural film-forming polymer. AAPS PharmSciTech. 2003, 4, 1–6. [Google Scholar]
- Chaurasia, M.; Chourasia, M.K.; Jain, N.K.; Jain, A.; Soni, V.; Gupta, Y.; Jain, S.K. Cross-linked Guar Gum microspheres: A viable approach for improved delivery of anticancer drugs for the treatment of colorectal cancer. AAPS PharmSchiTech. 2006, 7, E1–E9. [Google Scholar]
- Malafaya, P.B.; Silva, G.A.; Reis, R.L. Natural-origin polymers as carriers and scaffolds for biomolecules and cell delivery in tissue engineering applications. Adv. Drug Deliv. Rev. 2007, 59, 207–233. [Google Scholar] [CrossRef]
- Chivate, A.A.; Poddar, S.S.; Abdul, S.; Savant, G. Evaluation of Sterculia foetida gum as controlled release excipient. AAPS PharmSciTech. 2008, 9, 197–204. [Google Scholar] [CrossRef]
- Perepelkin, K.E. Polymeric materials of the future based on renewable plant resources and biotechnologies: Fibres, films, plastics. Fibre Chem. 2005, 37, 417–430. [Google Scholar] [CrossRef]
- Lam, K.S. New aspects of natural products in drug discovery. Trends Microbiol. 2007, 15, 279–289. [Google Scholar] [CrossRef]
- McChesney, J.D.; Venkataraman, S.K.; Henri, J.T. Plant natural products: Back to the future or into extinction? Phytochemistry 2007, 68, 2015–2022. [Google Scholar] [CrossRef]
- Hamman, J.H.; Tarirai, C. Functional excipients. Chemistry Today 2006, 24, 57–62. [Google Scholar]
- Pandey, R.; Khuller, G.K. Polymer based drug delivery systems for mycobacterial infections. Curr. Drug Deliv. 2004, 1, 195–201. [Google Scholar]
- Chamarthy, S.P.; Pinal, R. Plasticizer concentration and the performance of a diffusion-controlled polymeric drug delivery system. Colloids Surf. A. Physiochem. Eng. Asp. 2008, 331, 25–30. [Google Scholar] [CrossRef]
- Alonso-Sande, M.; Teijeiro, D.; Remuñán-López, C.; Alonso, M.J. Glucomannan, a promising polysaccharide for biopharmaceutical purposes. Eur. J. Pharm. Biopharm. 2008. [Google Scholar] [CrossRef]
- Shirwaikar, A.; Shirwaikar, A.; Prabu, S.L.; Kumar, G.A. Herbal excipients in novel drug delivery systems. Indian J. Pharm. Sci. 2008, 70, 415–422. [Google Scholar] [CrossRef]
- Scheller, H.V.; Jensen, J.K.; Sørensen, S.O.; Harholt, J.; Geshi, N. Biosynthesis of pectin. Physiol. Plant. 2007, 129, 283–295. [Google Scholar]
- Aquilera, J.M.; Stanley, D.W. Microstructural principles of food processing and engineering; Springer: Aspen, Germany, 1999; pp. 99–103. [Google Scholar]
- Cosgrove, D.J. Growth of the plant cell wall. Nat. Rev. Mol. Cell Biol. 2005, 6, 850–861. [Google Scholar] [CrossRef]
- Hon, D.N.-S. Cellulose and its derivatives: Structures, Reactions and Medical Uses. In Polysaccharides in medicinal applications; Dumitriu, S., Ed.; Marcel Dekker, Inc: New York, NY, USA, 1996; pp. 87–106. [Google Scholar]
- Handbook of pharmaceutical excipients; Kibbe, A.H. (Ed.) Pharmaceutical Press: Washington, D.C. USA, 2000; pp. 102–109.
- Edgar, K.J.; Buchanan, C.M.; Debenham, J.S.; Rundquist, P.A.; Seiler, B.D.; Shelton, M.C.; Tindall, D. Advances in cellulose ester performance and application. Prog. Polym. Sci. 2001, 26, 1605–1688. [Google Scholar] [CrossRef]
- Te Wierik, G.H.; Eissens, A.C.; Bergsma, J.; Arends-Scholte, A.W.; Lerk, C.F. A new generation of starch products as excipient in pharmaceutical tablets. II. High surface area retrograded pregelatinized potato starch products in sustainded-release tablets. J. Control. Release 1997, 45, 25–33. [Google Scholar] [CrossRef]
- Jamzad, S.; Fassihi, R. Development of a controlled release low dose class II drug-Glipizide. Int. J. Pharm. 2006, 312, 24–32. [Google Scholar] [CrossRef]
- Andreopoulos, A.G.; Tarantili, P.A. Study of biopolymers as carriers for controlled release. J. Macromol. Sci. Physics. 2002, B41, 559–578. [Google Scholar] [CrossRef]
- Conti, S.; Maggi, L.; Segale, L.; Machiste, E.O.; Conte, U.; Grenier, P.; Vergnault, G. Matrices containing NaCMC and HPmC 1. Dissolution performance characterization. Int. J. Pharm. 2007, 333, 136–142. [Google Scholar] [CrossRef]
- Lerouxel, O.; Cavalier, D.M.; Liepman, A.H.; Keegstra, K. Biosynthesis of plant cell wall polysaccharides – a complex process. Curr. Opin. Plant Biol. 2006, 9, 621–630. [Google Scholar] [CrossRef]
- Chaa, L.; Joly, N.; Lequart, V.; Faugeron, C.; Mollet, J.; Martin, P.; Morvan, H. Isolation, characterization and valorization of hemicelluloses from Aristida pungens leaves as biomaterial. Carbohydr. Polym. 2008, 74, 597–602. [Google Scholar] [CrossRef]
- Alvarez-Manceñido, F.; Landin, M.; Lacik, I.; Martínez-Pacheco, R. Konjac glucomannan and konjac glucomannan/xanthan gum mixtures as excipients for controlled drug delivery systems. Diffusion of small drugs. Int. J. Pharm. 2008, 349, 11–18. [Google Scholar] [CrossRef]
- Fan, J.; Wang, K.; Liu, M.; He, Z. In vitro evaluations of konjac glucomannan and xanthan gum mixture as the sustained release material of matrix tablet. Carbohydr. Polym. 2008, 73, 241–247. [Google Scholar] [CrossRef]
- Wen, X.; Wang, T.; Wang, Z.; Li, L.; Zhao, C. Preparation of konjac glucomannan hydrogels as DNA-controlled release matrix. Int. J. Biol. Macromol. 2008, 42, 256–263. [Google Scholar] [CrossRef]
- Liu, M.; Fan, J.; Wang, K.; He, Z. Synthesis, characterization, and evaluation of phosphated cross-linked konjac glucomannan hydrogels for colon-targeted drug delivery. Drug Deliv. 2007, 14, 397–402. [Google Scholar] [CrossRef]
- Ridley, B.L.; O’Neill, M.A.; Mohnen, D. Pectins: structure, biosynthesis and oligogalacturonide-related signaling. Phytochemistry. 2001, 57, 929–967. [Google Scholar] [CrossRef]
- Mohnen, D. Pectin structure and biosynthesis. Curr. Opin. Plant Biol. 2008, 11, 266–277. [Google Scholar] [CrossRef]
- Bhatia, M.S.; Deshmukh, R.; Choudhari, P.; Bhatia, N.M. Chemical modifications of pectins, characterization and evaluation for drug delivery. Sci. Pharm. 2008, 76, 775–784. [Google Scholar] [CrossRef]
- Fry, S.C. Primary cell wall metabolism, tracking the careers of wall polymers in living plant cells. New Phytol. 2004, 161, 641–675. [Google Scholar] [CrossRef]
- Sriamornsak, P.; Thirawong, N.; Weerapol, Y.; Nunthanid, J.; Sungthongjeen, S. Swelling and erosion of pectin matrix tablets and their impact on drug release behavior. Eur. J. Pharm. Biopharm. 2007, 67, 211–219. [Google Scholar] [CrossRef]
- Cárdenas, A.; Goycoolea, F.M.; Rinaudo, M. On the gelling behaviour of ‘nopal’ (Opuntia ficus indica) low metholoxyl pectin. Carbohydr. Polym. 2008, 73, 212–222. [Google Scholar] [CrossRef]
- Sinha, V.R.; Kumria, R. Polysaccharides in colon-specific drug delivery. Int. J. Pharm. 2001, 224, 19–38. [Google Scholar] [CrossRef]
- Liu, L.; Fishman, M.L.; Kost, J.; Hicks, K.B. Pectin-based systems for colon-specific drug delivery via oral route. Biomaterials. 2003, 24, 3333–3343. [Google Scholar] [CrossRef]
- Chourasia, M.K.; Jain, S.K. Polysaccharides for colon targeted drug delivery. Drug Deliv. 2004, 11, 129–148. [Google Scholar] [CrossRef]
- Itoh, K.; Yahaba, M.; Takahashi, A.; Tsuruya, R.; Miyazaki, S.; Dairaku, M.; Togashi, M.; Mikami, R.; Attwood, D. In situ gelling xyloglucan/pectin formulations for oral sustained drug delivery. Int. J. Pharm. 2008, 356, 95–101. [Google Scholar] [CrossRef]
- Vervoort, L.; Kinget, R. In vitro degradation by colonic bacteria of inulinHP incorporated in Eudragit RS films. Int. J. Pharm. 1996, 129, 185–190. [Google Scholar] [CrossRef]
- Vervoort, L.; Van den Mooter, G.; Augustijns, P.; Kinget, R. Inulin hydrogels. I. Dynamic and equilibrium swelling properties. Int. J. Pharm. 1998, 172, 127–135. [Google Scholar] [CrossRef]
- Akhgari, A.; Farahmand, F.; Garekani, H.; Sadeghi, F.; Vandamme, T.F. Permeability and swelling studies on free films containing inulin in combination with different polymethacrylates aimed for colonic drug delivery. Eur. J. Pharm. 2006, 28, 307–314. [Google Scholar]
- Castelli, F.; Sarpietro, M.G.; Micieli, D.; Ottim, S.; Pitarresi, G.; Tripodo, G.; Carlisi, B.; Giammona, G. Differential scanning calorimetry study on drug release from an inulin-based hydrogel and its interaction with a biomembrane model: pH and loading effect. Eur. J. Pharm. 2008, 35, 76–85. [Google Scholar]
- Liew, C.V.; Chan, L.W.; Ching, A.L.; Heng, P.W.S. Evaluation of sodium alginate as drug release modifier in matrix tablets. Int. J. Pharm. 2006, 309, 25–37. [Google Scholar] [CrossRef]
- Tuğcu-Demiröz, F.; Acartürk, F.; Takka, S.; Konuş-Boyunağa. Evaluation of alginate based mesalazine tablets for intestinal drug delivery. Eur. J. Pharm. Biopharm. 2007, 67, 491–497. [Google Scholar] [CrossRef]
- Sudhakar, Y.; Kuotsu, K.; Bandyopadhyay, A.K. Buccal bioadhesive drug delivery – A promising option for orally less efficient drugs. J. Control. Release 2006, 114, 15–40. [Google Scholar] [CrossRef]
- Sarmento, B.; Ribeiro, A.; Veiga, F.; Sampaio, P.; Neufeld, R.; Ferreira, D. Alginate/Chitosan nanoparticles are effective for oral insulin delivery. Pharm. Res. 2007, 24, 2198–2206. [Google Scholar] [CrossRef]
- Ching, A.L.; Liew, C.V.; Heng, P.W.S.; Chan, L.W. Impact of cross-linker on alginate matrix integrity and drug release. Int. J. Pharm. 2008, 355, 259–268. [Google Scholar] [CrossRef]
- Lee, B-J.; Cui, J-H.; Kim, T-W.; Heo, M-Y.; Kim, C-K. Biphasic release characteristics of dual drug-loaded alginate beads. Arch. Pharm. Res. 1998, 21, 645–650. [Google Scholar] [CrossRef]
- Ahmad, Z.; Pandley, R.; Sharma, S.; Khuller, G.K. Alginate nanoparticles as antituberculosis drug carriers: formulation development, pharmacokinetics and therapeutic potential. Indian J. Chest. Dis. Allied Sci. 2006, 48, 171–176. [Google Scholar]
- Nerurkar, J.; Jun, H.W.; Price, J.C.; Park, M.O. Controlled-release matrix tablets of ibuprofen using cellulose ethers and carrageenans: effect of formulation factors on dissolution rates. Eur. J. Pharm. Biopharm. 2005, 61, 56–68. [Google Scholar] [CrossRef]
- Coviello, T.; Alhaique, F.; Dorigo, A.; Matricardi, P.; Grassi, M. Two galactomannans and scleroglucan as matrices for drug delivery: Preparation and release studies. Eur. J. Pharm. Biopharm. 2007, 66, 200–209. [Google Scholar] [CrossRef]
- Picker, K.M. Matrix tablets of carrageenans. I. A compaction study. Drug Dev. Ind. Pharm. 1999, 25, 329–337. [Google Scholar] [CrossRef]
- Gupta, V.K.; Hariharan, M.; Wheatley, T.A.; Price, J.C. Controlled-release tablets from carrageenans: effect of formulation, storage and dissolution factors. Eur. J. Pharm. Biopharm. 2001, 51, 241–248. [Google Scholar] [CrossRef]
- Mohamadnia, Z.; Zohuriaan-Mehr, M.J.; Kabiri, K.; Jamshidi, A.; Mobedi, H. Ionically cross-linked carrageenan-alginate hydrogel beads. J. Biomater. Sci. Polymer Edn. 2008, 19, 47–59. [Google Scholar] [CrossRef]
- Mandaogade, P.M.; Satturwar, P.M.; Fulzele, S.V.; Gogte, B.B.; Dorle, A.K. Rosin derivatives: novel film forming materials for controlled drug delivery. Reactive Funct. Polym. 2002, 50, 233–243. [Google Scholar] [CrossRef]
- Fulzele, S.V.; Satturwar, P.M.; Dorle, A.K. Study of the biodegradation and in vivo biocompatibility of novel biomaterials. Eur. J. Pharm. Sci. 2003, 20, 53–61. [Google Scholar] [CrossRef]
- Nande, V.S.; Barabde, U.V.; Morkhade, D.M.; Patil, A.T.; Joshi, S.B. Synthesis and characterization of PEGylated derivatives of rosin for sustained drug delivery. Reactive Funct. Polym. 2006, 66, 1373–1383. [Google Scholar] [CrossRef]
- Fulzele, S.V.; Satturwar, P.M.; Dorle, A.K. Polymerized rosin: novel film forming polymer for drug delivery. Int. J. Pharm. 2002, 249, 175–184. [Google Scholar] [CrossRef]
- Fulzele, S.V.; Satturwar, P.M.; Dorle, A.K. Study of novel rosin-based biomaterials for pharmaceutical coating. AAPS PharmSciTech. 2002, 3, 1–7. [Google Scholar]
- Lee, C.-M.; Lim, S.; Kim, G.-Y.; Kim, D.-W.; Joon, H.R.; Lee, K.-Y. Rosin nanoparticles as a drug delivery carrier for the controlled release of hydrocortisone. Biotechnol. Lett. 2005, 27, 1487–1490. [Google Scholar] [CrossRef]
- BeMiller, J.N. Gums and related polysaccharides. In Glycoscience; Fraser-Reid, B., Tatsuta, K., Thiem, J., Eds.; Springer-Verlag: Berlin, Heidelberg, Germany, 2008; pp. 1513–1533. [Google Scholar]
- Kulkarni, G.T.; Gowthamarajan, K.; Dhobe, R.R.; Yohanan, F.; Suresh, B. Development of controlled release spheriods usingnatural polysaccharide as release modifier. Drug Deliv. 2005, 12, 201–206. [Google Scholar] [CrossRef]
- Gamal-Eldeen, A.M.; Amer, H.; Helmy, W.A. Cancer chemopreventive and anti-inflammatory activities of chemically modified guar gum. Chem. Biol. Interact. 2006, 161, 229–240. [Google Scholar] [CrossRef]
- Doyle, J.P.; Lyons, G.; Morris, E.R. New proposals on “hyperentanglement” of galactomannans: Solution viscosity of fenugreek gum under neutral and alkaline conditions. Food Hydrocol. 2008, 23, 1501–1510. [Google Scholar] [CrossRef]
- Dürig, T.; Fassihi, R. Guar-based monolithic matrix systems: effect of ionizable and non-ionizable substances and excipients on gel dynamics and release kinetics. J. Control. Release 2002, 80, 45–56. [Google Scholar] [CrossRef]
- Glicksman, M. Utilization of natural polysaccharide gums in the food industry. In Advances in food research; Mrak, E.M., Stewart, G.F., Eds.; Academic Press: New York, NY, USA; pp. 110–191.
- Sujja-areevath, J.; Munday, D.L.; Cox, P.J.; Khan, K.A. Release characteristics of diclofenac sodium from encapsulated natural gum mini-matrix formulation. Int. J. Pharm. 1996, 139, 53–62. [Google Scholar] [CrossRef]
- Vendruscolo, C.W.; Andreazza, I.F.; Ganter, J.L.M.S.; Ferrero, C.; Bresolin, T.M.B. Xanthan and galactomannan (from M.scabrella) matrix tablets for oral controlled delivery of theophylline. Int. J. Pharm. 2005, 296, 1–11. [Google Scholar] [CrossRef]
- Nishi, K.K.; Antony, M.; Mohanan, P.V.; Anilkumar, T.V.; Loiseau, P.M.; Jayakrishman, A. Amphotericin B-Gum arabic conjugates: synthesis, toxicity, bioavailability, and activities against Leishmania and fungi. Pharm. Res. 2007, 24, 971–980. [Google Scholar] [CrossRef]
- Ramakrishnan, A.; Pandit, N.; Badgujar, M.; Bhaskar, C.; Rao, M. Encapsulation of endoglucanase using a biopolymer gum arabic for its controlle release. Bioresour. Technol. 2007, 98, 368–372. [Google Scholar] [CrossRef]
- Lu, E.; Jiang, Z.; Zhang, Q.; Jiang, X. A water-insoluble drug monolithic osmotic tablet system utilizing gum arabic as an osmotic, suspending and expanding agent. J. Control. Release 2003, 92, 375–382. [Google Scholar]
- Kulkarni, G.T.; Gowthamrajan, K.; Rao, B.G.; Suresh, B. Evaluation of binding properties of plantago ovata and Trigonella foenum graecum mucilages. Indian Drugs 2002, 38, 422–468. [Google Scholar]
- Singh, B.; Chauhan, N.; Kumar, S. Radiation crosslinked psyllium and polyacrylic acid based hydrogels for use in colon specific drug delivery. Carbohydr. Polym. 2008, 73, 446–455. [Google Scholar] [CrossRef]
- Singh, B.; Chauhan, N. Modification of psyllium polysaccharides for use in oral insulin delivery. Food Hydrocol. 2009, 23, 928–935. [Google Scholar] [CrossRef]
- Chavanpatil, M.D.; Jain, P.; Chaudhari, S.; Shear, R.; Vavia, P.R. Novel sustained release, swellable and bioadhesive gastroretentive drug delivery system for ofloxacin. Int. J. Pharm. 2006, 316, 86–92. [Google Scholar] [CrossRef]
- Cummings, J.H.; Stephen, A.M. Carbohydrate terminology and classification. Eur. J. Clin. Nutr. 2007, 61, S5–S18. [Google Scholar] [CrossRef]
- Thérien-Aubin, H.; Zhu, X.X. NMR spectroscopy and imaging studies of pharmaceutical tablets made of starch. Carbohydr. Polym. 2009, 75, 369–379. [Google Scholar]
- Chen, L.; Li, X.; Li, L.; Guo, S. Acetylated starch-based biodegradable materials with potential biomedical applications as drug delivery systems. Curr. Appl. Phys. 2007, 7S1, e90–e93. [Google Scholar] [CrossRef]
- Lenaerts, V.; Moussa, I.; Dumoulin, Y.; Mebsout, F.; Chouinard, F.; Szabo, P.; Mateescu, M.A.; Cartilier, L.; Marchessault, R. Cross-linked high amylase starch for controlled release of drugs: recent advances. J. Control. Release 1998, 53, 225–234. [Google Scholar] [CrossRef]
- Te Wierik, G.H.; Eissens, A.C.; Bergsma, J.; Arends-Scholte, A.W.; Bolhuis, G.K. A new generation starch product as excipient in pharmaceutical tablets. III. Parameters affecting controlled drug release from tablets based on high surface area retrograted pregelatinized potato starch. Int. J. Pharm. 1997, 157, 181–187. [Google Scholar] [CrossRef]
- Brouillet, F.; Bataille, B.; Cartilier, L. High-amylose sodium carboxymethyl starch matrices for oral, sustained drug release: Formulation aspects and in vitro drug release evaluation. Int. J. Pharm. 2008, 356, 52–60. [Google Scholar] [CrossRef]
- Ni, Y.; Tizard, I.R. Analytical methodology: the gel-analysis of aloe pulp and its derivatives. In Aloes - The Genus Aloe; Reynolds, T., Ed.; CRC Press: Boca Raton, FL, USA, 2004; pp. 111–126. [Google Scholar]
- Jani, G.K.; Shah, D.P.; Jain, V.C.; Patel, M.J.; Vithalan, D.A. Evaluating mucilage from Aloe Barbadensis Miller as a pharmaceutical excipient for sustained-release matrix tablets. Pharm. Technol. 2007, 31, 90–98. [Google Scholar]
- Sample Availability: Not available.
© 2009 by the authors; licensee Molecular Diversity Preservation International, Basel, Switzerland. This article is an open access article distributed under the terms and conditions of the Creative Commons Attribution license ( http://creativecommons.org/licenses/by/3.0/).
Share and Cite
Beneke, C.E.; Viljoen, A.M.; Hamman, J.H. Polymeric Plant-derived Excipients in Drug Delivery. Molecules 2009, 14, 2602-2620. https://doi.org/10.3390/molecules14072602
Beneke CE, Viljoen AM, Hamman JH. Polymeric Plant-derived Excipients in Drug Delivery. Molecules. 2009; 14(7):2602-2620. https://doi.org/10.3390/molecules14072602
Chicago/Turabian StyleBeneke, Carien E., Alvaro M. Viljoen, and Josias H. Hamman. 2009. "Polymeric Plant-derived Excipients in Drug Delivery" Molecules 14, no. 7: 2602-2620. https://doi.org/10.3390/molecules14072602
APA StyleBeneke, C. E., Viljoen, A. M., & Hamman, J. H. (2009). Polymeric Plant-derived Excipients in Drug Delivery. Molecules, 14(7), 2602-2620. https://doi.org/10.3390/molecules14072602
