Abstract
A number of N-(arylcarbamothioyl)cyclohexanecarboxamide derivatives (aryl substituents: phenyl, 2-chlorophenyl, 3-chlorophenyl, 4-chlorophenyl, o-tolyl, p-tolyl, 3-methoxyphenyl, 4-methoxyphenyl and naphthalen-1yl) have been synthesized. The compounds obtained were characterized by elemental analyses, IR spectroscopy and 1H-NMR spectroscopy. N-(naphthalen-1-ylcarbamothioyl)cyclohexanecarboxamide, H2L9, was also characterized by a single crystal X-ray diffraction study. This compound, C18H20N2OS, crystallizes in the triclinic space group Pī, with Z = 2, and unit cell parameters a = 6.9921(14) Å, b = 11.002(2) Å, c = 12.381(3) Å, α = 113.28(3)°, β = 99.38(3)°, and γ = 101.85(3)°. The cyclohexane ring adopts a chair conformation. The molecular conformation of the compound is stabilized by an intramolecular (N2-H2•••O1) hydrogen bond which forms a pseudo-six-membered ring.
Introduction
Chelating extractants have been found to be more selective for separating metal ions than solvating reagents and anion exchangers. Some of the most important chelating extractants are thiourea derivatives, which have been known for a long time and are easily synthesized in good yields. Metal complexes of thiourea derivatives have been the subject of considerable study [1,2,3,4,5,6,7,8,9,10,11,12,13]. The presence of hard O- and N- and soft S-donor atoms in the backbones of these ligands enable them to react readily with both transition group and main group metal ions, yielding stable metal complexes, some of which have been shown to exhibit interesting physico-chemical properties and significant biological activities [13,14,15]. They have received particular attention because of their potential use as highly selective reagents for the pre-concentration and separation of metals [16,17,18,19,20]. Some thiourea derivatives have been found to be useful as insecticides, fungicides, herbicides, and plant-growth regulators [13,14,21,22]. In recent years, thiourea derivatives have been the subject of interest because it has been shown that they have antitumor and antifungal bioactivities and inhibitory activities against viruses [15,23,24].
Over the past couple of years we have been focusing on the preparation and characterization of new carboxamides which are bonded with a thiourea group [1,2,3,4,5,25,26,27,28,29,30,31,32]. Taking into consideration all the features described above, we focused our efforts in the present work on the synthesis of carboxamide derivatives. We have now obtained nine novel carboxamide derivatives and, in this paper, we report the preparation and characterization of these new derivatives: N-(phenylcarbamothioyl) cyclohexanecarboxamide (H2L1), N-(2-chlorophenylcarbamothioyl)cyclohexanecarboxamide (H2L2), N-(3-chlorophenylcarbamothioyl)cyclohexanecarboxamide (H2L3), N-(4-chlorophenylcarbamothioyl) cyclohexanecarboxamide (H2L4), N-(o-tolylcarbamothioyl)cyclohexanecarboxamide (H2L5), N-(p-tolylcarbamothioyl)cyclohexanecarboxamide (H2L6), N-(3-methoxyphenylcarbamothioyl)cyclohexane carboxamide (H2L7), N-(4-methoxyphenylcarbamothioyl)cyclohexanecarboxamide (H2L8) and N-(naphthalen-1-ylcarbamothioyl)cyclohexanecarboxamide (H2L9). The crystal structure of the last compound is also described.
Results and Discussion
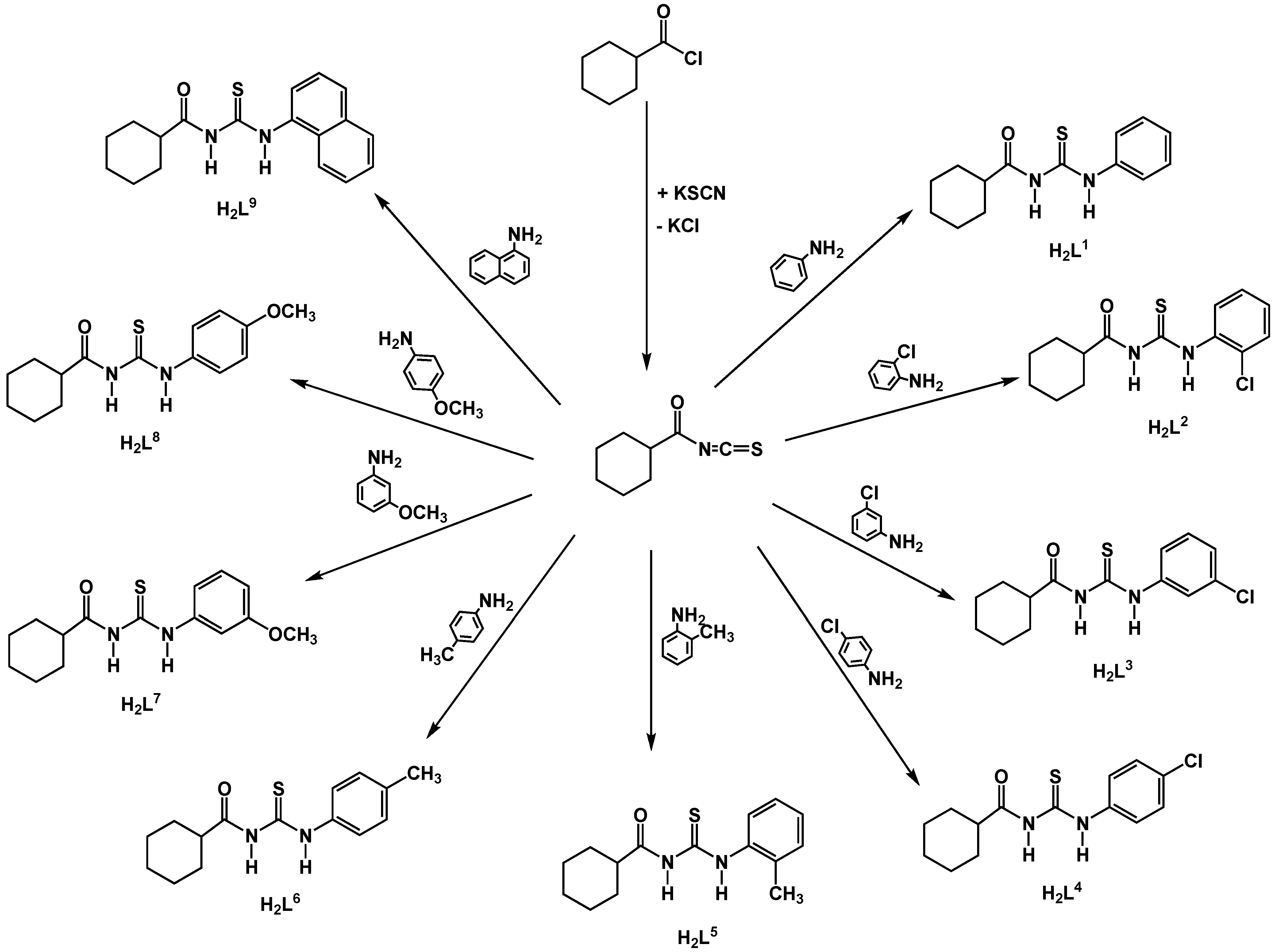
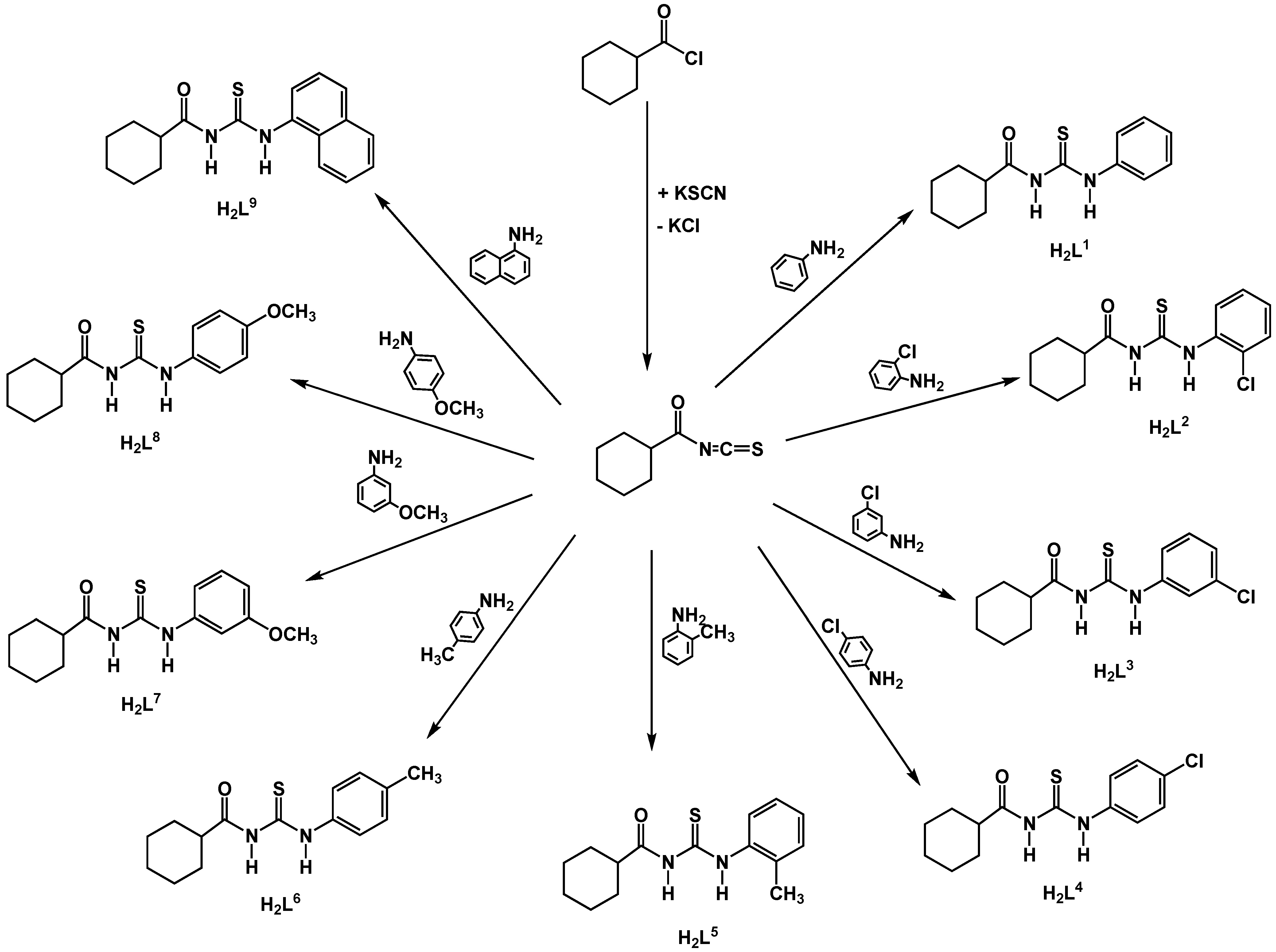
The synthesis of intermediate and target compounds were performed as illustrated in Figure 1. The derivatives were synthesized in excellent yields following the method described by Douglass and Dains [33], which involved the reaction of a cyclohexanecarbonyl chloride with potassium thiocyanate in acetone followed by condensation of the resulting cyclohexanecarbonyl isothiocyanate with the appropriate primary amine. All spectroscopic methods and elemental analyses confirm the proposed structures of the new compounds.
The characteristic IR bands of the synthesized compounds are presented in the Experimental section. The compounds showed two peaks in the 3256-3227 cm-1 and 3215-3134 cm-1 regions due to the N-H stretching vibrations. This difference between the νNH stretching vibration frequencies is due to an intramolecular hydrogen bond (X-ray single crystal diffraction data), whereby the carbonyl group is connected to the imine group. Compounds showed a single peak in the 1690-1682 cm-1 region, which was due to the C=O stretching vibration. A strong band in the 1252-1238 cm-1 region is assigned as the thiocarbonyl group stretching vibration band. These results agree with the literature data [1,2,3,4,5,25,26,33,34,35].
Figure 1.
Syntheses of the compounds.
Figure 1.
Syntheses of the compounds.

The 1H-NMR data of the compounds are presented in the Experimental section. The 1H-NMR spectra of the compounds are consistent with the structural results. We discuss only the N-H signal of the investigated compounds. The two N-H signals for the compounds are observed in the 12.15-12.62 ppm region and in the 8.76-9.21 ppm range. Because of the formation of an intramolecular hydrogen bond, the imine group proton participating in the hydrogen bond appears at low field [34]. The other imine proton appears at high field. This data agrees with the results of Li et al. and Mansuroglu et al. [26,35]. All of these data agree with FT-IR ATR and X-ray single crystal diffraction results.
The structure of N-(naphthalen-1-ylcarbamothioyl)cyclohexanecarboxamide was confirmed by the result of a single crystal X-ray structure determination. Experimental details for data collection and structure refinement are summarized in Table 1. An ORTEP diagram of the molecular structure of H2L9 in the crystal form with the corresponding atom numbering scheme is shown in Figure 2. Selected bond lengths and angles can be found in Table 2. The bond lengths of the carbonyl (C12-O1 = 1.218(5) Å) and thiocarbonyl (C11-S1 = 1.670(4) Å) groups of the N-(naphthalen-1-ylcarbamothioyl)-cyclohexane carboxamide have typical double-bond character [36,37,38,39,40]. However, the C-N bond lengths for the investigated compound are all shorter than the average single C-N bond length of 1.48 Å, being C12-N1 = 1.388(5) Å, C11-N1= 1.378(5) Å, C11-N2 = 1.340(6) Å, thus showing varying degrees of double bond character [22,39,40,41,42,43,44]. These results are in agreement with the expected delocalization in N-(naphthalen-1-ylcarbamothioyl)cyclohexanecarboxamide and confirmed by C11-N1-C12 = 129.7(4)o and C11-N2-C1 = 122.1(4)o angles showing an sp2 hybridization on the N1 and N2 atoms. As presented in Figure 2, the molecule maintains its cis-trans configuration with respect to the position of the naphthalene and cyclohexane groups relative to the thiocarbonyl sulfur atom across the N1-C11 and N2-C11 bonds, respectively [42,43,44].
Table 1.
Summary of crystallographic data and parameters of N-(naphthalen-1-ylcarbamothioyl)cyclohexanecarboxamide.
| Empirical formula | C18H20N2OS |
| Formula weight | 312.42 |
| Temperature (K) | 153(2) |
| Wavelength (Å) | 0.71073 |
| Crystal system | Triclinic |
| Space group | Pī |
| Unit cell dimensions | |
| a (Å) | 6.9921(14) |
| b (Å) | 11.002(2) |
| c (Å) | 12.381(3) |
| α (°) | 113.28(3) |
| β (°) | 99.38(3) |
| γ (°) | 101.85(3) |
| V (Å3) | 824.1(3) |
| Z | 2 |
| Dc (Mg/m3) | 1.259 |
| Absorption coefficient (mm-1) | 0.200 |
| F(000) | 332 |
| Crystal size (mm3) | 0.29 x 0.24 x 0.14 |
| θ range for data collection (°) | 3.37 to 25.05 |
| Index ranges | -8 ≤ h ≤ 8 |
| -10 ≤ k ≤ 13 | |
| -14 ≤ l ≤ 14 | |
| Reflections collected | 5439 |
| Independent reflections (Rint) | 2841 (0.0261) |
| Absorption correction | Semi-empirical from equivalents |
| Refinement method | Full-matrix least-squares on F2 |
| Data / parameters | 2841 / 199 |
| Goodness-of-fit on F2 | 1.104 |
| Final R indices [I>2σ(I)] | R1 = 0.0884, wR2 = 0.2414 |
| R indices (all data) | R1 = 0.1236, wR2 = 0.2990 |
| Largest diff. peak and hole (e.Å-3) | 1.208 and -0.578 |
Figure 2.
Molecular structure of H2L9. Thermal ellipsoids are shown at the 50% probability level.
Figure 2.
Molecular structure of H2L9. Thermal ellipsoids are shown at the 50% probability level.

Table 2.
Selected bond lengths (Å) and angles (o).
| Bond lengths | ||||
| O1-C12 | 1.218(5) | N2-C11 | 1.340(6) | |
| S1-C11 | 1.670(4) | N2-C1 | 1.466(6) | |
| N1-C12 | 1.388(5) | C12-C13 | 1.504(6) | |
| N1-C11 | 1.378(5) | |||
| Bond angles | ||||
| C12-N1-C11 | 129.7(4) | N1-C11-S1 | 119.8(3) | |
| C11-N2-C1 | 122.1(4) | O1-C12-N1 | 121.7(4) | |
| N1-C11-N2 | 116.3(4) | O1-C12-C13 | 124.2(4) | |
| N2-C11-S1 | 123.8(3) | N1-C12-C13 | 114.0(3) |
The conformation of the H2L9 molecule with respect to the thiocarbonyl and carbonyl moieties is twisted, as reflected by the torsion angles O1-C12-N1-C11, C12-N1-C11-N2, and S1-C11-N1-C12 of -1.23o, 6.42o and 176.83o, respectively. The O1-C12-N1-C11-N2 plane has a maximum deviation of 0.038(4) Å for C11 atom. However, the central carbonyl thiourea moiety (S1-C11-N2-N1-C12-O1) connecting the naphthalene and cyclohexane groups is almost planar, with the O1 atom deviating by 0.047(4) Å. In addition, the naphthalene rings are essentially planar. The cyclohexane ring exhibits a puckered conformation, with puckering parameters [45], q2 = 0.014(6) Å, q3 = -0.572(6) Å, QT = 0.571(6) Å, θ = 180.0(6)o and ϕ = 192(23)o. The largest deviations from the mean plane are 0.241(5) Å for atom C13 and 0.225(6) Å for atom C16. This ring puckering analysis shows that the cyclohexane ring has a chair conformation, with equatorial substitution at C13 for C12. In the crystal structure, the molecules are packed as dimers, via intermolecular contacts N1-H1•••S1i, with N-H 0.91 Å, H-S 2.48 Å, N-H•••S 172o and N2-H2•••O1ii, with N-H 0.91 Å, H-O 2.48 Å, N-H•••O 139o symmetry code: (i) -3-x, 1-y, -1-z; (ii) -3-x, -y, -1-z as shown in Figure 3. The intramolecular hydrogen bonding N2-H2•••O1 maintains the six-membered ring formation of the O1-C12-N1-C11-N2 plane; N2-H2•••O1 with N-H 0.91 Å, H•••O 1.98 Å, N-H•••O 132o (Figure 3). The bond distances and angles observed in the H2L9 molecule is consistent with those reported for the other similar thiourea derivative [25]. It appears that this intramolecular hydrogen bonding is also present in the solution state. We base this conclusion on both the IR and NMR evidence cited above and the coordination behavior of the investigated compound. These thiourea derivatives have one imine group like N,N-dialkyl-N’-benzoylthioureas [1,2,3,4,5]. These compounds easily coordinate to a metal atom via both sulfur and oxygen atoms. However, for the title type thiourea compounds [R(Ar)-CO-NH-CS-NH-R(Ar)] we observe that the carbonyl oxygen atom of the thiourea derivatives does not participate in the coordination with transition metal atoms because of the strong N-H•••O intramolecular hydrogen bond [26].
Figure 3.
Packing diagram for H2L9 with hydrogen bonds as dotted lines [46].
Figure 3.
Packing diagram for H2L9 with hydrogen bonds as dotted lines [46].

Experimental
General
All chemicals used for the preparation of the compounds were of reagent grade quality. The room temperature attenuated total reflection Fourier transform infrared (FT-IR ATR) spectra of the all synthesized compounds were registered using a Varian FTS1000 FT-IR spectrometer with a Diamond/ZnSe prism (4000–525 cm−1; number of scans: 250; resolution: 1 cm−1). All 1H-NMR spectra were recorded on a Bruker DPX-400 spectrometer, using CDCl3 as the solvent and TMS as an internal standard. C, H and N analyses were carried out on a Carlo Erba MOD 1106 elemental analyzer. Single crystal X-ray data were collected on a Rigaku Mercury AFC8S system with a Mercury CCD detector using graphite-monochromated MoKα radiation (λ = 0.71073 Å). The structure was solved by direct methods and refined by using full-matrix least-squares techniques (on F2) [47]. Data were corrected for Lorentz and polarization effects and for absorption. The latter correction was made using REQABA, a multi-scan technique [48]. All non-hydrogen atoms were refined anisotropically. Further details concerning data collection and refinement are given in Table 1.
Synthesis of the compounds
The compounds were prepared by a procedure similar to that reported in the literature [1,2,3,4,5,22]. A solution of cyclohexanecarbonyl chloride (0.005 mole) in acetone (50 mL) was added dropwise to a suspension of potassium thiocyanate (0.005 mole) in acetone (50 mL). The reaction mixture was heated under reflux for 30 min, and then cooled to room temperature. A solution of the appropriate primary amine (0.005 mole) (2-chlorobenzenamine, 3-chlorobenzenamine, 4-chlorobenzenamine, o-toluidine, p-toluidine, 3-methoxybenzenamine, 4-methoxybenzenamine, and naphthalen-1-amine) in acetone (30 mL) was added to the mixture for 15 min at room temperature and stirred for 2 h. Hydrochloric acid (0.1 N, 300 mL) was added and the solution was filtered. The solid product was washed with water and purified by recrystallization from an ethanol-dichloromethane mixture (1:2).
N-(phenylcarbamothioyl)cyclohexanecarboxamide (H2L1): White. Yield: 91 %. M.p.: 162-164 oC. Anal. calcd. for C14H18N2OS: C 64.1; H 6.9; N 10.7. Found: C 64.3; H 7.0; N 10.6 %. FT-IR (cm-1): ν(NH) 3244, 3151 (m), ν(Ar-CH) 3065, 3034 (w), ν(CH) 2933, 2859 (s), ν(C=O) 1686 (s), ν(C=S) 1246 (s). 1H-NMR: δ 12.48 (s, 1H, CSNH), 8.97 (s, 1H, CONH), 7.67 (d, 2H, Ar-H), 7.42 (t, 2H, Ar-H), 7.28 (t, 1H, Ar-H), 2.30 (tt, J = 10.1, 3.2, 1H, CH, cyclohexane:Ch), 1.99 (d, J = 2.1, 1H, CH, Ch), 1.94 (d, J = 2.0, 1H, CH, Ch), 1.88 (m, 1H, CH, Ch), 1.84 (t, J = 1.9, 1H, CH, Ch), 1.73 (m, 2H, CH, Ch), 1.52 (m, 2H, CH, Ch), 1.31 (m, 2H, CH, Ch).
N-(2-chlorophenylcarbamothioyl)cyclohexanecarboxamide (H2L2): White. Yield: 93 %. M.p.: 136-138 oC. Anal. calcd. for C14H17N2OSCI: C 56.7; H 5.8; N 9.4. Found: C 55.9; H 5.7; N 9.6 %. FT-IR (cm-1): ν(NH) 3227, 3197 (m), ν(Ar-CH) 3097, 3035, 2995 (vw), ν(CH) 2937, 2926, 2854 (m), ν(C=O) 1686 (s), ν(C=S) 1246 (s). 1H-NMR: δ 12.60 (s, 1H, CSNH), 8.76 (s, 1H, CONH), 7.49 (d, 1H, Ar-H), 7.46 (d, 1H, Ar-H), 7.34 (td, 1H, Ar-H), 7.23 (td, 1H, Ar-H), 2.29 (tt, J = 10.3, 3.6, 1H, CH, Ch), 2.01 (d, J = 2.3, 1H, CH, Ch), 1.97 (d, J = 2.2, 1H, CH, Ch), 1.89 (t, J = 2.1, 1H, CH, Ch), 1.85 (m, 1H, CH, Ch), 1.73 (m, 2H, CH, Ch), 1.55 (m, 2H, CH, Ch), 1.31 (m, 2H, CH, Ch).
N-(3-chlorophenylcarbamothioyl)cyclohexanecarboxamide (H2L3): White. Yield: 89 %. M.p.: 163-165 oC. Anal. calcd. for C14H17N2OSCI: C 56.7; H 5.8; N 9.4. Found: C 57.6; H 5.8; N 9.5 %. FT-IR (cm−1): ν(NH) 3242, 3134 (m), ν(Ar-CH) 3064, 3026 (vw), ν(CH) 2937, 2929, 2852 (m), ν(C=O) 1688 (vs), ν(C=S) 1240 (s). 1H-NMR: δ 12.56 (s, 1H, CSNH), 9.07 (s, 1H, CONH), 7.82 (t, 1H, Ar-H), 7.53 (dt, 1H, Ar-H), 7.34 (t, 1H, Ar-H), 7.25 (dt, 1H, Ar-H), 2.30 (tt, J = 10.7, 3.8, 1H, CH, Ch), 1.97 (d, J = 2.4, 1H, CH, Ch), 1.93 (d, J = 2.2, 1H, CH, Ch), 1.87 (t, J = 2.2, 1H, CH, Ch), 1.83 (m, 1H, CH, Ch), 1.74 (m, 2H, CH, Ch), 1.51 (m, 2H, CH, Ch), 1.31 (m, 2H, CH, Ch).
N-(4-chlorophenylcarbamothioyl)cyclohexanecarboxamide (H2L4): White. Yield: 86 %. M.p.: 184-186 oC. Anal. calcd. for C14H17N2OSCI: C 56.7; H 5.8; N 9.4. Found: C 56.6; H 5.9; N 9.6 %. FT-IR (cm−1): ν(NH) 3254, 3153 (m), ν(Ar-CH) 3066, 3034 (w), ν(CH) 2941, 2924, 2858 (m), ν(C=O) 1686 (vs), ν(C=S) 1252 (s). 1H-NMR: δ 12.51 (s, 1H, CSNH), 9.01 (s, 1H, CONH), 7.63 (d, 2H, Ar-H), 7.38 (d, 2H, Ar-H), 2.29 (tt, J = 10.4, 3.5, 1H, CH, Ch), 1.97 (s, 1H, CH, Ch), 1.93 (s, 1H, CH, Ch), 1.87 (d, J = 2.1, 1H, CH, Ch), 1.84 (d, J = 2.3, 1H, CH, Ch), 1.75 (m, 2H, CH, Ch), 1.51 (m, 2H, CH, Ch), 1.30 (m, 2H, CH, Ch).
N-(o-tolylcarbamothioyl)cyclohexanecarboxamide (H2L5): White. Yield: 91 %. M.p.: 148-150 oC. Anal. calcd. for C15H20N2OS: C 65.2; H 7.3; N 10.1. Found: C 65.8; H 7.4; N 10.3 %. FT-IR (cm-1): ν(NH) 3236, 3165 (m), ν(Ar-CH) 3065, 3028 (w), ν(CH) 2932, 2853 (m), ν(C=O) 1686 (s), ν(C=S) 1246 (m). 1H-NMR: δ 12.15 (s, 1H, CSNH), 9.16 (s, 1H, CONH), 7.72 (dd, 1H, Ar-H), 7.31-7.22 (m, 3H, Ar-H), 2.34 (s, 3H, Ar-CH3), 2.32 (tt, J = 10.3, 3.3, 1H, CH, Ch), 2.00 (d, J = 2.4, 1H, CH, Ch), 1.95 (s, 1H, CH, Ch), 1.87 (m, 1H, CH, Ch), 1.83 (m, 1H, CH, Ch), 1.74 (m, 2H, CH, Ch), 1.52 (m, 2H, CH, Ch), 1.30 (m, 2H, CH, Ch).
N-(p-tolylcarbamothioyl)cyclohexanecarboxamide (H2L6): White. Yield: 90 %. M.p.: 176-178 oC. Anal. calcd. for C15H20N2OS: C 65.2; H 7.3; N 10.1. Found: C 66.0; H 7.3; N 10.3 %. FT-IR (cm-1): ν(NH) 3240, 3172 (m), ν(Ar-CH) 3034 (w), ν(CH) 2932, 2859 (m), ν(C=O) 1686 (s), ν(C=S) 1250 (s). 1H-NMR: δ 12.38 (s, 1H, CSNH), 8.98 (s, 1H, CONH), 7.52 (d, 2H, Ar-H), 7.22 (d, 2H, Ar-H), 2.38 (s, 3H, Ar-CH3), 2.29 (tt, J = 10.2, 3.7, 1H, CH, Ch), 1.98 (s, 1H, CH, Ch), 1.94 (s, 1H, CH, Ch), 1.87 (m, 1H, CH, Ch), 1.83 (m, 1H, CH, Ch), 1.74 (m, 2H, CH, Ch), 1.51 (m, 2H, CH, Ch), 1.31 (m, 2H, CH, Ch).
N-(3-methoxyphenylcarbamothioyl)cyclohexanecarboxamide (H2L7): White. Yield: 93 %. M.p.: 94-96 oC. Anal. calcd. for C15H20N2O2S: C 61.6; H 6.9; N 9.6. Found: C 62.5; H 6.8; N 9.6 %. FT-IR (cm-1): ν(NH) 3256, 3215 (m), ν(Ar-CH) 3034, 3005 (w), ν(CH) 2943, 2939, 2916, 2862, 2849, 2841 (m), ν(C=O) 1690 (s), ν(C=S) 1246 (s). 1H-NMR: δ 12.53 (s, 1H, CSNH), 9.08 (s, 1H, CONH), 7.44 (t, 1H, Ar-H), 7.30 (d, 1H, Ar-H), 7.18 (dd, 1H, Ar-H), 6.83 (dd, 1H, Ar-H), 3.83 (s, 3H, OCH3), 2.30 (tt, J = 10.3, 3.2, 1H, CH, Ch), 1.98 (d, J = 2.5, 1H, CH, Ch), 1.93 (d, J = 2.4, 1H, CH, Ch), 1.86 (m, 1H, CH, Ch), 1.83 (m, 1H, CH, Ch), 1.73 (m, 2H, CH, Ch), 1.51 (m, 2H, CH, Ch), 1.30 (m, 2H, CH, Ch).
N-(4-methoxyphenylcarbamothioyl)cyclohexanecarboxamide (H2L8): White. Yield: 94 %. M.p.: 167-169 oC. Anal. calcd. for C15H20N2O2S: C 61.6; H 6.9; N 9.6. Found: C 61.3; H 6.8; N 9.4 %. FT-IR (cm-1): ν(NH) 3236, 3202 (m), ν(Ar-CH) 3041, 3013 (w), ν(CH) 2934, 2928, 2850, 2843 (m), ν(C=O) 1686 (s), ν(C=S) 1238 (s). 1H-NMR: δ 12.29 (s, 1H, CSNH), 8.93 (s, 1H, CONH), 7.53 (dt, 2H, Ar-H), 6.94 (dt, 2H, Ar-H), 3.84 (s, 3H, OCH3), 2.28 (tt, J = 10.4, 3.4, 1H, CH, Ch), 1.98 (d, J = 2.4, 1H, CH, Ch), 1.93 (d, J = 2.4, 1H, CH, Ch), 1.87 (m, 1H, CH, Ch), 1.83 (m, 1H, CH, Ch), 1.74 (m, 2H, CH, Ch), 1.51 (m, 2H, CH, Ch), 1.30 (m, 2H, CH, Ch).
N-(naphthalen-1-ylcarbamothioyl)cyclohexanecarboxamide (H2L9): White. Yield: 92 %. M.p.: 176-178 oC. Anal. calcd. for C18H20N2OS: C 69.2; H 6.5; N 9.0. Found: C 69.9; H 6.4; N 8.9 %. FT-IR (cm-1): ν(NH) 3233, 3169 (m), ν(Ar-CH) 3051, 3030 (w), ν(CH) 2932, 2922, 2852 (m), ν(C=O) 1682 (s), ν(C=S) 1242 (m). 1H-NMR: δ 12.62 (s, 1H, CSNH), 9.21 (s, 1H, CONH), 7.98-7.81 (m, 4H, Ar-H), 7.58-7.48 (m, 3H, Ar-H), 2.30 (tt, J = 10.2, 3.3, 1H, CH, Ch), 1.98 (s, 1H, CH, Ch), 1.94 (s, 1H, CH, Ch), 1.83 (d, J = 2.3, 1H, CH, Ch), 1.79 (d, J = 2.2, 1H, CH, Ch), 1.69 (m, 2H, CH, Ch), 1.52 (m, 2H, CH, Ch), 1.25 (m, 2H, CH, Ch).
Supplementary material
Crystallographic data for the structure reported in this paper have been deposited at the Cambridge Crystallographic Data Centre (CCDC) with quotation number CCDC-675756 for H2L9 and can be obtained free of charge on application to CCDC 12 Union Road, Cambridge CB2 1EZ, UK Fax: (internat.) + 44(1223)336-033, E-mail: deposit@ccdc.cam.ac.uk.
Acknowledgements
Support for this research was provided by grant P20 MD001089 and S06 GM078246-01 from the USA National Institution of Health, NCMHD, and Department of Health and Human Services and by grant BAP.ECZ.F.TB.(HA).2007-1 from Mersin University Research Fund.
References
- Arslan, H.; Kulcu, N.; Florke, U. Synthesis and characterization of copper(II), nickel(II) and cobalt(II) complexes with novel thiourea derivatives. Trans. Metal Chem. 2003, 28, 816–819. [Google Scholar] [CrossRef]
- Binzet, G.; Arslan, H.; Florke, U.; Kulcu, N.; Duran, N. Synthesis, characterization and antimicrobial activities of transition metal complexes of N,N-dialkyl-N'-(2-chlorobenzoyl)thiourea derivatives. J. Coord. Chem. 2006, 59, 1395–1406. [Google Scholar] [CrossRef]
- Ugur, D.; Arslan, H.; Kulcu, N. Synthesis, characterization and thermal behavior of 1,1-dialkyl-3-(4-(3,3-dialkylthioureidocarbonyl)benzoyl)thiourea and its Cu(II), Ni(II), and Co(II) complexes. Russ. J. Coord. Chem. 2006, 32, 669–675. [Google Scholar] [CrossRef]
- Emen, M.F.; Arslan, H.; Kulcu, N.; Florke, U.; Duran, N. Synthesis, characterization and antimicrobial activities of some metal complexes with N '-(2-chloro-benzoyl)thiourea ligands: The crystal structure of fac-[CoL3] and cis-[PdL2]. Pol. J. Chem. 2005, 79, 1615–1626. [Google Scholar]
- Mansuroglu, D.S.; Arslan, H.; Florke, U.; Kulcu, N. Synthesis and characterization of nickel and copper complexes with 2,2-diphenyl-N-(alkyl(aryl)carbamothioyl)acetamide: The crystal structures of HL1 and cis-[Ni(L-1)(2)]. J. Coord. Chem. 2008, 61, 3134–3146. [Google Scholar]
- Habtu, M.M.; Bourne, S.A.; Koch, K.R.; Luckay, R.C. Competitive bulk liquid membrane transport and solvent extraction of some transition and post-transition metal ions using acylthiourea ligands as ionophores. New J. Chem. 2006, 30, 1155–1162. [Google Scholar] [CrossRef]
- Berhe, H.G.; Bourne, S.A.; Bredenkamp, M.W.; Esterhuysen, C.; Habtu, M.M.; Koch, K.R.; Luckay, R.C. High and selective Ag(I) bulk liquid membrane transport with N,N-diethyl-N '-camphanyl thiourea and structure of the complex. Inorg. Chem. Commun. 2006, 9, 99–102. [Google Scholar] [CrossRef]
- Henderson, W.; Nicholson, B.K.; Dinger, M.B.; Bennett, R.L. Thiourea monoanion and dianion complexes of rhodium(III) and ruthenium(II). Inorg. Chim. Acta 2002, 338, 210–218. [Google Scholar]
- Sacht, C.; Datt, M. S.; Otto, S.; Roodt, A. Synthesis, characterisation and coordination chemistry of novel chiral N,N-dialkyl-N-menthyloxycarbonylthioureas. Crystal and molecular structures of N,N-diethyl-N-(-)-(3R)-menthyloxycarbonylthiourea and cis-(S,S)-[Pt(L)Cl(DMSO)] [where HL = N-(+)-(3R)-menthyloxycarbonyl-N'-morpholinothiourea or N-benzoyl-N',N'-diethylthiourea]. J. Chem. Soc.-Dalton Trans. 2000, 24, 4579–4586. [Google Scholar] [CrossRef]
- Henderson, W.; Kemmitt, R.D.W.; Mason, S.; Moore, M.R.; Fawcett, J.; Russell, D.R. Thiadiazatrimethylenemethane and N,N',P-Triphenylphosphonothioic Diamide Complexes of Platinum(Ii). J. Chem. Soc.-Dalton Trans. 1992, 1, 59–66. [Google Scholar]
- Kemp, G.; Roodt, A.; Purcell, W.; Koch, K.R. Unprecedented N,S,O co-ordination of the doubly deprotonated anion of N-benzoyl-N '-phenylthiourea (H2L2) bridging two rhodium(I) centres: crystal structure of the acetone solvate of [(PPh3)(2)(CO)Rh(mu-L-2-kappa N ':kappa O,S)Rh(PPh3)(CO)]. J. Chem. Soc.-Dalton Trans. 1997, 23, 4481–4483. [Google Scholar]
- Koch, K.R.; Sacht, C.; Grimmbacher, T.; Bourne, S. New ligands for the platinum-group metals: Deceptively simple coordination chemistry of N-acyl-N'-alkyl- and N-acyl-N',N'-dialkyl-thioureas. S. Afr. J. Chem. 1995, 48, 71–77. [Google Scholar]
- Yuan, Y.F.; Wang, J.T.; Gimeno, M.C.; Laguna, A.; Jones, P.G. Synthesis and characterisation of copper complexes with N-ferrocenoyl-N '(alkyl)thioureas. Inorg. Chim. Acta 2001, 324, 309–317. [Google Scholar] [CrossRef]
- Zhang, Y.M.; Wei, T.B.; Xian, L.; Gao, L.M. An efficient synthesis of polymethylene-bis-aroyl thiourea derivatives under the condition of phase-transfer catalysis. Phosphorus, Sulfur Silicon Relat. Elem. 2004, 179, 2007–2013. [Google Scholar]
- Zhang, Y.M.; Wei, T.B.; Wang, X.C.; Yang, S.Y. Synthesis and biological activity of N-aroyl-N '-carboxyalkyl thiourea derivatives. Indian J. Chem., Sect. B 1998, 37, 604–606. [Google Scholar]
- Neucki, E. Zur Kenntniss des Sulfoharnstoffs. Ber. Dtsch. Chem. Ges. 1873, 6, 598–600. [Google Scholar]
- Schuster, M. The Chromatography of Metal-Chelates .16. Tlc of "N,N-Dialkyl-N'-Thiobenzoyl-Thiourea Chelates. Fresenius Z. Anal. Chem. 1986, 324, 127–129. [Google Scholar] [CrossRef]
- Konig, K.H.; Schuster, M.; Schneeweis, G.; Steinbrech, B. On the Chromatography of Metal-Chelates.14. Thin-Layer-Chromatography of N,N-Dialkyl-N'-Benzoylthiourea-Chelates. Fresenius Z. Anal. Chem. 1984, 319, 66–69. [Google Scholar] [CrossRef]
- Schuster, M.; Kugler, B.; Konig, K.H. The Chromatography of Metal-Chelates. 19. Influence of the Acyl Substituents on the Chromatographic Properties of Acylthiourea Chelates. Fresenius J. Anal. Chem. 1990, 338, 717–720. [Google Scholar] [CrossRef]
- Konig, K.H.; Schuster, M.; Steinbrech, B.; Schneeweis, G.; Schlodder, R. N,N-Dialkyl-N'-Benzoylthioureas as Reagents for Selective Extractions to Separate and Enrich Platinum-Group Metals. Fresenius Z. Anal. Chem. 1985, 321, 457–460. [Google Scholar] [CrossRef]
- Arslan, H.; Duran, N.; Sahin, N. O.; Kulcu, N. Thermal behaviour and antimicrobial activity of novel series of benzoylthiourea derivatives. Asian J. Chem. 2006, 18, 1710–1718. [Google Scholar]
- Arslan, H.; Florke, U.; Kulcu, N. Synthesis, characterization, and crystal structure of 1-(4-chloro-benzoyl)-3-naphthalen-1-yl-thiourea. J. Chem. Crystall. 2003, 33, 919–924. [Google Scholar] [CrossRef]
- Venkatachalam, T.K.; Mao, C.; Uckun, F.M. Effect of stereochemistry on the anti-HIV activity of chiral thiourea compounds. Bioorg. Med. Chem. 2004, 12, 4275–4284. [Google Scholar] [CrossRef]
- Sun, C.W.; Huang, H.; Feng, M.; Shi, X.L.; Zhang, X.D.; Zhou, P. A novel class of potent influenza virus inhibitors: Polysubstituted acylthiourea and its fused heterocycle derivatives. Bioorg. Med. Chem. Lett. 2006, 16, 162–166. [Google Scholar] [CrossRef]
- Ozer, C.K.; Arslan, H.; Vanderveer, D.; Binzet, G. Synthesis and characterization of N-(alky(aryl)carbamothioyl)cyclohexanecarboxamide derivatives and their Ni(II) and Cu(II) complexes. J. Coord. Chem. 2009, 62, 266–276. [Google Scholar] [CrossRef]
- Mansuroglu, D.S.; Arslan, H.; VanDerveer, D.; Binzet, G. Synthesis and Characterization of N-(2,2-Diphenylacetyl) N'-Substituted Thiourea Derivatives: The Crystal Structure of N-(2,2-Diphenylacetyl)-N'-(4-chloro phenyl)-thiourea. Phosphorus, Sulfur Silicon Relat. Elem. 2009. Submitted.. [Google Scholar]
- Arslan, H.; Duran, N.; Borekci, G.; Koray Ozer, C.; Akbay, C. Antimicrobial Activity of Some Thiourea Derivatives and Their Nickel and Copper Complexes. Molecules 2009, 14, 519–527. [Google Scholar] [CrossRef]
- Binzet, G.; Emen, F.M.; Florke, U.; Yesilkaynak, T.; Kulcu, N.; Arslan, H. 4-Chloro-N-[N-(6-methyl-2-pyridyl)-carbamothioyl]benzamide. Acta Cryst. E 2009, 65, O81–O82. [Google Scholar] [CrossRef]
- Binzet, G.; Florke, U.; Kulcu, N.; Arslan, H. 3-Chloro-N-(diphenylcarbamothioyl)benzamide. Acta Cryst. E 2009, 65, O351–O352. [Google Scholar] [CrossRef]
- Binzet, G.; Florke, U.; Kulcu, N.; Arslan, H. N-(Diphenylcarbamothioyl)-3-methylbenzamide. Acta Cryst. E 2009, 65, O378–O379. [Google Scholar] [CrossRef]
- Binzet, G.; Florke, U.; Kulcu, N.; Arslan, H. 4-Bromo-N-(diethylcarbamothioyl)benzamide. Acta Cryst. E 2009, 65, O427–O428. [Google Scholar] [CrossRef]
- Binzet, G.; Florke, U.; Kulcu, N.; Arslan, H. 4-Bromo-N-(di-n-propylcarbamothioyl)benzamide. Acta Cryst. E 2009, 65, O452–O453. [Google Scholar] [CrossRef]
- Douglass, I.B.; Dains, F.B. Some Derivatives of Benzoyl and Furoyl Isothiocyanates and their Use in Synthesizing Heterocyclic Compounds. J. Am. Chem. Soc. 1934, 56, 719–721. [Google Scholar] [CrossRef]
- Su, B.Q.; Liu, G.L.; Sheng, L.; Wang, X.Q.; Xian, L. Synthesis and structure of N-ethoxycarbonyl-N '-O-methoxyphenylthiourea. Phosphorus, Sulfur Silicon Relat. Elem. 2006, 181, 745–750. [Google Scholar] [CrossRef]
- Li, Z.H.; Zhang, Y.; Wang, Y.A. Synthesis and characterization of N-benzoyl-N '-carboxyalkyl substituted thiourea derivatives. Phosphorus, Sulfur Silicon Relat. Elem. 2003, 178, 293–297. [Google Scholar] [CrossRef]
- Arslan, H.; Kulcu, N.; Florke, U. Normal coordinate analysis and crystal structure of N,N-dimethyl-N '-(2-chloro-benzoyl)thiourea. Spectrochim. Acta, Part A 2006, 64, 1065–1071. [Google Scholar] [CrossRef]
- Arslan, H.; Florke, U.; Kulcu, N.; Kayhan, E. Synthesis, characterization, crystal structure and thermal behavior of N '-(4-chlorobenzoyl)-N,N-di-n-butylthiourea and its nickel complex. Turk. J. Chem. 2006, 30, 429–440. [Google Scholar]
- Yesilkaynak, T.; Florke, U.; Kulcu, N.; Arslan, H. 1-Benzoyl-3-(4-methylpyridin-2-yl)thiourea. Acta Cryst. E 2006, 62, O3934–O3935. [Google Scholar] [CrossRef]
- Arslan, H.; Florke, U.; Kulcu, N. The crystal and molecular structure of 1-(2-chloro-benzoyl)-3-p-tolyl-thiourea. Turk. J. Chem. 2004, 28, 673–678. [Google Scholar]
- Arslan, H.; Florke, U.; Kulcu, N. The crystal and molecular structure of 1-(biphenyl-4-carbonyl)-3-p-tolyl-thiourea. Acta Chim. Slov. 2004, 51, 787–792. [Google Scholar]
- Shen, X.; Shi, X.; Kang, B.; Tong, Y.; Liu, Y.; Gu, L.; Liu, Q.; Huang, Y. Preparation and crystal structure of a new Cu (II) complex derived from the desulfurization of N-(p-nitrophenyl)-N′-ethoxycarbonyl-thiourea. Polyhedron 1998, 18, 33–37. [Google Scholar] [CrossRef]
- Yamin, B.M.; Yusof, M.S.M. N-Benzoyl-N '-phenylthiourea. Acta Cryst. E 2003, 59, O151–O152. [Google Scholar] [CrossRef]
- Yusof, M.S.M.; Asroh, F.S.M.; Kadir, M.A.; Yamin, B.M. N-(3-Methylbutyryl)-N'-phenylthiourea. Acta Cryst. E 2007, 63, o1190–o1191. [Google Scholar]
- Rauf, M.K.; Badshah, A.; Bolte, M. 3-(3-Methoxyphenyl)-1-(2-methylbenzoyl)thiourea. Acta Cryst. E 2007, 63, O1676–O1678. [Google Scholar] [CrossRef]
- Cremer, D.; Pople, J.A. General definition of ring puckering coordinates. J. Am. Chem. Soc. 1975, 97, 354–1358. [Google Scholar]
- Macrae, C.F.; Edgington, P.R.; McCabe, P.; Pidcock, E.; Shields, G.P.; Taylor, R.; Towler, M.; van De Streek, J. Mercury: visualization and analysis of crystal structures. J. Appl. Crystall. 2006, 39, 453–457. [Google Scholar] [CrossRef]
- Sheldrick, G.M. SHELXTL. Version 6.10.; Bruker AXS Inc.: Madison, WI, USA, 2000. [Google Scholar]
- Jacobson, R.A. REQABA: Empirical Absorption Correction Version 1.1.; Rigaku/Molecular Structure Corporation: The Woodlands, TX, USA, 1998. [Google Scholar]
- Sample Availability: Samples of the compounds are available from the authors.
© 2009 by the authors; licensee Molecular Diversity Preservation International, Basel, Switzerland. This article is an open-access article distributed under the terms and conditions of the Creative Commons Attribution license ( http://creativecommons.org/licenses/by/3.0/).