Abstract
A variety of 4-(un)substituted phenylcarbamoyl methyl ester-containing compounds 3a-d, 5a-d and 7a-d were synthesized via reaction in N,N-dimethylformamide of (un)substituted chloroacetanilides 2a-d with the potassium salts of ibuprofen (1), naproxen (4) and N-acetylanthranilic acid (6). Moreover, other 4-(un)substituted phenylcarbamoylmethyl ester-containing compounds 10a-d were synthesized via the attack of (un)substituted chloroacetanilides 2a-d on one of the carboxylic acid groups of the potassium salt of 4-(2-carboxyethylcarboxamido)benzoic acid (8) in N,N-dimethylformamide, with subsequent cyclization of the other one giving finally a pyrrolidinone structure. Anti-inflammatory properties of the synthesized compounds were evaluated in vivo utilizing a standard acute carrageenan-induced paw oedema method in rats and the most promising prepared anti-inflammatory active agents were evaluated for ulcerogenic liability in rats using ibuprofen and naproxen as reference standards in both screenings. PGE2 inhibitory properties of the highly promising anti-inflammatory agents synthesized and low gastric ulcerogenic liabilities were tested with a PGE2 assay kit technique.
Introduction
Non-steroidal anti-inflammatory drugs (NSAIDs) are widely used in the treatment of pain and inflammation. Most currently used NSAIDs suffer from limitations in their therapeutic uses, since they cause gastrointestinal and renal side effects, which are inseparable from their pharmacological activities. These compounds act via inhibition of the enzyme cyclooxygenase, thus preventing prostaglandin synthesis [1]. They have greater selectivity to inhibit COX-1 (constitutively expressed and providing cytoprotection in the gastrointestinal tract and necessary for normal platelet aggregation and renal function) than COX-2 (inducible by inflammatory stimuli) [2,3,4,5]. Consequently, long-term therapy with non-selective NSAIDs may cause gastrointestinal complications ranging from stomach irritation to life-threatening gastrointestinal ulceration and bleeding [6]. Several lines of evidence have suggested that modification of the carboxyl function of representative NSAIDs results in retained anti-inflammatory activity and reduced ulcerogenic potential [7,8,9].
In the present work, we intended to investigate the synthesis of 4-(un)substituted phenylcarbamoylmethyl ester-containing compounds adopting simple synthetic approaches and utilizing easily accessible starting chemicals. These compounds are esters of well known NSAIDs (ibuprofen and naproxen), N-acetylanthranilic acid (nitrogen isostere of salicyclic acid [10]) and 4-(2,5-dioxopyrrolidin-1-yl)benzoic acid, in which the carboxylic function is altered to a substituted ester prodrug residue hoping to circumvent the untoward ulcerogenic side effects of the free acid. Also, (un)substituted phenylcarbamoylmethyl moieties were made to study the effect of such substituents on the physicochemical properties of the compounds and consequently on their pharmacological activity, to produce new hit compounds for a drug discovery program. The anti-inflammatory properties of the synthesized compounds were screened. Ulcerogenic liabilities for the most active anti-inflammatory compounds in each group would be considered. Additionally, PGE2 inhibitory properties for the most active anti-inflammatory agents with less ulcerogenic liability in each group were determined since PGE2 stimulates tumor cell proliferation and differentiaton [11,12] and cancer regression has been documented in patients taking non-steroidal, anti-prostaglandin drugs such as ibuprofen [13]. The interest for designing these compounds is attributed to the biological and pharmacological properties associated with their structures. In addition to their anti-inflammatory activities [14,15], ibuprofen affects the amyloid pathology in the brain [16] and its long-term use has been associated with reduced risk of neurodegeneration [17]. Moreover, a variety of pyrrolidinone derivatives were reported to possess antibacterial [18], anticonvulsant [19] and anticancer [20] activities.
Results and Discussion
Chemistry
Reaction of the potassium salts of ibuprofen (1), naproxen (4) and N-acetylanthranilic acid (6) with (un)substituted chloroacetanilides 2a-d in N,N-dimethylformamide (Scheme 1, Scheme 2, and Scheme 3) afforded the corresponding 4-(un)substituted phenylcarbamoylmethyl esters 3a-d, 5a-d, and 7a-d in good yields (80-89%).
Scheme 1.
Synthetic Pathway for Compounds 3a-d.
Scheme 1.
Synthetic Pathway for Compounds 3a-d.

Reaction conditions: i) KOH, ethanol, ii) DMF
Scheme 2.
Synthetic Pathway for Compounds 5a-d.
Scheme 2.
Synthetic Pathway for Compounds 5a-d.

Reaction conditions: i) KOH, ethanol, ii) DMF
Scheme 3.
Synthetic Pathway for Compound 7a-d.
Scheme 3.
Synthetic Pathway for Compound 7a-d.

Reaction conditions: i) KOH, ethanol, ii) DMF
The structures of 3a-d, 5a-d and 7a-d were established through spectroscopic (IR, 1H-NMR, MS) as well as elemental analyses data. The IR spectra of 3a-d, 5a-d and 7a-d revealed the presence of a strong band (at ν = 1758-1740 cm-1 for 3a-d, at ν = 1749-1736 cm-1 for 5a-d and at ν = 1709-1658 cm-1 for 7a-d, respectively), assignable to their carbonyl ester functions, in addition to the NH amidic stretching vibration band (at ν = 3400-3206 cm-1 for 3a-d, at ν = 3389-3249 cm-1 for 5a-d and at ν = 3424-3285 cm-1 for 7a-d, respectively).
The 1H-NMR spectra of 3a-d and 5a-d reveal the presence of the methylene group as two doublet signals (at δ = 4.47-4.52, 4.90-4.93, J = 15.3-15.9 for 3a-d and at δ = 4.44-4.47, 4.92-5.03, J = 15.3-15.9 for 5a-d, respectively), due to their mutual coupling with each other since there is a chiral center and the two protons are non-equivalent. In contrast, in the case of 7a-d this methylene residue appears as a sharp singlet signal at δ = 4.94-5.00 due to the absence of chirality. The mass spectra of 3a-d, 5a-d and 7a-c exhibited the expected parent molecular ion peaks, thus confirming the assumed structures.
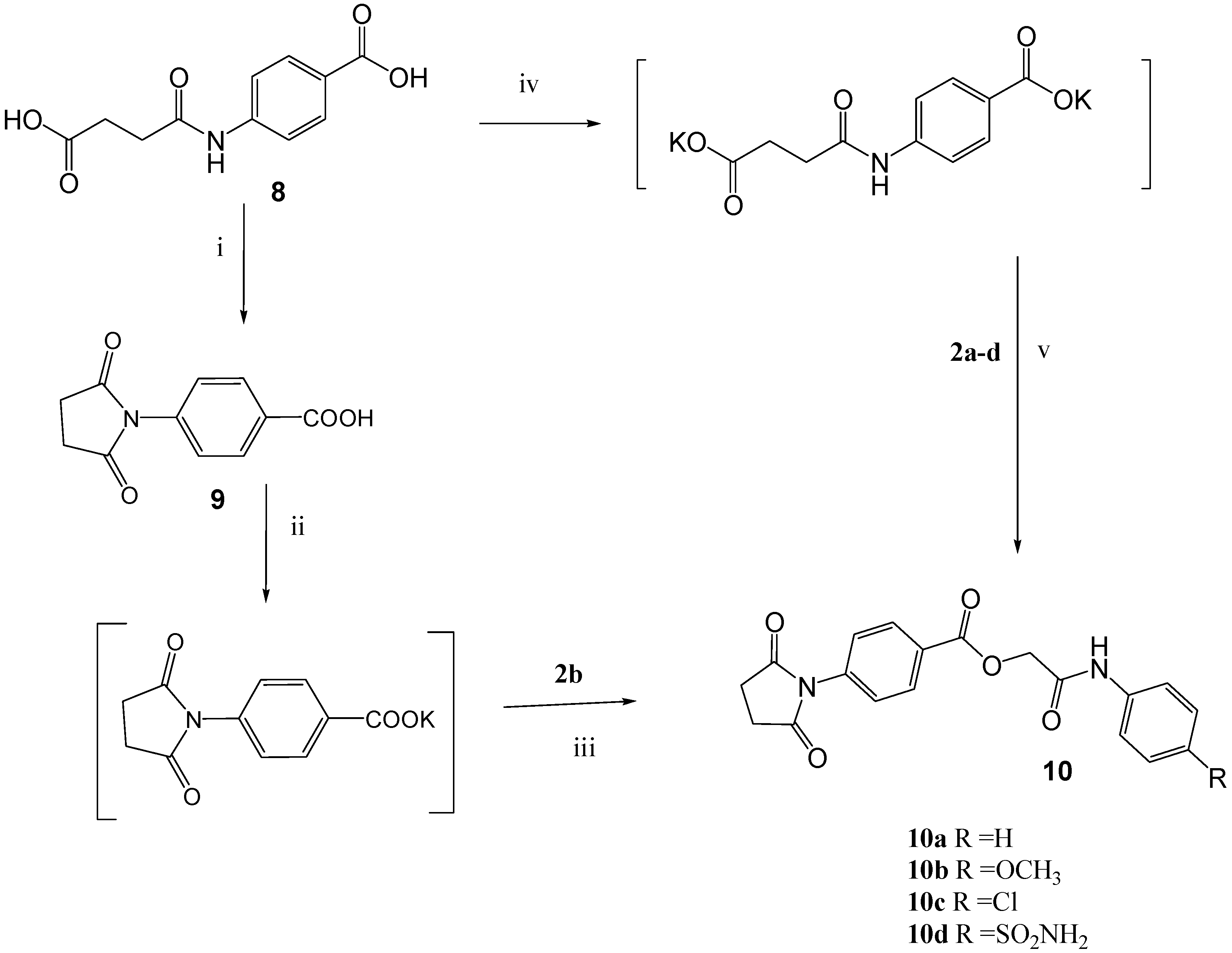
Meanwhile, 4-(un)substituted phenylcarbamoylmethyl esters 10a-d were obtained through reaction of (un)substituted chloroacetanilides 2a-d with the potassium salt of 4-(2-carboxyethyl-carboxamido)benzoic acid 8 in N,N-dimethylformamide. The reaction was assumed to take place at both carboxylic acid groups giving two phenylcarbamoylmethyl ester moieties. However, different spectroscopic data reveal that the chloroacetanilides attacked only one of the carboxylic acid groups, with subsequent cyclization of the other one finally gave the pyrrolidinone structure in spite of the use of 2 moles KOH and 2 moles of (un)substituted chloroacetanilides 2a-d per mole of the starting material 8 (Scheme 4).
Scheme 4.
Synthetic Pathway for Compound 10a-d.
Scheme 4.
Synthetic Pathway for Compound 10a-d.

Reaction conditions: i) (CH3CO)2O ii) KOH, DMF, iii) DMF, iv) KOH, ethanol, v) DMF
The structures of 10a-d were confirmed through spectroscopic (IR, 1H-NMR, MS) as well as elemental analyses data. The IR spectra of 10a-d exhibit strong carbonyl bands at ν = 1778-1782, 1706-1719, 1605-1690 cm-1, corresponding to the pyrrolidinone (cyclic amide), ester and acyclic amide moieties, respectively. The 1H-NMR spectra of 10a-d strongly support the presumed cyclized structures, exhibiting only one D2O exchangeable amino signal at δ = 10.05-10.56, a sharp singlet signal at δ = 2.81-2.82 corresponding to the two pyrrolidinyl methylene protons besides a singlet signal of one methylene ester function at δ = 4.91-4.99. The 13C-NMR (APT) spectrum of 10b excludes any other possible structure, revealing the presence of carbonyl groups corresponding to two cyclic amides at δ = 177.19, one ester at δ = 165.46 and an acyclic amide at δ = 165.54, confirming the cyclization reaction process. The mass spectra of 10a-d exhibiting the parent molecular ion peaks confirmed the assumed structures. To further confirm the cyclization reaction, a chloroacetanilide, i.e. 2b, was reacted with the potassium salt of 4-(2,5-dioxopyrrolidin-1-yl)benzoic acid (9) in N,N-dimethylformamide to give the same compound 10b.
Anti-inflammatory Activity
The anti-inflammatory activity of all synthesized compounds 3a-d, 5a-d, 7a-d and 10a-d was determined by the standard carrageenan-induced paw oedema method in rats [21,22,23], at a dose of 50 mg/kg body weight, and compared with ibuprofen and naproxen as reference drugs. From the results obtained (Table 1), it appears that all ibuprofen containing compounds 3a-d show slightly enhanced anti-inflammatory activities (78.2-89.5% inhibition of oedema) comparable to that of the reference drug ibuprofen (76.1%). Similarly, all naproxen containing compounds 5a-d also exhibit better activities (83.6-88.3%) relative to the reference drug naproxen (75.3%). On the contrary, all N-acetyl anthranilic acid derivatives 7a-d possess anti-inflammatory activities (54.2-67.3%) lower than both ibuprofen and naproxen. Moreover, among compounds having the pyrrolidinone ring, 10b and 10d exhibit better anti-inflammatory activity (84.1% and 79.4%, respectively) than both ibuprofen (76.1%) and naproxen (75.3%).
Table 1.
Anti-inflammatory Activity of the Tested Compounds Using Acute Carrageenan-Induced Paw Oedema in Rats.
| Compound | Mean swelling volume "mL" | % Inhibition of oedema |
|---|---|---|
| Control | 0.742 ± 0.096b,c | 00.0 |
| Ibuprofen | 0.177 ± 0.065a | 76.1 |
| Naproxen | 0.183 ± 0.023a | 75.3 |
| 3a | 0.162 ± 0.103a | 78.2 |
| 3b | 0.078 ± 0.073a,b,c | 89.5 |
| 3c | 0.090 ± 0.068a | 87.9 |
| 3d | 0.132 ± 0.055a | 82.2 |
| 5a | 0.087 ± 0.031a,c | 88.3 |
| 5b | 0.113 ± 0.043a | 84.8 |
| 5c | 0.090 ± 0.058a | 87.9 |
| 5d | 0.122 ± 0.074a | 83.6 |
| 7a | 0.243 ± 0.101a | 67.3 |
| 7b | 0.245 ± 0.107a | 67.0 |
| 7c | 0.320 ± 0.078a,b,c | 56.9 |
| 7d | 0.340 ± 0.105a,b,c | 54.2 |
| 10a | 0.208 ± 0.080a | 72.0 |
| 10b | 0.118 ± 0.085a | 84.1 |
| 10c | 0.338 ± 0.123a,b,c | 54.4 |
| 10d | 0.153 ± 0.119a | 79.4 |
a Significantly different from the control value at p < 0.05; b significantly different from the ibuprofen value at p < 0.05; c significantly different from the naproxen value at p < 0.05; results are means of six experiments ± SE.
Ulcerogenic Liability
The ulcerogenic liability for the most active anti-inflammatory compounds (3b, 3c, 5a, 5c, 7a and 10 b) in each series was determined in albino rats following the previously reported method [23,24]. From the data obtained (Table 2), it has been observed that all the tested compounds possess less ulcerogenic potentialities (ulcer indexes of 11.60-16.69), compared with that of the standard drugs ibuprofen and naproxen (ulcer indexes of 22.90 and 23.15, respectively).
Table 2.
Ulcergenic Liability of Selected Compounds.
| Compound | Number of animals with ulcers | % incidence divided by 10 | Average number of ulcers | Average severity | Ulcer index |
|---|---|---|---|---|---|
| Control | 0/5 | 0.00 | 0.00 | 0.00 | 0.00 |
| Ibuprofen | 5/5 | 10 | 11.00 | 1.90 | 22.90 |
| Naproxen | 5/5 | 10 | 11.40 | 1.75 | 23.15 |
| 3b | 5/5 | 10 | 2.00 | 1.10 | 13.10 |
| 3c | 4/5 | 8 | 2.60 | 1.00 | 11.60 |
| 5a | 4/5 | 8 | 3.20 | 1.00 | 12.20 |
| 5c | 5/5 | 10 | 5.40 | 1.29 | 16.69 |
| 7a | 5/5 | 10 | 3.40 | 1.00 | 14.40 |
| 10b | 4/5 | 8 | 5.60 | 1.70 | 15.30 |
PGE2 Inhibitory Properties
PGE2 inhibitory properties were studied for compounds 3c, 5a, 7a and 10b, which showed the highest anti-inflammatory and lowest ulcerogenic properties in each series. This was evaluated in vivo, utilizing the previously reported six-day-old air pouch method [25,26]. PGE2 was measured using ELISA kit specific for rats, provided by R&D Systems (Minneapolis, USA & Canada), and the results were compared with indomethacin chosen as a reference drug according to the instructions of the kit. From the obtained results (Table 3), it has been observed that all the tested compounds reduce PGE2 levels, however, the ibuprofen and naproxen containing compounds (3c and 5a) showed remarkable inhibitions (50.83, 63.83 pg/mL, respectively) compared to indomethacin (98.33 pg/mL). Although compounds 7a and 10b exhibited inhibitions of 127.33 and 103.50 pg/mL, respectively, which is lower than indomethacin (98.33 pg/mL), it is remarkably high compared to the control (533.33 pg/mL), indicating the anti-inflammatory activities of these two compounds.
Table 3.
PGE2 Concentration of Selected Compounds.
| Compound | Mean concentration "pg/ml" |
|---|---|
| Control | 533.33±19.26 |
| Indomethacin | 98.33±3.33* |
| 3c | 50.83±3.86* |
| 5a | 63.83±3.87* |
| 7a | 127.33±2.53* |
| 10b | 103.50±2.29* |
*Significantly different from the control value at p < 0.05. Results are means of 6 experiments ± SE.
Conclusions
The synthesis of 4-(un)substituted phenylcarbamoylmethyl ester-containing compounds 3a-d, 5a-d, 7a-d and 10a-d was undertaken. The structure of the newly synthesized compounds was established by microanalytical and spectral (IR, 1H-NMR, mass) data. They were tested for their anti-inflammatory activity. Further the ulcerogenic liability and PGE2 inhibitory properties for the most active compounds were determined. Results showed that all the tested compounds exhibited promising anti-inflammatory activity, compared to ibuprofen and naproxen, with marked decreases in the ulcerogenic side effects. Moreover, esterification of both ibuprofen and naproxen derivatives led to increases in the anti-inflammatory activity, compared to the parent drugs, and this was enhanced in the case of the 4-methoxyphenylcarbamoyl methyl ester 3b and the phenylcarbamoylmethyl ester 5a of ibuprofen and naproxen, respectively. On the other hand, there is a significant change in the pharmacological activity amongst the different ester substituted derivatives of N-acetylanthranilic acid 7a-d and 4-(3-carboxypropionylamino)benzoic acid 10a-d in which the 4-chloro derivatives 7c and 10c, together with the 4-sulphamoyl derivative 7d showed a marked decrease in the anti-inflammatory activity. Finally, the results of the in vivo anti-inflammatory activity by the standard acute carrageenan-induced paw oedema method in rats revealed remarkable activities that largely coincide with the results observed using a PGE2 assay kit technique.
Experimental
General
Melting points are uncorrected and recorded on a Gallenkamp melting point apparatus. IR spectra (KBr) were recorded on a Bruker Vector 22 spectrophotometer. 1H-NMR spectra were recorded on a Varian MERCURY 300 (300 MHz) spectrometer. Mass spectra were recorded on GCMS-QP 1000 EX, Gas chromatograph-Mass spectrometer, at 70 eV. Compounds 2a-d [27,28], 6 [29], 8 [30] and 9 [31] were prepared according to the previously reported procedures. Ibuprofen and naproxen were purchased from Sigma Chemical Co. (St. Louis, MO, USA) in the form of racemic mixtures.
Synthesis of 4-(un)substituted phenylcarbamoylmethyl esters 3a-d, 5a-d and 7a-d
A mixture of equimolar amounts of 1, 4, or 6 and an ethanolic solution of potassium hydroxide (5 mmol) in absolute ethanol (30 mL) was stirred at room temperature (25-30 °C) for 15 minutes. The residue after evaporation under reduced pressure was treated with the appropriate chloroacetanilides 2a-d (5 mmol) in N,N-dimethylformamide (5 mL) in a boiling water bath for 12 hours. The reaction mixture was then cooled, poured onto ice-cooled water and the separated solid was collected, dried and crystallized from a suitable solvent affording 3a-d, 5a-d and 7a-d as colourless crystals.
4-(2-Methylpropyl)-α-methylbenzene acetic acid phenylcarbamoylmethyl ester (3a): m.p. 78-80 °C (from methanol); yield 83%; IR νmax/cm-1: 3330 (NH), 2950, 2922, 2866 (CH aliph.), 1740 (C=O ester), 1685 (C=O amide), 1603, 1546 (C=C); 1H-NMR δ/ppm (CDCl3): 0.92 (d, 6H, 2CH3, J = 6.6 Hz), 1.59 (d, 3H, CH-CH3, J = 7.2 Hz), 1.85-1.90 (m, 1H, CH-CH2), 2.49 (d, 2H, CH-CH2, J = 7.2 Hz), 3.85 (q, 1H, CH-CH3, J = 7.2 Hz), 4.49 (d, 1H, upfield H of COOCH2, J = 15.6 Hz), 4.92 (d, 1H, downfield H of COOCH2, J = 15.9 Hz), 7.07-7.30 (m, 10H, arom. H + NH); MS: m/z (%) = 339 (M+, 20), 247 (6), 188 (96), 161 (100), 93 (37); Anal. Calcd. For C21H25NO3 (339.42): C, 74.31; H, 7.42; N, 4.13%. Found: C, 74.17; H, 7.63; N, 3.94%.
4-(2-Methylpropyl)-α-methylbenzene acetic acid (4-methoxyphenylcarbamoyl)methyl ester (3b): m.p. 122-124 °C (from 2:1 v/v ether-petroleum ether); yield 87%; IR νmax/cm-1: 3400 (NH), 2960, 2869, 2842 (CH aliph.), 1746 (C=O ester), 1694 (C=O amide), 1600, 1538 (C=C); 1H-NMR δ/ppm (CDCl3): 0.90 (d, 6H, 2CH3, J = 6.6 Hz), 1.58 (d, 3H, CH-CH3, J = 7.2 Hz), 1.83-1.88 (m, 1H, CH-CH2), 2.48 (d, 2H, CH-CH2, J = 7.2 Hz), 3.79 (s, 3H, OCH3), 3.84 (q, 1H, CH-CH3, J = 7.2 Hz), 4.48 (d, 1H, upfield H of COOCH2, J = 15.6 Hz), 4.90 (d, 1H, downfield H of COOCH2, J = 15.3 Hz), 6.77-7.29 (m, 9H, arom. H + NH); MS: m/z (%) = 369 (M+, 49), 188 (14), 161 (59), 123 (100); Anal. Calcd. For C22H27NO4 (369.45): C, 71.52; H, 7.37; N, 3.79%. Found: C, 71.76; H, 7.15; N, 3.56%.
4-(2-Methylpropyl)-α-methylbenzene acetic acid (4-chlorophenylcarbamoyl)methyl ester (3c): m.p. 69-71 °C (from 2:1 v/v ether-petroleum ether); yield 82%; IR νmax/cm-1: 3396 (NH), 2958, 2927, 2869 (CH aliph.), 1745 (C=O ester), 1704 (C=O amide), 1595, 1531 (C=C); 1H-NMR δ/ppm (CDCl3): 0.92 (d, 6H, 2CH3, J = 6.6 Hz), 1.58 (d, 3H, CH-CH3, J = 7.2 Hz), 1.84-1.89 (m, 1H, CH-CH2), 2.49 (d, 2H, CH-CH2, J = 7.2 Hz), 3.86 (q, 1H, CH-CH3, J = 7.2 Hz), 4.47 (d, 1H, upfield H of COOCH2, J = 15.9 Hz), 4.93 (d, 1H, downfield H of COOCH2, J = 15.6 Hz), 7.08-7.29 (m, 9H, arom. H + NH); MS: m/z (%) = 375 (M+2, 20), 373 (M+, 62), 247 (18), 188 (93), 161 (100), 127 (30); Anal. Calcd. For C21H24ClNO3 (373.86): C, 67.46; H, 6.47; N, 3.75%. Found: C, 67.70; H, 6.20; N, 3.90%.
4-(2-Methylpropyl)-α-methylbenzene acetic acid (4-sulfamoylphenylcarbamoyl)methyl ester (3d): m.p. 163-165 °C (from methanol); yield 89%; IR νmax/cm-1: 3388, 3303, 3206 (NH, NH2), 2953, 2924, 2868 (CH aliph.), 1758 (C=O ester), 1685 (C=O amide), 1595, 1539 (C=C); 1H-NMR δ/ppm (CDCl3): 0.91 (d, 6H, 2CH3, J = 6.6 Hz), 1.58 (d, 3H, CH-CH3, J = 7.2 Hz), 1.86-1.91 (m, 1H, CH-CH2), 2.49 (d, 2H, CH-CH2, J = 7.2 Hz), 3.88 (q, 1H, CH-CH3, J = 7.2 Hz), 4.52 (d, 1H, upfield H of COOCH2, J = 15.6 Hz), 4.90 (d, 1H, downfield H of COOCH2, J = 15.9 Hz), 5.04 (br.s, 1H, D2O exchangeable NH), 7.17-7.77 (m, 10H, arom. H + NH2); MS: m/z (%) = 418 (M+, 4), 247 (4), 188 (79), 161 (100); Anal. Calcd. For C21H26N2O5S (418.50): C, 60.27; H, 6.26; N, 6.70%. Found: C, 60.50; H, 6.11; N, 6.67%.
6-Methoxy-α-methylnaphthalene-2-yl acetic acid phenylcarbamoylmethyl ester (5a): m.p. 111-113 °C (from ethanol); yield 85%; IR νmax/cm-1: 3387 (NH), 1741 (C=O ester), 1702 (C=O amide), 1535 (C=C); 1H-NMR δ/ppm (CDCl3): 1.69 (d, 3H, CH3, J = 7.2 Hz), 3.96 (s, 3H, OCH3), 4.02 (q, 1H, CH, J = 7.2 Hz), 4.47 (d, 1H, upfield H of CH2, J = 15.3 Hz), 4.94 (d, 1H, downfield H of CH2, J = 15.9 Hz), 6.75-7.78 (m, 12H, arom. H + napth. H + NH); MS: m/z (%) = 363 (M+, 37), 212 (100), 185 (95); Anal. Calcd. For C22H21NO4 (363.40): C, 72.71; H, 5.83; N, 3.85%. Found: C, 72.63; H, 5.88; N, 3.76%.
6-Methoxy-α-methylnaphthalene-2-yl acetic acid (4-methoxyphenylcarbamoyl)methyl ester (5b): Crystallization from benzene; m.p. 137-139 °C; yield 88%; IR νmax/cm-1: 3251 (NH), 1740 (C=O ester), 1661 (C=O amide), 1556, 1508 (C=C); 1H-NMR δ/ppm (CDCl3): 1.69 (d, 3H, CH3, J = 7.2 Hz), 3.73 (s, 3H, arom.OCH3), 3.95 (s, 3H, napth. OCH3), 4.02(q, 1H, CH, J = 7.2 Hz), 4.46 (d, 1H, upfield H of CH2, J = 15.6 Hz), 4.92 (d, 1H, downfield H of CH2, J = 15.6 Hz), 6.57-7.77 (m, 11H, arom. H + napth. H + NH); MS: m/z (%) = 393 (M+, 25), 213 (13), 185 (100); Anal. Calcd. For C23H23NO5 (393.42): C, 70.21; H, 5.89; N, 3.56%. Found: C, 70.36; H, 6.00; N, 3.70%.
6-Methoxy-α-methylnaphthalene-2-yl acetic acid (4-chlorophenylcarbamoyl)methyl ester (5c): m.p. 132-134 °C (from methanol); yield 84%; IR νmax/cm-1: 3389 (NH), 1749 (C=O ester), 1700 (C=O amide), 1598, 1527 (C=C); 1H-NMR δ/ppm (CDCl3): 1.68 (d, 3H, CH3, J = 7.2 Hz), 3.96 (s, 3H, OCH3), 4.02 (q, 1H, CH, J = 7.2 Hz), 4.44 (d, 1H, upfield H of CH2, J = 15.6 Hz), 4.94 (d, 1H, downfield H of CH2, J = 15.6 Hz), 6.63-7.76 (m, 11H, arom. H + napth. H + NH); MS: m/z (%) = 399 (M+2, 6), 397 (M+, 18), 213 (23), 185 (100); Anal. Calcd. For C22H20ClNO4 (397.84): C, 66.41; H, 5.07; N, 3.52%. Found: C, 66.45; H, 5.04; N, 3.37%.
6-Methoxy-α-methylnaphthalene-2-yl acetic acid (4-sulfamoylphenylcarbamoyl)methyl ester (5d): m.p. 202-204 °C (from methanol); yield 89%; IR νmax/cm-1: 3325, 3287, 3249 (NH, NH2), 1736 (C=O ester), 1696 (C=O amide), 1600, 1540 (C=C); 1H-NMR δ/ppm (CDCl3): 1.69 (d, 3H, CH3, J = 7.2 Hz), 3.98 (s, 3H, OCH3), 4.02 (q, 1H, CH, J = 7.2 Hz), 4.44 (d, 1H, upfield H of CH2, J = 15.6 Hz), 5.03 (d, 1H, downfield H of CH2, J = 15.6 Hz), 6.75-7.78 (m, 13H, arom. H + napth. H + NH + NH2); MS: m/z (%) = 442 (M+, 34), 212 (49), 185 (100); Anal. Calcd. For C22H22N2O6S (442.48): C, 59.71; H, 5.01; N, 6.33%. Found: C, 60.02; H, 4.84; N, 6.30%.
2-Acetylaminobenzoic acid phenylcarbamoylmethyl ester (7a): m.p. 209-210 °C (from ethanol); yield 80%; IR νmax/cm-1: 3285 (NH), 1689, 1688 (C=O), 1598 (C=C); 1H-NMR δ/ppm (DMSO-d6): 2.13 (s, 3H, CH3), 4.97 (s, 2H, CH2), 7.06-8.29 (m, 9H, arom. H), 10.25 (br.s, 1H, D2O exchangeable NH), 10.42 (br.s, 1H, D2O exchangeable NH); MS: m/z (%) = 312 (M+, 26), 220 (13), 162 (57), 120 (100); Anal. Calcd. For C17H16N2O4 (312.32): C, 65.37; H, 5.16; N, 8.97%. Found: C, 65.28; H, 5.24; N, 8.77%.
2-Acetylaminobenzoic acid (4-methoxyphenylcarbamoyl)methyl ester (7b): m.p. 200-202 °C (from ethanol); yield 85%; IR νmax/cm-1: 3337, 3264 (NH), 1704, 1686, 1668 (C=O), 1590 (C=C); 1H-NMR δ/ppm (DMSO-d6): 2.13 (s, 3H, COCH3), 3.73 (s, 3H, OCH3), 4.94 (s, 2H, CH2), 6.89-8.29 (m, 8H, arom. H), 10.10 (br.s, 1H, D2O exchangeable NH), 10.43 (br.s, 1H, D2O exchangeable NH); MS: m/z (%) = 342 (M+, 54), 220 (6), 162 (90), 123 (100); Anal. Calcd. For C18H18N2O5 (342.34): C, 63.15; H, 5.30; N, 8.18%. Found: C, 63.23; H, 5.39; N, 8.03%.
2-Acetylaminobenzoic acid (4-chlorophenylcarbamoyl)methyl ester (7c): m.p.191-192 °C (from ethanol); yield 85%; IR νmax/cm-1: 3424 (NH), 1658, 1618 (C=O), 1596 (C=C); 1H-NMR δ/ppm (DMSO-d6): 2.13 (s, 3H, CH3), 4.96 (s, 2H, CH2), 7.20-8.27 (m, 8H, arom. H), 10.39 (br.s, 1H, D2O exchangeable NH), 10.41 (br.s, 1H, D2O exchangeable NH); MS: m/z (%) = 348 (M+2, 6), 346 (M+, 14), 220 (21), 162 (83), 120 (100); Anal. Calcd. For C17H15 Cl N2O4 (346.76): C, 58.88; H, 4.36; N, 8.08%. Found: C, 58.63; H, 4.53; N, 8.29%.
2-Acetylaminobenzoic acid (4-sulfamoylphenylcarbamoyl)methyl ester (7d): m.p. 230-231 °C (from Crystallization 5:1 v/v N,N-dimethylformamide-water); yield 89%; IR νmax/cm-1: 3383, 3341, 3277 (NH, NH2), 1709, 1687 (C=O), 1596 (C=C); 1H-NMR δ/ppm (DMSO-d6): 2.13 (s, 3H, CH3), 5.00 (s, 2H, CH2), 7.23-8.27 (m, 10H, arom. H + NH2), 10.41 (br.s, 1H, D2O exchangeable NH), 10.59 (br.s, 1H, D2O exchangeable NH); Anal. Calcd. For C17H17N3O6S (391.39): C, 52.17; H, 4.38; N, 10.74%. Found: C, 52.24; H, 4.53; N, 10.83%.
Synthesis of 4-(2,5-Dioxopyrrolidin-1-yl)benzoic acid (4-(un)substitutedphenylcarbamoyl)methyl esters 10a-d
Method A: The same method adopted in the general procedure starting with 4-(2-carboxyethylcarboxamido)benzoic acid 8 (5 mmol), potassium hydroxide (10 mmol) and the appropriate chloroacetanildes 2a-d (10 mmol).
Method B: A mixture of equimolar amounts of 4-(2,5-dioxopyrrolidin-1-yl)benzoic acid (9) and potassium hydroxide (5 mmol) in dry N,N-dimethylformamide (5 mL) was stirred in a boiling water bath for 15 minutes. The reaction mixture was then treated with a solution of the appropriate chloroacetanilides 2a-d (5 mmol) in N,N-dimethylformamide (3 mL) in a boiling water bath for one hour. The reaction mixture was then cooled, poured onto ice-cooled water and the separated solid was collected, dried and crystallized from a suitable solvent affording 10a-d as colourless crystals.
4-(2,5-Dioxopyrrolidin-1-yl)benzoic acid phenylcarbamoylmethyl ester (10a): m.p. 171-173 °C (from ethanol); yield 73% (method A); IR νmax/cm-1: 3359 (NH), 1782 (C=O cyclic), 1707 (C=O ester), 1605 (C=O amide), 1551, 1514 (C=C); 1H-NMR δ/ppm (DMSO-d6): 2.81 (s, 4H, OC-CH2-CH2-CO), 4.95 (s, 2H, COOCH2), 7.08 (t, 1H, arom. H, J = 7.5 Hz), 7.32 (t, 2H, arom. H, J = 7.8 Hz), 7.50 (d, 2H, arom. H, J = 8.7 Hz), 7.59 (d, 2H, arom. H, J = 7.5 Hz), 8.14 (d, 2H, arom. H, J = 8.7 Hz), 10.20 (br.s, 1H, D2O exchangeable NH); MS: m/z (%) = 352 (M+, 12), 260 (33), 202 (100), 93 (22); Anal. Calcd. For C19H16N2O5 (352.34): C, 64.76; H, 4.58; N, 7.95%. Found: C, 65.02; H, 4.81; N, 7.74%.
4-(2,5-Dioxopyrrolidin-1-yl)benzoic acid (4-methoxyphenylcarbamoyl)methyl ester (10b): m.p. 205-207 °C (from methanol); yield 65 and 87% (method A and B respectively); IR νmax/cm-1: 3356 (NH), 1779 (C=O cyclic), 1707 (C=O ester), 1608 (C=O amide), 1554, 1514 (C=C); 1H-NMR δ/ppm (DMSO-d6): 2.81 (s, 4H, OC-CH2-CH2-CO), 3.72 (s, 3H, OCH3), 4.91 (s, 2H, COOCH2), 6.90 (d, 2H, arom. H, J = 9.3 Hz), 7.49 (d, 4H, arom. H, J = 8.4 Hz), 8.15 (d, 2H, arom. H, J = 8.7 Hz), 10.05 (br.s, 1H, D2O exchangeable NH); MS: m/z (%) = 382 (M+, 32), 260 (11), 202 (100), 123 (45); 13C-NMR δ/ppm (APT) (DMS-d6): 29.24 (pyrrolidinyl H2C-3, H2C-4), 55.87 (OCH3), 64.01 (COOCH2), 114.63 (arom. CH-2`, CH-6`), 121.60 (arom. CH-3, CH-5), 121.80 (arom. CH-3`, CH-5`), 129.37 (arom. C-1), 130.66 (arom. CH-2, CH-6), 132 (arom. C-4`), 137.83 (arom. C-4), 156.23 (arom. C-1`), 165.46 (COO), 165.54 (CONH), 177.19 (pyrrolidinyl CO-2, CO-5); Anal. Calcd. For C20H18N2O6 (382.36): C, 62.82; H, 4.74; N%, 7.33. Found: C, 62.53; H, 4.65; N, 7.70%.
4-(2,5-Dioxopyrrolidin-1-yl)benzoic acid (4-chlorophenylcarbamoyl)methyl ester (10c): m.p. 200-202 °C (from ethanol); yield 57% (method A); IR νmax/cm-1: 3353 (NH), 1780 (C=O cyclic), 1706 (C=O ester), 1605 (C=O amide), 1547, 1513 (C=C). 1H-NMR δ/ppm (DMSO-d6): 2.81 (s, 4H, OC-CH2-CH2-CO), 4.95 (s, 2H, COOCH2), 7.38 (d, 2H, arom. H, J = 9.0 Hz), 7.50 (d, 2H, arom. H, J = 8.4 Hz), 7.62 (d, 2H, arom. H, J = 9.3 Hz), 8.15 (d, 2H, arom. H, J = 8.4 Hz), 10.35 (br.s, 1H, D2O exchangeable NH); MS: m/z (%) = 388 (M+2, 10), 386 (M+, 27), 260 (58), 202 (100), 126 (13); Anal. Calcd. For C19H15ClN2O5 (386.78): C, 59.00; H, 3.91; N, 7.24%. Found: C, 59.03; H, 4.16; N, 7.46%.
4-(2,5-Dioxopyrrolidin-1-yl)benzoic acid (4-sulfamoylphenylcarbamoyl)methyl ester (10d): m.p. 233-235 °C (from glacial acetic acid); yield 78% (method A); IR νmax/cm-1: 3325, 3227 (NH, NH2), 1778 (C=O cyclic), 1719 (C=O ester), 1690 (C=O amide), 1596, 1541 (C=C). 1H-NMR δ/ppm (DMSO-d6): 2.82 (s, 4H, OC-CH2-CH2-CO), 4.99 (s, 2H, COOCH2), 7.25 (br.s, 2H, D2O exchangeable NH2), 7.51(dd, 2H, arom. H, J = 1.8, 6.6 Hz), 7.77 (d, 4H, arom. H, J = 9.3 Hz), 8.15 (dd, 2H, arom. H, J = 1.8, 6.6 Hz), 10.56 (br.s, 1H, D2O exchangeable NH); MS: m/z (%) = 431 (M+, 16), 260 (24), 202 (100), 172 (18); Anal. Calcd. For C19H17N3O7S (431.41): C, 52.89; H, 3.97; N, 9.74%. Found: C, 52.56; H, 4.24; N, 9.63%.
Anti-inflammatory Activity Screening
Anti-inflammatory activity screening for the prepared compounds was determined in vivo by the standard acute carrageenan-induced paw oedema method in rats [21,22,23]. Wister albino rats of either sex (pregnant female animals were excluded) weighing 160-190 g were divided into 19 groups of six animals each. Ibuprofen and naproxen (reference standards) and the tested compounds (3a-d, 5a-d, 7a-d and 10a-d) dissolved in DMSO, at a dose of 50 mg/kg body weight, were administered intraperitoneally, while the control group received DMSO, 1 hour before induction of inflammation. Carrageenan paw oedema was induced by subcutaneous injection of 1% solution of carrageenan in saline (0.1 mL/rat) into the right hind paw of rats. Paw volumes were measured volumetrically after 4 hours with a 7140 plethysmometer (Ugo Basile, Italy) and compared with the initial hind paw volume of each rat for determining the oedema volume. Data were collected, checked and revised. Quantitative variables from normal distribution were expressed as means ± SE "standard error". The significant difference between groups was tested by using one-way ANOVA followed by Tukey HSD test at p < 0.05. The anti-inflammatory activity was expressed as percentage inhibition of oedema volume in treated animals in comparison with the control group (Table 1):
where, Vc and Vt are the volumes of oedema for the control and drug-treated animal groups.
Ulcerogenic liability
The ulcerogenic liability was determined in albino rats following the previously reported standard method [23,24]. Rats of either sex (pregnant female rats were excluded) weighing 120-140 g were divided into nine groups of five animals each. The animals were fasted 18 hours before drug administration. Ibuprofen and naproxen (reference standards) and the tested compounds at a dose 50 mg/kg body weight, were suspended in saline solution by the aid of few drops of Tween® 80 and were administered orally for three successive days to fasted rats. The control group animals were given saline with few drops of Tween® 80. One hour after the last dose, the animals were sacrificed by cervical dislocation and the stomach was removed, opened along the greater curvature and rinsed with saline. The gastric mucosa was examined with a magnifying lens (10 x) for the presence of lesions and erosions. The ulcer index was calculated (Table 2) and the degree of ulcerogenic effect was expressed in terms of:
- Percentage incidence of ulcer divided by 10.
- Average number of ulcers per stomach.
- Average severity of ulcers.
The ulcer index is the value that resulted from the sum of the above three values.
Measurement of PGE2 Level
Measurement of PGE2 level was determined by the previously described six-day-old air pouch standard method in rats [25,26]. Male albino rats weighing 200-250 g were divided into six groups of six animals each. The air pouch was induced as follows: on the first day of the experiment, 20 mL of air was injected subcutaneously in the back of each rat. Two days later, another 10 mL of air was injected at the same site. On the fifth day after the first injection, a further 10 mL of air was injected into the pouch. Then, 24 h later and before injecting the pouch with carrageenan (2 mL of 1% solution in saline), four groups of animals were treated orally with the tested compounds (3c, 5a, 7a and 10b) at a dose of 50 mg/kg body weight, one group with indomethacin (reference standard) at a dose of 10 mg/kg body weight suspended in saline solution by the aid of few drops of Tween® 80 and the last group with sterile saline (control group). All injections were conducted under light ether anaesthesia. Then 6 h after the carrageenan injection, animals were lightly anaesthetised with ether and the contents of the pouch were aspirated using a Pasteur pipette and transferred into graduated plastic tubes kept in ice. The bulk of the exudates was frozen and stored at -20 °C until required for PGE2 assay. PGE2 was measured by an ELISA (Beckman BiomekTM 1000 Automated Laboratory Workstation apparatus) technique using PGE2 assay kit supplied by R&D Systems (Minneapolis, USA & Canada) according to the manufacturer’s specifications. Data were collected, checked and revised. Quantitative variables from normal distribution were expressed as means ± SE "standard error". The significant difference between groups was tested by using one-way ANOVA followed by Dunnett`s test at p < 0.05 (Table 3).
Acknowledgments
Thanks are due to Professor Mohamed T. Khayyal (Department of Pharmacology, Faculty of Pharmacy, Cairo University, Cairo, Egypt) for his kind interest, valuable discussions and financial assistance during PGE2 screening. Also thanks are due to Dr. Ebtehal El-Demerdash (Assistant professor of Pharmacology, Faculty of Pharmacy, Ain Shams University, Cairo, Egypt) for providing laboratory facilities for the anti-inflammatory and ulcerogenic screenings.
References
- Vane, J.R. Inhibition of Prostaglandin Synthesis as a Mechanism of Action for Aspirin-Like Drugs. Nature New Biol. 1971, 231, 232–235. [Google Scholar] [CrossRef]
- Marnett, L.J.; Kalgutkar, A.S. Cyclooxygenase 2 Inhibitors: Discovery, Selectivity and the Future. Trends Pharmacol. Sci. 1999, 20, 465–469. [Google Scholar] [CrossRef]
- Dannhardt, G.; Kiefer, W. Cyclooxygenase Inhibitors-Current Status and Future Prospects. Eur. J. Med. Chem. 2001, 36, 109–126. [Google Scholar] [CrossRef]
- Almansa, C.; Alfon, J.; De Arriba, A.F.; Cavalcanti, F.L.; Escamilla, I.; Gomez, L.A.; Miralles, A.; Soliva, R.; Bartroli, J.; Carceller, E.; Merlos, M.; Garcia-Rafanell, J. Synthesis and Structure-Activity Relationship of a New Series of COX-2 Selective Inhibitors: 1,5-Diarylimidazoles. J. Med. Chem. 2003, 46, 3463–3475. [Google Scholar] [CrossRef]
- Jackson, L.M.; Hawkey, C.J. Gastrointestinal Effects of COX-2 Inhibitors. Expert Opin. Invest. Drugs 1999, 8, 963–971. [Google Scholar] [CrossRef]
- Allison, M.C.; Howatson, A.G.; Torrance, C.J.; Lee, F.D.; Russell, R.I.G. Gastrointestinal Damage Associated with the Use of Nonsteroidal Antiinflammatory Drugs. N. Engl. J. Med. 1992, 327, 749–754. [Google Scholar] [CrossRef]
- Galanakis, D.; Kourounakis, A.P.; Tsiakitzis, K.C.; Doulgkeris, C.; Rekka, E.A.; Gavalas, A.; Kravaritou, C.; Charitos, C.; Kourounakis, P.N. Synthesis and Pharmacological Evaluation of Amide Conjugates of NSAIDs with L-cysteine Ethyl Ester, Combining Potent Antiinflammatory and Antioxidant Properties with significantly reduced Gastrointestinal Toxicity. Bioorg. Med. Chem. Lett. 2004, 14, 3639–3643. [Google Scholar] [CrossRef]
- Kalgutkar, A.S.; Marnett, A.B.; Crews, B.C.; Remmel, R.P.; Marnett, L.J. Ester and Amide Derivatives of the Nonsteroidal Antiinflammatory Drug, Indomethacin, as Selective Cyclooxygenase-2 Inhibitors. J. Med. Chem. 2000, 43, 2860–2870. [Google Scholar] [CrossRef]
- Duflos, M.; Nourrisson, M.R.; Brelet, J.; Courant, J.; LeBaut, G.; Grimaud, N.; Petit, J.Y. N-Pyridinyl-indole-3-(alkyl)carboxamides and Derivatives as Potential Systemic and Topical Inflammation Inhibitors. Eur. J. Med. Chem. 2001, 36, 545–553. [Google Scholar]
- Borne, R.F. Foye`s Principles of Medicinal Chemistry, 5th Ed.; Williams, D.A., Lemke, T.L., Eds.; Lippincott Williams & Wilkins: New York, USA, 2002; pp. 751–793. [Google Scholar]
- Hull, M.A.; Ko, S.C.W.; Hawcroft, G. Prostaglandin EP Receptors: Targets for Treatment and Prevention of Colorectal Cancer. Mol. Canc. Ther. 2004, 3, 1031–1039. [Google Scholar] [CrossRef]
- Brueggemeier, R.W.; Richards, J.A.; Petrel, T.A. Aromatase and Cyclooxygenases: Enzymes in Breast Cancer. J. Steroid Biochem. Mol. Biol. 2003, 86, 501–507. [Google Scholar] [CrossRef]
- Julian, L. Antidepressants, Prostaglandins and the Prevention and Treatment of Cancer. Med. Hypotheses 2007, 69, 684–689. [Google Scholar] [CrossRef]
- Sharma, S.; Srivastava, V.K.; Kumar, A. Newer N-Substituted Anthranilic Acid Derivatives as Potent Anti-inflammatory Agents. Eur. J. Med. Chem. 2002, 37, 689–697. [Google Scholar] [CrossRef]
- Thomas, A.; Bhavar, P.K.; Lingam, V.S.P.R.; Joshi, N.K. Preparation of Heterocyclic Amides, in Particular Azolanes and Pyridines as Phosphodiesterase IV (PDE4) Inhibitors for the Treatment of Inflammatory and Allergic Disorders. PCT Int. Appl. WO 2004, 22, 536, [Chem. Abstr. 2004, 140, 270743]. [Google Scholar]
- Weggen, S.; Eriksen, J.L.; Das, P.; Sagl, S.A.; Wang, R.; Pletrzik, C.U.; Findlay, K.A.; Smith, T.E.; Murphy, MP; Bulter, T.; Kang, D.E.; Marquez-Steriling, N.; Golde, T.E.; Koo, E.H. A Subset of NSAIDs Lower Amyloidogenic Aβ42 Independently of Cyclooxygenase Activity. Nature 2001, 414, 212–216. [Google Scholar] [CrossRef]
- Siskou, I.C.; Rekka, E.A.; Kourounakis, A.P.; Chrysselis, M.C.; Tsiakitzis, K.; Kourounakis, P.N. Design and Study of Some Novel Ibuprofen Derivatives with Potential Nootropic and Neuroprotective Properties. Bioorg. Med. Chem. 2007, 15, 951–961. [Google Scholar] [CrossRef]
- Fawzy, N.M.; Swelam, S.A.; Farid, M.A. Synthesis and Antimicrobial Activities of Some 3,4-Dihydroquinazolinone-4-one, Quinoxaline, Benzoxazine, Benzothiazine, Pyran and Pyrrolidinedione Derivatives. Biotechnology 2008, 7, 43–50. [Google Scholar] [CrossRef]
- Obniska, J.; Zagorska, A. Synthesis and Anticonvulsant Properties of New N-[(4-Arylpiperazin-1-yl)methyl] Derivatives of 3-Aryl pyrrolidine-2,5-dione and 2-Aza-spiro[4.4]nonane-1,3-dione. Farmaco 2003, 58, 1227–1234. [Google Scholar] [CrossRef]
- Naik, S.D.; Ambaye, R.Y.; Gokhale, S.V. Anticancer Activity of New 3-Amino-pyrrolidinedione-Nitrogen Mustard Derivatives on Murine Sarcoma 180. Anticancer Res. 1987, 7, 87–90. [Google Scholar]
- Winter, C.A.; Fisley, E.A.; Nuss, G.W. Carrageenin-Induced Edema in Hind Paw of the Rat as an Assay for Antiinflammatory Drugs. Proc. Soc. Exp. Biol. Med. 1962, 111, 544–547. [Google Scholar] [CrossRef]
- Franklin, P.X.; Pillai, A.D.; Rathod, P.D.; Yerande, S.; Nivsarkar, M.; Padh, H.; Vasu, K.K.; Sudarsanam, V. 2-Amino-5-thiazolyl Motif: A Novel Scaffold for Designing Anti-inflammatory Agents of Diverse Structures. Eur. J. Med. Chem. 2008, 43, 129–134. [Google Scholar] [CrossRef]
- Barsoum, F.F.; Hosni, H.M.; Girgis, A.S. Novel Bis(1-acyl-2-pyrazolines) of Potential Anti-inflammatory and Molluscicidal Properties. Bioorg. Med. Chem. 2006, 14, 3929–3937. [Google Scholar] [CrossRef]
- Hamza, Y.E.; Sammour, O.A.; Abdel-Latif, H.A. Enhancement of Dissolution of Indometacin and Modulation of Its Pharmacodynamics and Ulcerogenicity via Solid Dispersions. Pharm. Ind. 1994, 56, 286–291. [Google Scholar]
- Khayyal, M.T.; El-Ghazaly, M.A.; Abdallah, D.M.; Okpanyi, S.N.; Kelber, O.; Weiser, D. Mechanisms Involved in the Anti-inflammatory Effect of a Standardized Willow Bark Extract. Arzneim.-Forsch./Drug Res. 2005, 55, 677–687. [Google Scholar]
- El-Ghazaly, M.A. J. The Effect of Aqueous Propolis Extract on Cellular Migration, Prostaglandins and histamine Release in Irradiated Rats. Egypt. Soc. Toxicol. 1996, 16, 69–73. [Google Scholar]
- El-Said, M.K.; Aly, S.M.E.; Romeih, F.A.; Barsoum, F.F.; Hassan, A.B. Synthesis and Pharmacological Testing of Some New Phenothiazine Derivatives. Egypt. J. Pharm. Sci. 1991, 32, 251–261. [Google Scholar]
- Ebeid, M.Y.; Aly, S.M.E.; Hanna, M.M.; Romeih, F.A.; Barsoum, F.F. Synthesis and Anti-HIV Activity of Some 6,7-Dihydro-5H-pyrrolizine-3-carboxamide, 5,6,7,8-Tetrahydroindolizine-3-carboxamide, 1-Thioxo-1,2,3,5,6,7,8,9,10,11-decahydropyrimido[1,6-a]azonine-4-carbonitrile and 6-Thioxo-1,2,5,6,8,9,10,11,12,13,14,14a-dodecahydropyrimido[4,,5,:4,5]pyrimido[1,6-a]-azonin-1-one Derivatives. Bull. Fac. Pharm. Cairo Univ. 1997, 35, 171–183. [Google Scholar]
- El-Feky, S.A.; Al-Ashmawi, M.I.; Hazzaa, A.A.B.; Abd El-Fattah, B. Synthesis of Certain New Sulphur Containing Quinazolinone Derivatives Likely to Possess CNS Depressant Action. Egypt. J. Pharm. Sci. 1983, 24, 39–47. [Google Scholar]
- Hassan, H.M.; Kora, F.A.; El-Naggar, A.M.; Abdel-Magged, T.T. Synthesis of Some Amino Acid and Dipeptide Derivatives with Expected Antimicrobial Activity. Az. J. Pharm. Sci. 1998, 21, 133–141. [Google Scholar]
- Abdel-Hamid, H.A.; Fahmy, A.F.M.; Shiba, S.A.; Hemdan, M.M. Synthesis and Reactions of p-N-Succinimido Benzoic Acid Azide. Egypt. J. Chem. 1993, 36, 149–158. [Google Scholar]
- Sample Availability: Samples of the new compounds are available from the authors.
© 2009 by the authors; licensee Molecular Diversity Preservation International, Basel, Switzerland. This article is an open-access article distributed under the terms and conditions of the Creative Commons Attribution license ( http://creativecommons.org/licenses/by/3.0/).