Next Article in Journal
Efficient Preparation of Aldoximes from Arylaldehydes, Ethylenediamine and Oxone® in Water
Previous Article in Journal
A Novel Antioxidant Phenyl Disaccharide from Populus tremula Knotwood
 
 
Font Type:
Arial Georgia Verdana
Font Size:
Aa Aa Aa
Line Spacing:
Column Width:
Background:
Article

Novel 2-Chloro-8-arylthiomethyldipyridodiazepinone Derivatives with Activity against HIV-1 Reverse Transcriptase

by
Nisachon Khunnawutmanotham
1,
Nitirat Chimnoi
1,
Patchareenart Saparpakorn
2,
Pornpan Pungpo
3,
Suda Louisirirotchanakul
4,
Supa Hannongbua
2 and
Supanna Techasakul
1,*
1
Chulabhorn Research Institute, Vibhavadee-Rangsit Highway, Bangkok 10210, Thailand
2
Department of Chemistry, Faculty of Science, Kasetsart University, Bangkok 10903, Thailand
3
Department of Chemistry, Faculty of Science, Ubonratchathani University, Ubonratchathani 34190, Thailand
4
Department of Microbiology, Siriraj Hospital, Mahidol University, Bangkok 10700, Thailand
*
Author to whom correspondence should be addressed.
Molecules 2007, 12(2), 218-230; https://doi.org/10.3390/12020218
Submission received: 22 December 2006 / Revised: 18 February 2007 / Accepted: 19 February 2007 / Published: 20 February 2007

Abstract

:
Based on the molecular modeling analysis against Y181C HIV-1 RT, dipyridodiazepinone derivatives containing an unsubstituted lactam nitrogen and 2-chloro-8-arylthiomethyl were synthesized via an efficient route. Some of them were evaluated for their antiviral activity against HIV-1 RT subtype E and were found to exhibit virustatic activity comparable to some clinically used therapeutic agents.

Introduction

The introduction of antiretroviral therapy results in delayed progression of HIV-1. The majority of existing therapy methods have targeted the viral replication at reverse transcriptase (RT) and protease enzyme [1,2]. However, the emergence of drug resistance has been observed [3,4], therefore, new therapeutic agents are still needed. Recently, a new class of therapeutic agents has focused on inhibiting HIV entry into cells, CD4 binding, coreceptor binding and membrane fusion such as T-20 [5]. A number of bioactive nucleoside-based compounds against HIV virus have been clinically used [6].
In the clinic, nevirapine (1, Figure 1) [7] monotherapy results in relatively rapid drug resistance due to mutation of the RT enzyme. In an effort to develop a second generation inhibitor with improved activity against mutant RT enzyme, a number of dipyridodiazepinone derivatives have been synthesized and evaluated their activities against HIV-1 RT enzymes [8]. On the basis of a molecular modeling analysis of activity against Y181C HIV-1 RT aimed at modifying the nevirapine structure for higher antiviral activity (Table 1), it was shown that the dipyridodiazepinone derivatives containing unsubstituted lactam nitrogens and a 2-chloro-8-arylthiomethyl (T1 and T2) moiety are effective inhibitors for this mutant enzyme when compared with 68nv, used as reference [9]. The result prompted us to develop an efficient synthetic route to prepare 2-chloro-5,11-dihydro-11-ethyl-8-(phenylthio)methyl-6H-dipyrido[3,2-b:2’,3’-e][1,4]diazepin-6-one (T1) and 2-chloro-5,11-dihydro-11-ethyl-8-(3-methoxy-phenylthio)methyl-6H-dipyrido[3,2-b:2’,3’-e][1,4]diazepin-6-one (T2) and to evaluate their anti-HIV-1 activity as well as verifying our hypothesis.
Figure 1. Structure of nevirapine.
Figure 1. Structure of nevirapine.
Molecules 12 00218 g001
Table 1. Structure of the proposed compounds and calculated Y181C HIV-1-RT inhibitory affinities. Molecules 12 00218 i001
Table 1. Structure of the proposed compounds and calculated Y181C HIV-1-RT inhibitory affinities. Molecules 12 00218 i001
CpdsR1R2R3Y181C log (1/C)
Expt.aCalc.bCalc.cCalc.d
68nvHCH3CH2SPh8.07.837.777.79
T1HHCH2SPh 8.197.968.01
T2HHCH2SPh(m-OCH3) 8.258.058.17
T3HCH2OHCH2SPh 7.707.557.79
T4CH3CH2HCH2SPh 7.917.627.80
T5OCH3HCH2SPh(m-OCH3) 7.707.477.58
a[ref. 9], bCalculated by CoMFA, cCalculated by CoMSIA, dCalculated by HQSAR [ref. 10].

Results and Discussion

Chemistry

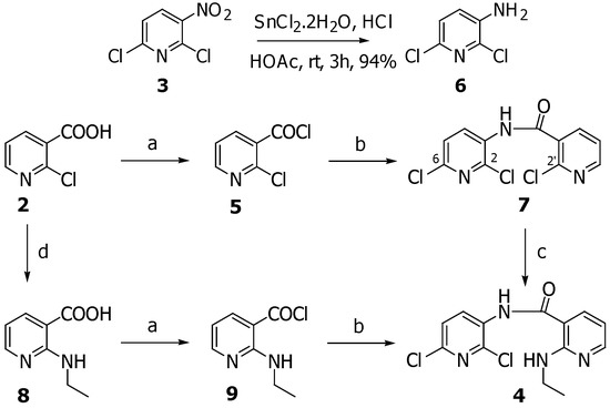
Synthesis of T1 and T2 was accomplished from commercially available 2-chloronicotinic acid (2) and 2,6-dichloro-3-nitropyridine (3). The intermediate aminopyridine 4 was prepared as shown in Scheme 1. Reaction of 2-chloronicotinyl chloride (5) and 3-amino-2,6-dichloropyridine (6), obtained from reduction of 3, provided pyridinecarboxamide 7. Treatment of 7 with ethylamine in xylene produced not only the desired 2°-displacement but also competing substitutions of the 2-chloro and 6-chloro substituents as significant side reactions. To improve the yield of aminopyridine 4, it appears that ethylamine should be introduced before carboxamide formation. Thus, 2 was treated with ethylamine in a sealed tube to give 2-(ethylamino)-3-pyridinecarboxylic acid (8) in quantitative yield. Then, acid chloride 9 produced from 8 was condensed with 6 to yield 4 in good yield. By this method, an increased and satisfactory yield of 4 was obtained.
Scheme 1. Synthesis of the intermediate aminopyridine 4.
Scheme 1. Synthesis of the intermediate aminopyridine 4.
Molecules 12 00218 g004
Reagents and conditions: (a) (COCl)2, benzene, DMF, rt, 1h; (b) 6, dioxane, cyclohexane, pyridine, rt, 16h, 60%(from 5 to 7) and 80%(from 9 to 4); (c) EtNH2, xylene, 120oC, 0.5h, 40%; (d) EtNH2, 120oC, 4h, 99%
Scheme 2. Synthesis of compounds T1 and T2.
Scheme 2. Synthesis of compounds T1 and T2.
Molecules 12 00218 g005
Reagents and conditions: (a) Br2, HOAc, KOAc, rt, 1h, 99%; (b) NaHMDS, py, 90 oC, 1h, 90%; (c) CH2=CH-SnBu3, Pd(PPh3)4, DMF, 90 oC, 1h, 75%; (d) O3, CH2Cl2/MeOH, -78 oC then PPh3, rt, 1h, 85%; (e) NaBH4, THF, H2O, rt, 0.5h, 93%; (f) SOCl2, CH2Cl2, Et3N, rt, 87%; (g) NaH, RSH, DMF, rt, 1h, 70% (T1) and 87% (T2)
The aminopyridine 4 was regioselectively brominated to afford N-(2,6-dichloro-3-pyridinyl)-5-bromo-2-ethylamino-3-pyridinecarboxamide (10) (Scheme 2). The azepinone ring was formed by treatment with sodium hexamethyldisilazane in pyridine to yield 8-bromo-2-chloro-5,11-dihydro-11-ethyl-6H-dipyrido[3,2-b:2’,3’-e][1,4]diazepin-6-one (11). Such a ring closure using sodium hydride led to the undesired debrominated product. Coupling of 11 with vinyltributyltin in the presence of tetrakis(triphenylphosphine)palladium(0) provided the 8-vinyl compound 12, which underwent ozonolysis to give aldehyde 13 in good yield. Reduction of 13 with NaBH4 afforded alcohol 14, which was converted to the corresponding chloride 15 by treatment with thionyl chloride in dichloromethane. Reaction of 15 with thiophenolate and 3-methoxythiophenolate in DMF yielded T1 and T2, respectively. Thus T1 and T2 were synthesized from 2-chloronicotinic acid (2) and 2,6-dichloro-3-nitropyridine (3) in 10 steps with 26% and 32% overall yields, respectively.

Biological Testing

Compounds T1 and T2, together with some intermediates, were evaluated for their virustatic and virucidal activities against HIV-1 subtype E (CRF01 AE). In addition, the toxicity of the compounds, DMSO and cell controls were also examined. The biological activity of T1 and T2 as well as of intermediates 14 and 15 is summarized in Table 2. Compound T1 exhibited virustatic activity at EC50 ≤ 1 μg/mL for seven days. On the other hand, compound T2 exhibited virustatic activity at EC50 ≤ 1 μg/mL during the first four days, but the activity decreased to EC50 ≤ 10 μg/mL by the seventh day. Other intermediates did not show virustatic activity. This result suggested that thioaryl group could be involved in regulating virustatic activity. However, all compounds did not show virucidal activity.
Table 2. Virustatic and virucidal activities at 50% effective concentration (EC50) against HIV-1 subtype E.
Table 2. Virustatic and virucidal activities at 50% effective concentration (EC50) against HIV-1 subtype E.
CpdsVirustatic
EC50, μg/mL
Virucidal
EC50, μg/mL
Day4Day7Day4Day7
14>10 >10>10>10
15>10 >10>10>10
T1< 1 1>10>10
T2≤ 1 ≤ 10>10>10
Virustatic activity of T1 and T2 against HIV-1 subtype E observed in seven days is shown in Figure 2. T1 exhibited comparable virustatic activity to that of AZT, GPOvir and nevirapine at concentration of 1 μg/mL on the fourth day. On the seventh day, T1 exhibited comparable activity to that of nevirapine at a concentration of 1 μg/mL and to that of GPOvir at 10 μg/mL, but showed higher activity than AZT at 1 μg/mL. T2 was less potent than T1 (~6-fold) at concentration of 1 μg/mL.
Figure 2. Virustatic activity of T1 and T2 observed in seven days.
Figure 2. Virustatic activity of T1 and T2 observed in seven days.
Molecules 12 00218 g002
AZT = azidothymidine, GPOvir = analog of three RT inhibitors (nevirapine, lamivudine and stavudine), Nevir = nevirapine, DMSO = DMSO control, VC = virus control and CC = cell control.

Molecular Docking

In order to investigate the orientation and estimated binding energies of the inhibitors in the enzyme binding site, molecular docking by using Lamarckian genetic algorithm AutoDock 3.05 program [11] was used to dock 68nv, T1 and T2 into the binding pocket of HIV-1 RT (pdb code 1KLM) and the results were compared with that of nevirapine, as shown in Table 3. The grid size was set to 80x80x80. A grid spacing of 0.375 Å was used and the numbers of docking runs were set to 50. Superimposition of the binding pocket of HIV-1 RT with docked 68nv, T1 and T2, compared with nevirapine (green), is shown in Figure 3. The obtained results demonstrate clearly that 68nv and both T1 and T2 oriented their structures in the HIV-1 RT binding site similar to nevirapine. However, the final docked energies and free energies of binding of both T1 and T2 which are the same as those of 68nv with the value of about ± 0.5 kcal/mol are much lower than that of nevirapine by about 4 kcal/mol. The explanation for this might be the fact that rotatable thiophenyl side chain in the three compounds can interact with the residues in the binding site such as Lys103, Leu234, His235 and Tyr318. However, the docked orientations of T1 and T2 revealed that the lack of methyl group at R2caused a slight move upwards of the T1 and T2 structures and make the adjustment of ethyl group attached at diazepinone ring to form the attractive interaction with Val189. Furthermore, methoxy group attached in thiophenyl side chain of T2 also interacts with Val106. This can significantly contribute to the conformational change of the whole enzyme structure, and consequently reduce catalytic efficiency of the enzyme.
Table 3. The docked energy and free energy of binding (kcal/mol) of T1 and T2 as compared with nevirapine and 68nv.
Table 3. The docked energy and free energy of binding (kcal/mol) of T1 and T2 as compared with nevirapine and 68nv.
CpdsFinal Docked Energy
(kcal/mol)
Free Energy of Binding
(kcal/mol)
Nevirapine-11.88-11.24
68nv-15.92-15.03
T1-15.58-14.47
T2-16.37-14.82
Figure 3. The binding pocket of enzyme HIV-1 RT with 68nv, T1 and T2 (atom type color) compared with nevirapine (green).
Figure 3. The binding pocket of enzyme HIV-1 RT with 68nv, T1 and T2 (atom type color) compared with nevirapine (green).
Molecules 12 00218 g003

Conclusions

In summary, two dipyridodiazepinone derivatives, T1 and T2, were synthesized based on a molecular modeling study and were found to exhibit virustatic activity against HIV-1 RT subtype E at 2.5 μM (1 μg/mM) and 23.5 μM (10 μg/mL), respectively.

Experimental Section

General

The 1H- and 13C-NMR spectra were recorded on a Varian Gemini 2000 spectrometer operating at 200 and 50 MHz, respectively. Chemical shifts were recorded as δ values in ppm referenced to the solvent. Coupling constants (J) are given in Hertz. Infrared (IR) spectra were recorded in cm-1 on a Perkin Elmer 1760x FT-IR spectrometer. Mass spectra were obtained on a Finnigan Polaris GCQ mass spectrometer and accurate masses (HRMS) were obtained on a Bruker Micro TOF in ESI positive mode. Melting points (m.p.) were determined on a SMP3 melting point apparatus and are reported in oC uncorrected. Column chromatography was performed on Scharlau silica gel 60 (70-230 mesh).

3-Amino-2,6-dichloropyridine (6)

A solution of SnCl2·2H2O (970 mg, 4.3 mmol) in concentrated HCl (0.8 mL) was added dropwise to a stirred solution of 2,6-dichloro-3-nitropyridine (250 mg, 1.3 mmol) in acetic acid (2.6 mL) and the mixture was stirred for 3 hours at room temperature. Then the mixture was cooled in ice bath, and water was added. After stirring for an additional half an hour, the mixture was made basic (pH 12) with aqueous 50% sodium hydroxide. The reaction mixture was extracted with CH2Cl2 and the combined organic layers were washed with water, dried (Na2SO4) and concentrated under reduced pressure to give 6 (200 mg, 94.8%) as white solid which could be used directly in the next step. Recrystallization from hexane/CH2Cl2 afforded needles, m.p. 121-122 oC; FTIR (KBr) νmax: 3460, 3338, 1619, 1559, 1454, 1311, 1145, 720 cm-1; 1H-NMR (CDCl3) δ: 7.06 (d, J=1.47, 2H); 13C-NMR (CDCl3) δ: 138.8, 137.3, 134.6, 125.1, 123.6; MS (EI), m/z (relative intensity): 162 (M+, 100), 126 (20), 99 (10), 64 (30); HRMS (ESI-TOF) calcd. for C5H5Cl2N2 [M+H]+ 162.9824; found: 162.9824.

2-(Ethylamino)-3-pyridine carboxylic acid (8)

A stirred mixture of 2-chloronicotinic acid (2) (300 mg, 1.9 mmol), ethylamine (1.3 mL, 19.1 mmol) was heated at 120 oC in a sealed vessel for 4 hours. After cooling down the ethylamine was removed and the residue was purified by silica gel column chromatography (30% methanol/ethyl acetate) to give 8 (315 mg, 99.7%) as a white solid, m.p. 178-180 oC; FTIR (KBr) νmax: 3474, 3228, 1636, 1557, 1341, 1239; 1H-NMR (DMSO-d6) δ: 8.20 (dd, J=4.8, 1.8, 1H), 8.04 (dd, J=7.7, 1.8 Hz, 1H), 6.50 (dd, J=7.6, 5.1, 1H), 4.81 (br s, 1H), 3.43 (q, J=6.9, 2H), 1.15 (t, J=6.9, 3H); 13C-NMR (DMSO-d6) δ: 169.3, 158.4, 153.0, 140.1, 110.8, 106.9, 35.1, 15.0; MS (EI), m/z (relative intensity): 167 (M++1, 20), 151 (60), 133 (100), 122 (30), 93 (50), 78 (96); HRMS (ESI-TOF) calcd. for C8H11N2O2 [M+H]+ 167.0815; found: 167.0812.

N-(2,6-Dichloro-3-pyridinyl)-2-ethylamino-3-pyridinecarboxamide (4)

A stirred solution of 8 (315 mg, 1.9 mmol), in benzene (10 mL) was treated with oxalyl chloride (0.35 ml, 4.1 mmol) followed by a catalytic amount of DMF (2 drops) and the mixture was stirred at room temperature for 1 hour. Then the solvent was removed under reduced pressure to afford acid chloride 9 as yellow solid. This acid chloride was redissolved in 1,4-dioxane (10 mL) and added dropwise to a solution of 6 (200 mg, 1.2 mmol) in 1,4-dioxane (3 mL), cyclohexane (2 mL) and pyridine (0.2 mL, 2.4 mmol). After stirring at room temperature for 16 hours, the resultant precipitate was filtered. The solid was redissolved in CH2Cl2 and washed with saturated aqueous NaHCO3. The organic layer was washed with water, dried (Na2SO4) and concentrated under reduced pressure. The residue was purified by silica gel column chromatography (15% EtOAc/hexane) to yield 4 (308 mg, 80.7%) as a pale yellow solid, m.p. 119-120 oC; FTIR (KBr) νmax: 3431, 3351, 1660, 1572, 1504, 1301, 1235, 1122, 770; 1H-NMR (CDCl3) δ: 8.77 (d, J=7.3, 1H), 8.33 (d, J=4.4, 1H), 8.20 (s, 1H), 7.97 (br t, 1H), 7.74 (d, J=7.3, 1H), 7.34 (d, J=8.1, 1H), 6.60 (dd, J=7.3, 4.4, 1H), 3.61-3.48 (m, 2H), 1.29 (t, J=7.0, 3H); 13C-NMR (CDCl3) δ: 166.4, 158.1, 153.4, 143.5, 138.7, 135.3, 131.2, 130.9, 123.6, 110.5, 108.0, 35.8, 14.7; MS (EI), m/z (relative intensity): 310 (M+, 20), 275 (25), 149 (35), 131 (100), 119 (20); HRMS (ESI-TOF) calcd. for C13H13Cl2N4O [M+H]+ 311.0461; found: 311.0464.

N-(2,6-Dichloro-3-pyridinyl)-5-bromo-2-ethylamino-3-pyridinecarboxamide (10)

A solution of Br2 (0.06 mL, 1.17 mmol) in acetic acid (1 mL) was added dropwise to a stirred solution of 4 (355 mg, 1.14 mmol), and potassium acetate (134 mg, 1.36 mmol) in acetic acid (15 mL). After 15 minutes, to the reaction mixture was added water and the precipitate was collected by suction filtration and washed with water for several times to provide 10 (435 mg, 98.0%) as a yellow solid, m.p. 193-194 oC; FTIR (KBr), νmax: 3439, 3336, 1673, 1575, 1506, 1302, 1248, 787, 528; 1H-NMR (CDCl3) δ: 8.69 (d, J=8.8, 1H), 8.33 (d, J=2.2, 1H), 8.10 (br s, 1H), 7.89 (br t, 1H), 7.79 (d, J=2.2, 1H), 7.30 (d, J=8.1, 1H), 3.58-3.44 (m, 2H), 1.27 (t, J=7.3, 3H); 13C-NMR (CDCl3) δ: 165.4, 156.5, 154.2, 139.1, 137.4, 131.7, 130.7, 123.8, 109.6, 103.9, 36.1, 14.6; MS (EI), m/z (relative intensity): 388 (M+, 60), 373 (15), 353 (20), 227 (70), 209 (60); HRMS (ESI-TOF) calcd. for C13H12BrCl2N4O [M+H]+ 388.9566; found: 388.9579.

8-Bromo-2-chloro-5,11-dihydro-11-ethyl-6H-dipyrido[3,2-b:2’,3’-e][1,4]diazepin-6-one (11)

A solution of 10 (440 mg, 1.13 mmol) in pyridine (10 mL) was heated at 90oC under a nitrogen atmosphere. Then the solution was added 0.6 M sodium bis(trimethylsilyl)amide in toluene (6.3 mL, 3.7 mmol) and the mixture was stirred at 90 oC for 15 minutes. After cooling down, the mixture was poured into ice water and stirred for additional 2 hours. The precipitate was filtered and washed with water to afford 11 (370 mg, 92.8%) as a yellow solid, m.p. 263-264 oC; FTIR (KBr) νmax: 3195, 3074, 2972, 1665, 1575, 1456, 1381, 1226, 687, 630; 1H-NMR (CDCl3) δ: 8.53 (br s, 1H), 8.49 (d, J=2.2, 1H), 8.24 (d, J=2.2, 1H), 7.27 (d, J=8.1, 1H), 7.06 (d, J=8.1, 1H), 4.81 (q, J=7.3, 2H), 1.25 (t, J=7.3, 3H); 13C-NMR (DMSO-d6) δ: 165.4, 156.8, 151.8, 150.5, 143.0, 142.6, 133.3, 126.3, 122.2, 120.4, 113.6, 41.5, 13.4; MS (EI), m/z (relative intensity): 352 (M+, 80), 337 (42), 324 (75), 309 (20); HRMS (ESI-TOF) calcd. for C13H11BrClN4O [M+H]+ 352.9799; found: 352.9803.

2-Chloro-5,11-dihydro-11-ethyl-8-vinyl-6H-dipyrido[3,2-b:2’,3’-e][1,4]diazepin-6-one (12)

A solution of 11 (500 mg, 1.4 mmol) in DMF (7 mL) was treated with tetrakis(triphenylphosphine)palladium(0) (70 mg, 0.06 mmol) followed by vinyl tributyltin (1 mL, 3.42 mmol) and heated at 100 oC under nitrogen atmosphere for half an hour. After cooling down, the reaction mixture was poured into water and extracted with ethyl acetate. The combined organic layers were washed with 15% aqueous ammonia, brine and water, then dried (Na2SO4) and concentrated under reduced pressure. The residue was purified by silica gel column chromatography (30% EtOAc/hexane) to provide 12 (318 mg, 74.6%) as a yellow solid, m.p. 201-202 oC; FTIR (KBr) νmax: 3195, 2965, 1665, 1585, 1455, 1383, 1239, 688; 1H-NMR (CDCl3) δ: 9.37 (s, 1H), 8.46 (d, J=2.2, 1H), 8.20 (d, J=2.2, 1H), 7.35 (d, J=8.1, 1H), 7.04 (d, J=8.1, 1H), 6.66 (dd, J=17.6, 11.0, 1H), 5.78 (d, J=17.6, 1H), 5.35 (d, J=11.0, 1H), 4.22 (q, J=7.3, 2H), 1.27 (t, J=7.3, 3H); 13C-NMR (CDCl3) δ: 168.8, 157.9, 151.9, 150.1, 145.1, 137.7, 131.9, 131.8, 128.8, 125.0, 119.7, 119.6, 115.8, 42.1, 13.7; MS (EI), m/z (relative intensity): 300 (M+, 100), 285 (35), 272 (92), 257 (35); HRMS (ESI-TOF) calcd. for C15H14ClN4O [M+H]+ 301.0851; found: 301.0855.

2-Chloro-5,11-dihydro-11-ethyl-8-formyl-6H-dipyrido[3,2-b:2’,3’-e][1,4]diazepin -6-one (13)

A cooled (–78 oC) solution of 12 (343 mg, 1.14 mmol) in 1:1 CH2Cl2-MeOH (20 mL) was treated with O3 for 30 minutes. After the completion of reaction, the solution was purged with O2 for 5 minutes. Then the reaction mixture was stirred with triphenylphosphine (598 mg, 2.28 mmol) for additional 1 hour at room temperature. The solvent was removed under reduced pressure and the residue was purified by silica gel column chromatography (30%EtOAc/hexane) to yield 13 (295 mg, 85.4%) as a yellow solid, m.p. 216-217 oC; FTIR (KBr) νmax: 3203, 2939, 1702, 1674, 1596, 1456, 1354, 1231, 975, 692; 1H-NMR (CDCl3) δ: 10.02 (s, 1H), 9.53 (s, 1H), 8.60 (d, J=2.2, 1H), 8.64 (d, J=2.2, 1H), 7.41 (d, J=8.1, 1H), 7.13 (d, J=8.1, 1H), 4.34 (q, J=7.0, 2H), 1.32 (t, J=7.0, 3H); 13C-NMR (CDCl3) δ: 188.6, 168.1, 162.1, 153.8, 149.9, 145.3, 142.3, 132.3, 126.9, 125.0, 120.8, 118.8, 43.0, 13.7; MS (EI), m/z (relative intensity): 302 (M+, 80), 287 (30), 274 (100), 260 (30), 245 (35); HRMS (ESI-TOF) calcd. for C14H12ClN4O2 [M+H]+ 303.0643; found: 303.0645.

2-Chloro-5,11-dihydro-11-ethyl-8-hydroxymethyl-6H-dipyrido[3,2-b:2’,3’-e][1,4]diazepin-6-one (14)

To a solution of 13 (228 mg, 0.75 mmol) in THF (12 mL) were added water (0.1 mL) and sodium borohydride (28.5 mg, 0.75 mmol). The mixture was stirred for half an hour, then diluted with water. THF was removed under reduced pressure and the precipitate was filtered and washed with water to yield 14 (214 mg, 93%) as a white solid, m.p. 197-198 oC; FTIR (KBr) νmax: 3319, 3191, 2959, 1666, 1590, 1456, 1390, 1232, 1041; 1H-NMR (acetone-d6) δ: 9.50 (br s, 1H), 8.46 (d, J=2.2, 1H), 8.11 (d, J=2.2, 1H), 7.60 (d, J=8.1, 1H), 7.18 (d, J=8.1, 1H), 4.65 (d, J=5.13, 2H), 4.56 (t, J=5.86, 1H), 4.15 (q, J=7.3, 2H), 1.21 (t, J=7.3, 3H); 13C-NMR (acetone-d6) δ: 167.8, 158.7, 152.7, 151.0, 144.5, 140.3, 134.1, 133.4, 127.3, 121.2, 120.5, 61.5, 42.4, 14.0; MS (EI), m/z (relative intensity): 304 (M+, 69), 289 (39), 276 (100), 261 (29), 247 (20), 164 (31); HRMS (ESI-TOF) calcd. for C14H14ClN4O2 [M+H]+ 305.0800; found: 305.0805.

2-Chloro-5,11-dihydro-11-ethyl-8-chloromethyl-6H-dipyrido[3,2-b:2’,3’-e][1,4]diazepin-6-one (15)

A suspension of 14 (177 mg, 0.58 mmol) in CH2Cl2 (100 mL) was treated with thionyl chloride (0.3 mL) followed by triethylamine (1 mL). The reaction mixture was stirred at room temperature for 1 hour and a clear solution was obtained. Then, saturated aqueous NaHCO3 was added and the mixture was extracted with CH2Cl2. The organic layer was washed with water, then dried (Na2SO4) and concentrated under reduced pressure. The residue was purified by silica gel column chromatography (20%EtOAc/hexane) to give 15 (163 mg, 87%) as a pale yellow solid, m.p. 226-227 oC; FTIR (KBr) νmax: 3195, 2969, 1671, 1588, 1455, 1382, 1247, 699; 1H-NMR (CDCl3) δ: 9.15 (br s, 1H), 8.47 (d, J=2.9, 1H), 8.19 (d, J=2.9, 1H), 7.34 (d, J=8.1, 1H), 7.06 (d, J=8.1, 1H), 4.58 (s, 2H), 4.23 (q, J=7.3, 2H), 1.27 (t, J=7.3, 3H); 13C-NMR (CDCl3) δ: 168.3, 158.7, 151.7, 151.5, 145.2, 141.4, 131.9, 128.3, 125.0, 119.9, 119.6, 42.3, 42.2, 13.7; MS (EI), m/z (relative intensity): 322 (M+, 54), 307 (31), 294 (62), 287 (37), 259 (100), 244 (28), 231 (21); HRMS (ESI-TOF) calcd. for C14H13Cl2N4O [M+H]+ 323.0461; found: 323.0470.

2-Chloro-5,11-dihydro-11-ethyl-8-(phenylthio)-methyl-6H-dipyrido[3,2-b:2’,3’-e][1,4]diazepin-6-one (T1)

A solution of thiophenol (0.1 ml, 0.97 mmol) in DMF (2 mL) was treated with 60% sodium hydride (65 mg, 1.6 mmol) under a N2 atmosphere. After 10 minutes, a solution of 15 (100 mg, 0.31 mmol) in DMF (3 mL) was added and the mixture was stirred at room temperature for 1 hour. The reaction was quenched by addition of water and the mixture was extracted with EtOAc. The organic layer was washed with water, then dried (Na2SO4) and concentrated under reduced pressure. The residue was purified by silica gel column chromatography (20%EtOAc/hexane) to give T1 (85.5 mg, 70%) as a yellow solid, m.p. 188.5-189.5 oC; FTIR (KBr) νmax: 3182, 2965, 1665, 1585, 1455, 1383, 1239, 739, 688; 1H-NMR (CDCl3) δ: 9.33 (s, 1H), 8.29 (d, J=2.2, 1H), 8.09 (d, J=2.2, 1H), 7.34-7.20 (m, 6H), 7.04 (d, J=8.1, 1H), 4.18 (q, J=7.3, 2H), 4.05 (s, 2H), 1.23 (t, J=7.3, 3H); 13C-NMR (CDCl3) δ: 168.6, 157.8, 151.8, 145.1, 141.2, 134.9, 131.8, 130.6(2C), 129.1(2C), 128.6, 127.0(2C), 125.1, 119.7, 119.6, 42.0, 35.6, 13.6; MS (EI), m/z (relative intensity): 396 (M+, 7), 287 (100), 259 (52), 231 (14); HRMS (ESI-TOF) calcd. for C20H18ClN4OS [M+H]+ 397.0884; found: 397.0894

2-Chloro-5,11-dihydro-11-ethyl-8-(3-methoxyphenylthio)-methyl-6H-dipyrido[3,2-b:2’,3’-e][1,4] diazepin-6-one (T2)

A solution of 3-methoxythiophenol (0.14 ml, 1.14 mmol) in DMF (2 mL) was treated with 60% sodium hydride (76 mg, 1.88 mmol) under a N2 atmosphere. After 10 minutes, a solution of 15 (122 mg, 0.38 mmol) in DMF (3 mL) was added and the mixture was stirred at room temperature for 1 hour. The reaction was quenched by addition of water and the mixture was extracted with EtOAc. The organic layer was washed with water, then dried (Na2SO4) and concentrated under reduced pressure. The residue was recrystallized from hexane/EtOAc to afford T2 (140 mg, 87%) as yellow crystals, m.p. 188-189oC; FTIR (KBr) νmax: 3181, 2965, 1662, 1589, 1458, 1385, 1229, 1044, 767, 693; 1H- NMR (CDCl3) δ: 9.56 (br s, 1H), 8.30 (d, J=2.2, 1H), 8.08 (d, J=2.2, 1H), 7.33 (d, J=8.1, 1H), 7.18 (t, J=8.1, 1H), 7.04 (d, J=8.1, 1H), 6.90-6.72 (m, 3H), 4.06 (s, 2H), 3.73 (s, 3H), 1.23 (t, J=7.3, 3H); 13C- NMR (CDCl3) δ: 168.8, 159.9, 157.9, 151.8(2C), 145.1, 141.2, 136.2, 131.8, 129.9, 128.6, 125.2, 122.6, 119.7, 119.6, 115.8, 112.9, 55.3, 42.1, 35.4, 13.6; MS (EI), m/z (relative intensity): 426 (M+, 6), 287 (100), 259 (57), 231 (15); HRMS (ESI-TOF) calcd. for C21H20ClN4O2S [M+H]+ 427.0990; found: 427.0988.

Biological methods: Materials

DA5 (HIV-1 subtype E) cells were obtained from HIV-1 infected pregnant women. These viruses were X4 strain with the syncytium-inducing (SI) formation property, causing morphological changes (cytopathic effect) in infected cells. White blood cells: peripheral blood mononuclear cells were obtained from blood donors and used for HIV virus isolation. H9 T-lymphoblastoid cell line obtained from Medical Research Centre, UK, was used to prepare the viral stock. C8166 T-lymphoblastoid cell line was used to test the activities of bioactive compounds in all experiments. Bioactive compounds were dissolved in 70-95% DMSO. Three anti-retroviral drugs (reverse transcriptase inhibitors) manufactured by the Government Pharmaceutical Organization (GPO), including ANTIVIR (100 mg AZT), GPO-vir (containing 200 mg nevirapine, 150 mg lamivudine, and 30 mg stavudine), and NERAVIR (200 mg nevirapine), were used as controls in all experiments. All experiments were performed in duplicate.

Toxicity of bioactive compounds, anti-retroviral drugs, and DMSO against white blood cell culture.

The solutions of the bioactive compounds and anti-retroviral drugs (diluted to 10, 1, and 0.1 µg/mL in the culture medium), as well as DMSO (diluted to 1%, 0.1%, and 0.01%), were dispensed into tissue culture plates in duplicates. C8166 cells were then added into each well and examined everyday for 7 days. Moreover, the cells were counted, stained with 1% tryphan blue in order to examine for cell viability under the microscope on day 0, day 4, and day 7, and compared with drug-free control cells.

Virustatic and virucidal tests

The viruses were used at 100 TCID50 (50% tissue cell infectivity dose) level, which was determined by diluting the viruses in quadruplicates, and the potency of the viruses was calculated using Karber equation. Additionally, the following controls were used in all experiments: control viruses diluted to 100, 10, and 1 TCID50 in order to verify that the viruses used in all experiments were at 100 TCID50 level. C8166 control cells were used for cell examination throughout the experiments. Bioactive control was used to investigate the effect of the compounds on the cells. DMSO control was used to evaluate the effect of DMSO on virus proliferation in the cells. Anti-retroviral drug controls (AZT, GPO-vir, and Nevirapine) were used to investigate the effect of the drugs on the cells.

Virustatic test

C8166 cells were incubated with the solutions of bioactive compounds for 30 minutes. The viruses were then added into each well at 100 TCID50 level, and the samples were further incubated for 3 hours. After that, the cells were washed 4 times, and maintained for 7 days. The culture medium was changed on day 3, and the cells were examined for cytopathic effect on days 4 and 7. Additionally, the level of the p24 antigen in the culture medium was determined on day 7 using commercially-available ELISA kits in order to determine the EC50, which was the concentration of each bioactive compound that inhibited the viruses by 50%.

Virucidal test

The viruses at 100 TCID50 level were incubated with the solutions of bioactive compounds for 1 hour. C8166 cells were then added to each well, and the samples were further incubated for 1 hour. After that, the cells were washed 4 times, and maintained for 7 days. The culture medium was changed on day 3, and the cells were examined for cytopathic effect on days 4 and 7. Additionally, the level of the p24 antigen in the culture medium was also determined on day 7 using commercially-available ELISA kits.

Acknowledgments

We are grateful to the Thailand Research Fund (DBG4780009 for S.T., BRG4780007 for S.H., TRG4580072 for P.P. and RGJ-Ph.D. Program (3.C.KU/45/B.1) for P.S.) and to the Ministry of Education for financial support. Grateful acknowledgement is also due to Dr. Poonsakdi Ploypradith, Chulabhorn Research Institute, for his valuable suggestions.

References

  1. Loveday, C. Nucleoside reverse transcriptase inhibitor resistance. J. Acquir. Immune. Defic. Syndr. 2001, 26 (Suppl1), S10–S24. [Google Scholar]
  2. Deeks, S. G. Nonnucleoside reverse transcriptase inhibitor resistance. J. Acquir. Immune. Defic. Syndr. 2001, 26 (Suppl1), S25–S33. [Google Scholar] [CrossRef]
  3. Wainberg, M. A.; Friedland, G. Public health implications of antiretroviral therapy and HIV drug resistance. J. Am. Med. Assoc. 1998, 279, 1977–1983. [Google Scholar] [CrossRef]
  4. Volberding, P.; Lange, J. International perspectives on antiretroviral resistance. Introduction. J. Acquir. Immune. Defic. Syndr. 2001, 26 (Suppl1), S1–S2. [Google Scholar] [CrossRef]
  5. Cooley, L. A.; Lewin, S. R. HIV-1 cell entry and advances in viral entry inhibitor therapy. J. Clin. Virol. 2003, 26, 121–132. [Google Scholar] [CrossRef]
  6. De Clercq, E. Antiviral drugs in current clinical use. J. Clin. Virol. 2004, 30, 115–133. [Google Scholar] [CrossRef]
  7. Hargrave, K. D.; Proudfoot, J. R.; Grozinger, K. G.; Cullen, E.; Kapadia, S. R.; Patel, U. R.; Fuchs, V. U.; Mauldin, S. C.; Vitous, J.; Behnke, M. L.; Klunder, J. M.; Pal, K.; Skiles, J. W.; McNeil, D. W.; Rose, J. M.; Chow, G. C.; Skoog, M. T.; Wu, J. C.; Schmidt, G.; Engel, W. W.; Eberlein, W. G.; Saboe, T. D.; Campbell, S. J.; Rosenthal, A. S.; Adams, J. Novel non-nucleoside inhibitors of HIV-1 reverse transcriptase. 1. Tricyclic pyridobenzo- and dipyridodiazepinones. J. Med. Chem. 1991, 34, 2231–2241. [Google Scholar] [CrossRef]
  8. O’Meara, J. A.; Yoakim, C.; Bonneau, P. R.; Bos, M.; Cordingley, M. G.; Deziel, R.; Doyon, L.; Duan, J.; Garneau, M.; Guse, I.; Landry, S.; Malenfant, E.; Naud, J.; Ogilvie, W. W.; Thavonekham, B.; Simoneau, B. Novel 8-substituted dipyridodiazepinone inhibitors with a broad-spectrum of activity against HIV-1 strains resistant to non-nucleoside reverse transcriptase inhibitors. J. Med. Chem. 2005, 48, 5580–5588. [Google Scholar] [CrossRef]
  9. Cywin, C. L.; Klunder, J. M.; Hoermann, M.; Brickwood, J. R.; David, E.; Grob, P. M.; Schwartz, R.; Pauletti, D.; Barringer, K. J.; Shih, C. –K.; Sorge, C. L.; Erickson, D. A.; Joseph, D. P.; Hattox, S. E. Novel nonnucleoside inhibitors of HIV-1 reverse transcriptase. 8. 8-Aryloxymethyl- and 8-arylthiomethyldipyridodiazepinones. J. Med. Chem. 1998, 41, 2972–2984. [Google Scholar]
  10. Pungpo, P.; Hannongbua, S.; Wolschann, P. Hologram quantitative structure-activity relationships investigations of non-nucleoside reverse transcriptase inhibitors. Curr. Med. Chem. 2003, 10, 1661–1677. [Google Scholar] [CrossRef]
  11. Morris, G. M.; Goodsell, D. S.; Halliday, R. S.; Huey, R.; Hart, W. E.; Belew, R. K.; Olson, A. J. Automated Docking Using a Lamarckian Genetic Algorithm and an Empirical Bindng Free Energy Function. J. Comput. Chem. 1998, 19, 1639–1662. [Google Scholar] [CrossRef]
  • Sample availability: Contact the authors.

Share and Cite

MDPI and ACS Style

Khunnawutmanotham, N.; Chimnoi, N.; Saparpakorn, P.; Pungpo, P.; Louisirirotchanakul, S.; Hannongbua, S.; Techasakul, S. Novel 2-Chloro-8-arylthiomethyldipyridodiazepinone Derivatives with Activity against HIV-1 Reverse Transcriptase. Molecules 2007, 12, 218-230. https://doi.org/10.3390/12020218

AMA Style

Khunnawutmanotham N, Chimnoi N, Saparpakorn P, Pungpo P, Louisirirotchanakul S, Hannongbua S, Techasakul S. Novel 2-Chloro-8-arylthiomethyldipyridodiazepinone Derivatives with Activity against HIV-1 Reverse Transcriptase. Molecules. 2007; 12(2):218-230. https://doi.org/10.3390/12020218

Chicago/Turabian Style

Khunnawutmanotham, Nisachon, Nitirat Chimnoi, Patchareenart Saparpakorn, Pornpan Pungpo, Suda Louisirirotchanakul, Supa Hannongbua, and Supanna Techasakul. 2007. "Novel 2-Chloro-8-arylthiomethyldipyridodiazepinone Derivatives with Activity against HIV-1 Reverse Transcriptase" Molecules 12, no. 2: 218-230. https://doi.org/10.3390/12020218

APA Style

Khunnawutmanotham, N., Chimnoi, N., Saparpakorn, P., Pungpo, P., Louisirirotchanakul, S., Hannongbua, S., & Techasakul, S. (2007). Novel 2-Chloro-8-arylthiomethyldipyridodiazepinone Derivatives with Activity against HIV-1 Reverse Transcriptase. Molecules, 12(2), 218-230. https://doi.org/10.3390/12020218

Article Metrics

Back to TopTop