What Is Mature and What Is Still Emerging in the Cryptocurrency Market?
Abstract
1. Introduction
2. Methods and Results
2.1. Empirical Dataset
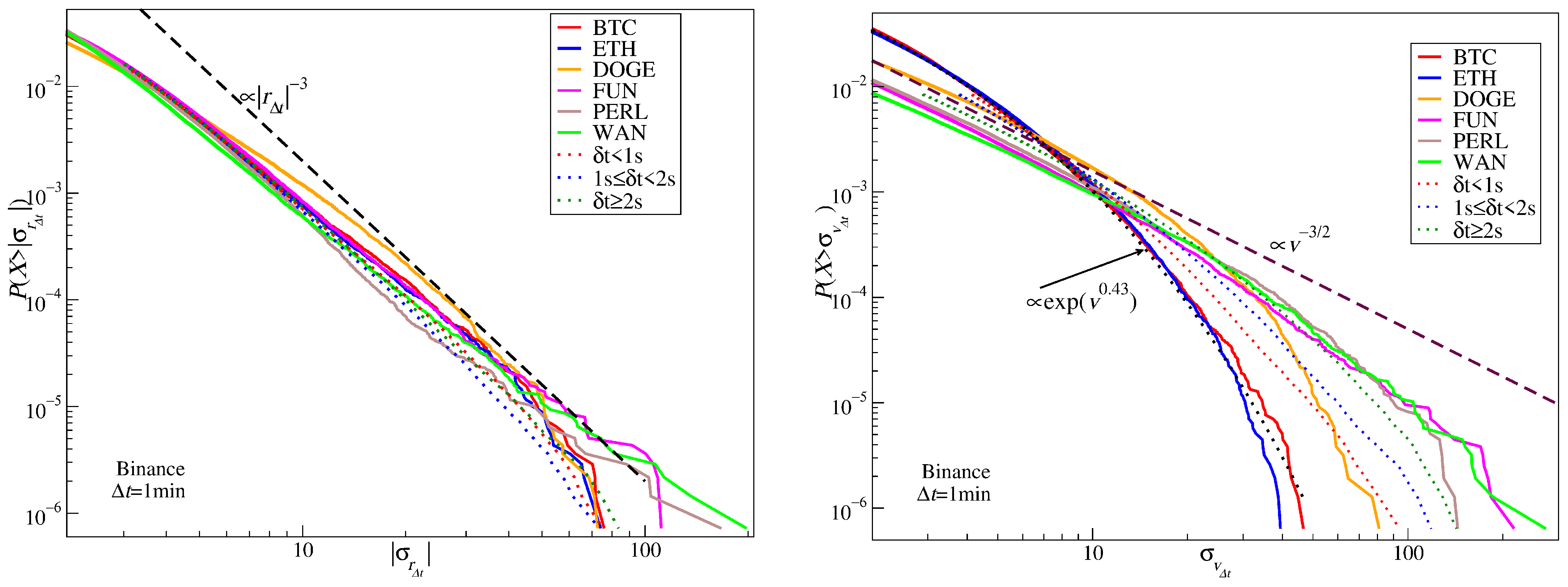
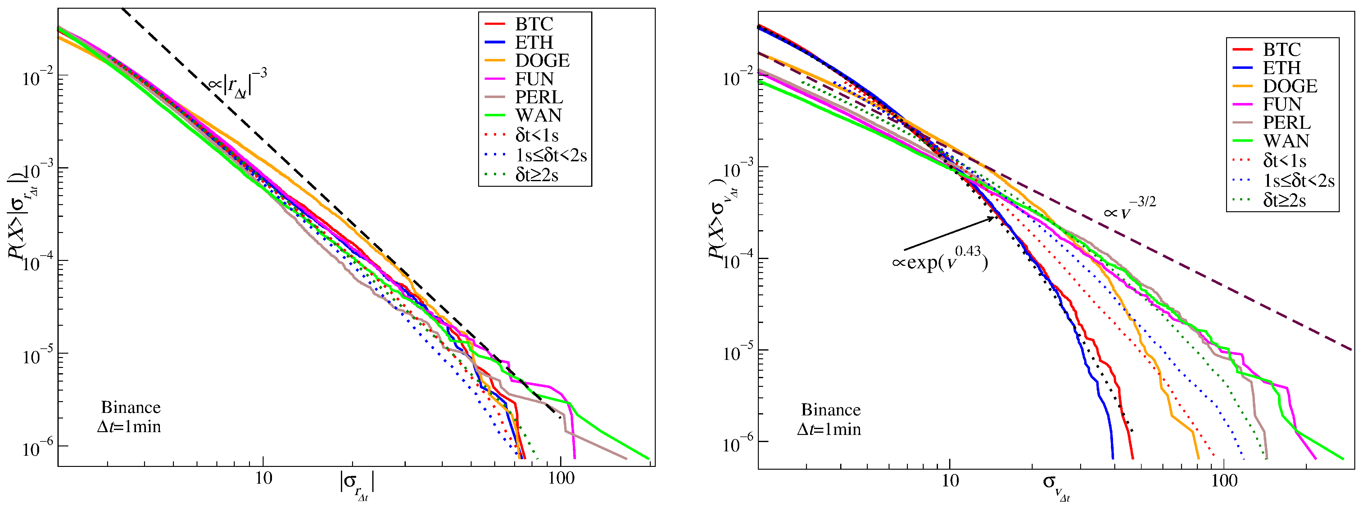
2.2. Cumulative Distribution Functions of Returns and Volume
2.3. Price Impact
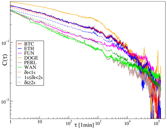
2.4. Volatility Clustering and Long Memory
2.5. Multiscaling of Returns
2.6. Cross-Correlations among Cryptocurrencies
2.7. Cross-Correlations between Cryptocurrencies and Other Markets
3. Conclusions
Author Contributions
Funding
Data Availability Statement
Conflicts of Interest
Appendix A
| Ticker | Name | Ticker | Name | Ticker | Name |
|---|---|---|---|---|---|
| ADA | cardano | FET | fetch | QTUM | qtum |
| ALGO | algorand | FTM | fantom | REN | ren |
| ANKR | ankr | FUN | funtoken | RLC | iexec |
| ARPA | arpa chain | HBAR | hedera | RVN | ravencoin |
| ATOM | cosmos | HOT | holo | STX | stacks |
| BAND | band protocol | ICX | icon | TFUEL | theta fuel |
| BAT | basic atention token | IOST | iost | THETA | theta |
| BCH | bitcoin cash | IOTA | miota | TOMO | tomochain |
| BEAM | beam | IOTX | iotex | TROY | troy |
| BNB | binance coin | KAVA | kava | TRX | tron |
| BTC | bitcoin | KEY | key | VET | vechain |
| CELR | celer network | LINK | chainlink | VITE | vite |
| CHZ | chiliz | LTC | litecoin | WAN | wanchain |
| COS | contentos | MATIC | polygon | WAVES | waves |
| CTXC | cortex | MFT | hifi finance | WIN | winklink |
| DASH | dash | MTL | metal | XLM | stellar |
| DENT | dent | NEO | neo | XMR | monero |
| DOCK | dock | NKN | nkn | XRP | ripple |
| DOGE | dogecoin | NULS | nuls | XTZ | tezos |
| DUSK | dusk network | OMG | omg network | ZEC | zcash |
| ENJ | enj coin | ONE | harmony | ZIL | zilliqa |
| EOS | eos | ONG | ontology gas | ZRX | 0x |
| ETC | ethereum classic | ONT | ontology | ||
| ETH | ethereum | PERL | perl |
References
- Wattenhofer, R. The Science of the Blockchain; CreateSpace Independent Publishing Platform: Scotts Valley, CA, USA, 2016. [Google Scholar]
- Lantz, L.; Cawrey, D. Mastering Blockchain; O’Reilly Media: Sebastopol, CA, USA, 2020. [Google Scholar]
- Corbet, S.; Lucey, B.; Urquhart, A.; Yarovaya, L. Cryptocurrencies as a financial asset: A systematic analysis. Int. Rev. Financ. Anal. 2019, 62, 182–199. [Google Scholar] [CrossRef]
- Gil-Cordero, E.; Cabrera-Sánchez, J.P.; Arrás-Cortés, M.J. Cryptocurrencies as a financial tool: Acceptance factors. Mathematics 2020, 8, 1974. [Google Scholar] [CrossRef]
- Cachanosky, N. Can cryptocurrencies become a commonly accepted means of exchange? In The Economics of Blockchain and CryptocurrencyAIER Sound Money Project; Working Paper No. 2020-14; Edward Elgar Publishing: Cheltenham, UK, 2020. [Google Scholar]
- Wątorek, M.; Drożdż, S.; Kwapień, J.; Minati, L.; Oświęcimka, P.; Stanuszek, M. Multiscale characteristics of the emerging global cryptocurrency market. Phys. Rep. 2021, 901, 1–82. [Google Scholar] [CrossRef]
- James, N.; Menzies, M. Collective correlations, dynamics, and behavioural inconsistencies of the cryptocurrency market over time. Nonlinear Dyn. 2022, 107, 4001–4017. [Google Scholar] [CrossRef] [PubMed]
- Ausloos, M. Statistical physics in foreign exchange currency and stock markets. Physica A 2000, 285, 48–65. [Google Scholar] [CrossRef]
- Cont, R. Empirical properties of asset returns: Stylized facts and statistical issues. Quant. Financ. 2001, 1, 223–236. [Google Scholar] [CrossRef]
- LeBaron, B. Agent-based financial markets: Matching stylized facts with style. In Post Walrasian Macroeconomics: Beyond the Dynamic Stochastic General Equilibrium Model; Cambridge University Press: Cambridge, UK, 2006; pp. 221–236. [Google Scholar]
- Morone, A. Financial markets in the laboratory: An experimental analysis of some stylized facts. Quant. Financ. 2008, 8, 513–532. [Google Scholar] [CrossRef]
- Wątorek, M.; Kwapień, J.; Drożdż, S. Financial return distributions: Past, present, and COVID-19. Entropy 2021, 23, 884. [Google Scholar] [CrossRef]
- Begušić, S.; Kostanjčar, Z.; Eugene Stanley, H.; Podobnik, B. Scaling properties of extreme price fluctuations in Bitcoin markets. Physica A 2018, 510, 400–406. [Google Scholar] [CrossRef]
- Drożdż, S.; Gębarowski, R.; Minati, L.; Oświęcimka, P.; Wątorek, M. Bitcoin market route to maturity? Evidence from return fluctuations, temporal correlations and multiscaling effects. Chaos 2018, 28, 071101. [Google Scholar] [CrossRef]
- Pessa, A.A.; Perc, M.; Ribeiro, H.V. Age and market capitalization drive large price variations of cryptocurrencies. Sci. Rep. 2023, 13, 3351. [Google Scholar] [CrossRef] [PubMed]
- Gopikrishnan, P.; Plerou, V.; Gabaix, X.; Stanley, H.E. Statistical properties of share volume traded in financial markets. Phys. Rev. E 2000, 62, R4493. [Google Scholar] [CrossRef] [PubMed]
- Plerou, V.; Stanley, H.E.; Gabaix, X.; Gopikrishnan, P. On the origin of power-law fluctuations in stock prices. Quant. Financ. 2004, 4, 11–15. [Google Scholar] [CrossRef]
- Kwapień, J.; Wątorek, M.; Bezbradica, M.; Crane, M.; Tan Mai, T.; Drożdż, S. Analysis of inter-transaction time fluctuations in the cryptocurrency market. Chaos 2022, 32, 083142. [Google Scholar] [CrossRef]
- Navarro, R.M.; Leyvraz, F.; Larralde, H. Statistical properties of volume in the Bitcoin/USD market. arXiv 2023, arXiv:2304.01907. [Google Scholar]
- Gillemot, L.; Farmer, J.D.; Lillo, F. There’s more to volatility than volume. Quant. Financ. 2006, 6, 371–384. [Google Scholar] [CrossRef]
- Bouchaud, J.P. Price impact. In Encyclopedia of Quantitative Finance; Cambridge University Press: Cambridge, UK, 2010; pp. 1–6. [Google Scholar]
- Tóth, B.; Lempérière, Y.; Deremble, C.; Lataillade, J.D.; Kockelkoren, J.; Bouchaud, J.P. Anomalous price impact and the critical nature of liquidity in financial markets. Phys. Rev. X 2011, 1, 021006. [Google Scholar]
- Gabaix, X.; Gopikrishnan, P.; Plerou, V.; Stanley, H.E. A theory of power-law distributions in financial market fluctuations. Nature 2003, 423, 267–270. [Google Scholar] [CrossRef]
- Rak, R.; Drożdż, S.; Kwapień, J.; Oświęcimka, P. Stock returns versus trading volume: Is the correspondence more general? Acta Phys. Pol. B 2013, 44, 2035–2050. [Google Scholar] [CrossRef]
- Bucci, F.; Benzaquen, M.; Lillo, F.; Bouchaud, J.P. Crossover from linear to square-root market impact. Phys. Rev. Lett. 2019, 122, 108302. [Google Scholar] [CrossRef]
- Zarinelli, E.; Treccani, M.; Farmer, J.D.; Lillo, F. Beyond the square root: Evidence for logarithmic dependence of market impact on size and participation rate. Mark. Microstruct. Liq. 2015, 1, 1550004. [Google Scholar] [CrossRef]
- Gopikrishnan, P.; Plerou, V.; Nunes Amaral, L.A.; Meyer, M.; Stanley, H.E. Scaling of the distribution of fluctuations of financial market indices. Phys. Rev. E 1999, 60, 5305–5316. [Google Scholar] [CrossRef] [PubMed]
- Drożdż, S.; Kwapień, J.; Oświȩcimka, P.; Rak, R. The foreign exchange market: Return distributions, multifractality, anomalous multifractality and the Epps effect. New J. Phys. 2010, 12, 105003. [Google Scholar] [CrossRef]
- Drożdż, S.; Minati, L.; Oświeçimka, P.; Stanuszek, M.; Wątorek, M. Signatures of the crypto-currency market decoupling from the Forex. Future Internet 2019, 11, 154. [Google Scholar] [CrossRef]
- Matia, K.; Ashkenazy, Y.; Stanley, H.E. Multifractal properties of price fluctuations of stocks and commodities. Europhys. Lett. 2003, 61, 422–428. [Google Scholar] [CrossRef]
- Kwapień, J.; Oświęcimka, P.; Drożdż, S. Components of multifractality in high-frequency stock returns. Physica A 2005, 350, 466–474. [Google Scholar] [CrossRef]
- Oświęcimka, P.; Kwapień, J.; Drożdż, S. Multifractality in the stock market: Price increments versus waiting times. Physica A 2005, 347, 626–638. [Google Scholar] [CrossRef]
- Takaishi, T. Statistical properties and multifractality of Bitcoin. Physica A 2018, 506, 507–519. [Google Scholar] [CrossRef]
- Kristjanpoller, W.; Bouri, E. Asymmetric multifractal cross-correlations between the main world currencies and the main cryptocurrencies. Physica A 2019, 523, 1057–1071. [Google Scholar] [CrossRef]
- Han, Q.; Wu, J.; Zheng, Z. Long-range dependence, multi-fractality and volume-return causality of ether market. Chaos: Interdiscip. J. Nonlinear Sci. 2020, 30, 011101. [Google Scholar] [CrossRef]
- Takaishi, T.; Adachi, T. Market efficiency, liquidity, and multifractality of Bitcoin: A dynamic study. Asia-Pac. Financ. Mark. 2020, 27, 145–154. [Google Scholar] [CrossRef]
- Bariviera, A.F. One model is not enough: Heterogeneity in cryptocurrencies’ multifractal profiles. Financ. Res. Lett. 2021, 39, 101649. [Google Scholar] [CrossRef]
- Takaishi, T. Time-varying properties of asymmetric volatility and multifractality in Bitcoin. PLoS ONE 2021, 16, e0246209. [Google Scholar] [CrossRef] [PubMed]
- Kakinaka, S.; Umeno, K. Asymmetric volatility dynamics in cryptocurrency markets on multi-time scales. Res. Int. Bus. Financ. 2022, 62, 101754. [Google Scholar] [CrossRef]
- Wątorek, M.; Kwapień, J.; Drożdż, S. Multifractal cross-correlations of bitcoin and ether trading characteristics in the post-COVID-19 time. Future Internet 2022, 14, 215. [Google Scholar] [CrossRef]
- Drożdż, S.; Gruemmer, F.; Ruf, F.; Speth, J. Towards identifying the world stock market cross-correlations: DAX versus Dow Jones. Physica A 2001, 294, 226–234. [Google Scholar] [CrossRef]
- Plerou, V.; Gopikrishnan, P.; Rosenow, B.; Amaral, L.A.N.; Guhr, T.; Stanley, H.E. Random matrix approach to cross correlations in financial data. Phys. Rev. E 2002, 65, 066126. [Google Scholar] [CrossRef]
- Maslov, S. Measures of globalization based on cross-correlations of world financial indices. Physica A 2001, 301, 397–406. [Google Scholar] [CrossRef]
- Nguyen, A.P.N.; Mai, T.T.; Bezbradica, M.; Crane, M. The Cryptocurrency Market in Transition before and after COVID-19: An Opportunity for Investors? Entropy 2022, 24, 1317. [Google Scholar] [CrossRef]
- James, N.; Menzies, M.; Chin, K. Economic state classification and portfolio optimisation with application to stagflationary environments. Chaos Solitons Fractals 2022, 164, 112664. [Google Scholar] [CrossRef]
- James, N.; Menzies, M.; Chan, J. Semi-metric portfolio optimization: A new algorithm reducing simultaneous asset shocks. Econometrics 2023, 11, 8. [Google Scholar] [CrossRef]
- Corbet, S.; Meegan, A.; Larkin, C.; Lucey, B.; Yarovaya, L. Exploring the dynamic relationships between cryptocurrencies and other financial assets. Econ. Lett. 2018, 165, 28–34. [Google Scholar] [CrossRef]
- Wang, P.; Zhang, W.; Li, X.; Shen, D. Is cryptocurrency a hedge or a safe haven for international indices? A comprehensive and dynamic perspective. Financ. Res. Lett. 2019, 31, 1–18. [Google Scholar] [CrossRef]
- Shahzad, S.J.H.; Bouri, E.; Roubaud, D.; Kristoufek, L.; Lucey, B. Is Bitcoin a better safe-haven investment than gold and commodities? Int. Rev. Financ. Anal. 2019, 63, 322–330. [Google Scholar] [CrossRef]
- Shahzad, S.J.H.; Bouri, E.; Roubaud, D.; Kristoufek, L. Safe haven, hedge and diversification for G7 stock markets: Gold versus bitcoin. Econ. Model. 2020, 87, 212–224. [Google Scholar] [CrossRef]
- Bouri, E.; Shahzad, S.J.H.; Roubaud, D.; Kristoufek, L.; Lucey, B. Bitcoin, gold, and commodities as safe havens for stocks:New insight through wavelet analysis. Q. Rev. Econ. Financ. 2020, 77, 156–164. [Google Scholar] [CrossRef]
- Drożdż, S.; Kwapień, J.; Oświęcimka, P.; Stanisz, T.; Wątorek, M. Complexity in economic and social systems: Cryptocurrency market at around COVID-19. Entropy 2020, 22, 1043. [Google Scholar] [CrossRef]
- James, N. Dynamics, behaviours, and anomaly persistence in cryptocurrencies and equities surrounding COVID-19. Physica A 2021, 570, 125831. [Google Scholar] [CrossRef]
- James, N.; Menzies, M.; Chan, J. Changes to the extreme and erratic behaviour of cryptocurrencies during COVID-19. Physica A 2021, 565, 125581. [Google Scholar] [CrossRef]
- Wątorek, M.; Kwapień, J.; Drożdż, S. Cryptocurrencies are becoming part of the world global financial market. Entropy 2023, 25, 377. [Google Scholar] [CrossRef]
- Binance. Available online: https://www.binance.com/ (accessed on 1 January 2023).
- Marketshare. Available online: https://www.coindesk.com/markets/2023/01/04/binance-led-market-share-in-2022-despite-overall-decline-in-cex-volumes/ (accessed on 1 April 2023).
- Tether. Available online: https://tether.to/ (accessed on 1 January 2023).
- Farmer, J.D.; Gillemot, L.; Lillo, F.; Mike, S.; Sen, A. What really causes large price changes? Quant. Financ. 2004, 4, 383–397. [Google Scholar] [CrossRef]
- Drożdż, S.; Forczek, M.; Kwapień, J.; Oświęcimka, P.; Rak, R. Stock market return distributions: From past to present. Physica A 2007, 383, 59–64. [Google Scholar] [CrossRef]
- Plerou, V.; Gopikrishnan, P.; Rosenow, B.; Nunes Amaral, L.A.; Stanley, H.E. Universal and nonuniversal properties of cross-correlations in financial time series. Phys. Rev. Lett. 1999, 83, 1471–1474. [Google Scholar] [CrossRef]
- Drożdż, S.; Kwapień, J.; Gümmer, F.; Ruf, F.; Speth, J. Are the contemporary financial fluctuations sooner converging to normal? Acta Phys. Pol. B 2002, 34, 4293–4306. [Google Scholar]
- Nani, A. The doge worth 88 billion dollars: A case study of Dogecoin. Convergence 2022, 28, 1719–1736. [Google Scholar] [CrossRef]
- Shahzad, S.J.H.; Anas, M.; Bouri, E. Price explosiveness in cryptocurrencies and Elon Musk’s tweets. Financ. Res. Lett. 2022, 47, 102695. [Google Scholar] [CrossRef]
- Dufour, A.; Engle, R.F. Time and the price impact of a trade. J. Financ. 2000, 45, 2467–2498. [Google Scholar] [CrossRef]
- Weber, P.; Rosenow, B. Order book approach to price impact. Quant. Financ. 2005, 5, 357–364. [Google Scholar] [CrossRef]
- Wilinski, M.; Cui, W.; Brabazon, A. An analysis of price impact functions of individual trades on the London Stock Exchange. Quant. Financ. 2014, 15, 1727–1735. [Google Scholar] [CrossRef]
- Cont, R.; Kukanov, A.; Stoikov, S. The price impact of order book events. J. Financ. Econom. 2014, 12, 47–88. [Google Scholar] [CrossRef]
- Kwapień, J.; Oświęcimka, P.; Drożdż, S. Detrended fluctuation analysis made flexible to detect range of cross-correlated fluctuations. Phys. Rev. E 2015, 92, 052815. [Google Scholar] [CrossRef] [PubMed]
- Oświęcimka, P.; Drożdż, S.; Forczek, M.; Jadach, S.; Kwapień, J. Detrended cross-correlation analysis consistently extended to multifractality. Phys. Rev. E 2014, 89, 023305. [Google Scholar] [CrossRef] [PubMed]
- Epps, T.W. Comovements in stock prices in the very short run. J. Am. Stat. Assoc. 1979, 74, 291–298. [Google Scholar]
- Kwapień, J.; Drożdż, S.; Speth, J. Time scales involved in emergent market coherence. Physica A 2004, 337, 231–242. [Google Scholar] [CrossRef]
- Toth, B.; Kertesz, J. The Epps effect revisited. Quant. Financ. 2009, 9, 793–802. [Google Scholar] [CrossRef]
- Chen, J.; Lin, D.; Wu, J. Do cryptocurrency exchanges fake trading volumes? An empirical analysis of wash trading based on data mining. Physica A 2022, 586, 126405. [Google Scholar] [CrossRef]
- Rak, R.; Drozdz, S.; Kwapień, J. Nonextensive statistical features of the Polish stock market fluctuations. Physica A 2007, 374, 315–324. [Google Scholar] [CrossRef]
- Drożdż, S.; Kwapień, J.; Oświęcimka, P.; Rak, R. Quantitative features of multifractal subtleties in time series. EPL 2009, 88, 60003. [Google Scholar] [CrossRef]
- Kantelhardt, J.W.; Zschiegner, S.A.; Koscielny-Bunde, E.; Havlin, S.; Bunde, A.; Stanley, H.E. Multifractal detrended fluctuation analysis of nonstationary time series. Physica A 2002, 316, 87–114. [Google Scholar] [CrossRef]
- Zhou, W.X. Finite-size effect and the components of multifractality in financial volatility. Chaos, Solitons Fractals 2012, 45, 147–155. [Google Scholar] [CrossRef]
- Klamut, J.; Kutner, R.; Gubiec, T.; Struzik, Z.R. Multibranch multifractality and the phase transitions in time series of mean interevent times. Phys. Rev. E 2020, 101, 063303. [Google Scholar] [CrossRef] [PubMed]
- Garcin, M. Fractal analysis of the multifractality of foreign exchange rates. Math. Methods Econ. Financ. 2020, 13–14, 49–73. [Google Scholar]
- Kwapień, J.; Blasiak, P.; Drożdż, S.; Oświęcimka, P. Genuine multifractality in time series is due to temporal correlations. Phys. Rev. E 2023, 107, 034139. [Google Scholar] [CrossRef] [PubMed]
- Oświęcimka, P.; Kwapień, J.; Drożdż, S.; Górski, A.; Rak, R. Multifractal Model of Asset Returns versus real stock market dynamics. Acta Phys. Pol. B 2006, 37, 3083–3096. [Google Scholar]
- Oh, G.; Eom, C.; Havlin, S.; Jung, W.S.; Wang, F.; Stanley, H.E.; Kim, S. A multifractal analysis of Asian foreign exchange markets. Eur. Phys. J. B 2012, 85, 1–6. [Google Scholar] [CrossRef]
- Wątorek, M.; Drożdż, S.; Oświęcimka, P.; Stanuszek, M. Multifractal cross-correlations between the world oil and other financial markets in 2012–2017. Energy Econ. 2019, 81, 874–885. [Google Scholar] [CrossRef]
- Jiang, Z.Q.; Xie, W.J.; Zhou, W.X.; Sornette, D. Multifractal analysis of financial markets: A review. Rep. Prog. Phys. 2019, 82, 125901. [Google Scholar] [CrossRef]
- James, N.; Menzies, M.; Gottwald, G.A. On financial market correlation structures and diversification benefits across and within equity sectors. Physica A 2022, 604, 127682. [Google Scholar] [CrossRef]
- Kwapień, J.; Drożdż, S. Physical approach to complex systems. Phys. Rep. 2012, 515, 115–226. [Google Scholar] [CrossRef]
- James, N. Evolutionary correlation, regime switching, spectral dynamics and optimal trading strategies for cryptocurrencies and equities. Phys. D 2022, 434, 133262. [Google Scholar] [CrossRef]
- Prim, R.C. Shortest connection networks and some generalizations. Bell Syst. Tech. J. 1957, 36, 1389–1401. [Google Scholar] [CrossRef]
- Kwapień, J.; Oświęcimka, P.; Forczek, M.; Drożdż, S. Minimum spanning tree filtering of correlations for varying time scales and size of fluctuations. Phys. Rev. E 2017, 95, 052313. [Google Scholar] [CrossRef] [PubMed]
- Chaudhari, H.; Crane, M. Cross-correlation dynamics and community structures of cryptocurrencies. J. Comput. Sci. 2020, 44, 101130. [Google Scholar] [CrossRef]
- James, N.; Menzies, M. Collective dynamics, diversification and optimal portfolio construction for cryptocurrencies. arXiv 2023, arXiv:2304.08902. [Google Scholar]
- Urquhart, A.; Zhang, H. Is Bitcoin a hedge or safe haven for currencies? An intraday analysis. Int. Rev. Financ. Anal. 2019, 63, 49–57. [Google Scholar] [CrossRef]
- Manavi, S.A.; Jafari, G.; Rouhani, S.; Ausloos, M. Demythifying the belief in cryptocurrencies decentralized aspects. A study of cryptocurrencies time cross-correlations with common currencies, commodities and financial indices. Physica A 2020, 556, 124759. [Google Scholar] [CrossRef]
- Kristoufek, L. Grandpa, Grandpa, Tell Me the One About Bitcoin Being a Safe Haven: New Evidence From the COVID-19 Pandemic. Front. Phys. 2020, 8, 296. [Google Scholar] [CrossRef]
- Yarovaya, L.; Matkovskyy, R.; Jalan, A. The COVID-19 black swan crisis: Reaction and recovery of various financial markets. Res. Int. Bus. Financ. 2022, 59, 101521. [Google Scholar] [CrossRef]
- Wang, P.; Liu, X.; Wu, S. Dynamic linkage between Bitcoin and traditional financial assets: A comparative analysis of different time frequencies. Entropy 2022, 24, 1565. [Google Scholar] [CrossRef]
- Zitis, P.I.; Kakinaka, S.; Umeno, K.; Hanias, M.P.; Stavrinides, S.G.; Potirakis, S.M. Investigating dynamical complexity and fractal characteristics of Bitcoin/US Dollar and Euro/US Dollar exchange rates around the COVID-19 outbreak. Entropy 2023, 25, 214. [Google Scholar] [CrossRef]
- Dukascopy. Available online: https://www.dukascopy.com/swiss/pl/cfd/range-of-markets/ (accessed on 1 January 2023).












| Ticker | W [USDT] | C [ USD] | Ticker | W [USDT] | C [ USD] | ||||
|---|---|---|---|---|---|---|---|---|---|
| BTC | 0.04 | 0.003 | 1,683,710 | 320,025 | LINK | 0.41 | 0.095 | 84,423 | 2856 |
| ADA | 0.24 | 0.121 | 172,891 | 8621 | LTC | 0.41 | 0.142 | 80,441 | 5096 |
| ALGO | 0.78 | 0.117 | 24,320 | 1267 | MATIC | 0.32 | 0.166 | 100,100 | 6638 |
| ANKR | 1.84 | 0.195 | 10,762 | 151 | MFT | 5.01 | 0.425 | 2436 | 54 |
| ARPA | 2.75 | 0.165 | 6082 | 33 | MTL | 3.16 | 0.400 | 5122 | 46 |
| ATOM | 0.58 | 0.109 | 42,048 | 2710 | NEO | 1.45 | 0.194 | 18,893 | 451 |
| BAND | 2.13 | 0.175 | 8285 | 49 | NKN | 2.99 | 0.425 | 5807 | 56 |
| BAT | 1.53 | 0.162 | 10,543 | 251 | NULS | 4.44 | 0.442 | 2845 | 12 |
| BCH | 0.70 | 0.140 | 48,288 | 1869 | OMG | 0.83 | 0.178 | 24,235 | 146 |
| BEAM | 5.30 | 0.433 | 2089 | 14 | ONE | 0.97 | 0.227 | 21,983 | 133 |
| BNB | 0.17 | 0.095 | 276,261 | 39,052 | ONG | 5.53 | 0.482 | 2297 | 71 |
| CELR | 1.77 | 0.292 | 10,843 | 68 | ONT | 1.28 | 0.149 | 16,136 | 134 |
| CHZ | 0.59 | 0.232 | 51,827 | 672 | PERL | 5.00 | 0.431 | 2406 | 7 |
| COS | 2.63 | 0.455 | 3575 | 18 | QTUM | 1.58 | 0.179 | 14,178 | 196 |
| CTXC | 3.42 | 0.464 | 3942 | 33 | REN | 2.72 | 0.207 | 6232 | 62 |
| DASH | 1.44 | 0.206 | 14,543 | 468 | RLC | 2.80 | 0.293 | 6090 | 95 |
| DENT | 1.24 | 0.353 | 16,417 | 68 | RVN | 1.82 | 0.202 | 9699 | 232 |
| DOCK | 5.39 | 0.455 | 2135 | 12 | STX | 4.42 | 0.416 | 3847 | 288 |
| DOGE | 0.20 | 0.173 | 247,343 | 9317 | TFUEL | 2.09 | 0.353 | 10,411 | 189 |
| DUSK | 2.97 | 0.441 | 3994 | 34 | THETA | 0.64 | 0.173 | 35,023 | 733 |
| ENJ | 1.17 | 0.225 | 21,114 | 243 | TOMO | 3.84 | 0.316 | 3581 | 24 |
| EOS | 0.53 | 0.147 | 59,616 | 948 | TROY | 3.20 | 0.381 | 3347 | 23 |
| ETC | 0.58 | 0.099 | 63,736 | 2188 | TRX | 0.46 | 0.142 | 71,306 | 5041 |
| ETH | 0.10 | 0.010 | 853,284 | 146,967 | VET | 0.52 | 0.093 | 55,362 | 1163 |
| FET | 2.65 | 0.255 | 7,909 | 75 | VITE | 4.22 | 0.469 | 3078 | 18 |
| FTM | 0.50 | 0.174 | 63,723 | 556 | WAN | 7.24 | 0.303 | 1609 | 34 |
| FUN | 3.91 | 0.538 | 2911 | 66 | WAVES | 1.19 | 0.177 | 19,265 | 144 |
| HBAR | 1.57 | 0.268 | 11,765 | 957 | WIN | 1.01 | 0.283 | 26,244 | 72 |
| HOT | 0.96 | 0.237 | 22,543 | 250 | XLM | 0.78 | 0.165 | 33,309 | 1894 |
| ICX | 2.64 | 0.306 | 6951 | 135 | XMR | 1.62 | 0.184 | 14,164 | 2707 |
| IOST | 1.40 | 0.199 | 14,551 | 129 | XRP | 0.21 | 0.071 | 229,976 | 17,055 |
| IOTA | 1.53 | 0.168 | 12,077 | 478 | XTZ | 1.08 | 0.137 | 19,407 | 663 |
| IOTX | 1.52 | 0.266 | 11,894 | 203 | ZEC | 1.15 | 0.240 | 20,010 | 597 |
| KAVA | 1.57 | 0.155 | 12,888 | 198 | ZIL | 1.03 | 0.145 | 20,195 | 258 |
| KEY | 2.83 | 0.358 | 4310 | 15 | ZRX | 3.04 | 0.214 | 5674 | 128 |
Disclaimer/Publisher’s Note: The statements, opinions and data contained in all publications are solely those of the individual author(s) and contributor(s) and not of MDPI and/or the editor(s). MDPI and/or the editor(s) disclaim responsibility for any injury to people or property resulting from any ideas, methods, instructions or products referred to in the content. |
© 2023 by the authors. Licensee MDPI, Basel, Switzerland. This article is an open access article distributed under the terms and conditions of the Creative Commons Attribution (CC BY) license (https://creativecommons.org/licenses/by/4.0/).
Share and Cite
Drożdż, S.; Kwapień, J.; Wątorek, M. What Is Mature and What Is Still Emerging in the Cryptocurrency Market? Entropy 2023, 25, 772. https://doi.org/10.3390/e25050772
Drożdż S, Kwapień J, Wątorek M. What Is Mature and What Is Still Emerging in the Cryptocurrency Market? Entropy. 2023; 25(5):772. https://doi.org/10.3390/e25050772
Chicago/Turabian StyleDrożdż, Stanisław, Jarosław Kwapień, and Marcin Wątorek. 2023. "What Is Mature and What Is Still Emerging in the Cryptocurrency Market?" Entropy 25, no. 5: 772. https://doi.org/10.3390/e25050772
APA StyleDrożdż, S., Kwapień, J., & Wątorek, M. (2023). What Is Mature and What Is Still Emerging in the Cryptocurrency Market? Entropy, 25(5), 772. https://doi.org/10.3390/e25050772

