On the Computational Study of a Fully Wetted Longitudinal Porous Heat Exchanger Using a Machine Learning Approach
Abstract
:1. Introduction
- The MH approach developed does not make use of gradients and does not call on any previous knowledge (e.g., initial guess, initial approximation, continuity, differentiability and small auxiliary parameters) of the problem. Unlike other deterministic approaches, the ANN-TTA-SQP only requires initial parameter settings (e.g., max. iterations, population size, etc.) and execution stopping criteria.
- A simple method is provided that enables the singularity and non-linearity of complex systems, such as longitudinal porous heat exchangers, to be successfully dealt with.
- Stochastic approaches based on ANN, in contrast to deterministic solvers, are capable of providing a continuous solution across the entirety of the integration domain.
2. Mathematical Formulation of Physical Problem
3. Proposed Methodology
3.1. Neural Networks Based Differential Equation Models
3.2. Optimization Procedure
3.2.1. Tiki-Taka Algorithm
3.2.2. Sequential Quadratic Programming
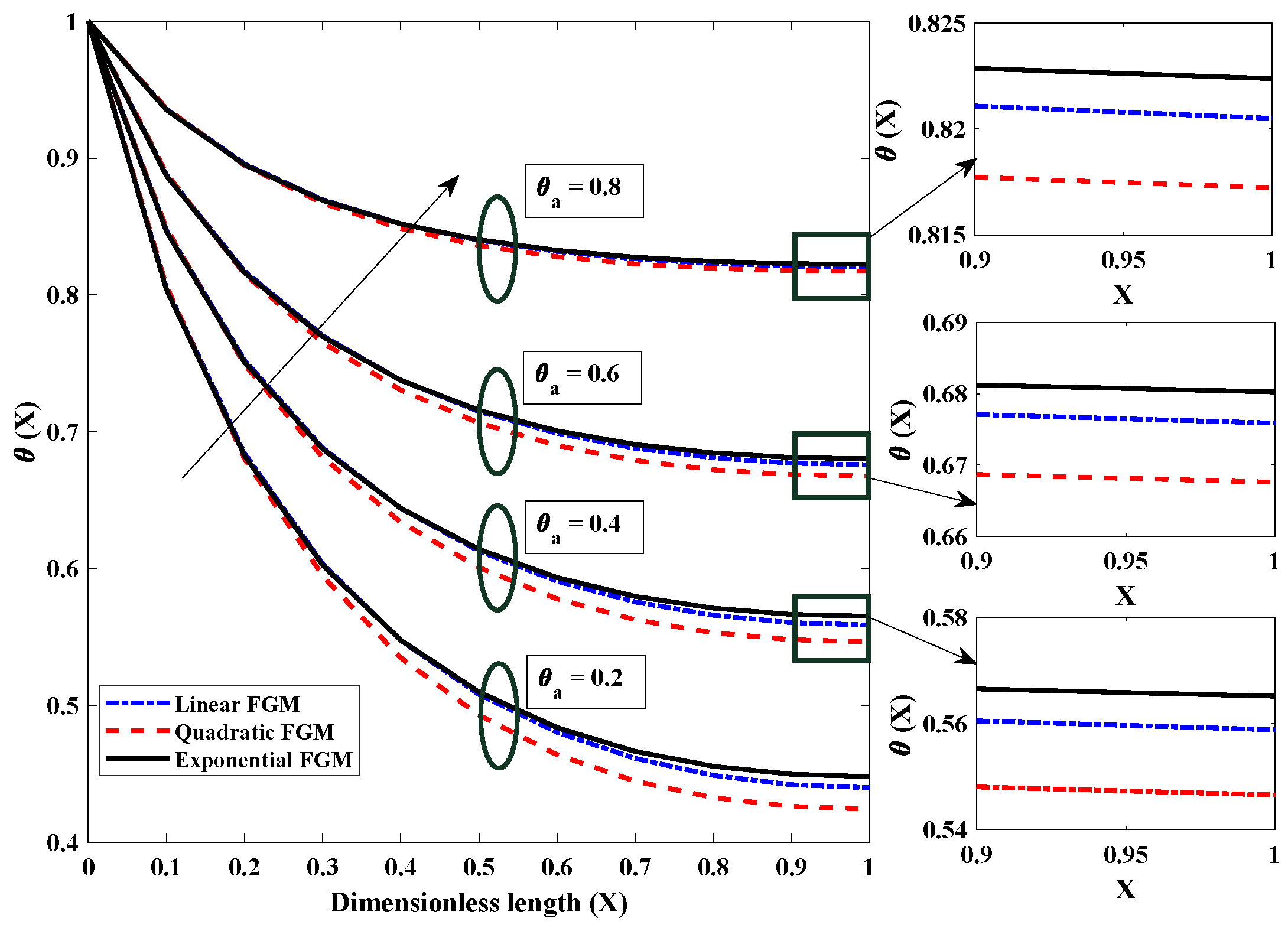
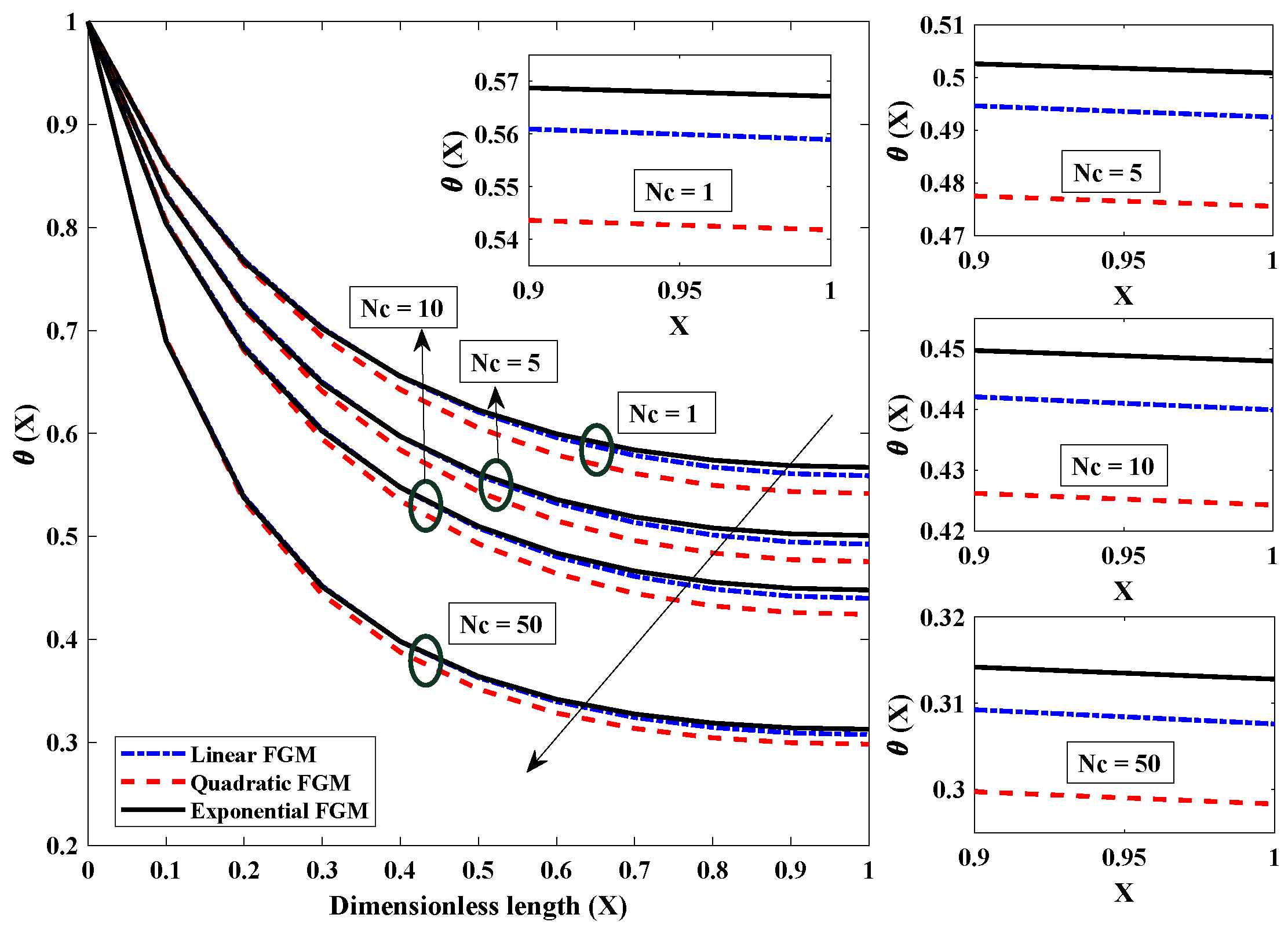
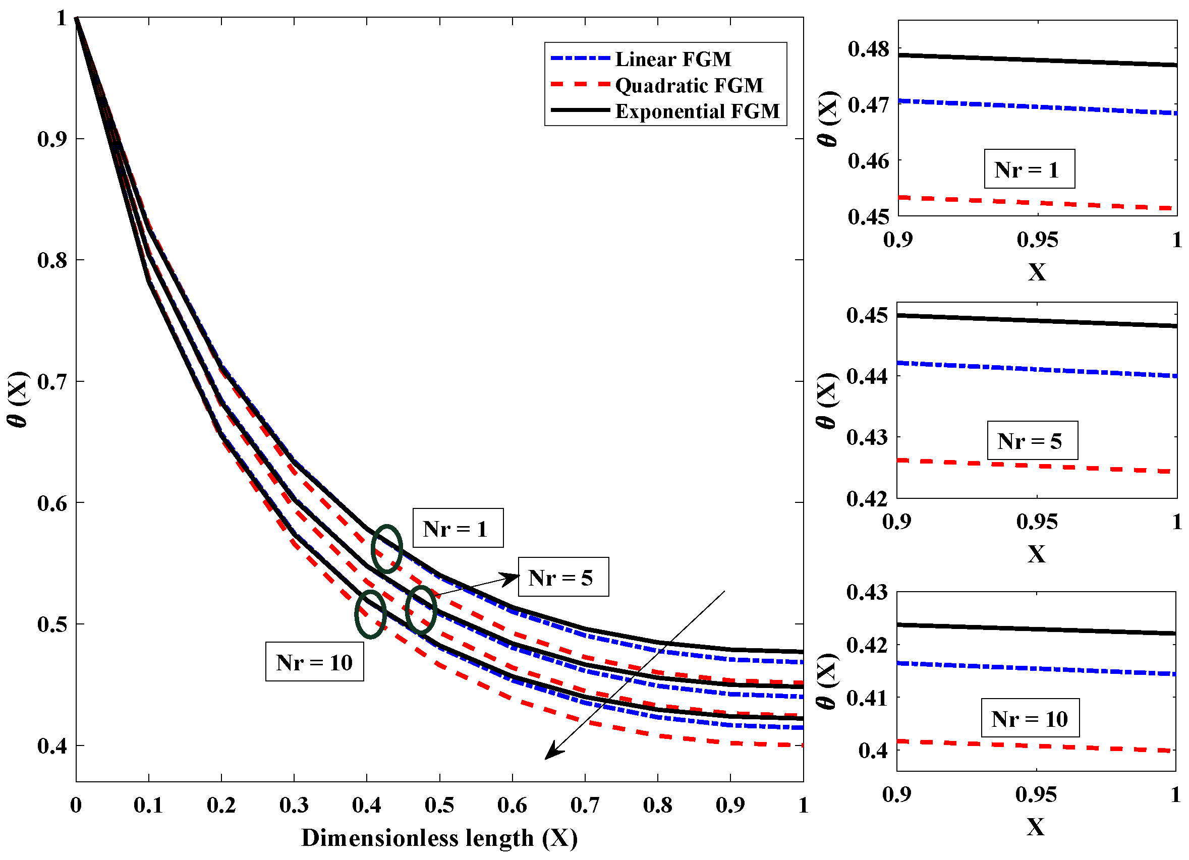
4. Results and Discussion
5. Statistical Analysis
6. Conclusions
- A novel unsupervised framework for an intelligent method was designed to construct surrogate solutions for the governing non-linear mathematical model of a fully wetted longitudinal FGM fin. The ANN-TTA-SQP algorithm was implemented to investigate the significance of variations in the dimensionless ambient temperature, parameter for a moist porous medium, convection parameter, in-homogeneity index, radiation parameter, and power index on the temperature distribution of the FGM fin with multiple fluctuations in thermal conductance.
- The approximate solutions obtained were validated by comparing the statistics with state-of-the-art-techniques, including the particle swarm optimization (PSO) algorithm, the cuckoo search algorithm (CSA), the whale optimization algorithm (WOA), the grey wolf optimization (GWO) algorithm and the machine learning algorithm. Minimum values of the mean square errors were observed in the solutions of the proposed technique.
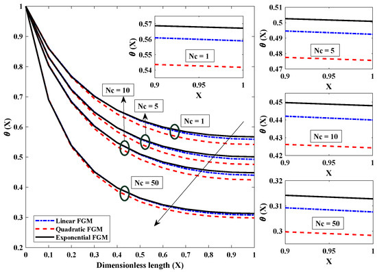
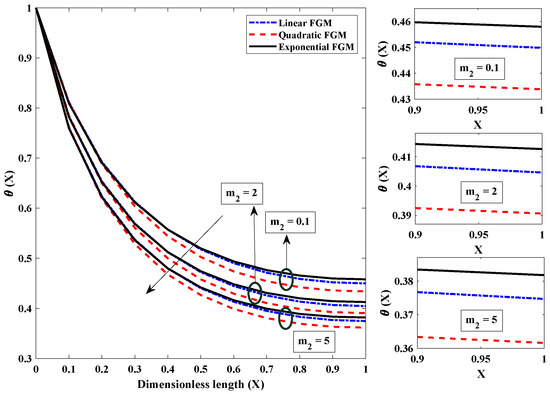
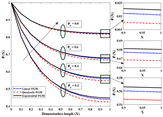
- The thermal distribution in the fin fell when the values of the convective coefficient, radiation coefficient, and parameter for a moist porous medium increased. Increase in the ambient temperature, power index and inhomogeneity parameters caused an increase in the dispersion of the temperature over the heat exchanger.
Author Contributions
Funding
Institutional Review Board Statement
Informed Consent Statement
Data Availability Statement
Acknowledgments
Conflicts of Interest
Appendix A
References
- Maji, A.; Choubey, G. Improvement of heat transfer through fins: A brief review of recent developments. Heat Transf. 2020, 49, 1658–1685. [Google Scholar] [CrossRef]
- Agyenim, F.; Eames, P.; Smyth, M. A comparison of heat transfer enhancement in a medium temperature thermal energy storage heat exchanger using fins. Sol. Energy 2009, 83, 1509–1520. [Google Scholar] [CrossRef]
- Mokheimer, E.M. Performance of annular fins with different profiles subject to variable heat transfer coefficient. Int. J. Heat Mass Transf. 2002, 45, 3631–3642. [Google Scholar] [CrossRef]
- Yun, J.Y.; Lee, K.S. Influence of design parameters on the heat transfer and flow friction characteristics of the heat exchanger with slit fins. Int. J. Heat Mass Transf. 2000, 43, 2529–2539. [Google Scholar] [CrossRef]
- Yüncü, H.; Anbar, G. An experimental investigation on performance of rectangular fins on a horizontal base in free convection heat transfer. Heat Mass Transf. 1998, 33, 507–514. [Google Scholar] [CrossRef]
- Turkyilmazoglu, M. Heat transfer from moving exponential fins exposed to heat generation. Int. J. Heat Mass Transf. 2018, 116, 346–351. [Google Scholar] [CrossRef]
- Ji, C.; Qin, Z.; Low, Z.; Dubey, S.; Choo, F.H.; Duan, F. Non-uniform heat transfer suppression to enhance PCM melting by angled fins. Appl. Therm. Eng. 2018, 129, 269–279. [Google Scholar] [CrossRef]
- Kiwan, S.; Al-Nimr, M. Using porous fins for heat transfer enhancement. J. Heat Transf. 2001, 123, 790–795. [Google Scholar] [CrossRef]
- Kahalerras, H.; Targui, N. Numerical analysis of heat transfer enhancement in a double pipe heat exchanger with porous fins. Int. J. Numer. Methods Heat Fluid Flow 2008, 18, 593–617. [Google Scholar] [CrossRef]
- Kiwan, S. Thermal analysis of natural convection porous fins. Transp. Porous Media 2007, 67, 17–29. [Google Scholar] [CrossRef]
- Gawai, U.; Mathew, V.; Murtuza, S. Experimental Investigation of Heat transfer by pin fin. Int. J. Eng. Innov. Technol. 2013, 2, 202–204. [Google Scholar]
- Shouman, A.R. Nonlinear Heat Transfer and Temperature Distribution through Fins and Electric Filaments of Arbitrary Geometry with Temperature-Dependent Properties and Heat Heneration; National Aeronautics and Space Administration: Washington, DC, USA, 1968.
- Hatami, M.; Ganji, D. Thermal performance of circular convective–radiative porous fins with different section shapes and materials. Energy Convers. Manag. 2013, 76, 185–193. [Google Scholar] [CrossRef]
- Kiwan, S.; Zeitoun, O. Natural convection in a horizontal cylindrical annulus using porous fins. Int. J. Numer. Methods Heat Fluid Flow 2008, 18, 618–634. [Google Scholar] [CrossRef]
- Sharqawy, M.H.; Antar, M.A.; Zubair, S.M.; Elbashir, A.M. Optimum thermal design of humidification dehumidification desalination systems. Desalination 2014, 349, 10–21. [Google Scholar] [CrossRef]
- Domairry, G.; Fazeli, M. Homotopy analysis method to determine the fin efficiency of convective straight fins with temperature-dependent thermal conductivity. Commun. Nonlinear Sci. Numer. Simul. 2009, 14, 489–499. [Google Scholar] [CrossRef]
- Gupta, A.; Sahoo, S.; Mohanty, A. Performance evaluation of porous fin with prescribed tip temperature: An analytical and numerical approach. Int. J. Heat Mass Transf. 2020, 156, 119736. [Google Scholar] [CrossRef]
- Chiu, C.H. A decomposition method for solving the convective longitudinal fins with variable thermal conductivity. Int. J. Heat Mass Transf. 2002, 45, 2067–2075. [Google Scholar] [CrossRef]
- Chang, M.H. A decomposition solution for fins with temperature dependent surface heat flux. Int. J. Heat Mass Transf. 2005, 48, 1819–1824. [Google Scholar] [CrossRef]
- Hatami, M.; Ganji, D. Thermal behavior of longitudinal convective–radiative porous fins with different section shapes and ceramic materials (SiC and Si3N4). Ceram. Int. 2014, 40, 6765–6775. [Google Scholar] [CrossRef]
- Moitsheki, R.; Rashidi, M.; Basiriparsa, A.; Mortezaei, A. Analytical solution and numerical simulation for One-Dimensional steady non-linear heat conduction in a longitudinal radial fin with various profiles. Heat Transf. Asian Res. 2015, 44, 20–38. [Google Scholar] [CrossRef]
- Bhanja, D.; Kundu, B.; Aziz, A. Enhancement of heat transfer from a continuously moving porous fin exposed in convective–radiative environment. Energy Convers. Manag. 2014, 88, 842–853. [Google Scholar] [CrossRef]
- Sobamowo, M. Analysis of convective longitudinal fin with temperature-dependent thermal conductivity and internal heat generation. Alex. Eng. J. 2017, 56, 1–11. [Google Scholar] [CrossRef]
- Ndlovu, P.L. The Significance of Fin Profile and Convective-Radiative Fin Tip on Temperature Distribution in a Longitudinal Fin. Nano Hybrids Compos. 2019, 26, 93–105. [Google Scholar] [CrossRef]
- Khan, N.A.; Sulaiman, M.; Kumam, P.; Bakar, M.A. Thermal analysis of conductive-convective-radiative heat exchangers with temperature dependent thermal conductivity. IEEE Access 2021, 9, 138876–138902. [Google Scholar] [CrossRef]
- Khan, N.A.; Khalaf, O.I.; Romero, C.A.T.; Sulaiman, M.; Bakar, M.A. Application of Euler neural networks with soft computing paradigm to solve non-linear problems arising in heat transfer. Entropy 2021, 23, 1053. [Google Scholar] [CrossRef] [PubMed]
- Nabati, M.; Salehi, G.H.; Taherifar, S. Numerical solution for a porous fin thermal performance problem by application of Sinc collocation method. Math. Methods Appl. Sci. 2021. [Google Scholar] [CrossRef]
- Sobamowo, M. Thermal performance analysis of convective-radiative fin with temperature-dependent thermal conductivity in the presence of uniform magnetic field using partial noether method. J. Therm. Eng. 2018, 4, 2287–2302. [Google Scholar] [CrossRef]
- Nimafar, M.; Akbari, M.; Azadi, R.; Darvari, M. Analysis of Convective Straight Fins with Temperature Dependent Thermal Conductivity Via AGM Approach. Int. J. Adv. Res. Phys. Sci. 2018, 5, 11–21. [Google Scholar]
- Aznam, S.M.; Ghani, N.A.C.; Chowdhury, M. A numerical solution for non-linear heat transfer of fin problems using the Haar wavelet quasilinearization method. Results Phys. 2019, 14, 102393. [Google Scholar] [CrossRef]
- Jayesimi, L.O.; Oguntala, G. Heat transfer study of convective-radiative fin under the influence of magnetic field using Legendre wavelet collocation method. J. Comput. Appl. Mech. 2018, 49, 274–281. [Google Scholar]
- Raghunatha, K.; Kumbinarasaiah, S. Application of Hermite Wavelet Method and Differential Transformation Method for Nonlinear Temperature Distribution in a Rectangular Moving Porous Fin. Int. J. Appl. Comput. Math. 2022, 8, 1–20. [Google Scholar] [CrossRef]
- Pinheiro, I.; Sphaier, L.; de B. Alves, L.S. Integral transform solution of integro-differential equations in conduction-radiation problems. Numer. Heat Transf. Part A Appl. 2018, 73, 94–114. [Google Scholar] [CrossRef]
- Gupta, S.K.; Ramteke, M. Applications of genetic algorithms in chemical engineering II: Case studies. In Applications of Metaheuristics in Process Engineering; Springer: Berlin/Heidelberg, Germany, 2014; pp. 61–87. [Google Scholar]
- Kumar, R.; Baz, A.; Alhakami, H.; Alhakami, W.; Agrawal, A.; Khan, R.A. A hybrid fuzzy rule-based multi-criteria framework for sustainable-security assessment of web application. Ain Shams Eng. J. 2021, 12, 2227–2240. [Google Scholar] [CrossRef]
- Baz, A.; Alhakami, H.; Alshareef, E. A framework of computational model for predicting the spread of COVID-19 pandemic in Saudi Arabia. Int. J. Intell. Eng. Syst. 2020, 13, 463–475. [Google Scholar] [CrossRef]
- Alghamdi, H.; Alsubait, T.; Alhakami, H.; Baz, A. A review of optimization algorithms for university timetable scheduling. Eng. Technol. Appl. Sci. Res. 2020, 10, 6410–6417. [Google Scholar] [CrossRef]
- Iqbal, A.; Raza, M.S.; Ibrahim, M.; Baz, A.; Alhakami, H.; Saeed, M.A. An Improved Approach for Finding Rough Set Based Dynamic Reducts. IEEE Access 2020, 8, 173008–173023. [Google Scholar] [CrossRef]
- Rana, T.; Imran, M.A.; Baz, A. A Component Model with Verifiable Composition for the Construction of Emergency Management Systems. Arab. J. Sci. Eng. 2020, 45, 10683–10692. [Google Scholar] [CrossRef]
- Khan, N.A.; Sulaiman, M.; Tavera Romero, C.A.; Alarfaj, F.K. Theoretical analysis on absorption of carbon dioxide (CO2) into solutions of phenyl glycidyl ether (PGE) using non-linear autoregressive exogenous neural networks. Molecules 2021, 26, 6041. [Google Scholar] [CrossRef]
- Khan, N.A.; Alshammari, F.S.; Romero, C.A.T.; Sulaiman, M.; Laouini, G. Mathematical Analysis of Reaction–Diffusion Equations Modeling the Michaelis–Menten Kinetics in a Micro-Disk Biosensor. Molecules 2021, 26, 7310. [Google Scholar] [CrossRef]
- Khan, N.A.; Sulaiman, M.; Tavera Romero, C.A.; Laouini, G.; Alshammari, F.S. Study of rolling motion of ships in random beam seas with non-linear restoring moment and damping effects using neuroevolutionary technique. Materials 2022, 15, 674. [Google Scholar] [CrossRef]
- Khan, N.A.; Sulaiman, M.; Aljohani, A.J.; Bakar, M.A. Mathematical models of CBSC over wireless channels and their analysis by using the LeNN-WOA-NM algorithm. Eng. Appl. Artif. Intell. 2022, 107, 104537. [Google Scholar] [CrossRef]
- Khan, N.A.; Sulaiman, M.; Tavera Romero, C.A.; Alshammari, F.S. Analysis of Nanofluid Particles in a Duct with Thermal Radiation by Using an Efficient Metaheuristic-Driven Approach. Nanomaterials 2022, 12, 637. [Google Scholar] [CrossRef] [PubMed]
- Khan, N.A.; Sulaiman, M.; Bonyah, E.; Seidu, J.; Alshammari, F.S. Investigation of Three-Dimensional Condensation Film Problem over an Inclined Rotating Disk Using a Nonlinear Autoregressive Exogenous Model. Comput. Intell. Neurosci. 2022, 2022. [Google Scholar] [CrossRef] [PubMed]
- Khan, N.A.; Sulaiman, M.; Kumam, P.; Alarfaj, F.K. Application of Legendre polynomials based neural networks for the analysis of heat and mass transfer of a non-Newtonian fluid in a porous channel. Adv. Contin. Discret. Model. 2022, 2022, 7. [Google Scholar] [CrossRef]
- Darvishi, M.; Gorla, R.; Khani, F. Natural convection and radiation in porous fins. Int. J. Numer. Methods Heat Fluid Flow 2013, 23, 1406–1420. [Google Scholar] [CrossRef]
- Rashid, M.F.F.A. Tiki-taka algorithm: A novel metaheuristic inspired by football playing style. Eng. Comput. 2020, 38, 313–343. [Google Scholar] [CrossRef]
- Yang, X.S. Engineering Mathematics with Examples and Applications; Academic Press: Cambridge, MA, USA, 2016. [Google Scholar]
- Long, K.; Wang, X.; Gu, X. Multi-material topology optimization for the transient heat conduction problem using a sequential quadratic programming algorithm. Eng. Optim. 2018, 50, 2091–2107. [Google Scholar] [CrossRef]
- Sun, Z.; Sun, Y.; Li, Y.; Liu, K. A new trust region–sequential quadratic programming approach for non-linear systems based on non-linear model predictive control. Eng. Optim. 2019, 51, 1071–1096. [Google Scholar] [CrossRef]
- Liu, Z.; Reynolds, A.C. A sequential-quadratic-programming-filter algorithm with a modified stochastic gradient for robust life-cycle optimization problems with non-linear state constraints. SPE J. 2020, 25, 1938–1963. [Google Scholar] [CrossRef]
- Singh, G.; Rattan, M.; Gill, S.S.; Mittal, N. Hybridization of water wave optimization and sequential quadratic programming for cognitive radio system. Soft Comput. 2019, 23, 7991–8011. [Google Scholar] [CrossRef]
- Xiao, C.L.; Huang, H.X. Optimal design of heating system in rapid thermal cycling blow mold by a two-step method based on sequential quadratic programming. Int. Commun. Heat Mass Transf. 2018, 96, 114–121. [Google Scholar] [CrossRef]
- Deshamukhya, T.; Bhanja, D.; Nath, S.; Hazarika, S.A. Prediction of optimum design variables for maximum heat transfer through a rectangular porous fin using particle swarm optimization. J. Mech. Sci. Technol. 2018, 32, 4495–4502. [Google Scholar] [CrossRef]
- Kumar, H.; Vishweshwara, P.; Gnanasekaran, N. The use if GA and PSO for the inverse estimation of heat flux in the conjugate heat transfer probolem. In Proceedings of the 24th National and 2nd International ISHMT-ASTFE Heat and Mass Transfer Conference (IHMTC-2017), Hyderabad, India, 27–30 December 2017; Begel House Inc.: Hyderabad, India, 2017. [Google Scholar]
- Singhal, M.; Singla, R.K.; Goyal, K. A novel comparative approach on inverse heat transfer analysis of an experimental setup of an extended surface. Int. Commun. Heat Mass Transf. 2020, 118, 104822. [Google Scholar] [CrossRef]
- Mirjalili, S.; Lewis, A. The whale optimization algorithm. Adv. Eng. Softw. 2016, 95, 51–67. [Google Scholar] [CrossRef]
- Mareli, M.; Twala, B. An adaptive Cuckoo search algorithm for optimisation. Appl. Comput. Inform. 2018, 14, 107–115. [Google Scholar] [CrossRef]
- Nonlaopon, K.; Khan, N.A.; Sulaiman, M.; Alshammari, F.S.; Laouini, G. Heat Transfer Analysis of Nanofluid Flow in a Rotating System with Magnetic Field Using an Intelligent Strength Stochastic-Driven Approach. Nanomaterials 2022, 12, 2273. [Google Scholar] [CrossRef]














| Approximate Solution | Mean Square Errors | |||||||||||
|---|---|---|---|---|---|---|---|---|---|---|---|---|
| PSO | CSA | WOA | GWO | FFNN-BLM | ANN-TTA-SQP | PSO | CSA | WOA | GWO | FFNN-BLM | ANN-TTA-SQP | |
| 0 | 0.999711 | 1.000306 | 0.999667 | 0.999504 | 0.999945 | 1.000001 | ||||||
| 0.1 | 0.887736 | 0.888135 | 0.887723 | 0.887571 | 0.887901 | 0.887954 | ||||||
| 0.2 | 0.817149 | 0.817429 | 0.817140 | 0.817001 | 0.817260 | 0.817297 | ||||||
| 0.3 | 0.770009 | 0.770241 | 0.770031 | 0.769846 | 0.770111 | 0.770156 | ||||||
| 0.4 | 0.737502 | 0.737702 | 0.737539 | 0.737317 | 0.737594 | 0.737637 | ||||||
| 0.5 | 0.714736 | 0.714904 | 0.714770 | 0.714520 | 0.714809 | 0.714842 | ||||||
| 0.6 | 0.698784 | 0.698937 | 0.698823 | 0.698519 | 0.698847 | 0.698884 | ||||||
| 0.7 | 0.687842 | 0.688008 | 0.687907 | 0.687509 | 0.687915 | 0.687972 | ||||||
| 0.8 | 0.680782 | 0.680978 | 0.680884 | 0.680373 | 0.680877 | 0.680957 | ||||||
| 0.9 | 0.676882 | 0.677108 | 0.677015 | 0.676395 | 0.676995 | 0.677087 | ||||||
| 1 | 0.675655 | 0.675904 | 0.675807 | 0.675080 | 0.675777 | 0.675874 | ||||||
| Linear FGM | Quadratic FGM | Exponential FGM | ||||||||||
|---|---|---|---|---|---|---|---|---|---|---|---|---|
| 0.00 | 0.00005 | 0.00028 | 0.00046 | 0.00077 | 0.00018 | 0.00057 | 0.00013 | 0.00019 | 0.00077 | 0.00021 | 0.00040 | 0.00035 |
| 0.10 | 0.00006 | 0.00118 | 0.00143 | 0.00450 | 0.00186 | 0.00219 | 0.00116 | 0.00064 | 0.00035 | 0.00042 | 0.00056 | 0.00317 |
| 0.20 | 0.00093 | 0.00531 | 0.00413 | 0.00999 | 0.00538 | 0.00309 | 0.00361 | 0.00110 | 0.00020 | 0.00200 | 0.00176 | 0.00963 |
| 0.30 | 0.00242 | 0.00696 | 0.00674 | 0.00665 | 0.00858 | 0.00528 | 0.00315 | 0.00167 | 0.00169 | 0.00436 | 0.00437 | 0.00989 |
| 0.40 | 0.00531 | 0.00040 | 0.00265 | 0.00336 | 0.00184 | 0.00312 | 0.00179 | 0.00118 | 0.00057 | 0.00351 | 0.00475 | 0.00268 |
| 0.50 | 0.00460 | 0.00257 | 0.00324 | 0.00206 | 0.00475 | 0.00372 | 0.00220 | 0.00149 | 0.00320 | 0.00235 | 0.00353 | 0.00651 |
| 0.60 | 0.00243 | 0.00220 | 0.00046 | 0.00516 | 0.00208 | 0.00098 | 0.00277 | 0.00072 | 0.00085 | 0.00272 | 0.00333 | 0.00497 |
| 0.70 | 0.00680 | 0.00163 | 0.00161 | 0.00362 | 0.00192 | 0.00347 | 0.00005 | 0.00017 | 0.00320 | 0.00320 | 0.00484 | 0.00193 |
| 0.80 | 0.00265 | 0.00210 | 0.00068 | 0.00343 | 0.00431 | 0.00159 | 0.00258 | 0.00118 | 0.00302 | 0.00112 | 0.00091 | 0.00535 |
| 0.90 | 0.01247 | 0.00690 | 0.00025 | 0.00864 | 0.00267 | 0.00162 | 0.00190 | 0.00288 | 0.00119 | 0.00409 | 0.00593 | 0.00196 |
| 1.00 | 0.00668 | 0.00535 | 0.00117 | 0.00651 | 0.00460 | 0.00030 | 0.00227 | 0.00382 | 0.00353 | 0.00231 | 0.00432 | 0.00367 |
| FGM | Objective Value | MAD | TIC | RMSE | ENSE | ||||||
|---|---|---|---|---|---|---|---|---|---|---|---|
| Min. | Avg. | Min. | Avg. | Min. | Avg. | Min. | Avg. | Min. | Avg. | ||
| Linear | 0.2 | ||||||||||
| 0.4 | |||||||||||
| 0.6 | |||||||||||
| 0.8 | |||||||||||
| Quadratic | 0.2 | ||||||||||
| 0.4 | |||||||||||
| 0.6 | |||||||||||
| 0.8 | |||||||||||
| Exponential | 0.2 | ||||||||||
| 0.4 | |||||||||||
| 0.6 | |||||||||||
| 0.8 | |||||||||||
Publisher’s Note: MDPI stays neutral with regard to jurisdictional claims in published maps and institutional affiliations. |
© 2022 by the authors. Licensee MDPI, Basel, Switzerland. This article is an open access article distributed under the terms and conditions of the Creative Commons Attribution (CC BY) license (https://creativecommons.org/licenses/by/4.0/).
Share and Cite
Alhakami, H.; Khan, N.A.; Sulaiman, M.; Alhakami, W.; Baz, A. On the Computational Study of a Fully Wetted Longitudinal Porous Heat Exchanger Using a Machine Learning Approach. Entropy 2022, 24, 1280. https://doi.org/10.3390/e24091280
Alhakami H, Khan NA, Sulaiman M, Alhakami W, Baz A. On the Computational Study of a Fully Wetted Longitudinal Porous Heat Exchanger Using a Machine Learning Approach. Entropy. 2022; 24(9):1280. https://doi.org/10.3390/e24091280
Chicago/Turabian StyleAlhakami, Hosam, Naveed Ahmad Khan, Muhammad Sulaiman, Wajdi Alhakami, and Abdullah Baz. 2022. "On the Computational Study of a Fully Wetted Longitudinal Porous Heat Exchanger Using a Machine Learning Approach" Entropy 24, no. 9: 1280. https://doi.org/10.3390/e24091280
APA StyleAlhakami, H., Khan, N. A., Sulaiman, M., Alhakami, W., & Baz, A. (2022). On the Computational Study of a Fully Wetted Longitudinal Porous Heat Exchanger Using a Machine Learning Approach. Entropy, 24(9), 1280. https://doi.org/10.3390/e24091280

