Next Article in Journal
Revisiting Sequential Information Bottleneck: New Implementation and Evaluation
Next Article in Special Issue
Properties of Spherically Symmetric Black Holes in the Generalized Brans–Dicke Modified Gravitational Theory
Previous Article in Journal
Fixed-Time Leader-Following Consensus Tracking Control for Nonliear Multi-Agent Systems under Jointly Connected Graph
Previous Article in Special Issue
Solenoid Configurations and Gravitational Free Energy of the AdS–Melvin Spacetime
 
 
Font Type:
Arial Georgia Verdana
Font Size:
Aa Aa Aa
Line Spacing:
Column Width:
Background:
Article

Restricted Phased Space Thermodynamics for Black Holes in Higher Dimensions and Higher Curvature Gravities

School of Physics, Nankai University, Tianjin 300071, China
*
Author to whom correspondence should be addressed.
Entropy 2022, 24(8), 1131; https://doi.org/10.3390/e24081131
Submission received: 25 July 2022 / Revised: 10 August 2022 / Accepted: 12 August 2022 / Published: 16 August 2022
(This article belongs to the Special Issue Advances in Black Hole Thermodynamics)

Abstract

:
The recently proposed restricted phase space thermodynamics is shown to be applicable to a large class of higher dimensional higher curvature gravity models coupled to Maxwell field, which are known as black hole scan models and are labeled by the spacetime dimension d and the highest order k of the Lanczos-Lovelock densities appearing in the action. Three typical example cases with ( d , k ) = ( 5 , 1 ) , ( 5 , 2 ) and ( 6 , 2 ) are chosen as example cases and studied in some detail. These cases are representatives of Einstein-Hilbert, Chern-Simons and Born-Infield like gravity models. Our study indicates that the Einstein-Hilbert and Born-Infield like gravity models have similar thermodynamic behaviors, e.g., the existence of isocharge T S phase transitions with the same critical exponents, the existence of isovoltage T S transitions and the Hawking-Page like transitions, and the similar high temperature asymptotic behaviors for the isocharge heat capacities, etc. However, the Chern-Simons like ( 5 , 2 ) -model behaves quite differently. Neither isocharge nor isovoltage T S transitions could occur and no Hawking-Page like transition is allowed. This seems to indicate that the Einstein-Hilbert and Born-Infield like models belong to the same universality class while the Chern-Simons like models do not.

1. Introduction

Understanding the thermodynamic properties of black holes is among the central tasks of modern gravitational physics. Although black hole thermodynamics has been studied for over half a century, this field of study is far from being completed. Different proposals/formalisms emerge from time to time, which can be briefly classified into two major classes, i.e., traditional black hole thermodynamics (TBHT) [1,2,3,4] and extended phase space thermodynamics (EPST) [5,6,7,8,9,10,11,12,13,14,15] for AdS black holes. In particular, Visser’s recent proposal for a holographic thermodynamics [16] (when applied to black holes) can be regarded as a further development of EPST, which also applies specifically to AdS black holes only [17,18].
The resent interests in black hole thermodynamics has been largely triggered by EPST because this formalism of black hole thermodynamics reveals some possible nontrivial thermodynamic behaviors of black holes such as phase transitions and critical phenomena. However, the EPST formalism is not free of internal issues. For instance, well-known Smarr relations [19] for black hole solutions always contain rational coefficients, which indicates the lack of complete Euler homogeneity (see, e.g., [20] for standard description for the importance of Euler homogeneity in standard thermodynamics) and constitutes a stumbling stone in understanding the conditions for equilibrium conditions for black holes; the variable cosmological constant causes the ensemble of theories issue; the interpretation of black hole mass as enthalpy looks unnatural and lacks physical interpretation; and the inability to extend to non-AdS black holes seems to indicate that the EPST formalism is in short of universality, etc.
In some recent works, we proposed yet another formalism for black hole thermodynamics, i.e., the restricted phase space thermodynamics (RPST) [21,22,23,24], which is a restricted version of Visser’s proposal [16] by removing the P , V variables. Unlike the previous formalisms, our formalism is free of all the above mentioned issues because (i) the cosmological constant is fixed and removed from the list of thermodynamic variables, this choice removes the ensemble of theories issue and brings back the interpretation of black hole mass from enthalpy to internal energy; (ii) the introduction of the effective number of microscopic degrees of freedom N = L D 2 / G , together with its conjugate, the chemical potential μ = G T I E / L D 2 , where G is the variable Newton constant, I E is the Euclidean action (which has been extensively studies in various cases [25,26,27]) and L is a constant length scale, makes the Euler homogeneity hold perfectly; (iii) the definition of N and μ as given above is independent of holographic duality, therefore the RPST formalism is valid not only for AdS black holes but also for non-AdS ones. Regarding the Euler homogeneity, let us remind that, there exist some works which were able to realize the Euler homogeneity using the EPST formalism [28,29], however those works relies heavily on the holographic duality and hence is not applicable to non-AdS cases.
Up till now, our study of RPST formalism is limited to black holes in Einstein gravity in four and higher dimensions. It remains to check whether this formalism works also for alternative theories of gravity, e.g., higher curvature gravities [30,31,32]. The present work is a first step toward this direction. In this work, we will extend the RPST formalism to higher curvature gravity theories. Since the RPST formalism requires a fixed cosmological constant (be it positive, negative or zero), the class of black hole scan models [33] (which are a subclass of Lanczos-Lovelock models with some particular choices of the coupling coefficients) is an ideal choice for such studies, because such models admit a unique AdS solution with fixed cosmological constant. Please be reminded that choosing the black hole scan models as the first example for the application of the RPST formalism to higher curvature gravity models does not imply that such models are specific. It is simply a choice for convenience because this choice allows us to study representatives for different types of gravity models starting from a single unified action. To illustrate the strength of this formalism, we will consider in detail the thermodynamic behaviors of three concrete cases, i.e., the d = 5 , k = 1 , 2 and d = 6 , k = 2 cases, where d is the spacetime dimension and 1 k d 1 2 . The reason for choosing these three particular example cases lies in that these are the simplest representative cases for Einstein-Hilbert (EI), Chern-Simons (CS) and Born-Infield (BI) gravity models without degeneracy between different classes. For d = 3 , the EH and CS theories degenerate, while for d = 4 , the EH and BI theories degenerate. That’s why we start at d = 5 .
This paper is organized as follows. In Section 2, we briefly review the gravity models to be analyzed and introduce the necessary thermodynamic variables. It is shown that the RPST formalism applies perfectly to the whole class of the so-called black hole scan models [33]. The Euler relation and the first law hold simutaneously which implies the Gibbs-Duhem relation and Euler homogeneity. Section 3 is devoted to the case studies. Three concrete models will be taken as example cases, i.e., the ( d , k ) = ( 5 , 1 ) , ( 5 , 2 ) and ( 6 , 2 ) models. Among these, the ( 5 , 1 ) -model will be studied in great detail, and various thermodynamic behaviors are described carefully. The ( 5 , 2 ) - and ( 6 , 2 ) -models will be treated much more briefly, however without sacrifice in the description of the major thermodynamic behaviors. In Section 4 we present the summary of the work and some further discussions.

2. Review of the Models and the RPST Formalism

Throughout this article we work in units k B = ħ = c = 1 , ε 0 = 1 / μ 0 = 1 / A d 2 , where A d 2 = 2 π ( d 1 ) / 2 Γ d 1 2 is the area of the unit ( d 2 ) -sphere, but leave the gravitational constant intact, because the gravitational constant is not a constant but rather among the thermodynamic variables in the RPST formalism.
The action for the black hole scan models coupled to the electromagnetic field can be written in two parts,
A ( d , k ) = I ( d , k ) + I M ,
where I ( d , k ) denotes the gravitational action and I M is the Maxwell action
I M = 1 4 A d 2 g F μ ν F μ ν d d x .
The expression for I ( d , k ) reads
I ( d , k ) = κ ( d , k ) p = 0 k c p k L ( p ) ,
where L ( p ) is the p-th order Lanczos-Lovelock density which can be written in terms of the Riemann curvature two form and the vielbein e a as
L ( p ) = ϵ a 1 a d R a 1 a 2 R a 2 p 1 a 2 p e a 2 p + 1 e a d ,
where R a b = d ω a b + ω a c ω c d and wedge product between forms is understood. The Lanczos-Lovelock coupling coefficients c p k are taken to be
c p k = 2 ( p k ) ( d 2 p ) k p , ( p k ) , 0 , ( p > k ) ,
where the constants κ ( d , k ) and are related to the Newton constant G ( d , k ) and the cosmological constant via
κ ( d , k ) = 1 2 ( d 2 ) ! A d 2 G ( d , k ) , Λ = ( d 1 ) ( d 2 ) 2 2 .
Notice that c p k has dimension [ length ] 2 ( p k ) and G ( d , k ) has dimension [ length ] d 2 k , so that c p k / G ( d , k ) has dimension [ length ] 2 p d which is independent of k. For p = 1 this fixes the dimension of the coupling coefficient in front of the Einstein-Hilbert action.
The above specific choices for the coupling coefficients makes the class of black hole scan models distinguished from the generic Lanczos-Lovelock models. The spacetime dimension d and the highest order k of the Lanczos-Lovelock densities appearing in the action are used to label the concrete model and hence the corresponding model will be referred to as the ( d , k ) -model. The ( d , k ) -models with d 11 are summarized in [33]. It should be emphasized that each ( d , 1 ) -model is simply the Einstein-Hilbert theory in d-dimensions (i.e., EH model). Moreover, each ( 2 k + 1 , k ) -model is a CS model, and each ( 2 k + 2 , k ) -model is a BI model.
The merit for the particular choice (4) for the coupling coefficients lies in that the corresponding charged spherically symmetric AdS black hole solutions can be given in a unified form for any d > 3 with a fixed cosmological constant as given in Equation (5). The metric takes the form [33]
d s ( d , k ) 2 = f ( d , k ) ( r ) d t 2 + d r 2 f ( d , k ) ( r ) + r 2 d Ω d 2 2 ,
where d Ω d 2 2 is the line element on a unit ( d 2 ) -sphere and
f ( d , k ) ( r ) = 1 + r 2 2 g ( d , k ) ( r ) , g ( d , k ) ( r ) = 2 G ( d , k ) M + δ d 2 k , 1 r d 2 k 1 G ( d , k ) ( d 3 ) Q 2 r 2 ( d k 2 ) 1 / k ,
wherein M and Q are integration constants which are interpreted as the black hole mass and electric charge respectively. This metric is accompanied by the static electromagnetic field A μ = Φ δ μ 0 , where Φ represents the Coulomb potential
Φ = 1 ( d 3 ) Q r d 3 .
The case d = 3 is exceptional, because in three dimensions the Coulomb potential is not constant but rather logarithmic in r. The RPST formalism for charged AdS black hole solution in this exceptional case is studied in [34]. For d > 3 , Φ and Q always have the same sign, therefore it suffices to consider the cases with Q > 0 , Φ > 0 in this work.
The event horizon of the black hole is located at one of the zero r h of the function f ( d , k ) ( r ) . Thus the mass of the black hole can be solved from the equation f ( d , k ) ( r h ) = 0 , yielding
M ( r h , G ( d , k ) , Q ) = δ 1 , d 2 k 2 G ( d , k ) + r h d 2 k 1 r h 2 2 + 1 k 2 G ( d , k ) + Q 2 2 ( d 3 ) r h d 3 .
The temperature of the black hole can be evaluated using the Euclidean period method, which gives
T = 1 4 π d f ( d , k ) d r | r = r h = 1 4 π k r h 2 d 1 1 + r h 2 2 ( k 1 ) ( d 2 k 1 ) r h 2 d 1 + r h 2 2 k G ( d , k ) Q 2 r h 2 k + 4 + 2 r h 4 π 2 .
The entropy of the black hole is [33]
S = S ( r h , G ( d , k ) , Q ) = 2 π k G ( d , k ) 0 r h r ( d 2 k 1 ) 1 + r 2 2 k 1 d r ,
which follows from the identity (c.f. Equation (64) in [33])
I E = T 1 M S T 1 Φ Q ,
where I E is the Euclidean on-shell action. I E is presented in [33] in a complicated integration form, which will not be made use of in this work.
I E = β r + N 2 d d r r d 1 G k F ( r ) + 1 l 2 k 1 ϵ r d 2 p 2 d r 1 ϵ β r + Φ d d r r d 2 p d r + B E .
For our purpose, it is important not to use the above identity for defining the entropy. Rather, the entropy should be calculated using Bekenstein-Hawking formula (when applicable) or Wald method [35,36]. It turns out that the same result (9) arises, at least in the concrete cases to be described in detail in the next section.
In order to establish the RPST for the ( d , k ) -models, we need to introduce a novel pair of thermodynamic variables, i.e., the effective number of microscopic degrees of freedom N and the corresponding chemical potential μ . These two quantities are defined as
N = N ( G ( d , k ) ) = L d 2 k G ( d , k ) , μ = μ ( r h , G ( d , k ) , Q ) = T I E N ,
where L is a constant length scale which is introduced to make N dimensionless. It should be noticed that G ( d , k ) is not the standard Newton constant G but rather differs from G by a multiplicative constant factor. This slight difference does not make any harm to the definitions of N , μ , because the multiplicative constant factor can be absorbed by a simple redefinition of the arbitrary constant length scale L. However, when evaluating the black hole entropy using Bekenstein-Hawking formula [4] (when applicable), the multiplicative constant factor becomes relevant and needs to be taken care of.
Another necessary step before establishing the RPST formalism is to make a rescaling for the electric charge and the Coloumb potential, so that κ ( d , k ) becomes an overall factor in front of the total action. The rescaled charge and potential read
Q ^ = Q ^ ( Q , G ( d , k ) ) = Q L ( d 2 k ) / 2 G ( d , k ) ,
Φ ^ = Φ ^ ( r h , G ( d , k ) , Q ) = Φ G ( d , k ) L ( d 2 k ) / 2 = G ( d , k ) Q ( d 3 ) L ( d 2 k ) / 2 r h d 3 .
After the above preparation, it is now straightforward to recognize that Equation (10) is nothing but the Euler relation
M = T S + Φ ^ Q ^ + μ N ,
and consequently it is easy to check that total differential of the black hole mass obeys the following first law of thermodynamics,
d M = T d S + Φ ^ d Q ^ + μ d N .
Equations (15) and (16) indicate that the RPST formalism is applicable to ( d , k ) -models for any d > 3 and any admissible k. It is worth mentioning that the Euler relation (15) and the first law (16) take exactly the same form for any admissible ( d , k ) -models. This is in contrast to the EPST formalism in which the Euler relation is always absent and the number of thermodynamic variables can be different in different models (e.g., the inclusion of coupling coefficients in the set of thermodynamic variables). Moreover, Equations (15) and (16) imply that M is a first order homogeneous function in the extensive variables S , Q ^ , N while the intensive variables T , Φ ^ , μ are zeroth order homogeneous functions in the extensive variables. Combining Equations (15) and (16) we can also obtain the Gibbs-Duhem relation
S d T + Q ^ d Φ ^ + N d μ = 0 ,
which is an important relationship between the intensive variables in order that the thermodynamic system is consistent.

3. Case Studies and Thermodynamic Behaviors

Although the form of the Euler relation and the first law remains the same for any ( d , k ) -models, the thermodynamic behaviors can be drastically different for different choices of ( d , k ) . In this section, three concrete cases will be studied in detail, each corresponds to a different type of gravity models. The chosen cases are, respectively, the ( 5 , 1 ) -model (EH gravity), the ( 5 , 2 ) -model (CS gravity) and the ( 6 , 2 ) -model (BI gravity). Each model will be described in a separate subsection.

3.1. (5,1)-Model: EH Gravity Coupled to Maxwell Field

3.1.1. Description of Phase Transitions

For all ( d , 1 ) -models the thermal and caloric equations of states for the black holes can be worked out analytically by use of Equations (7)–(14). This can be achieved by solving r h , G ( d , k ) , Q from the expressions S = S ( r h , G ( d , k ) , Q ) , N = N ( G ( d , k ) ) , Q ^ = Q ^ ( Q , G ( d , k ) ) which yields
r h = ( 2 π ) 1 d 2 ( d 2 ) L d 2 S N 1 d 2 , G ( d , 1 ) = L d 2 N , Q = Q ^ N .
Substituting the above solution into Equations (7) and (8), we get
T ( S , Q ^ , N ) = 1 2 ( 2 π ) 3 d d 2 S ˜ d 3 + ( d 1 ) ( 2 π ) 2 d 2 2 S ˜ 2 ( 2 π ) 2 ( 3 d ) 2 d L d 2 S ˜ 2 ( 3 d ) Q ^ 2 N 2 ,
M ( S , Q ^ , N ) = 1 2 ( 2 π ) d 3 2 d L 2 d N S ˜ d 3 1 + ( 2 π ) 2 d 2 2 S ˜ 2 + ( 2 π ) 2 ( 3 d ) 2 d L d 2 d 3 S ˜ 2 ( 3 d ) Q ^ 2 N 2 ,
where
S ˜ = ( d 2 ) 1 d 2 L S N 1 d 2 .
It is transparent that M behaves as M λ M when the extensive variables S , Q ^ , N are rescaled as S λ S , Q ^ λ Q ^ , N λ N , while T is kept unchanged under the above rescaling. The zeroth order homogeneity of T is very important in understanding the condition for thermal equilibrium.
It can also be shown that for any d > 3 , the thermal equation of states (18) always contains an inflection point with
T S Q ^ = 2 T S 2 Q ^ = 0 ,
which indicates that the T S phase structure is similar for all EH models in d > 3 . Therefore, it suffices to consider only the case d = 5 as a representative for all EH models with d 4 .
To be more explicit, let us rewrite the full action for the ( 5 , 1 ) -model as follows,
A ( d , k ) = 1 12 π 2 G ( 5 , 1 ) R + 12 2 g d 5 x 1 8 π 2 F μ ν F μ ν g d 5 x .
This is nothing but the Einstein-Maxwell theory in five dimensions, with the corresponding charged spherically symmetric black hole solution given by the metric
d s ( 5 , 1 ) 2 = f ( r ) d t 2 + d r 2 f ( r ) + r 2 d Ω 3 ,
wherein
f ( r ) = 1 + r 2 2 + G ( 5 , 1 ) Q 2 π r 4 2 G ( 5 , 1 ) M r 2 .
Since this is Einstein-Hilbert gravity, the entropy of the black hole can be evaluated by simply employing the Bekenstein-Hawking formula S = A 4 G , where G is the Newton constant which appear in the standard Einstein-Hilbert action 1 16 π G R g d d x . It is evident that
1 16 π G = 1 12 π 2 G ( 5 , 1 ) , i . e . , G = 3 π G ( 5 , 1 ) 4 ,
thus
S = A 3 r h 3 4 G = 2 π r h 3 3 G ( 5 , 1 ) .
This result coincide with what can be obtained by evaluating the integral in Equation (9).
By solving the inflection point Equation (21) in d = 5 , we get the critical point parameters
S c = 2 π 3 9 3 L 3 N , Q ^ c = 1 3 2 15 2 L 3 / 2 N .
Inserting these parameters back into Equations (18) and (14), we get
T c = 4 3 5 π , Φ ^ c = 1 30 L 3 / 2 .
These critical parameters obey the identy
S c T c Φ ^ c Q ^ c = 8 .
Moreover, if we introduce the Helmholtz free-energy
F = F ( T , Q ^ , N ) = M T S ,
then the critical value of the black hole mass and Helmholtz free energy read
M c = 7 2 30 L 3 N , F c = 2 18 L 3 N .
Now we are in a position to study the thermodynamic behavior of the ( 5 , 1 ) -model. For this purpose, it will be advantageous to adopt the relative state parameters/functions
s S S c , t T T c , q Q Q c , ϕ = Φ ^ Φ ^ c , m M M c , f F F c
which are independent of the scale of the black hole. Then the thermal, caloric equations of states and the Helmholtz free energy can be written as
t = 10 s 2 + 15 s 4 / 3 q 2 24 s 5 / 3 ,
m = 5 s 2 + 3 s 4 / 3 + q 2 21 s 2 / 3 ,
f = s 2 + 3 s 4 / 3 + q 2 3 s 2 / 3 ,
where the dependence of f upon t is implicit via Equation (28). Notice that only two relative parameters s , q appear on the right hand side of the above equations. The scale independence of the above equations is known as the law of corresponding states in traditional thermodynamics for ordinary matter, however in black hole thermodynamics, this law is only known to exist in the RPST formalism. The Φ ^ Q ^ equation of states can also be re-expressed in terms of the relative parameters given above. The result reads
ϕ = q s 3 / 2 .
As an immediate consequence of the law of corresponding states, the effective number N of microscopic degrees of freedom of the black hole is irrelevant while analyzing the thermodynamic processes. As a bonus, we can also see that and L also disappear in Equations (28)–(31), indicating that the choice of values for these two constant parameters is also irrelevant to the analysis of thermodynamic behaviors.
Before analyzing the thermodynamic processes, it is important to realize that there are some natural bounds in the parameter space which is triggered by the requirement that t 0 and that q must be real-valued. It follows from Equation (28) that t 0 requires that
q 5 3 s 4 / 3 + 2 s 2 ,
or, after employing Equation (31), that
ϕ 5 2 s 2 / 3 + 3 .
These bounds are nothing but the well-known Bogomol’nyi bound [37] rewritten in terms of the relative thermodynamic variables. In addition, from Equation (28), one can solve q in terms of s , t , which reads
q = 24 s 5 / 3 t + 15 s 4 / 3 + 10 s 2 .
Thus the real-valuedness of q poses a bound for t versus s,
t 5 2 s 2 / 3 + 3 24 s 3 .
The allowed parameter space specified by the above bounds is shown as the dark shaded area in Figure 1.
Now let us proceed to analyze some of the thermodynamic processes.
First we consider the isocharge T S processes. The isocharge T S and F T curves are depicted in Figure 2 by use of Equations (28) and (30). It can be seen that, at Q ^ < Q ^ c , every isocharge T S curve contains a segment on which T decreases as S increases. This non-monotonic behavior implies a first order phase transition which occurs at a constant temperature determined by requiring minimization of the Helmholtz free energy, i.e.,
F T Q ^ = 0 .
Effectively, this condition requires that the actual isocharge process does not follow the analytical curve for Q ^ < Q ^ c but rather undergoes an isocharge isothermal segment during the phase transition at an invariant temperature T * > T c . Such phase transitions were also observed previously in our works [21,22] and are referred to as supercritical phase transitions which occur only in black hole thermodynamics but not in thermodynamics of ordinary matter. During this isocharge isothermal stage of evolution, the Helmholtz free energy remains at a fixed value which corresponds to the root of the swallow tail depicted in the right plots in Figure 2. The isocharge isothermal segment on the T S curve corresponds to the coexistence phase between the small and large black hole phases. The coexistence zone on the T S phase plane is shown by the shaded area on the left picture of Figure 2. At T = T c , the T S phase transition becomes second order which corresponds to the critical point.
We can also consider the isovoltage T S processes instead of the isocharge processes. To do so, we need to carry out the following steps. First we re-express Q ^ in terms of Φ ^ and r h using Equation (14) and then using the expression for r h given in Equation (17) to rewrite Q ^ as a function in Φ ^ , S , N , i.e.,
Q ^ = 18 1 / 3 L 2 Φ ^ S 2 / 3 π 2 / 3 N 1 / 6 .
Inserting the above result into Equation (18) with d = 5 , we get
T ( S , Φ ^ , N ) = 2 ( 3 π 2 N 2 ) 1 / 3 1 2 L 3 Φ ^ 2 + 3 L 2 ( 2 S 2 ) 1 / 3 2 L ( 36 π 4 N S ) 1 / 3 .
We wish to analyze the T S relation at fixed Φ ^ . For this purpose we first need to find out the extrema of the T S relation at constant Φ ^ , N . It turns out that, for Φ ^ below the threshold value
Φ ^ thr = 1 2 L 3 1 / 2 = 15 Φ ^ c > 0 ,
there is a single minimum which can be determined by T S Φ , N = 0 , with the coordinate at the minimum given by
S min = π 3 N 1 2 L 3 Φ ^ 2 3 / 2 3 2 L 3 , T min = 2 ( 1 2 L 3 Φ ^ 2 ) π .
Introducing the relative parameters s ˜ = S / S min , t ˜ = T / T min , the isovoltage T S relation can be recast in the form
t ˜ = s ˜ 2 / 3 + 1 2 s ˜ 3 .
It is remarkable that the rescaled isovoltage T S relation does not depend on the potential Φ ^ at all provided Φ ^ < Φ ^ thr .
For Φ ^ Φ ^ thr , however, the minimum on the isovoltage T S curve disappears and T is monotonically increasing with S, which starts at some nonvanishing zero point value which corresponds to T = 0 . The nonvanishing zero point value of S corresponds to an extremal black hole remnant.
Similar considerations can also be applied in considering the isovoltage μ T relation, where the expression for μ can be inferred from the Euler relation (15). It turns out that the isovoltage μ T relation is branched for Φ ^ < Φ ^ thr , and the chemical potential μ lower in the lower branch becomes zero at the temperature
T 0 = 3 1 2 L 3 Φ ^ 2 2 π ,
i.e., μ lower ( T 0 ) = 0 . Meanwhile, at the temperature T 0 , the chemical potential μ upper in the upper branch takes the value
μ upper ( T 0 ) = 2 1 2 L 3 Φ ^ 2 2 32 L 3 .
Therefore, we can take the liberty to define the rescaled temperature τ and chemical potential m as
τ = T T 0 , ν = μ μ upper ( T 0 ) .
Using these rescaled parameters, the isovoltage μ T relations can be cast in the following simple form,
ν = ± 1 8 9 τ 2 8 3 τ 2 9 τ 2 8 τ ( 3 τ 2 4 ) ,
where the upper/lower signs correspond to the upper/lower branch of the μ T relation.
For Φ ^ Φ ^ thr , the branched behavior for μ disappears and μ becomes identically negative and is monotonically decreasing with T. Such behavior is similar to ordinary ideal gas, which looks less interesting than the case Φ ^ < Φ ^ thr .
The isovoltage T S and μ T curves at Φ ^ < Φ ^ thr are shown in Figure 3. It can be seen from the plots that for each T > T min , there are two black hole states, and the one with bigger entropy is thermodynamically preferred, because only for the large black hole state with bigger entropy the temperature and the entropy is positively correlated, implying a positive heat capacity. Unlike the isocharge processes described earlier, there is no phase equilibrium condition for the transition from the unstable small black hole to the stable large black hole. Another point to be noticed is that, in the absence of Coulomb potential, the zero T 0 for the chemical potential corresponds to the famous Hawking-Page phase transition [38], which is a phase transition from an AdS black hole to a thermal gas. The Hawking-Page temperature is found to be
T HP = T 0 | Φ ^ = 0 = 3 2 π .
One can check that the radius of the black hole event horizon at the Hawking-Page temperature is precisely the AdS radius, i.e., r h ( T HP ) = . In the presence of nontrivial Coulomb potential, the zero for the chemical potential still appears, however it is not clear what physical state does the zero μ lower ( T 0 ) = 0 correspond.
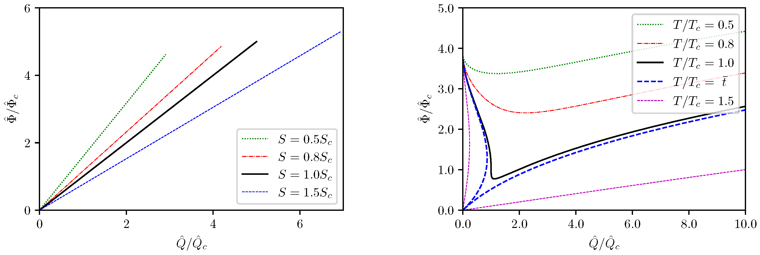
Next let us consider the Φ ^ Q ^ processes. There are two possible conditions for such processes, i.e., adiabatic and isothermal, with the corresponding curves presented in Figure 4. The adiabatic Φ ^ Q ^ processes are quite simple. It can be seen from Equation (31) that in the adiabatic processes, Φ ^ is always proportional to Q ^ . The only thing to be noticed is that at any constant S, there is an upper bound for Q ^ according to Equation (32). The situation for the isothermal Φ ^ Q ^ processes is, however, more complicated. One needs to consider t as an implicit parameter in the equation of states (31) and consequently the isothermal Φ ^ Q ^ curves are not monotonic and even not always single-valued. At sufficiently low temperatures the isothermal Φ ^ Q ^ relation is single-valued and possesses a single minimum at nonzero Q ^ , which is given by the condition Φ ^ Q ^ T = 0 . In terms of the relative parameters, the minimum is located at
q min = 36 15 t 2 25 24 t 2 125 , ϕ min = 15 5 25 24 t 2 .
These can be easily translated into the original Q ^ , Φ ^ values by multiplication with Q c and Φ ^ c , i.e.,
Q ^ min = q min Q c , Φ ^ min = ϕ min Φ ^ c .
When t = 1 , the isovoltage Φ ^ Q ^ curve has a single vertical tangent line. For 1 < t < t ¯ 25 24 1 / 2 , the Φ ^ Q ^ relation becomes multivalued and each of the corresponding curves possesses two vertical tangent lines. If t t ¯ , all the Φ ^ Q ^ curves are still multivalued and all such curved will intersect at ( Q ^ , Φ ^ ) = ( 0 , 0 ) . Another interesting feature of the isovoltage Φ ^ Q ^ curves which is worth to be noticed is that, for any T > 0 , the corresponding curves always intersect at ( Q ^ , Φ ^ ) = ( 0 , Φ ^ thr ) , where Φ ^ thr is defined in Equation (33). The reason for the appearance of this intersection point remains unclear to us.
It remains to consider the μ N relationship in this concrete model. By use of the Euler relation (15), the chemical potential can be written as
μ = 2 3 ( 12 π 2 ) 1 / 3 L N 2 / 3 S 4 / 3 2 π 2 Q ^ 2 9 L 3 S 2 12 ( 18 π 4 ) 1 / 3 2 L 2 S 2 / 3 N 4 / 3 .
It can be shown that the μ N curve with fixed S , Q ^ does not contain any inflection point but rather has a maximum, with the parameters at the maximum given by
N max = 2 2 π 2 2 Q ^ 2 + 9 L 3 S 2 3 / 2 9 π 3 L 3 / 2 S 2 , μ max = 3 2 S 2 16 π 2 2 Q ^ 2 + 72 L 3 S 2 .
Therefore, in terms of the relative parameters u = μ / μ max , n = N / N max , the μ N equations of states can be written as
u = 2 n 2 / 3 1 n 4 / 3 .
Once again, only a single relative parameter n appears on the right hand side, which can be understood as the law of corresponding states at an enhanced level. The corresponding μ N curve is depicted in Figure 5.
Summarizing this subsection, we have found that the thermodynamic behavior for the charged AdS black hole solution of the ( 5 , 1 ) -model in the RPST formalism is quantitatively slightly different from that of the four dimensional RN-AdS black hole, however the qualitative behaviors are basically identical. The RPST behaviors for the black holes are similar to that of the ordinary matter in some respects, e.g., the form of the first law and the Euler homogeneity behaviors are similar, however there are also some significant differences, e.g., the appearance of supercritical equilibrium phase transitions in the isocharge processes, the non-equilibrium phase transitions in the isovoltage processes and the existence of the yet-to-be-understood charged states with vanishing chemical potential, etc. These behaviors seems to be universal for different black hole solutions in Einstein gravity.

3.1.2. Process Parameters

In the study of thermodynamic behaviors of ordinary matter, the parameters that characterize certain physical processes are important objects. The relevant parameters include the isochoric heat capacity C V , the isobaric expansion coefficient α P , the isochoric pressure coefficient β V and the isothermal compression coefficient κ T , etc.
In the case of charged black holes, we can introduce analogous concepts and study their behaviors. Remember that, instead of P V T systems, the charged black holes are Φ ^ Q ^ T systems. Therefore, the analogy to isochoric heat capacity C V is now changed into
C Q ^ M T Q ^ = T S T Q ^ ,
while the analogies to α P , β V and κ T are given, respectively, as
α Φ ^ 1 Q ^ Q ^ T Φ ^ , β Q ^ 1 Φ ^ Φ ^ T Q ^ , κ T 1 Q ^ Q ^ Φ ^ T .
Clearly, these parameters obey the following simple identity,
α Φ ^ = Φ ^ β Q ^ κ T .
We also introduce the isocharge specific heat capacity c Q ^ as
c Q ^ = C Q ^ / N ,
because this object is scale independent and can be expressed in terms of the parameters given in Equation (27) as
c Q ^ = 2 π 3 s q 2 + 15 s 4 / 3 + 10 s 2 15 3 L 3 q 2 3 s 4 / 3 + 2 s 2 .
The dependence on s is explicit, while dependence on t is implicit by use of Equation (28).
The c Q ^ T behavior is shown in Figure 6. It can be seen that the isocharge c Q ^ T curves for Q ^ < Q ^ c always have two divergent points, each corresponds to one of the two extrema on the T S curve as shown in Figure 2, and c Q ^ can take negative values between the two singularities. This indicates that first order phase transitions can happen between the two singularities. At Q ^ = Q ^ c , the two singularities merge together, the negative-valued branch of c Q ^ cease to appear, and the phase transition becomes critical. For Q ^ > Q ^ c , the isochargge heat capacity no longer diverge at finite T, indicating that there is no T S phase transitions in such cases. In the high temperature limit, c Q ^ becomes independent of Q ^ , with asymptotic values given by
lim t c Q ^ 384 3 π 125 L 3 t 3 .
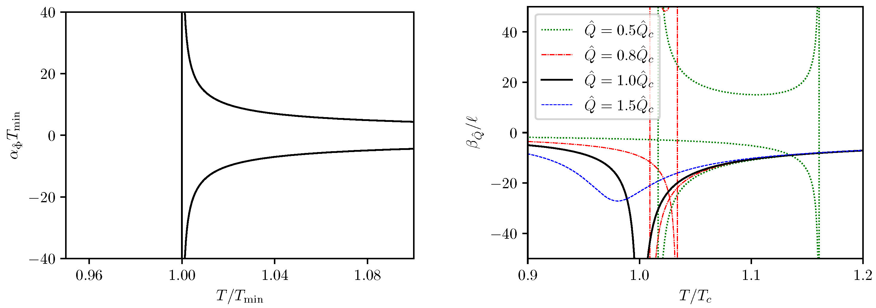
The parameter α Φ ^ is naturally associated with isovoltage processes. We will be particularly interested in the cases with Φ ^ < Φ ^ thr , in which the minimum on the isovoltage T S curve exist and the chemical potential versus temperature curve is branched. The analytical expression for α Φ ^ reads
α Φ ^ = 20 3 π ϕ 2 + 10 s 2 / 3 15 = 4 s ˜ 1 / 3 T min ( s ˜ 2 / 3 1 ) ,
where the first expression is applicable to any admissible Φ ^ , while the last expression is applicable only for Φ ^ < Φ ^ thr , because otherwise T min will be either zero or undefined. The parameter β Q ^ is associated with isocharge processes. Therefore we adopt the relative parameters s , t to evaluate β Q ^ ,
β Q ^ = 4 3 π s 5 / 3 q 2 3 s 4 / 3 + 2 s 2 .
As for the parameter κ T , it is naturally associated with isothermal processes. κ T can be written as an explicit function in ( s , t ) ,
κ T = 15 30 L 3 / 2 s 2 / 3 2 s 1 / 3 t + 1 s 1 / 3 5 s 1 / 3 6 t 10 s 2 / 3 24 s 1 / 3 t + 15 .
However from the definition, it is better to think of κ T as a function in ( t , ϕ ) . Therefore the variable s in the above equation should be regarded as an implicit function in ( t , ϕ ) by use of Equations (28) and (31).
The plots of the parameters α Φ ^ and β Q ^ versus T are presented in Figure 7. The singularity of α Φ ^ corresponds to the minimum of the isovoltage T S curve. The two singularities of β Q ^ at Q ^ < Q ^ c corresponds to the two extrema on the isocharge T S curve, which merge together at Q ^ = Q ^ c .
The plots for the parameter κ T versus Φ ^ are more subtle, and we present the result separately in Figure 8. The left picture in Figure 8 contains only the curves with t < t ¯ , wherein we intentionally rescaled Φ ^ with Φ ^ min in order to indicate that the divergence of κ T in such cases corresponds to the minimum Φ ^ min appeared in the isovoltage Φ ^ Q ^ curves. In such cases, the κ T values are branched, wherein the negative branch corresponds to the part of the isothermal Φ ^ Q ^ curve at Q ^ < Q ^ min , and the positive branch corresponds to the part of the isothermal Φ ^ Q ^ curve at Q ^ > Q ^ min . The right picture in Figure 8 contains only the curves with t t ¯ , in which cases Φ ^ min is either zero or does not exist. Therefore the curves in these cases are created by scaling Φ ^ with Φ ^ c . It should be noticed that, for t t ¯ , κ T does not have any singularity at nonzero Φ ^ . That the κ T Φ ^ curves are still branched is due to the fact that the isothermal Φ ^ Q ^ relation is already multivalued, as shown on the right plots in Figure 4.

3.1.3. Scaling Properties near Criticality and Critical Exponents

Scaling properties near the critical point is important in distinguishing different universality classes in thermodynamics. In the present model, the only critical point appears in the isocharge T S process. In order to compare with the P V criticalities appearing in systems consisted of ordinary matter, we need to make a list of parameter correspondences. The parameters P , V , T for ordinary matter corresponds to T , S , Q ^ in the present case in exactly the same order. This means that when considering critical exponents, the isochoric heat capacity C V for ordinary matter corresponds not to C Q ^ but rather to κ S 1 Q ^ Φ ^ Q ^ S , where κ S is similar to κ T defined in Equation (40), but is associated with adiabatic processes. Similarly, we expect that the scaling behavior of the isothermal compression coefficient κ T (not the one defined in Equation (40)) for ordinary matter corresponds to that of C Q ^ in our case, etc. Below we shall present the detailed studies.
Writing
s = S / S c 1 + δ s , t = T / T c 1 + δ t , q = Q ^ / Q ^ c 1 + δ q ,
we get from Equation (28) the following relation,
δ t = 5 162 ( δ s ) 3 ,
which means
| T T c | | S S c | δ , δ = 3 .
Near the critical point [39], we have
t ( q , 1 + δ s ) = t ( q , 1 δ s ) ,
which is implied by the fact that the critical phase transition is approached via an isocharge isothermal process. The above identity implies
δ q = 2 9 ( δ s ) 2 ,
i.e.,
| S large S small | Q ^ Q ^ c β , β = 1 2 .
Using the definition of the isocharge heat capacity, we get
C Q ^ = T S T Q ^ t δ s δ t δ q ( δ t ) 2 / 3 ( δ s ) 2 ( δ q ) 1 ,
When the charge approaches the critical value from below (i.e., δ q 0 ), we have C Q ^ . Thus we get the third critical exponent γ = 1 .
Now we turn to look at the behavior of κ S 1 = Q ^ Φ ^ Q ^ S . Since Φ ^ = M Q ^ S , we have
κ S 1 = Q ^ 2 M Q ^ 2 S = M c Q ^ c q 2 m q 2 s .
When q 1 + , we can make use of the caloric equation of states (29) to get
κ S + 1 = 1 30 L 3 / 2 ( δ q ) 0 .
When q 1 , the caloric equation of states (29) is no longer reliable, so we adopt Maxwell’s linear interpolation [40]
m ¯ ( s , q ) = m ( s small , q ) + ( s s small ) m ( s large , q ) m ( s small , q ) s large s small ,
where m ( s , q ) on the right hand side is given by the original caloric equation of state (29). When approaching the critical point, we have
ϵ 1 2 ( s large s small ) = δ s = 3 2 2 ( δ q ) 1 / 2 = 3 2 2 ( 1 q ) 1 / 2 .
Thus we can expand the right hand side of Equation (54) into power series in ϵ near the critical point and get
m ¯ ( s , q ) | s = 1 = m ( s , q ) | s = 1 + ϵ 2 2 ! 2 m s 2 s = q = 1 + ϵ 4 4 ! 4 m s 4 s = q = 1 + .
Notice that the q dependence of the second and the third terms are encoded in ϵ . Finally, using Equation (52), we get
κ S 1 = M c Q ^ c q 2 m ¯ q 2 s = 1 = M c Q ^ c q 2 m q 2 s = 1 27 M c 16 Q ^ c q 4 m s 4 s = q = 1 = 1 30 L 3 / 2 30 12 L 3 / 2 ( δ q ) 0 .
Combining Equations (53) and (55) we find that
κ S ± 1 ( δ q ) α ± , α ± = 0 ,
and there is a finite jump between κ S ± 1 :
κ S + 1 κ S 1 = 30 12 L 3 / 2 .
This jump arises because of the existence of a discontinuity in the second order derivatives of M with respect to Q ^ , i.e., 2 M Q ^ 2 | Q ^ Q ^ c 2 M Q ^ 2 | Q ^ Q ^ c + , which indicates that the critical point corresponds to a second order phase transition in terms oh Ehrenfest classification.
It may be illustrative to summarize the above results about the critical exponents in conjunction with a comparison with the corresponding scaling relations for ordinary matter. Explicitly, we have found a perfect correspondence between the scaling relations for ordinary matter and for the charged AdS black hole,
C V | T T c | α | T T c | α + , ρ l ρ g | T T c | β , κ T | T T c | γ , | P P c | | ρ ρ c | δ , κ S 1 | Q ^ Q ^ c | α | Q ^ Q ^ c | α + , S large S small | T T c | β , C Q ^ | Q ^ Q ^ c | γ , | T T c | | S large S small | δ ,
where α ± = 0 , β = 1 2 , γ = 1 and δ = 3 . Naturally, they obey the same scaling symmetry as in ordinary thermodynamic systems [41],
2 α = 2 β + γ = β ( δ + 1 ) = γ ( δ + 1 ) / ( δ 1 )

3.2. (5,2)-Model: CS Gravity Coupled to Maxwell Field

The (5,2)-model is a CS like model for which the total action takes the form
A ( 5 , 2 ) = 1 6 π 2 2 G ( 5 , 2 ) R + 6 2 + 2 4 R 2 g d 5 x 1 8 π 2 F μ ν F μ ν g d 5 x ,
where
R 2 = R μ ν γ δ R μ ν γ δ 4 R μ ν R μ ν + R 2 .
The variation of the total action reads
δ A ( 5 , 2 ) = E μ ν g δ g μ ν + E A μ δ A μ + d Θ ,
where
E μ ν g = R μ ν 1 2 g μ ν R 3 2 g μ ν + 2 4 H μ ν 3 π 2 2 G ( 5 , 2 ) T μ ν ,
E A μ = ν F μ ν ,
with
T μ ν = 1 2 π 2 ( F μ ρ F ν ρ 1 4 g μ ν F ρ σ F ρ σ ) ,
H μ ν = 2 R μ λ ρ σ R ν λ ρ σ 2 R μ ρ ν σ R ρ σ 2 R μ σ R ν σ + R R μ ν 1 2 R μ ν γ δ R μ ν γ δ 4 R μ ν R μ ν + R 2 g μ ν .
Θ is a δ g μ ν -dependent four form field which encodes the on-shell Noether current if δ g μ ν is replaced by the transformation of g μ ν under diffeomorphism symmetries. The associated Noether charge can be used to evaluate the Wald entropy, which reads
S = 4 π r h 3 1 + 2 G ( 5 , 2 ) M G ( 5 , 2 ) Q 2 π r h 2 2 r h 2 2 3 G ( 5 , 2 ) .
The Q ^ , Φ ^ and μ , N variables can be inferred from the generic definitions given in Section 2 by inserting d = 5 , k = 2 and the thermal and caloric equations of states for this particular case are worked out to be
T = π Z 2 Z 2 / 3 4 π 2 / 3 2 4 4 π 4 / 3 2 Z 4 / 3 2 L Q 2 + 2 Z 2 / 3 4 π 2 / 3 2 6 16 π 2 6 Z 2 Z 2 / 3 4 π 2 / 3 4 / 3 3 1 4 π 3 2 Z 2 / 3 + π 2 4 π 2 / 3 Z 2 / 3 1 ,
M = N ( π Z ) 2 / 3 2 Z 2 / 3 4 π 2 / 3 2 6 π 2 4 Z 2 + 8 2 Z 2 / 3 4 π 2 / 3 2 4 π 4 / 3 2 / 3 Z 4 / 3 + 32 4 L Q 2 32 16 / 3 L Z 2 / 3 4 π 2 / 3 2 / 3 2 ,
where
Z = 64 π 2 2 + 9 L 2 S 2 + 3 L S , S = S / N , Q = Q / N .
These equations of states indicate that T and M are respectively zeroth and first order homogeneous functions in the extensive variables. Moreover, non-negativeness of the temperature gives rise to an upper bound for Q ^ , which reads
Q ^ ( 2 N 2 Z ) 2 / 3 4 π 2 / 3 2 N 2 16 π 4 / 3 2 N 2 4 π 2 / 3 ( N ) 4 / 3 Z 2 / 3 + ( N ) 2 / 3 Z 4 / 3 1 / 2 4 π L 3 N 3 Z ,
which is to be understood as the Bogomol’nyi bound for the present case.
The overwhelming complicated form of Equation (59) prevents us from analyzing the thermodynamic processes right away from the thermal equation of states. To proceed, we choose to rewrite the thermal equation of states T = T ( S , Q ^ , N ) in a parametric from
T ( r h , Q ^ , N ) = 2 L Q ^ 2 N 2 + 4 r h 6 2 + 4 r h 4 8 π r h 3 2 + r h 2 ,
S ( r h , N ) = 4 π L N r h 1 + r h 2 3 2 ,
where the radius r h of the black hole event horizon is taken as an intermediate parameter, while the dependence on the thermodynamic parameters Q ^ and N are made explicit by employing the simple relations
G ( 5 , 2 ) = L N Q = Q ^ N .
Notice that both T ( r h , Q ^ , N ) and S ( r h , Q ^ , N ) are single-valued in r h at constant Q ^ and N.
The above parametric form of the thermal equation of states allows us to analyze the isocharge processes of the model. By straightforward calculations, we can get
T S Q ^ = T r h Q ^ , N S r h Q ^ , N = L 4 4 N 2 r h 4 + 5 L Q ^ 2 r h 2 + 8 N 2 2 r h 6 + 4 N 2 r h 8 + 3 6 L Q ^ 2 32 π 2 N 3 r h 4 2 + r h 2 3 .
Though the expression still looks complicated, it can be easily seen that T S Q ^ is identically positive. This means that C Q ^ = T S T Q ^ > 0 , which means that there is only a single stable AdS black hole phase in the isocharge processes for the present model, no T S phase transition could occur. It can be shown that at high temperatures, the asymptotic value of c Q ^ = C Q ^ / N for this model is
lim t c Q ^ = 32 π 4 4 L T 3 .
In order to describe the isovoltage processes, we need to employ the relation Q ^ = 2 N Φ ^ r h 2 to rearrange Equation (61) into the form
T ( r h , Φ ^ ) = r h 2 + r h 2 4 L Φ ^ 2 2 π 2 ( 2 + r h 2 ) .
It is then easy to get
T S Φ ^ = T r h Φ ^ , N S r h Φ ^ , N = L 6 L Φ ^ 2 + 4 L Φ ^ 2 r h 2 + 1 + 2 2 r h 2 + r h 4 8 π 2 Φ ^ 2 + r h 2 3 .
The equation T S Φ ^ = 0 with the condition 2 T S 2 Φ ^ > 0 has a single solution
r h = r min = 2 Φ ^ 2 L 2 Φ ^ 2 + 8 L 1 / 2 2 L Φ ^ 2 2 1 / 2 ,
however, the real-valuedness of r min requires Φ ^ 1 L , which in turn implies that the minimum at r h = r min corresponds to a non-positive temperature and is physically irrelevant. For all states with T > 0 , it is not difficult to check that T S Φ ^ is always positive, therefore there is no isovoltage T S transitions in the present model.
We can also write down the parametrized μ T equation of states, which read
μ ( r h , Φ ^ ) = r h 2 4 4 L Φ ^ 2 r h 2 + 6 π + 7 π 2 r h 2 + π r h 4 12 6 L Φ ^ 2 6 π 7 2 + r h 2 ,
where implicit dependence on T is implied by use of Equation (65). Then it is straightforward to get
μ T Φ ^ = μ r h Φ ^ T r h Φ ^ = 4 π 3 2 r h + r h 3 3 5 ,
which is identically negative at all r h > 0 , which means that μ is monotonically decreasing with T. From Equation (65) one can see that at any fixed T, Φ ^ can be regarded as an implicit function in r h . Thus one can solve Equation (65) at T = 0 as an equation for Φ ^ and substitute the result into Equation (66) to get
μ | T = 0 = r h 2 6 ( π 2 ) 2 + ( 4 + π ) r h 2 6 π 7 < 0 .
This result combined with the fact that μ T Φ ^ < 0 indicate that μ is always negative and thus has no zeros at positive T. This excludes the possibility for the appearance of Hawking-Page like transitions in the present model.
Summarizing this subsection, we have seen that the thermodynamic behavior of the ( 5 , 2 ) -model is in sharp contrast to that of the ( 5 , 1 ) -model. No phase transition of any type (be it isocharge, isovoltage or Hawking-Page like) could occur in the ( 5 , 2 ) -model. We believe this is also the case in any CS like or ( 2 k + 1 , k ) -models.

3.3. (6,2)-Model: BI Gravity Coupled to Maxwell Field

The full action for the ( 6 , 2 ) -model reads
A ( 6 , 2 ) = 3 32 π 2 2 G ( 6 , 2 ) R + 10 2 + 2 12 R 2 g d 6 x 3 32 π 2 F μ ν F μ ν g d 6 x .
Except for the different choices of coupling coefficients and the different spacetime dimensions, the above action is quite similar to that of the ( 5 , 2 ) -model.
The Wald entropy for the charged spherically symmetric AdS black hole solution in this case reads
S = π 2 G ( 6 , 2 ) 8 M r h 3 2 Q 2 π r h 4 G ( 6 , 2 ) 2 ,
and the other thermodynamic parameters/functions can be inferred from the general definition presented in Section 2.
The thermal and caloric equations of states for this case can also be worked out analytically, which appears to be much simpler than the case of ( 5 , 2 ) -model,
T = 5 S 2 14 π 1 / 2 S 3 / 2 + 13 π 2 S 4 π 3 / 2 3 S 1 / 2 π 2 L 2 Q 2 8 π 5 / 4 3 / 2 S 1 / 2 ( S 1 / 2 π 1 / 2 ) 5 / 2 ,
M = N 3 S 2 6 π 1 / 2 S 3 / 2 + 3 π 2 S + π 2 L 2 Q 2 6 π 5 / 4 3 / 2 L 2 ( S 1 / 2 π 1 / 2 ) 3 / 2 ,
where S = L 2 S N + π 2 and Q = Q ^ N . The isocharge T S curves may contain an inflection point for Q ^ below some critical value Q ^ c , and the values of various thermodynamic parameters/functions can be worked out analytically. However, the analytical expressions for the critical parameters are too complicated which do not deserve to be displayed here. As an alternative, we present their approximate numerical values below,
T c 0.1747 , S c 0.9058 2 L 2 N ,
Φ ^ c 0.2406 L , Q ^ c 0.0358 2 L N ,
M c 0.2410 L 2 N , F c 0.0828 L 2 N .
Critical values of quantities which are intensive are simply constants and those for extensive quantities are explicitly proportional to N, thus the extensivity and Euler homogeneity are transparent.
The forthcoming analysis is in complete analogy to the case of ( 5 , 1 ) -model, and we shall only present some of the plots for brevity.
The isocharge T S and F T curves are presented in Figure 9, and the isocharge c Q ^ T curves are presented in Figure 10. One can see that the curves presented in Figure 9 are very similar to the curves shown in Figure 2 for the ( 5 , 1 ) -model, and the curves in Figure 10 are very similar to those presented in Figure 6. It is not surprising that the isocharge T S behavior for the ( 6 , 2 ) -model is qualitatively identical to that of the ( 5 , 1 ) -model.
At high temperatures, all c Q ^ T curves in Figure 10 merge together, with the asymptotic value
lim t c Q ^ 7.4670 2 L 2 t 4 ,
where again t = T / T c .
By use of numeric techniques, it is not difficult to see that the behavior of the isovoltage T S processes in the ( 6 , 2 ) -model is also qualitatively similar to the case of ( 5 , 1 ) -model and hence we omit the corresponding plots.
We also studied the behaviors of the process parameters α Φ ^ , β Q ^ , κ T and found that their qualitative behaviors are similar to the case of ( 5 , 1 ) -model. However, due to the more complicated form of the equations of states, the analytical expressions for these parameters are more involved and does not deserve to be displayed here. Even though, we found that the scaling properties of the ( 6 , 2 ) -model coincide exactly with the case of ( 5 , 1 ) -model, in the sense that the critical exponents are exactly the same. Therefore, we conclude that the ( 6 , 2 ) -model and the ( 5 , 1 ) -model belong to the same universality class, although they belong to different types of gravity models (BI and EH types respectively).

4. Summary and Discussions

We have shown that the RPST formalism is applicable to the large class of ( d , k ) -models and yields the correct Euler and Gibbs-Duhem relations which guarantee the extensivity of the relevant thermodynamic systems. The applicability of the RPST formalism to the ( d , k ) -models makes us expect that the formalism may be universally applicable to all models of gravity. One reason to support this expectation lies in that, unlike the EPST formalism which extends the space of macroscopic states for black holes by the inclusion of cosmological constant or some other coupling coefficients which may be either present or absent in different models of gravity, the RPST formalism uses the Newton constant as an extra dimension in the space of macroscopic states for black holes, and the Newton constant must be present in all models of gravity and can be made as an overall factor of the total action by some simple field rescaling (e.g., the rescaling made in Equation (13) can be understood as a rescaling of the Maxwell field A μ .)
By choosing the ( 5 , 1 ) -, ( 5 , 2 ) - and the ( 6 , 2 ) -models as representatives of the classes of EH like, CS like and BI like gravity models coupled with Maxwell field, we found that the ( 5 , 1 ) - and the ( 6 , 2 ) -models have basically the same thermodynamic behaviors, e.g., the appearance of the supercritical isocharge T S phase transitions at temperatures above a critical temperature, the existence of the isovoltage T S transitions above some minimum temperature which do not subject to any equilibrium conditions, the occurrence of Hawking-Page like transitions and the exactly same scaling properties at the critical point, etc. These behaviors were also observed for four dimensional RN black hole and Kerr-AdS black holes in our previous works [21,22], and it seems that the EH and BI like models belong to the same universality class under the RPST formalism. The ( 5 , 2 ) -model, however, behaves very differently. There is no phase transitions of any type in this model, which indicates that the CS like models may belong to a different universality class under the RPST formalism (The result of [34], which studies the original Chern-Simons gravity, i.e., Einstein-Hilbert gravity in (2+1)-dimensions, also supports this conclusion). These results are a first known application of the RPST formalism to the cases of higher curvature gravity models. We expect that further applications of the RPST formalism to other higher curvature gravity models may help to classify the possible universality classes in all gravity models.
Regarding the possible phase transitions in the cases of EH and BI like models, let us stress that, although there are similar near critical scaling properties to the cases of Van der Waals liquid-gas phase transitions, the T S phase transitions do not involve any changes in volume or pressure. The occurrence of the T S transition is a simple consequence of the fact that some of the thermodynamic parameters (e.g., the temperature) of the black holes are not monotonic functions in the geometric parameter (e.g., the radius of the event horizon). Therefore, if we characterize the black hole states using the thermodynamic parameters, black holes of different geometric sizes may appear to be in the same thermodynamic states, and that is why black hole phase transitions could appear.
Among the various concrete behaviors of the example cases, the high temperature asymptotic behavior of the isocharge heat capacity deserves a special mention. In all three example cases, the high temperature asymptotic values of c Q ^ behave as
c Q ^ T d 2 .
Remember that d 2 can be regarded as the “spatial dimension” of the black hole event horizon regarded as a thermodynamic system. The high temperature asymptotic behavior c Q ^ T d 2 for black holes reminds us of the low temperature asymptotic behavior of the isochoric specific heat capacity c V for ordinary non-metallic solid matter, which is, according to Debye’s theory, c V T D , with D being the spatial dimension of the system. This similarity may not be a coincidence, there might be some deep physics in behind.

Author Contributions

Formal analysis, X.K., T.W. and Z.G.; Funding acquisition, L.Z.; Investigation, X.K. and Z.G.; Methodology, Z.G. and L.Z.; Writing–original draft, L.Z. All authors have read and agreed to the published version of the manuscript.

Funding

This work is supported by the National Natural Science Foundation of China under the grant No. 11575088.

Institutional Review Board Statement

Not applicable.

Informed Consent Statement

Not applicable.

Data Availability Statement

Not applicable.

Conflicts of Interest

The authors declare no conflict of interest.

References

  1. Bekenstein, J.D. Black holes and the second law. Lett. Nuovo Cim. 1972, 4, 737–740. [Google Scholar] [CrossRef]
  2. Bekenstein, J.D. Black holes and entropy. Phys. Rev. D 1973, 7, 2333–2346. [Google Scholar] [CrossRef]
  3. Bardeen, J.M.; Carter, B.; Hawking, S.W. The four laws of black hole mechanics. Comm. Math. Phys. 1973, 31, 161–170. [Google Scholar] [CrossRef]
  4. Hawking, S.W. Particle creation by black holes. Comm. Math. Phys. 1975, 43, 199–220. [Google Scholar] [CrossRef]
  5. Kastor, D.; Ray, S.; Traschen, J. Enthalpy and the mechanics of AdS black holes. Class. Quant. Grav. 2009, 26, 195011. [Google Scholar] [CrossRef]
  6. Dolan, B.P. The cosmological constant and the black hole equation of state. Class. Quant. Grav. 2010, 28, 125020. [Google Scholar] [CrossRef]
  7. Dolan, B.P. Pressure and volume in the first law of black hole thermodynamics. Class. Quant. Grav. 2011, 28, 235017. [Google Scholar] [CrossRef]
  8. Dolan, B.P. Compressibility of rotating black holes. Phys. Rev. D 2011, 84, 127503. [Google Scholar] [CrossRef]
  9. Kubizňák, D.; Mann, R.B. P-V criticality of charged AdS black holes. J. High Energy Phys. 2012, 2012, 33. [Google Scholar] [CrossRef]
  10. Cai, R.G.; Cao, L.M.; Li, L.; Yang, R.Q. PV criticality in the extended phase space of Gauss-Bonnet black holes in AdS space. J. High Energy Phys. 2013, 2013, 5. [Google Scholar] [CrossRef]
  11. Kubizňák, D.; Mann, R.B.; Teo, M. Black hole chemistry: Thermodynamics with Lambda. Class. Quant. Grav. 2017, 34, 063001. [Google Scholar] [CrossRef]
  12. Xu, W.; Zhao, L. Critical phenomena of static charged AdS black holes in conformal gravity. Phys. Lett. B 2014, 736, 214–220. [Google Scholar] [CrossRef]
  13. Xu, W.; Xu, H.; Zhao, L. Gauss–Bonnet coupling constant as a free thermodynamical variable and the associated criticality. Eur. Phys. J. C 2014, 74, 2970. [Google Scholar] [CrossRef]
  14. Lemos, J.P.S.; Zaslavskii, O.B. Black hole thermodynamics with the cosmological constant as independent variable: Bridge between the enthalpy and the Euclidean path integral approaches. Phys. Lett. B 2018, 786, 296–299. [Google Scholar] [CrossRef]
  15. Zhang, J.L.; Cai, R.G.; Yu, H. Phase transition and thermodynamical geometry of Reissner-Nordström-AdS black holes in extended phase space. Phys. Rev. D 2015, 91, 044028. [Google Scholar] [CrossRef]
  16. Visser, M.R. Holographic thermodynamics requires a chemical potential for color. Phys. Rev. D 2022, 105, 106014. [Google Scholar] [CrossRef]
  17. Karch, A.; Robinson, B. Holographic black hole chemistry. J. High Energy Phys. 2015, 2015, 1–15. [Google Scholar] [CrossRef]
  18. Cong, W.; Kubizňák, D.; Mann, R.B. Thermodynamics of AdS black holes: Critical behavior of the central charge. Phys. Rev. Lett. 2021, 127, 091301. [Google Scholar] [CrossRef]
  19. Smarr, L. Mass formula for Kerr black holes. Phys. Rev. Lett. 1973, 30, 71. [Google Scholar] [CrossRef]
  20. Callen, H.B. Thermodynamics and an Introduction to Thermostatistics, 2nd ed.; John Willy & Sons: New York, NY, USA, 1985. [Google Scholar]
  21. Gao, Z.; Zhao, L. Restricted phase space thermodynamics for AdS black holes via holography. Class. Quant. Grav. 2021, 39, 075019. [Google Scholar] [CrossRef]
  22. Gao, Z.; Kong, X.; Zhao, L. Thermodynamics of Kerr-AdS black holes in the restricted phase space. Eur. Phys. J. C 2022, 82, 112. [Google Scholar] [CrossRef]
  23. Wang, T.; Zhao, L. Black hole thermodynamics is extensive with variable newton constant. Phys. Lett. B 2022, 827, 136935. [Google Scholar] [CrossRef]
  24. Zhao, L. Thermodynamics for higher dimensional rotating black holes with variable Newton constant. Chin. Phys. C 2022, 46, 055105. [Google Scholar] [CrossRef]
  25. Gibbons, G.W.; Hawking, S.W. Action integrals and partition functions in quantum gravity. Phys. Rev. D 1977, 15, 2752–2756. [Google Scholar] [CrossRef]
  26. York, J.W., Jr. Black-hole thermodynamics and the Euclidean Einstein action. Phys. Rev. D 1986, 33, 2092. [Google Scholar] [CrossRef]
  27. Gibbons, G.W.; Perry, M.J.; Pope, C.N. The first law of thermodynamics for Kerr–anti-de Sitter black holes. Class. Quant. Grav. 2005, 22, 1503. [Google Scholar] [CrossRef]
  28. Tian, Y.; Wu, X.-N.; Zhang, H. Holographic Entropy Production. J. High Energy Phys. 2014, 1410, 170. [Google Scholar] [CrossRef]
  29. Tian, Y. A topological charge of black holes. Class. Quantum Grav. 2019, 36, 245001. [Google Scholar] [CrossRef]
  30. Cai, R.G. Gauss-bonnet black holes in AdS spaces. Phys. Rev. D 2002, 65, 084014. [Google Scholar] [CrossRef]
  31. Lanczos, C. Elektromagnetismus als natürliche eigenschaft der riemannschen geometrie. Z. Phys. 1932, 73, 147–168. [Google Scholar] [CrossRef]
  32. Lovelock, D. The Einstein tensor and its generalizations. J. Math. Phys. 1971, 12, 498–501. [Google Scholar] [CrossRef]
  33. Crisostomo, J.; Troncoso, R.; Zanelli, J. Black hole scan. Phys. Rev. D 2000, 62, 084013. [Google Scholar] [CrossRef]
  34. Wu, B. Holographic thermodynamics of BTZ black hole. In Proceedings of the 2022 Annual Meeting of Chinese Association of Gravitation and Astrophysics, Beijing, China, 3–8 July 2022. Paper Version to Appear. [Google Scholar]
  35. Wald, R.M. Black hole entropy is the Noether charge. Phys. Rev. D 1993, 48, R3427. [Google Scholar] [CrossRef]
  36. Iyer, V.; Wald, R.M. Some Properties of Noether Charge and a Proposal for Dynamical Black Hole Entropy. Phys. Rev. D 1994, 50, 846–864. [Google Scholar] [CrossRef]
  37. Bogomol’nyi, E.B. The stability of classical solutions. Sov. J. Nucl. Phys. 1976, 24, 4. Available online: https://www.osti.gov/biblio/7309001 (accessed on 24 July 2022).
  38. Hawking, S.W.; Page, D.N. Thermodynamics of black holes in anti-de Sitter space. Commun. Math. Phys. 1983, 87, 577–588. [Google Scholar] [CrossRef]
  39. Tong, D. Lectures on Statistical Physics. Notes Online from the Author’s DAMTP Teaching Page. 2012. Available online: https://www.damtp.cam.ac.uk/user/tong/statphys.html (accessed on 1 March 2022).
  40. Thompson, C.J. Classical Equilibrium Statistical Mechanics; Oxford University Press: Oxford, UK, 1988. [Google Scholar]
  41. Pathria, R.K.; Beale, P.D. Statistical Mechanics, 3rd ed.; Elsevier: Oxford, UK, 2011. [Google Scholar]
Figure 1. Bounds in the parameter space.
Figure 1. Bounds in the parameter space.
Entropy 24 01131 g001
Figure 2. Isocharge T S and F T curves.
Figure 2. Isocharge T S and F T curves.
Entropy 24 01131 g002
Figure 3. Isovoltage T S and μ T curves.
Figure 3. Isovoltage T S and μ T curves.
Entropy 24 01131 g003
Figure 4. Adiabatic and isothermal Φ ^ Q ^ curves.
Figure 4. Adiabatic and isothermal Φ ^ Q ^ curves.
Entropy 24 01131 g004
Figure 5. μ N curve.
Figure 5. μ N curve.
Entropy 24 01131 g005
Figure 6. Isocharge c Q ^ T curves.
Figure 6. Isocharge c Q ^ T curves.
Entropy 24 01131 g006
Figure 7. The α Φ ^ T and β Q ^ T curves.
Figure 7. The α Φ ^ T and β Q ^ T curves.
Entropy 24 01131 g007
Figure 8. κ T Φ ^ curves for t < t ¯ and for t t ¯ .
Figure 8. κ T Φ ^ curves for t < t ¯ and for t t ¯ .
Entropy 24 01131 g008
Figure 9. Isocharge T S and F T curves for the ( 6 , 2 ) -model.
Figure 9. Isocharge T S and F T curves for the ( 6 , 2 ) -model.
Entropy 24 01131 g009
Figure 10. Isocharge c Q ^ S and c Q ^ T curves for the ( 6 , 2 ) -model.
Figure 10. Isocharge c Q ^ S and c Q ^ T curves for the ( 6 , 2 ) -model.
Entropy 24 01131 g010
Publisher’s Note: MDPI stays neutral with regard to jurisdictional claims in published maps and institutional affiliations.

Share and Cite

MDPI and ACS Style

Kong, X.; Wang, T.; Gao, Z.; Zhao, L. Restricted Phased Space Thermodynamics for Black Holes in Higher Dimensions and Higher Curvature Gravities. Entropy 2022, 24, 1131. https://doi.org/10.3390/e24081131

AMA Style

Kong X, Wang T, Gao Z, Zhao L. Restricted Phased Space Thermodynamics for Black Holes in Higher Dimensions and Higher Curvature Gravities. Entropy. 2022; 24(8):1131. https://doi.org/10.3390/e24081131

Chicago/Turabian Style

Kong, Xiangqing, Tao Wang, Zeyuan Gao, and Liu Zhao. 2022. "Restricted Phased Space Thermodynamics for Black Holes in Higher Dimensions and Higher Curvature Gravities" Entropy 24, no. 8: 1131. https://doi.org/10.3390/e24081131

APA Style

Kong, X., Wang, T., Gao, Z., & Zhao, L. (2022). Restricted Phased Space Thermodynamics for Black Holes in Higher Dimensions and Higher Curvature Gravities. Entropy, 24(8), 1131. https://doi.org/10.3390/e24081131

Note that from the first issue of 2016, this journal uses article numbers instead of page numbers. See further details here.

Article Metrics

Back to TopTop