Quantifying Reinforcement-Learning Agent’s Autonomy, Reliance on Memory and Internalisation of the Environment
Abstract
:1. Introduction
2. Materials and Methods
2.1. Information-Theoretic Framework
2.1.1. Preliminaries
2.1.2. Markovian Structure
2.1.3. Autonomy and Non-Trivial Informational Closure
2.1.4. Input to Autonomy Measures and NTIC
2.2. Partial Information Decomposition
- The unique contribution of , denoted by UI, which is the information gained about T from accessing and cannot be gained otherwise;
- The unique contribution of , denoted by UI, which is the information gained about T from accessing and cannot be gained otherwise;
- The synergistic contribution of and , denoted by CI, which is the information gained about T from accessing both and and cannot be gained otherwise;
- The shared (or redundant) contribution of and , denoted by SI, which is the information gained about T when either or are accessed.
2.3. Decomposing Autonomy Measures and NTIC
2.3.1. Decomposition of
2.3.2. Decomposition of
3. Experiment Setup
3.1. Grid Environment
3.1.1. States of the Environment
3.1.2. Training
3.1.3. Internal States of the Agent
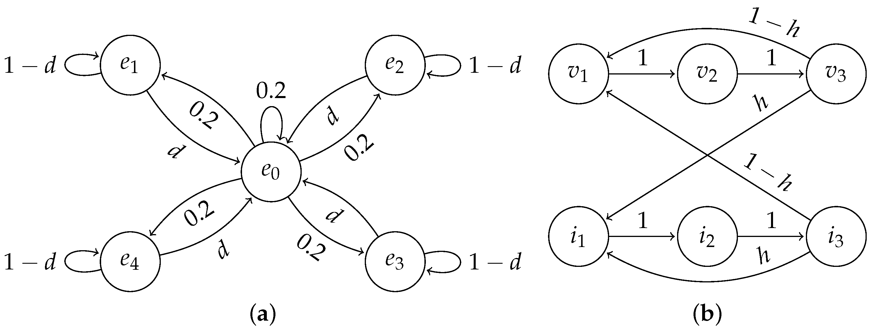
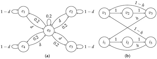
3.2. Repeating-Pattern Environment
3.2.1. States of the Environment
3.2.2. Training
3.2.3. Internal States of the Agent
3.2.4. Success of the Agent
3.2.5. Perturbations
4. Results
4.1. Results on Grid Environment
4.2. Results on Repeating-Pattern Environment
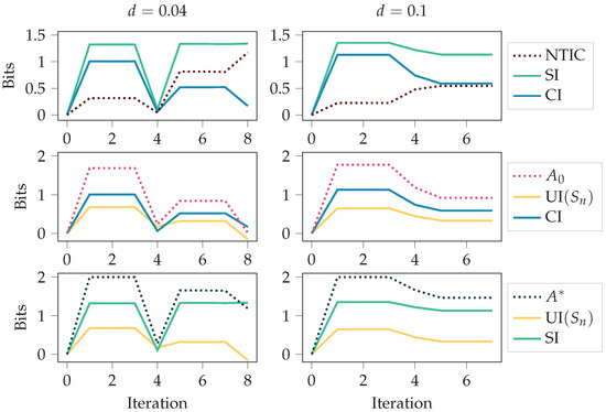
4.2.1. Autonomy and NTIC Throughout Training
4.2.2. Autonomy and NTIC at the End of Training
4.2.3. Agent in Perturbed Environments
5. Discussion
5.1. Brief Synthesis of Results
5.2. Implications
5.2.1. PID Averts the Synergy Dilemma in
5.2.2. PID Clarifies Autonomy When Agents Drive Their Environments
- Autonomy measure will fluctuate w.r.t. training episodes;
- The only term accounting for autonomy is SI, given the argument by Bertschinger et al. [6] that eventually should decay to zero.
5.3. Relation to Previous Literature
5.4. Limitations
5.5. Future Directions
6. Conclusions
Author Contributions
Funding
Institutional Review Board Statement
Informed Consent Statement
Data Availability Statement
Acknowledgments
Conflicts of Interest
Abbreviations
| PID | Partial information decomposition |
| SI | Shared information |
| UI | Unique information |
| CI | Synergistic information |
| RL | Reinforcement learning |
| MDP | Markov decision process |
| POMDP | Partially observable Markov decision process |
| NTIC | Non-trivial informational closure |
Appendix A. Merging the States in the Grid Environment
Appendix B. Estimating PID Terms
Appendix B.1. Monitoring Autonomy via Optimal Choice under Uncertainty
- Alice (resp. Bob) has unique information (resp. ) if there exist a set of actions and a utility u such that Alice’s (resp. Bob’s) reward is at least that of Bob’s (resp. Alice’s);
- Alice (resp. Bob) has no unique information (resp. ) if, for any set of actions and any u, Alice’s (resp. Bob’s) reward is at most that of Bob’s (resp. Alice’s).
Appendix B.2. Monitoring Autonomy via Uncertainty Reduction
Appendix C. Results with SxPID Estimator



References
- Sutton, R.S.; Barto, A.G. Reinforcement Learning: An Introduction, 2nd ed.; Adaptive Computation and Machine Learning (Francis Bach Series Editor); MIT Press: Cambridge, MA, USA, 2018. [Google Scholar]
- Baker, B.; Kanitscheider, I.; Markov, T.; Wu, Y.; Powell, G.; McGrew, B.; Mordatch, I. Emergent Tool Use From Multi-Agent Autocurricula. arXiv 2019, arXiv:1909.07528. [Google Scholar]
- Vinyals, O.; Babuschkin, I.; Czarnecki, W.; Mathieu, M.; Dudzik, A.; Chung, J.; Choi, D.; Powell, R.; Ewalds, T.; Georgiev, P.; et al. Grandmaster level in StarCraft II using multi-agent reinforcement learning. Nature 2019, 575, 350–354. [Google Scholar] [CrossRef] [PubMed]
- Berner, C.; Brockman, G.; Chan, B.; Cheung, V.; Debiak, P.; Dennison, C.; Farhi, D.; Fischer, Q.; Hashme, S.; Hesse, C.; et al. Dota 2 with Large Scale Deep Reinforcement Learning. arXiv 2019, arXiv:1912.06680. [Google Scholar]
- Stooke, A.; Mahajan, A.; Barros, C.; Deck, C.; Bauer, J.; Sygnowski, J.; Trebacz, M.; Jaderberg, M.; Mathieu, M.; McAleese, N.; et al. Open-Ended Learning Leads to Generally Capable Agents. arXiv 2021, arXiv:2107.12808. [Google Scholar]
- Bertschinger, N.; Olbrich, E.; Ay, N.; Jost, J. Autonomy: An information theoretic perspective. Biosystems 2008, 91, 331–345. [Google Scholar] [CrossRef]
- Klyubin, A.S.; Polani, D.; Nehaniv, C.L. Empowerment: A universal agent-centric measure of control. In Proceedings of the 2005 IEEE Congress on Evolutionary Computation, Edinburgh, UK, 2–5 September 2005; Volume 1, pp. 128–135. [Google Scholar] [CrossRef] [Green Version]
- Jung, T.; Polani, D.; Stone, P. Empowerment for continuous agent—Environment systems. Adapt. Behav. 2011, 19, 16–39. [Google Scholar] [CrossRef]
- Mohamed, S.; Rezende, D.J. Variational Information Maximisation for Intrinsically Motivated Reinforcement Learning. In Proceedings of the 28th International Conference on Neural Information Processing Systems, Bali, Indonesia, 8–12 December 2021; MIT Press: Cambridge, MA, USA, 2015; Volume 2, pp. 2125–2133. [Google Scholar]
- Houthooft, R.; Chen, X.; Duan, Y.; Schulman, J.; Turck, F.D.; Abbeel, P. VIME: Variational Information Maximizing Exploration. In Advances in Neural Information Processing Systems; Lee, D., Sugiyama, M., Luxburg, U., Guyon, I., Garnett, R., Eds.; Curran Associates, Inc.: Red Hook, NY, USA, 2016; Volume 29. [Google Scholar]
- Schreiber, T. Measuring information transfer. Phys. Rev. Lett. 2000, 85, 461–464. [Google Scholar] [CrossRef] [Green Version]
- Jaques, N.; Lazaridou, A.; Hughes, E.; Gulcehre, C.; Ortega, P.; Strouse, D.; Leibo, J.Z.; De Freitas, N. Social influence as intrinsic motivation for multi-agent deep reinforcement learning. In Proceedings of the 36th International Conference on Machine Learning, Long Beach, CA, USA, 9–15 June 2019; pp. 3040–3049. [Google Scholar]
- Sootla, S.; Theis, D.O.; Vicente, R. Analyzing Information Distribution in Complex Systems. Entropy 2017, 19, 636. [Google Scholar] [CrossRef] [Green Version]
- Zhao, R.; Gao, Y.; Abbeel, P.; Tresp, V.; Xu, W. Mutual Information State Intrinsic Control. International Conference on Learning Representations. arXiv 2021, arXiv:2103.08107. [Google Scholar]
- Williams, P.L.; Beer, R.D. Nonnegative decomposition of multivariate information. arXiv 2010, arXiv:1004.2515. [Google Scholar]
- Wibral, M.; Priesemann, V.; Kay, J.W.; Lizier, J.T.; Phillips, W.A. Partial Information Decomposition as a Unified Approach to the Specification of Neural Goal Functions. Brain Cogn. 2017, 112, 25–38. [Google Scholar] [CrossRef] [PubMed] [Green Version]
- Wibral, M.; Finn, C.; Wollstadt, P.; Lizier, J.T.; Priesemann, V. Quantifying Information Modification in Developing Neural Networks via Partial Information Decomposition. Entropy 2017, 19, 494. [Google Scholar] [CrossRef] [Green Version]
- Tax, T.M.S.; Mediano, P.A.M.; Shanahan, M. The Partial Information Decomposition of Generative Neural Network Models. Entropy 2017, 19, 474. [Google Scholar] [CrossRef]
- Froese, T.; Ziemke, T. Enactive artificial intelligence: Investigating the systemic organization of life and mind. Artif. Intell. 2009, 173, 466–500. [Google Scholar] [CrossRef] [Green Version]
- Georgeon, O.L.; Riegler, A. CASH only: Constitutive autonomy through motorsensory self-programming. Cogn. Syst. Res. 2019, 58, 366–374. [Google Scholar] [CrossRef] [Green Version]
- Anderson, M.L.; Oates, T.; Chong, W.; Perlis, D. The metacognitive loop I: Enhancing reinforcement learning with metacognitive monitoring and control for improved perturbation tolerance. J. Exp. Theor. Artif. Intell. 2006, 18, 387–411. [Google Scholar] [CrossRef]
- Gutknecht, A.J.; Wibral, M.; Makkeh, A. Bits and pieces: Understanding information decomposition from part-whole relationships and formal logic. Proc. R. Soc. A Math. Phys. Eng. Sci. 2021, 477, 20210110. [Google Scholar] [CrossRef]
- Harder, M.; Salge, C.; Polani, D. Bivariate measure of redundant information. Phys. Rev. E 2013, 87, 012130. [Google Scholar] [CrossRef] [Green Version]
- Bertschinger, N.; Rauh, J.; Olbrich, E.; Jost, J.; Ay, N. Quantifying unique information. Entropy 2014, 16, 2161–2183. [Google Scholar] [CrossRef] [Green Version]
- Griffith, V.; Koch, C. Quantifying Synergistic Mutual Information. In Guided Self-Organization: Inception; Prokopenko, M., Ed.; Springer: Berlin/Heidelberg, Germany, 2014; pp. 159–190. [Google Scholar] [CrossRef] [Green Version]
- Perrone, P.; Ay, N. Hierarchical quantification of synergy in channels. Front. Robot. AI 2016, 2, 35. [Google Scholar] [CrossRef] [Green Version]
- Ince, R. Measuring multivariate redundant information with pointwise common change in surprisal. Entropy 2017, 19, 318. [Google Scholar] [CrossRef] [Green Version]
- Quax, R.; Har-Shemesh, O.; Sloot, P.M.A. Quantifying synergistic information using intermediate stochastic variables. Entropy 2017, 19, 85. [Google Scholar] [CrossRef] [Green Version]
- Chicharro, D. Quantifying multivariate redundancy with maximum entropy decompositions of mutual information. arXiv 2018, arXiv:1708.03845. [Google Scholar]
- Finn, C.; Lizier, J. Pointwise partial information decomposition using the specificity and ambiguity lattices. Entropy 2018, 20, 297. [Google Scholar] [CrossRef] [Green Version]
- Kolchinsky, A. A novel approach to multivariate redundancy and synergy. arXiv 2020, arXiv:1908.08642. [Google Scholar]
- Sigtermans, D. A path-based partial information decomposition. Entropy 2020, 22, 952. [Google Scholar] [CrossRef] [PubMed]
- Makkeh, A.; Gutknecht, A.J.; Wibral, M. Introducing a differentiable measure of pointwise shared information. Phys. Rev. E 2021, 103, 032149. [Google Scholar] [CrossRef]
- Hochreiter, S.; Schmidhuber, J. Long Short-Term Memory. Neural Comput. 1997, 9, 1735–1780. [Google Scholar] [CrossRef]
- Mnih, V.; Kavukcuoglu, K.; Silver, D.; Graves, A.; Antonoglou, I.; Wierstra, D.; Riedmiller, M.A. Playing Atari with Deep Reinforcement Learning. NIPS Deep Learning Workshop. arXiv 2013, arXiv:1312.5602. [Google Scholar]
- Makkeh, A.; Theis, D.O.; Vicente, R. BROJA-2PID: A robust estimator for bivariate partial information decomposition. Entropy 2018, 20, 271. [Google Scholar] [CrossRef] [Green Version]
- Seth, A.K. Measuring Autonomy and Emergence via Granger Causality. Artif. Life 2010, 16, 179–196. [Google Scholar] [CrossRef] [PubMed] [Green Version]
- Bertschinger, N.; Olbrich, E.; Ay, N.; Jost, J. Information and closure in systems theory. In Explorations in the Complexity of Possible Life; Dittrich, P., Artmann, S., Eds.; IOS Press: Amsterdam, The Netherlands, 2006; pp. 9–21. [Google Scholar]
- Ari, P.; Amin, N.; Dar, G.; Abdullah, M.; Luca, M.; Michael, W.; Elad, S. Estimating the unique information of continuous variables. In Proceedings of the 35th Conference on Neural Information Processing Systems (NeurIPS), online. 6–14 December 2021; Volume 34. [Google Scholar]
- Schick-Poland, K.; Makkeh, A.; Gutknecht, A.J.; Wollstadt, P.; Sturm, A.; Wibral, M. A partial information decomposition for discrete and continuous variables. arXiv 2021, arXiv:2106.12393. [Google Scholar]
- Corcoll, O.; Makkeh, A.; Aru, J.; Oliver Theis, D.; Vicente, R. Attention manipulation in reinforcement learning agents. In Proceedings of the Conference on Cognitive Computational Neuroscience, CCN, Berlin, Germany, 13–16 September 2019. [Google Scholar] [CrossRef]
- Bertschinger, N.; Rauh, J.; Olbrich, E.; Jost, J. Shared Information—New Insights and Problems in Decomposing Information in Complex Systems. In Proceedings of the European Conference on Complex Systems 2012; Gilbert, T., Kirkilionis, M., Nicolis, G., Eds.; Springer International Publishing: Cham, Switzerland, 2013; pp. 251–269. [Google Scholar] [CrossRef] [Green Version]
- Makkeh, A.; Theis, D.O.; Vicente, R. Bivariate partial information decomposition: The optimization perspective. Entropy 2017, 19, 530. [Google Scholar] [CrossRef] [Green Version]










Publisher’s Note: MDPI stays neutral with regard to jurisdictional claims in published maps and institutional affiliations. |
© 2022 by the authors. Licensee MDPI, Basel, Switzerland. This article is an open access article distributed under the terms and conditions of the Creative Commons Attribution (CC BY) license (https://creativecommons.org/licenses/by/4.0/).
Share and Cite
Ingel, A.; Makkeh, A.; Corcoll, O.; Vicente, R. Quantifying Reinforcement-Learning Agent’s Autonomy, Reliance on Memory and Internalisation of the Environment. Entropy 2022, 24, 401. https://doi.org/10.3390/e24030401
Ingel A, Makkeh A, Corcoll O, Vicente R. Quantifying Reinforcement-Learning Agent’s Autonomy, Reliance on Memory and Internalisation of the Environment. Entropy. 2022; 24(3):401. https://doi.org/10.3390/e24030401
Chicago/Turabian StyleIngel, Anti, Abdullah Makkeh, Oriol Corcoll, and Raul Vicente. 2022. "Quantifying Reinforcement-Learning Agent’s Autonomy, Reliance on Memory and Internalisation of the Environment" Entropy 24, no. 3: 401. https://doi.org/10.3390/e24030401
APA StyleIngel, A., Makkeh, A., Corcoll, O., & Vicente, R. (2022). Quantifying Reinforcement-Learning Agent’s Autonomy, Reliance on Memory and Internalisation of the Environment. Entropy, 24(3), 401. https://doi.org/10.3390/e24030401

