Entanglement Dynamics Induced by a Squeezed Coherent Cavity Coupled Nonlinearly with a Qubit and Filled with a Kerr-Like Medium
Abstract
1. Introduction
2. Physical Model
3. Qubit-Cavity Entanglement Dynamics
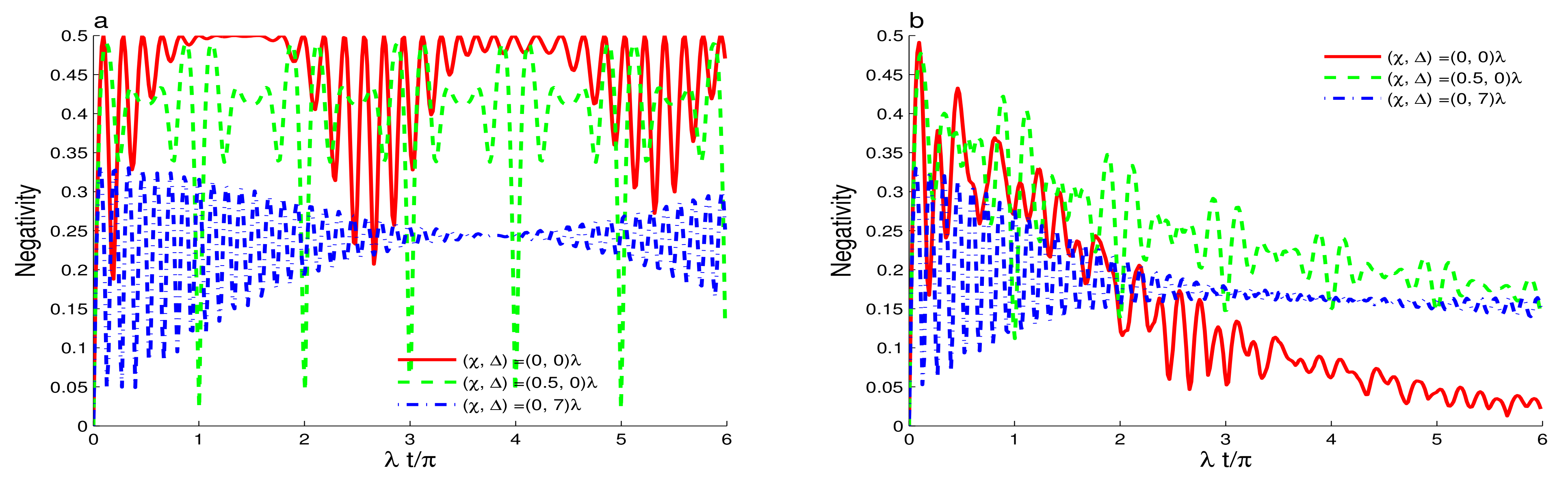
3.1. Case of
3.2. Case of
4. Conclusions
Author Contributions
Funding
Data Availability Statement
Conflicts of Interest
References
- Fu, S.; Luo, S.; Zhang, Y. Dynamics of field nonclassicality in the Jaynes—Cummings model. Quantum Inf. Process. 2021, 20, 88. [Google Scholar] [CrossRef]
- Wang, W.-C.; Zhou, Y.-L.; Zhang, H.-L.; Zhang, J.; Zhang, M.-C.; Xie, Y.; Wu, C.-W.; Chen, T.; Ou, B.-Q.; Wu, W.; et al. Observation of PT-symmetric quantum coherence in a single-ion system. Phys. Rev. A 2021, 103, L020201. [Google Scholar] [CrossRef]
- Mohamed, A.-B.A.; Eleuch, H.; Ooi, C.H.R. Non-locality correlation in two driven qubits inside an open coherent cavity: Trace norm distance and maximum Bell function. Sci. Rep. 2019, 9, 19632. [Google Scholar] [CrossRef] [PubMed]
- Mohamed, A.-B.A.; Eleuch, H.; Ooi, C.H.R. Quantum coherence and entanglement partitions for two driven quantum dots inside a coherent micro cavity. Phys. Lett. A 2019, 383, 125905. [Google Scholar] [CrossRef]
- Mohamed, A.-B.A.; Eleuch, H.; Obada, A.-S.F. Influence of the coupling between two qubits in an open coherent cavity: Nonclassical information via quasi-probability distributions. Entropy 2019, 21, 1137. [Google Scholar] [CrossRef]
- Mohamed, A.-B.A.; Eleuch, H. Nonclassical Effects Based on Husimi Distributions in Two Open Cavities Linked by an Optical Waveguide. Entropy 2020, 22, 767. [Google Scholar] [CrossRef]
- Bennett, C.H.; Brassard, G.; Crépeau, C.; Jozsa, R.; Peres, A.; Wootters, W.K. Teleporting an unknown quantum state via dual classical and Einstein-Podolsky-Rosen channels. Phys. Rev. Lett. 1993, 70, 1895. [Google Scholar] [CrossRef]
- Ekert, K. Quantum cryptography based on Bell’s theorem. Phys. Rev. Lett. 1991, 67, 661. [Google Scholar] [CrossRef]
- Raussendorf, R.; Briegel, H.J. A one-way quantum computer. Phys. Rev. Lett. 2001, 86, 5188. [Google Scholar] [CrossRef]
- Obada, A.-S.F.; Hessian, H.A.; Mohamed, A.-B.A.; Homid, A.H. Efficient protocol of N-bit discrete quantum Fourier transform via transmon qubits coupled to a resonator. Quantum Inf. Process. 2014, 13, 475. [Google Scholar] [CrossRef]
- Besse, J.-C.; Reuer, K.; Collodo, M.C.; Wulff, A.; Wernli, L.; Copetudo, A.; Malz, D.; Magnard, P.; Akin, A.; Gabureac, M.; et al. Realizing a deterministic source of multipartite-entangled photonic qubits. Nat. Commun. 2020, 11, 4877. [Google Scholar] [CrossRef]
- Gisin, N.; Thew, R. Quantum communication. Nat. Photonics 2007, 1, 165. [Google Scholar] [CrossRef]
- Wei, K.X.; Lauer, I.; Srinivasan, S.; Sundaresan, N.; McClure, D.T.; Toyli, D.; McKay, D.C.; Gambetta, J.M.; Sheldon, S. Verifying multipartite entangled Greenberger-Horne-Zeilinger states via multiple quantum coherences. Phys. Rev. A 2020, 101, 032343. [Google Scholar] [CrossRef]
- Takeda, S.; Takase, K.; Furusawa, A. On-demand photonic entanglement synthesizer. Sci. Adv. 2019, 5, eaaw4530. [Google Scholar] [CrossRef]
- Phoenix, S.J.D.; Knight, P.L. Fluctuations and entropy in models of quantum optical resonance. Ann. Phys. 1988, 186, 381. [Google Scholar] [CrossRef]
- De Oliveira, M.C.; Munro, W.J. Nonclassicality and information exchange in deterministic entanglement formation. Phys. Lett. A 2004, 320, 352. [Google Scholar] [CrossRef]
- Chao, S.H.; Xiong, B.; Zhou, L. Generating a Squeezed-Coherent-Cat State in a Double-Cavity Optomechanical System. Ann. Phys. 2019, 53, 1900196. [Google Scholar] [CrossRef]
- Yao, Y.P. Infrared problem in non-abelian gauge theory. Phys. Rev. Lett. 1976, 36, 653. [Google Scholar] [CrossRef]
- Karimi, A.; Dibaji, H. Entangled squeezed coherent states: Generation and their nonclassical properties in comparison with other entangled states. Appl. Phys. B 2020, 126, 24. [Google Scholar] [CrossRef]
- Cochrane, P.T.; Milburn, G.J.; Munro, W.J. Macroscopically distinct quantum-superposition states as a bosonic code for amplitude damping. Phys. Rev. A 1999, 59, 2631. [Google Scholar] [CrossRef]
- Zhang, J.Q.; Xiong, W.; Zhang, S.; Li, Y.; Feng, M. Generating the Schrödinger cat state in a nanomechanical resonator coupled to a charge qubit. Ann. Phys. 2015, 527, 180. [Google Scholar] [CrossRef]
- Mohamed, A.-B.A.; Hashem, M.; Eleuch, H. Enhancing the Generated Stable Correlation in a Dissipative System of Two Coupled Qubits inside a Coherent Cavity via Their Dipole-Dipole Interplay. Entropy 2019, 21, 672. [Google Scholar] [CrossRef] [PubMed]
- Hessian, H.A.; Mohamed, A.-B.A. Quasi-Probability Distribution Functions for a Single Trapped Ion Interacting with a Mixed Laser Field. Laser Phys. 2008, 18, 1217. [Google Scholar] [CrossRef]
- Van Der Wal, C.H.; Ter Haar, A.C.; Wilhelm, F.K.; Schouten, R.N.; Harmans, C.J.; Orlando, T.P.; Lloyd, S.; Mooij, J.E. Quantum superposition of macroscopic persistent-current states. Science 2000, 290, 773. [Google Scholar] [CrossRef]
- Brune, M.; Hagley, E.; Dreyer, J.; Maître, X.; Maali, A.; Wunderlich, C.; Raimond, J.; Haroche, S. Observing the progressive decoherence of the “meter” in a quantum measurement. Phys. Rev. Lett. 1996, 77, 4887. [Google Scholar] [CrossRef]
- Ourjoumtsev, A.; Jeong, H.; Tualle-Brouri, R.; Grangier, P. Generation of optical ‘Schrödinger cats’ from photon number states. Nature 2007, 448, 784. [Google Scholar] [CrossRef]
- Xia, K.; Nori, F.; Xiao, M. Cavity-free optical isolators and circulators using a chiral cross-Kerr nonlinearity. Phys. Rev. Lett. 2018, 121, 203602. [Google Scholar] [CrossRef]
- Wang, X.; Miranowicz, A.; Nori, F. Ideal quantum nondemolition readout of a flux qubit without purcell limitations. Phys. Rev. Appl. 2019, 12, 064037. [Google Scholar] [CrossRef]
- Gong, E.Z.R.; Ian, H.; Liu, Y.; Sun, C.P.; Nori, F. Effective Hamiltonian approach to the Kerr nonlinearity in an optomechanical system. Phys. Rev. A 2009, 80, 065801. [Google Scholar] [CrossRef]
- Leonski, W.; Miranowicz, A. Kerr nonlinear coupler and entanglement. J. Opt. B 2004, 6, S37. [Google Scholar] [CrossRef]
- Kalaga, J.K.; Leonski, W.; Szczenniak, R. Quantum steering and entanglement in three-mode triangle Bose–Hubbard system. Quantum Inf. Process. 2017, 16, 265. [Google Scholar] [CrossRef]
- Buck, B.; Sukumar, C.V. Exactly soluble model of atom-phonon coupling showing periodic decay and revival. Phys. Lett. A 1981, 81, 132. [Google Scholar] [CrossRef]
- Valverde, C.; Goncalves, V.G.; Baseia, B. Controlling the non-classical properties of a hybrid Cooper pair box system and an intensity dependent nanomechanical resonator. Physics A 2016, 446, 171. [Google Scholar] [CrossRef]
- Valverde, C.; Avelar, A.T.; Baseia, B. Controlling statistical properties of a Cooper pair box interacting with a nanomechanical resonator. Physics A 2011, 390, 4045. [Google Scholar] [CrossRef]
- Mohamed, A.-B.A.; Metwally, N. Enhancing non-local correlations in a dissipative two-qubit system via dipole—Dipole interplay. Quantum Inf. Process. 2019, 18, 79. [Google Scholar] [CrossRef]
- Breuerand, H.-P.; Petruccione, F. The Theory of Open Quantum Systems; Oxford University Press: Oxford, UK, 2002. [Google Scholar]
- Obada, A.-S.F.; Hessian, H.A.; Mohamed, A.-B.A. The effects of thermal photons on entanglement dynamics for a dispersive Jaynes—Cummings model. Phys. Lett. A 2008, 372, 3699. [Google Scholar] [CrossRef]
- Eleuch, H.; Rotter, I. Clustering of exceptional points and dynamical phase transitions. Phys. Rev. A 2016, 93, 042116. [Google Scholar] [CrossRef]
- Eleuch, H.; Rotter, I. Nearby states in non-Hermitian quantum systems I: Two states. Eur. Phys. J. D 2015, 69, 229. [Google Scholar] [CrossRef]
- Obada, A.-F.; Hessian, H.A.; Mohamed, A.-B.A. Entropies and entanglement for decoherence without energy relaxation in a two-level atom. J. Phys. B 2007, 40, 2241. [Google Scholar] [CrossRef]
- Shen, L.-T.; Shi, Z.-C.; Wu, H.-Z.; Yang, Z.-B. Dynamics of entanglement in Jaynes—Cummings nodes with nonidentical qubit-field coupling strengths. Entropy 2017, 19, 331. [Google Scholar] [CrossRef]
- Sadiek, G.; Al-Drees, W.; Abdallah, M.S. Manipulating entanglement sudden death in two coupled two-level atoms interacting off-resonance with a radiation field: An exact treatment. Opt. Express 2019, 27, 33799. [Google Scholar] [CrossRef] [PubMed]
- Tesfahannes, T.G. Generation of the bipartite entanglement and correlations in an optomechanical array. J. Opt. Soc. Am. B 2020, 37, A245. [Google Scholar] [CrossRef]
- Salimiana, S.; Tavassoly, M.K. Quantum information transfer and entangled state generation using superconducting qubits in the absence and presence of dissipation. Eur. Phys. J. Plus 2020, 135, 594. [Google Scholar] [CrossRef]
- Buluta, I.; Ashhab, S.; Nori, F. Natural and artificial atoms for quantum computation. Rep. Prog. Phys. 2011, 74, 104401. [Google Scholar] [CrossRef]
- You, J.Q.; Nori, F. Quantum information processing with superconducting qubits in a microwave field. Phys. Rev. B 2003, 68, 064509. [Google Scholar] [CrossRef]
- Walls, D.F.; Millburn, G.J. Effect of dissipation on quantum coherence. Phys. Rev. A 1985, 31, 2403. [Google Scholar] [CrossRef]
- Turchette, Q.A.; Myatt, C.J.; King, B.E.; Sackett, C.A.; Kielpinski, D.; Itano, W.M.; Monroe, C.; Wineland, D.J. Decoherence and decay of motional quantum states of a trapped atom coupled to engineered reservoirs. Phys. Rev. A 2000, 62, 053807. [Google Scholar] [CrossRef]
- Puri, R.R.; Agarwal, G.S. Finite-Q cavity electrodynamics: Dynamical and statistical aspects. Phys. Rev. A 1987, 35, 3433. [Google Scholar] [CrossRef]
- Vidal, G.; Werner, R.F. Computable measure of entanglement. Phys. Rev. A 2002, 65, 032314. [Google Scholar] [CrossRef]
- Lee, S.; Chi, D.P.; Oh, S.D.; Kim, J. Convex-roof extended negativity as an entanglement measure for bipartite quantum systems. Phys. Rev. A 2003, 68, 062304. [Google Scholar] [CrossRef]
- Akhtarshenas, S.J.; Farsi, M. Negativity as entanglement degree of the Jaynes—Cummings model. Phys. Scr. A 2007, 75, 608. [Google Scholar] [CrossRef][Green Version]
- Yu, T.; Eberly, J.H. Sudden death of entanglement. Science 2009, 323, 598. [Google Scholar] [CrossRef]
- Mohamed, A.-B.A. Bipartite non-classical correlations for a lossy two connected qubit-cavity systems: Trace distance discord and Bell’s non-locality. Quantum Inf. Process 2018, 17, 96. [Google Scholar] [CrossRef]
- Mohamed, A.-B.A. Non-local correlations via Wigner—Yanase skew information in two SC-qubit having mutual interaction under phase decoherence. Eur. Phys. J. D 2017, 71, 261. [Google Scholar] [CrossRef]
- Ficek, Z.; Tanaś, R. Delayed sudden birth of entanglement. Phys. Rev. A 2008, 77, 054301. [Google Scholar] [CrossRef]







Publisher’s Note: MDPI stays neutral with regard to jurisdictional claims in published maps and institutional affiliations. |
© 2021 by the authors. Licensee MDPI, Basel, Switzerland. This article is an open access article distributed under the terms and conditions of the Creative Commons Attribution (CC BY) license (https://creativecommons.org/licenses/by/4.0/).
Share and Cite
Mohamed, A.-B.A.; Eleuch, H. Entanglement Dynamics Induced by a Squeezed Coherent Cavity Coupled Nonlinearly with a Qubit and Filled with a Kerr-Like Medium. Entropy 2021, 23, 496. https://doi.org/10.3390/e23050496
Mohamed A-BA, Eleuch H. Entanglement Dynamics Induced by a Squeezed Coherent Cavity Coupled Nonlinearly with a Qubit and Filled with a Kerr-Like Medium. Entropy. 2021; 23(5):496. https://doi.org/10.3390/e23050496
Chicago/Turabian StyleMohamed, Abdel-Baset A., and Hichem Eleuch. 2021. "Entanglement Dynamics Induced by a Squeezed Coherent Cavity Coupled Nonlinearly with a Qubit and Filled with a Kerr-Like Medium" Entropy 23, no. 5: 496. https://doi.org/10.3390/e23050496
APA StyleMohamed, A.-B. A., & Eleuch, H. (2021). Entanglement Dynamics Induced by a Squeezed Coherent Cavity Coupled Nonlinearly with a Qubit and Filled with a Kerr-Like Medium. Entropy, 23(5), 496. https://doi.org/10.3390/e23050496

