Thermodynamic Performance of a Brayton Pumped Heat Energy Storage System: Influence of Internal and External Irreversibilities
Abstract
:1. Introduction
2. Thermodynamic Model
2.1. Thermodynamic Analysis: Heat Pump Cycle
2.2. Thermodynamic Analysis: Heat Engine Cycle
2.3. Round-Trip Efficiency
2.4. Endoreversible Limit
3. Results
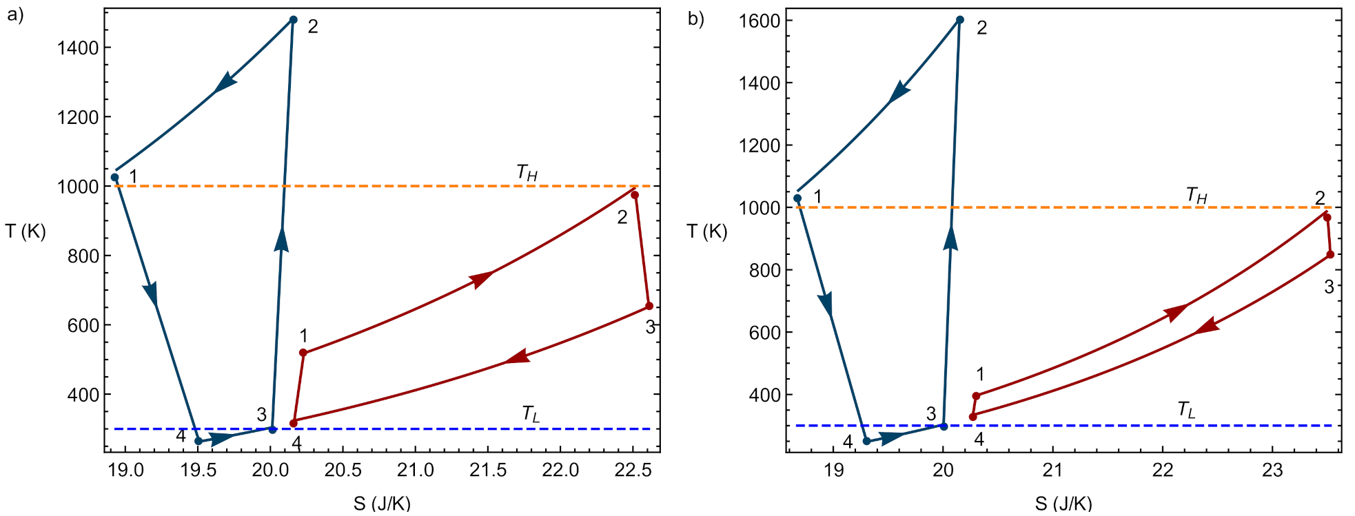
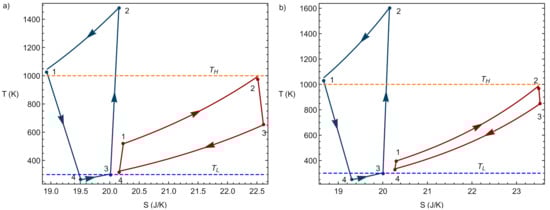
3.1. Physically Acceptable Regions
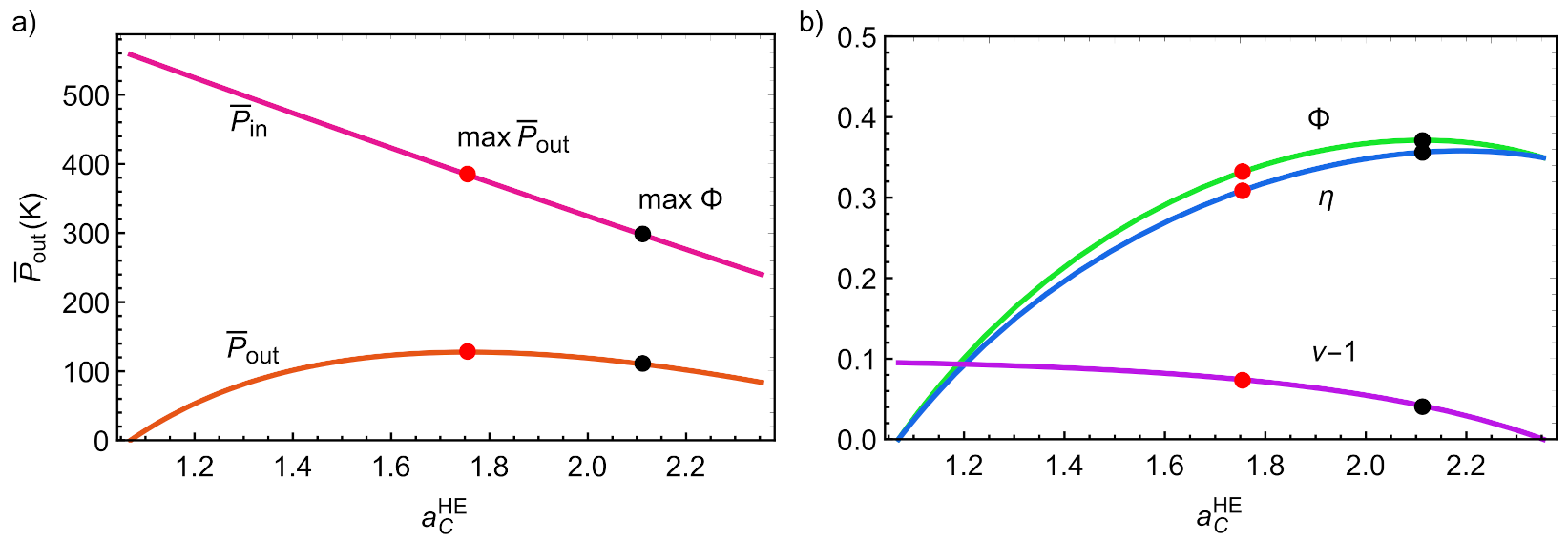
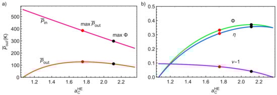
3.2. Optimization of Overall Performance
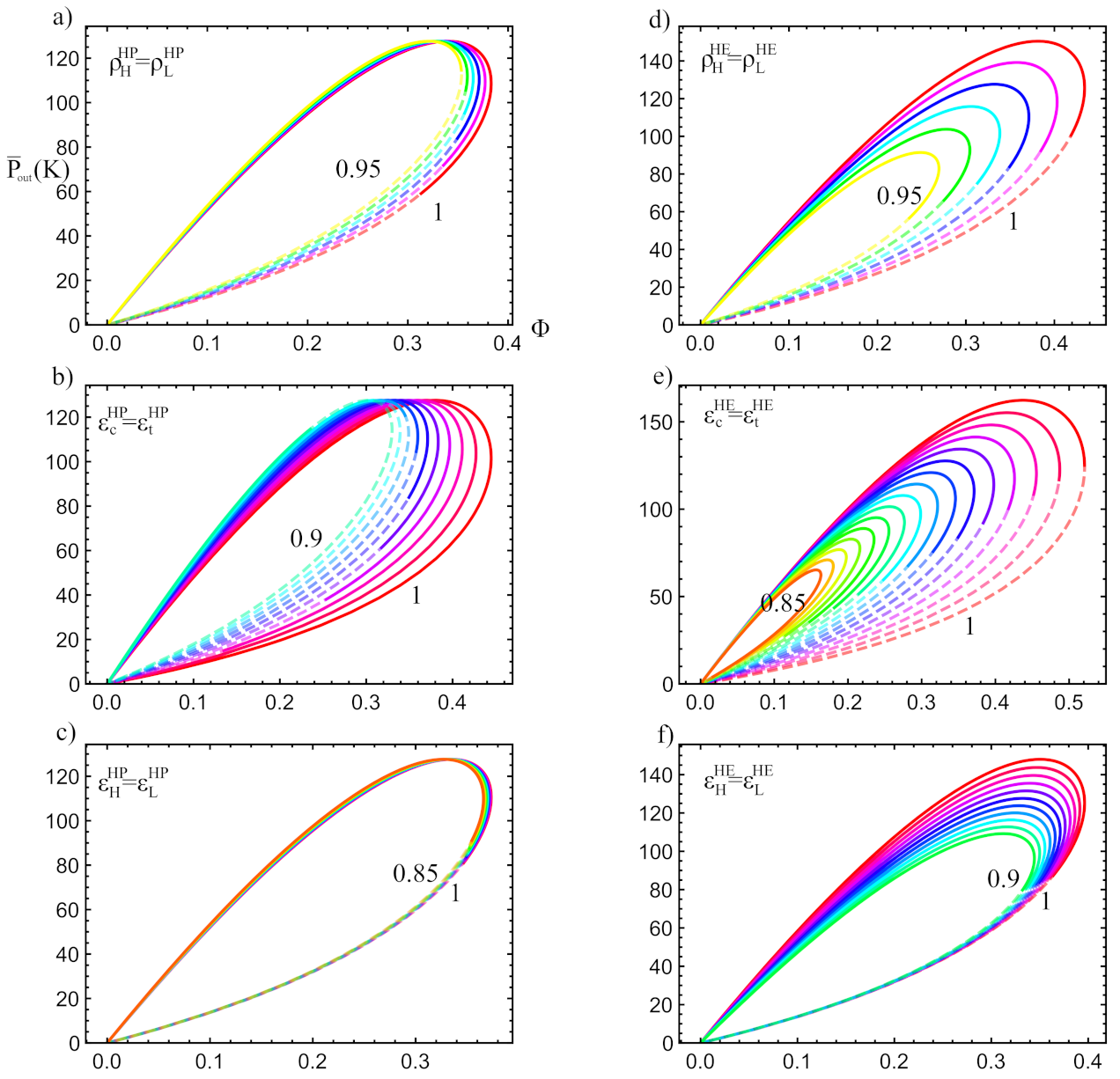
3.3. Irreversibility Analysis
3.4. Sensitivity Analysis
4. Discussion and Conclusions
- The values of the internal irreversibilities considerably reduce the maximum achievable power output and round-trip efficiency with respect to the same values for the external irreversibilities.
- The internal irreversibilities greatly reduce the range of acceptable values for ; affecting the available operation regimes. In this way, the irreversibilities of the discharge can influence significantly the thermodynamic functions of the charge by severely reducing its acceptable physical region.
- The expander/turbine is the most determinant element, especially the expander of the charge cycle is more decisive than the turbine of the discharge cycle.
- Not all irreversibilities exhibit an effect on all thermodynamic functions. The irreversibilities of the charge cycle do not influence the functions of the discharge other than in the case when they considerably reduce the physical region.
- By reducing irreversibilities it is possible to reach maximum values of the round-trip efficiency around 40% or even above. This is a significant result that should be considered for further studies on this type of model.
Author Contributions
Funding
Institutional Review Board Statement
Informed Consent Statement
Data Availability Statement
Acknowledgments
Conflicts of Interest
Abbreviations
| Acronyms | |
| COP | Coefficient of performance |
| HE | Heat engine |
| HP | Heat pump |
| PTES | Pumped Thermal Energy Storage |
| RTE | Round-trip efficiency |
| TES | Thermal Energy Storage |
| Symbols | |
| a | Temperature ratio |
| C | Heat capacity (J/Ks) |
| Heat flow (J/s) | |
| W | Work (J) |
| P | Power (J/s) |
| Specific Power (K) | |
| Dimensionless factor | |
| Mass flow (kg/s) | |
| p | Pressure (atm) |
| r | Pressure ratio |
| T | Temperature (K) |
| Greek Letters | |
| Adiabatic coefficient of ideal gas | |
| Efficiency parameter | |
| Discharge efficiency | |
| Coefficient of performance | |
| Pressure drops coefficient | |
| Round-trip efficiency | |
| Subscript | |
| w | Working fluid |
| c | Compressor |
| H | Hot storage |
| L | Cold storage |
| t | Expander/turbine |
References
- Benato, A.; Stoppato, A. Pumped Thermal Electricity Storage: A technology overview. Therm. Sci. Eng. Prog. 2018, 6, 301–315. [Google Scholar] [CrossRef]
- Benato, A. Performance and cost evaluation of an innovative Pumped Thermal Electricity Storage power system. Energy 2017, 138, 419–436. [Google Scholar] [CrossRef]
- Gallo, A.B.; Simões Moreira, J.R.; Costa, H.K.M.; Santos, M.M.; Moutinho dos Santos, E. Energy Storage in the energy transition context: A technology review. Renew. Sust. Energy Rev. 2016, 65, 800–822. [Google Scholar] [CrossRef]
- Guney, M.S.; Tepe, Y. Classification and assessment of energy storage systems. Renew. Sust. Energy Rev. 2017, 75, 1187–1197. [Google Scholar] [CrossRef]
- Dumont, O.; Frate, G.F.; Pillai, A.; Lecompte, S.; De paepe, M.; Lemort, V. Carnot battery technology: A state-of-the-art review. J. Energy Storage 2020, 32, 101756. [Google Scholar] [CrossRef]
- Cabeza, L.F.; Solé, A.; Barreneche, C. Review on sorption materials and technologies for heat pums and thermal energy storage. Renew. Energy 2016, 110, 3–39. [Google Scholar] [CrossRef] [Green Version]
- Davenne, T.R.; Peters, B.M. An Analysis of Pumped Thermal Energy Storage With De-coupled Thermal Stores. Front. Energy Res. 2020, 8, 160. [Google Scholar] [CrossRef]
- Guo, J.; Cai, L.; Chen, J.; Zhou, Y. Performance evaluation and parametric choice criteria of a Brayton pumped thermal electricity storage system. Energy 2016, 113, 693–701. [Google Scholar] [CrossRef]
- Laughlin, R.B. Pumped thermal grid storage with heat exchange. J. Renew. Sust. Energy Rev. 2017, 9, 044103. [Google Scholar] [CrossRef] [Green Version]
- Esence, T.; Bruch, A.; Molina, S.; Stutz, B.; Fourmigué, J.F. A review on experience feedback and numerical modeling of packed-bed thermal energy storage systems. Sol. Energy 2017, 153, 628–654. [Google Scholar] [CrossRef]
- McTigue, J.D.; White, A.J.; Markides, C.N. Parametric studies and optimisation of pumped thermal electricity storage. Appl. Energy 2015, 137, 800–811. [Google Scholar] [CrossRef] [Green Version]
- Salomone-González, D.; González-Ayala, J.; Medina, A.; Roco, J.M.M.; Curto-Risso, P.L.; Hernández, A.C. Pumped heat energy storage with liquid media: Thermodynamic assessment by a Brayton-like model. Energy Conv. Manag. 2020, 226, 113540. [Google Scholar] [CrossRef]
- González-Ayala, J.; Salomone-González, D.; Medina, A.; Roco, J.M.M.; Curto-Risso, P.L.; Hernández, A.C. Multicriteria optimization of Brayton-like pumped thermal electricity storage with liquid media. J. Energy Storage 2021, 44, 103242. [Google Scholar] [CrossRef]
- Wang, L.; Lin, X.; Chai, L.; Peng, L.; Yu, D.; Chen, H. Cyclic transient behavior of the Joule-Brayton based pumped heat electricity storage: Modeling and analysis. Renew. Sust. Energy Rev. 2019, 111, 523–534. [Google Scholar] [CrossRef]
- Zhang, Y.; Wang, Z. Comparative study on optimized round-trip efficiency of pumped thermaland pumped cryogenic electricity storages. Energy Conv. Manag. 2021, 238, 114182. [Google Scholar] [CrossRef]
- Thess, A. Thermodynamic Efficiency of Pumped Heat Electricity Storage. Phys. Rev. Lett. 2013, 111, 110602. [Google Scholar] [CrossRef] [Green Version]
- Chen, J.; Guo, J. Comment on “Thermodynamic Efficiency of PumpedHeat Electricity Storage”. Phys. Rev. Lett. 2016, 116, 158901. [Google Scholar] [CrossRef]
- Gonzalez-Ayala, J.; Arias-Hernandez, L.A.; Angulo-Brown, F. Connection between maximum-work and maximum-power thermal cycles. Phys. Rev. E 2013, 88, 052142. [Google Scholar] [CrossRef] [Green Version]
- Gonzalez-Ayala, J.; Roco, J.M.M.; Medina, A.; Hernández, A.C. Carnot-Like Heat Engines Versus Low-Dissipation Models. Entropy 2017, 19, 182. [Google Scholar] [CrossRef] [Green Version]
- Gonzalez-Ayala, J.; Roco, J.M.M.; Hernández, A.C. Entropy generation and unified optimization of Carnot-like and low-dissipation refrigerators. Phys. Rev. E 2018, 97, 022139. [Google Scholar] [CrossRef] [Green Version]
- Roco, J.M.M.; Velasco, S.; Medina, A.; Hernández, A.C. Optimum performance of a regenerative Brayton thermal cycle. J. Appl. Phys. 1997, 82, 2735–2741. [Google Scholar] [CrossRef]
- Sánchez-Orgaz, S.; Medina, A.; Hernández, A.C. Thermodynamic model and optimization of a multi-step irreversible Brayton cycle. Energy Conv. Manag. 2010, 51, 2134–2143. [Google Scholar] [CrossRef]
- Ahmadi, M.H.; Ahmadi, M.A.; Pourfayaz, F.; Bidi, M. Thermodynamic analysis and optimization for an irreversible heat pump working on reversed Brayton cycle. Energy Conv. Manag. 2016, 110, 260–267. [Google Scholar] [CrossRef]











| Overall Cycle Constraints and Bounds | |
|---|---|
| Heat conservation | |
| Charge conditions | |
| Discharge conditions for | |
| Discharge conditions for | |
| Energy conservation | |
| Carnot maximum efficiency | & |
| Pressure and temperature ratios links | |
| Pressure and temperature ratios links | |
| Irreversibilities | Interval |
|---|---|
Publisher’s Note: MDPI stays neutral with regard to jurisdictional claims in published maps and institutional affiliations. |
© 2021 by the authors. Licensee MDPI, Basel, Switzerland. This article is an open access article distributed under the terms and conditions of the Creative Commons Attribution (CC BY) license (https://creativecommons.org/licenses/by/4.0/).
Share and Cite
Pérez-Gallego, D.; Gonzalez-Ayala, J.; Calvo Hernández, A.; Medina, A. Thermodynamic Performance of a Brayton Pumped Heat Energy Storage System: Influence of Internal and External Irreversibilities. Entropy 2021, 23, 1564. https://doi.org/10.3390/e23121564
Pérez-Gallego D, Gonzalez-Ayala J, Calvo Hernández A, Medina A. Thermodynamic Performance of a Brayton Pumped Heat Energy Storage System: Influence of Internal and External Irreversibilities. Entropy. 2021; 23(12):1564. https://doi.org/10.3390/e23121564
Chicago/Turabian StylePérez-Gallego, David, Julian Gonzalez-Ayala, Antonio Calvo Hernández, and Alejandro Medina. 2021. "Thermodynamic Performance of a Brayton Pumped Heat Energy Storage System: Influence of Internal and External Irreversibilities" Entropy 23, no. 12: 1564. https://doi.org/10.3390/e23121564
APA StylePérez-Gallego, D., Gonzalez-Ayala, J., Calvo Hernández, A., & Medina, A. (2021). Thermodynamic Performance of a Brayton Pumped Heat Energy Storage System: Influence of Internal and External Irreversibilities. Entropy, 23(12), 1564. https://doi.org/10.3390/e23121564

