Identification of Denatured Biological Tissues Based on Compressed Sensing and Improved Multiscale Dispersion Entropy during HIFU Treatment
Abstract
1. Introduction
2. Methods
2.1. Compressed Sensing
2.2. Multiscale Dispersion Entropy
2.3. Improved Multiscale Dispersion Entropy
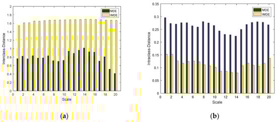
2.4. Intraclass Distance and Interclass Distance
3. Experimental Results and Analysis
3.1. Experimental System
3.2. Signal Denoising Based on CS
3.3. Comparison between MDE and IMDE of Simulated Signal
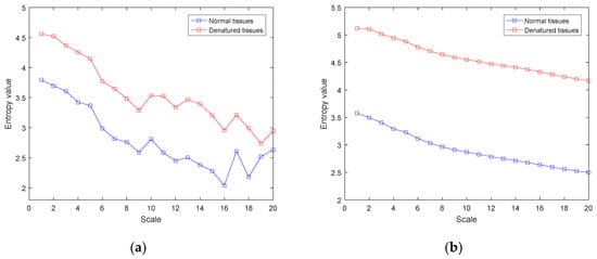
3.4. MDE and IMDE of Actual Ultrasonic Scattered Echo Signals
4. Discussion
5. Conclusions
Author Contributions
Funding
Conflicts of Interest
References
- Feijoo, E.R.C.; Sivaraman, A.; Barret, E.; Sanchez-Salas, R.; Galiano, M.; Rozet, F.; Prapotnich, D.; Cathala, N.; Mombet, A.; Cathelineau, X. Focal High-intensity Focused Ultrasound Targeted Hemiablation for Unilateral Prostate Cancer: A Prospective Evaluation of Oncologic and Functional Outcomes. Eur. Urol. 2016, 69, 214–220. [Google Scholar] [CrossRef] [PubMed]
- Lang, B.H.H.; Woo, Y.-C.; Wong, C.K.H. High-Intensity Focused Ultrasound for Treatment of Symptomatic Benign Thyroid Nodules: A Prospective Study. Radiology 2017, 284, 897–906. [Google Scholar] [CrossRef] [PubMed]
- You, Y.; Wang, Z.; Ran, H.; Zheng, Y.; Wang, N.; Xu, J.; Wang, Z.; Chen, Y.; Li, P. Nanoparticle-enhanced synergistic HIFU ablation and transarterial chemoembolization for efficient cancer therapy. Nanoscale 2016, 8, 4324–4339. [Google Scholar] [CrossRef] [PubMed]
- Bailey, M.R.; Khokhlova, V.A.; Sapozhnikov, O.A.; Kargl, S.G.; Crum, L.A. Physical mechanisms of the therapeutic effect of ultrasound (a review). Acoust. Phys. 2003, 49, 369–388. [Google Scholar] [CrossRef]
- Yin, N.; Hu, L.; Xiao, Z.-B.; Liu, C.; Chen, W.-Z.; Roberts, N.; Chen, J.; Wang, Z.-B. Factors influencing thermal injury to skin and abdominal wall structures in HIFU ablation of uterine fibroids. Int. J. Hyperth. 2018, 34, 1298–1303. [Google Scholar] [CrossRef] [PubMed]
- Weiss, N.; Goldberg, S.N.; Sosna, J.; Azhari, H. Temperature-density hysteresis in X-ray CT during HIFU thermal ablation: Heating and cooling phantom study. Int. J. Hyperth. 2014, 30, 27–35. [Google Scholar] [CrossRef]
- Weiss, N.; Sosna, J.; Goldberg, S.N.; Azhari, H. Non-invasive temperature monitoring and hyperthermic injury onset detection using X-ray CT during HIFU thermal treatment in ex vivo fatty tissue. Int. J. Hyperth. 2014, 30, 119–125. [Google Scholar] [CrossRef]
- Rouvière, O.; Girouin, N.; Glas, L.; Ben Cheikh, A.; Gelet, A.; Mège-Lechevallier, F.; Rabilloud, M.; Chapelon, J.-Y.; Lyonnet, D. Prostate cancer transrectal HIFU ablation: Detection of local recurrences using T2-weighted and dynamic contrast-enhanced MRI. Eur. Radiol. 2010, 20, 48–55. [Google Scholar] [CrossRef]
- Quesson, B.; Laurent, C.; Maclair, G.; De Senneville, B.D.; Mougenot, C.; Ries, M.; Carteret, T.; Rullier, A.; Moonen, C.T. Real-time volumetric MRI thermometry of focused ultrasound ablation in vivo: A feasibility study in pig liver and kidney. NMR Biomed. 2011, 24, 145–153. [Google Scholar] [CrossRef]
- Yang, C.; Zhu, H.; Wu, S.; Bai, Y.; Gao, H. Correlations between B-mode ultrasonic image texture features and tissue temperature in microwave ablation. J. Ultrasound Med. 2010, 29, 1787–1799. [Google Scholar] [CrossRef]
- Wust, P.; Cho, C.H.; Hildebrandt, B.; Gellermann, J. Thermal monitoring: Invasive, minimal-invasive and non-invasive approaches. Int. J. Hyperth. 2006, 22, 255–262. [Google Scholar] [CrossRef] [PubMed]
- Seip, R.; Tavakkoli, J.; Carlson, R.F.; Wunderlich, A. High-intensity focused ultrasound(HIFU) multiple lesion imagine: Comparison of detection algorithms for real-time treatment control. In Proceedings of the 2002 IEEE Ultrasonics Symposium, Munich, Germany, 8–11 October 2002; pp. 1427–1430. [Google Scholar]
- Paris, M.T.; Bell, K.E.; Avrutin, E.; Mourtzakis, M. Ultrasound image resolution influences analysis of skeletal muscle composition. Clin. Physiol. Funct. Imaging 2020, 40, 277–283. [Google Scholar] [CrossRef] [PubMed]
- Lewis, M.A.; Staruch, R.M.; Chopra, R. Thermometry and ablation monitoring with ultrasound. Int. J. Hyperth. 2015, 31, 163–181. [Google Scholar] [CrossRef] [PubMed]
- Zhou, Z.; Wu, W.; Wu, S.; Xia, J.; Wang, C.-Y.; Yang, C.; Lin, C.-C.; Tsui, P.-H. A survey of ultrasound elastography approaches to percutaneous ablation monitoring. Proc. Inst. Mech. Eng. Part H J. Eng. Med. 2014, 228, 1069–1082. [Google Scholar] [CrossRef]
- Zhou, Z.; Tai, D.-I.; Wan, Y.-L.; Tseng, J.-H.; Lin, Y.-R.; Wu, S.; Yang, K.-C.; Liao, Y.-Y.; Yeh, C.-K.; Tsui, P.-H. Hepatic Steatosis Assessment with Ultrasound Small-Window Entropy Imaging. Ultrasound Med. Biol. 2018, 44, 1327–1340. [Google Scholar] [CrossRef]
- Huang, N.E.; Shen, Z.; Long, S.R.; Wu, M.C.; Shih, H.H.; Zheng, Q.; Yen, N.-C.; Tung, C.C.; Liu, H.H. The empirical mode decomposition and the Hilbert spectrum for nonlinear and non-stationary time series analysis. Proc. R. Soc. A Math. Phys. Eng. Sci. 1998, 454, 903–995. [Google Scholar] [CrossRef]
- Murashige, A.; Hiro, T.; Fujii, T.; Imoto, K.; Murata, T.; Fukumoto, Y.; Matsuzaki, M. Detection of Lipid-Laden Atherosclerotic Plaque by Wavelet Analysis of Radiofrequency Intravascular Ultrasound Signals: In vitro validation and preliminary in vivo application. J. Am. Coll. Cardiol. 2005, 45, 1954–1960. [Google Scholar] [CrossRef]
- Dong, B.; Mao, Y.; Osher, S.; Yin, W. Fast linearized Bregman iteration for compressive sensing and sparse denoising. Commun. Math. Sci. 2010, 8, 93–111. [Google Scholar] [CrossRef]
- Bai, L.; Maechler, P.; Muehlberghuber, M.; Kaeslin, H. High-speed compressed sensing reconstruction on FPGA using OMP and AMP. In Proceedings of the 2012 19th IEEE International Conference on Electronics, Circuits, and Systems (ICECS 2012), Seville, Spain, 9–12 December 2012; pp. 53–56. [Google Scholar]
- Pichardo, S.; Sin, V.W.; Hynynen, K. Multi-frequency characterization of the speed of sound and attenuation coefficient for longitudinal transmission of freshly excised human skulls. Phys. Med. Biol. 2010, 56, 219–250. [Google Scholar] [CrossRef]
- Zderic, V.; Keshavarzi, A.; Andrew, M.A.; Vaezy, S.; Martin, R.W. Attenuation of porcine tissues in vivo after high-intensity ultrasound treatment. Ultrasound Med. Biol. 2004, 30, 61–66. [Google Scholar] [CrossRef]
- Seip, R.; Ebbini, E.S.; O’Donnell, M.B.; Cain, C. Non-invasive detection of thermal effects due to highly focused ultrasonic fields. In Proceedings of the 1993 IEEE Ultrasonics Symposium, Baltimore, MD, USA, 31 October–3 November 1993; pp. 1229–1232. [Google Scholar]
- Suomi, V.; Han, Y.; Konofagou, E.; Cleveland, R.O. The effect of temperature dependent tissue parameters on acoustic radiation force induced displacements. Phys. Med. Biol. 2016, 61, 7427. [Google Scholar] [CrossRef] [PubMed]
- Mobasheri, S.; Behnam, H.; Rangraz, P.; Tavakkoli, J. Radio Frequency Ultrasound Time Series Signal Analysis to Evaluate High-intensity Focused Ultrasound Lesion Formation Status in Tissue. J. Med. Signals Sensors 2016, 6, 91–98. [Google Scholar] [CrossRef]
- Tsui, P.-H.; Wan, Y.-L. Effects of Fatty Infiltration of the Liver on the Shannon Entropy of Ultrasound Backscattered Signals. Entropy 2016, 18, 341. [Google Scholar] [CrossRef]
- Liu, B.; Hu, W.P.; Zou, X.; Ding, Y.J.; Qian, S.Y. Recognition of denatured biological tissue based on variational mode decomposition and multi-scale permutation entropy. Acta Phys. Sin. 2019, 68, 028702. [Google Scholar]
- Fadlallah, B.; Chen, B.; Keil, A.; Principe, J. Weighted-permutation entropy: A complexity measure for time series incorporating amplitude information. Phys. Rev. E 2013, 87, 022911. [Google Scholar] [CrossRef]
- Wu, S.-D.; Wu, C.-W.; Lin, S.-G.; Wang, C.-C.; Lee, K.-Y. Time Series Analysis Using Composite Multiscale Entropy. Entropy 2013, 15, 1069–1084. [Google Scholar] [CrossRef]
- Rostaghi, M.; Azami, H. Dispersion Entropy: A Measure for Time-Series Analysis. IEEE Signal Process. Lett. 2016, 23, 610–614. [Google Scholar] [CrossRef]
- Li, Z.; Li, Y.; Zhang, K.; Guo, J. A Novel Improved Feature Extraction Technique for Ship-Radiated Noise Based on IITD and MDE. Entropy 2019, 21, 1215. [Google Scholar] [CrossRef]
- Shang, H.; Li, F.; Wu, Y. Partial Discharge Fault Diagnosis Based on Multi-Scale Dispersion Entropy and a Hypersphere Multiclass Support Vector Machine. Entropy 2019, 21, 81. [Google Scholar] [CrossRef]
- Azami, H.; Fernández, A.; Escudero, J. Multivariate Multiscale Dispersion Entropy of Biomedical Times Series. Entropy 2019, 21, 913. [Google Scholar] [CrossRef]
- Azami, H.; Rostaghi, M.; Abásolo, D.; Escudero, J. Refined Composite Multiscale Dispersion Entropy and its Application to Biomedical Signals. IEEE Trans. Biomed. Eng. 2017, 64, 2872–2879. [Google Scholar] [CrossRef] [PubMed]
- Yan, X.; Jia, M. Intelligent fault diagnosis of rotating machinery using improved multiscale dispersion entropy and mRMR feature selection. Knowl. Based Syst. 2019, 163, 450–471. [Google Scholar] [CrossRef]












| SNR of Noisy Simulated Signals | Denoising Methods | SNR/dB | MSE |
|---|---|---|---|
| CS-OMP | 13.2699 | 0.3431 | |
| 2 dB | Wavelet | 3.8226 | 1.0182 |
| EMD | 2.9746 | 1.2596 | |
| CS-OMP | 16.5219 | 0.2360 | |
| 5 dB | Wavelet | 5.1166 | 0.8773 |
| EMD | 5.7382 | 0.8167 | |
| CS-OMP | 31.6592 | 0.0413 | |
| 10 dB | Wavelet | 4.9736 | 0.8919 |
| EMD | 9.7579 | 0.5141 |
| Entropy | Number of Data Points | |||
|---|---|---|---|---|
| 500 | 1000 | 3000 | 5000 | |
| MDE | 0.5481 | 0.3134 | 0.0974 | 0.0576 |
| IMDE | 0.2787 | 0.1402 | 0.0354 | 0.0227 |
© 2020 by the authors. Licensee MDPI, Basel, Switzerland. This article is an open access article distributed under the terms and conditions of the Creative Commons Attribution (CC BY) license (http://creativecommons.org/licenses/by/4.0/).
Share and Cite
Liu, B.; Wang, R.; Peng, Z.; Qin, L. Identification of Denatured Biological Tissues Based on Compressed Sensing and Improved Multiscale Dispersion Entropy during HIFU Treatment. Entropy 2020, 22, 944. https://doi.org/10.3390/e22090944
Liu B, Wang R, Peng Z, Qin L. Identification of Denatured Biological Tissues Based on Compressed Sensing and Improved Multiscale Dispersion Entropy during HIFU Treatment. Entropy. 2020; 22(9):944. https://doi.org/10.3390/e22090944
Chicago/Turabian StyleLiu, Bei, Runmin Wang, Ziqi Peng, and Lingjie Qin. 2020. "Identification of Denatured Biological Tissues Based on Compressed Sensing and Improved Multiscale Dispersion Entropy during HIFU Treatment" Entropy 22, no. 9: 944. https://doi.org/10.3390/e22090944
APA StyleLiu, B., Wang, R., Peng, Z., & Qin, L. (2020). Identification of Denatured Biological Tissues Based on Compressed Sensing and Improved Multiscale Dispersion Entropy during HIFU Treatment. Entropy, 22(9), 944. https://doi.org/10.3390/e22090944
