Equation of State of Four- and Five-Dimensional Hard-Hypersphere Mixtures
Abstract
1. Introduction
2. Mappings between the Equation of State of the Polydisperse Mixture and That of the Monocomponent System
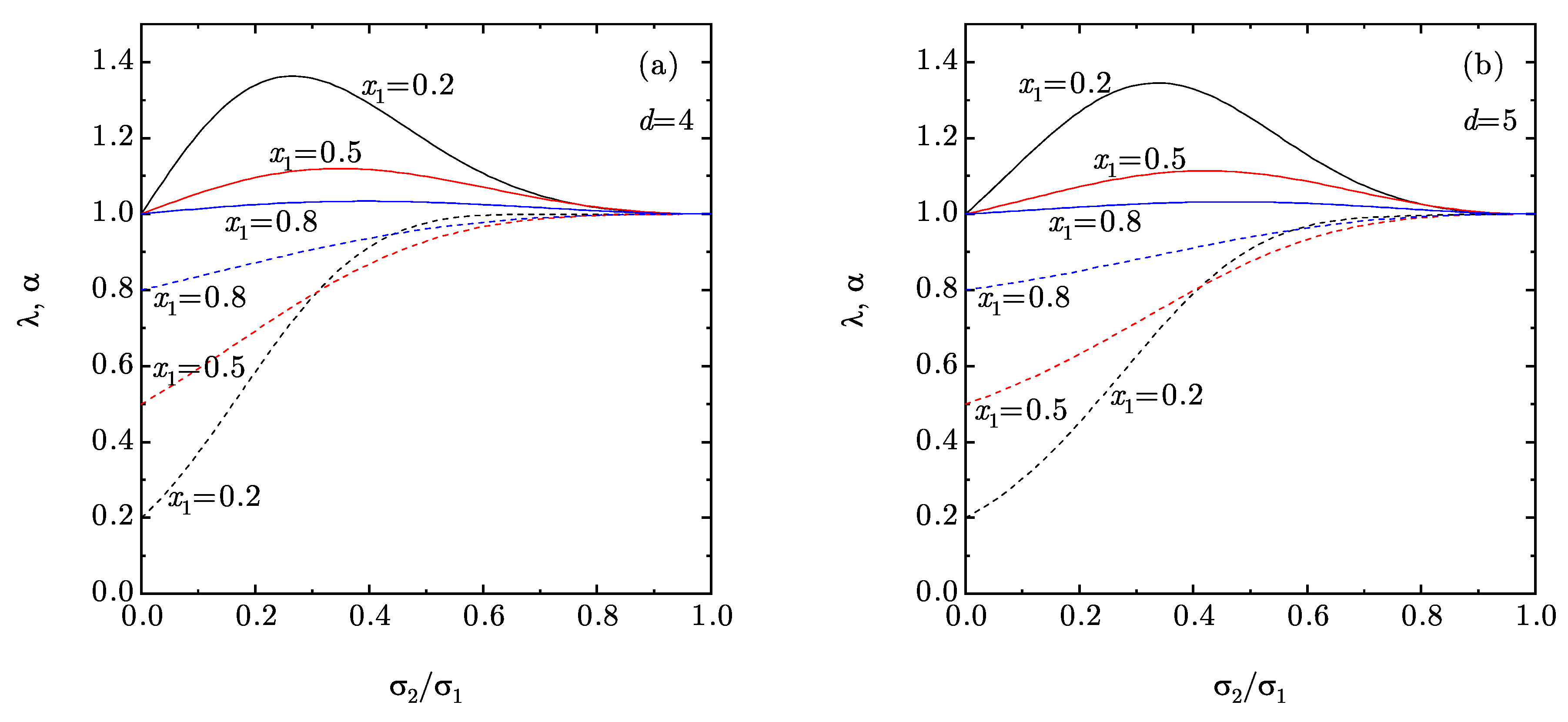
2.1. The e1 Approximation
2.2. The e2 Approximation
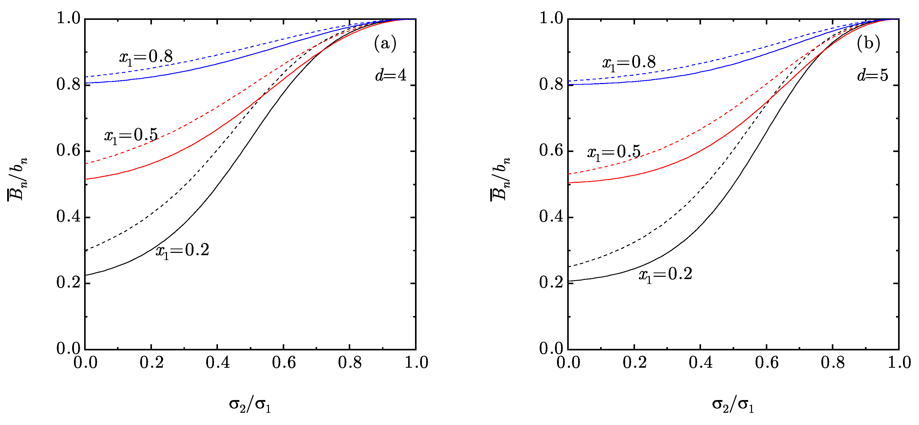
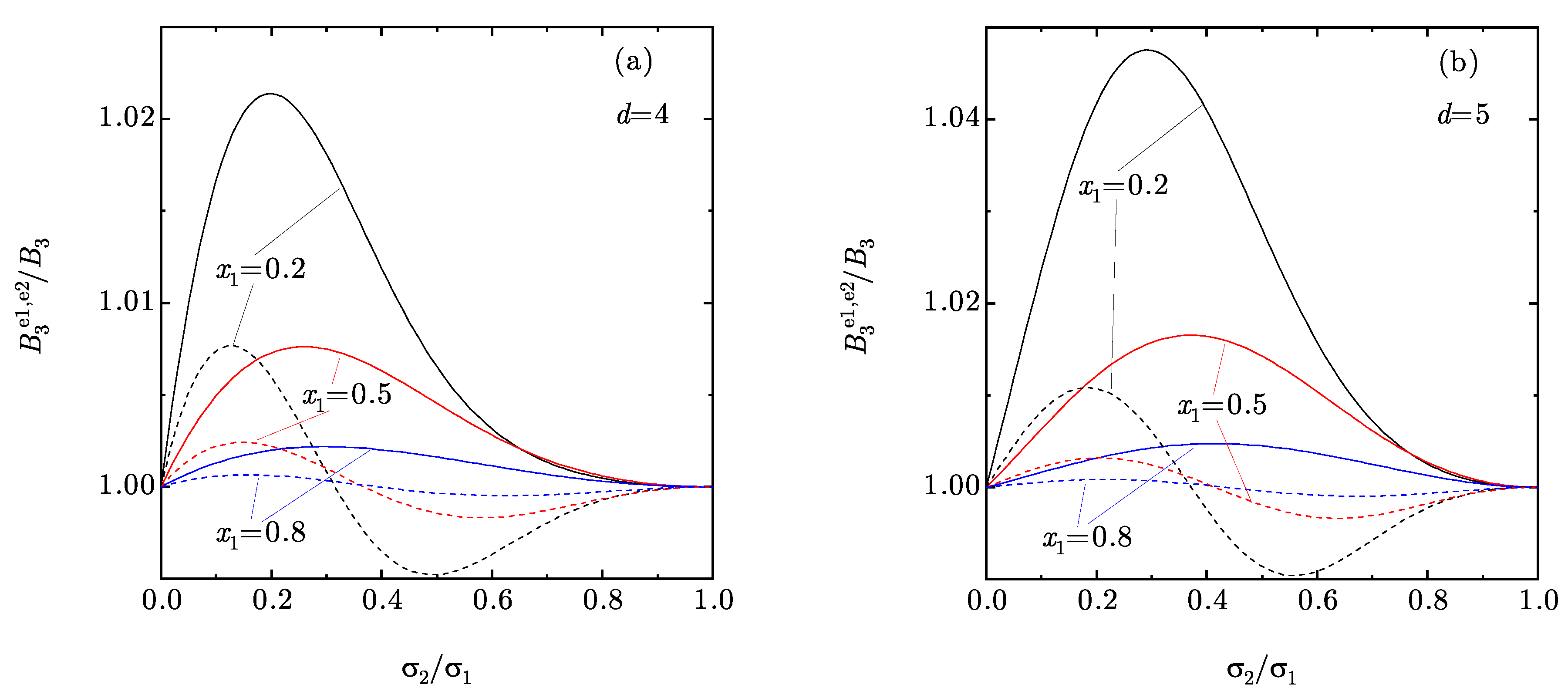
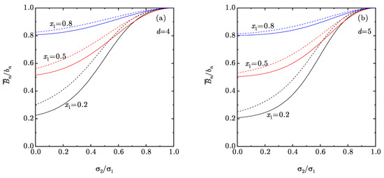
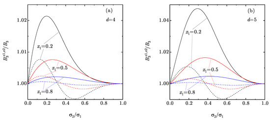
2.3. Exact Third Virial Coefficient. Modified Versions of the e1 and e2 Approximations
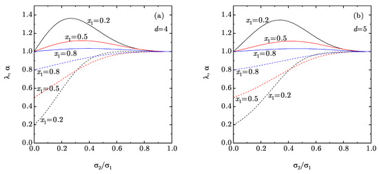
2.4. The sp Approximation
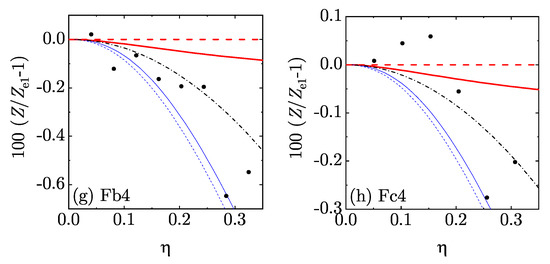
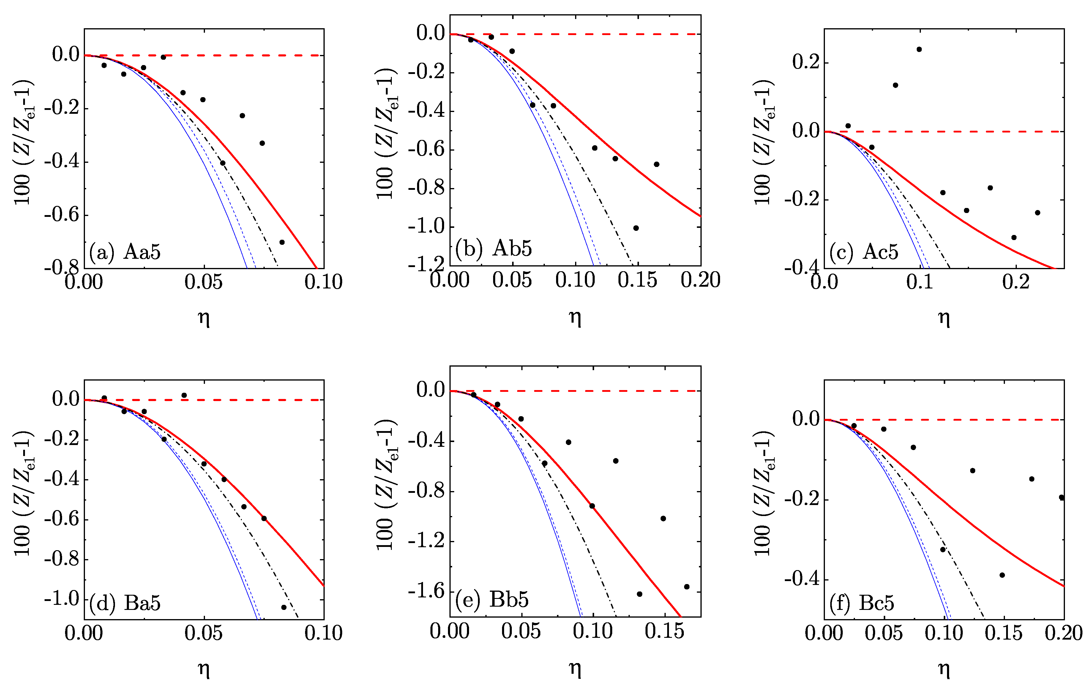
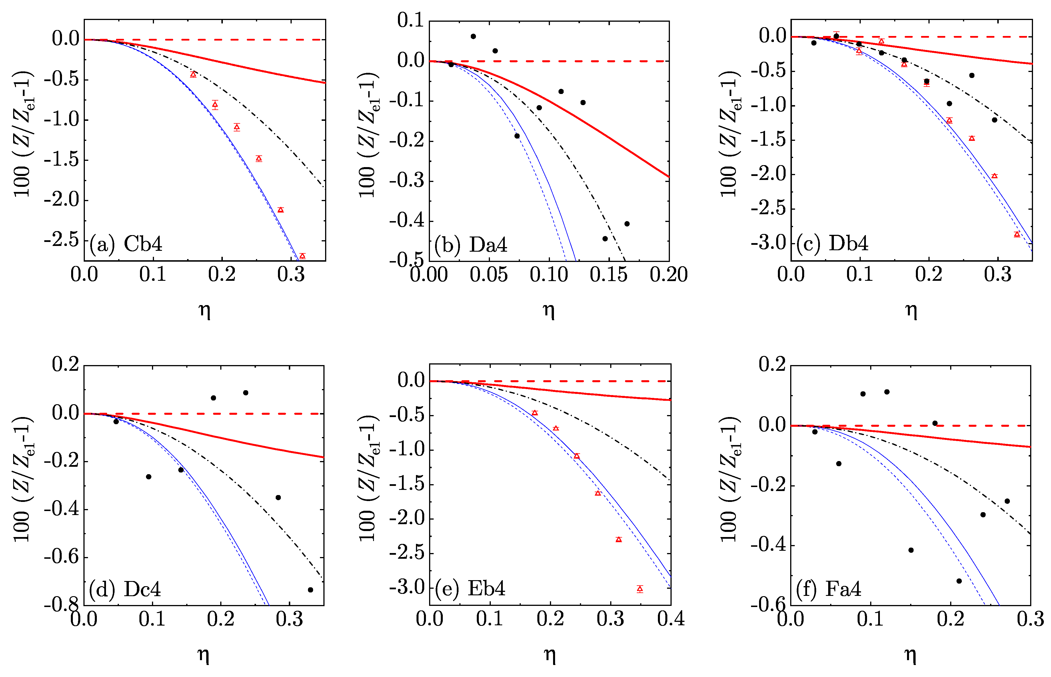
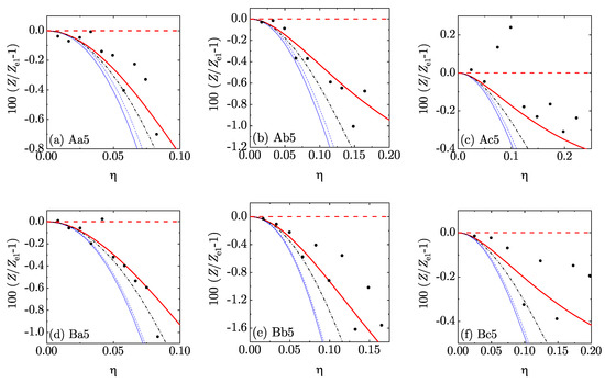
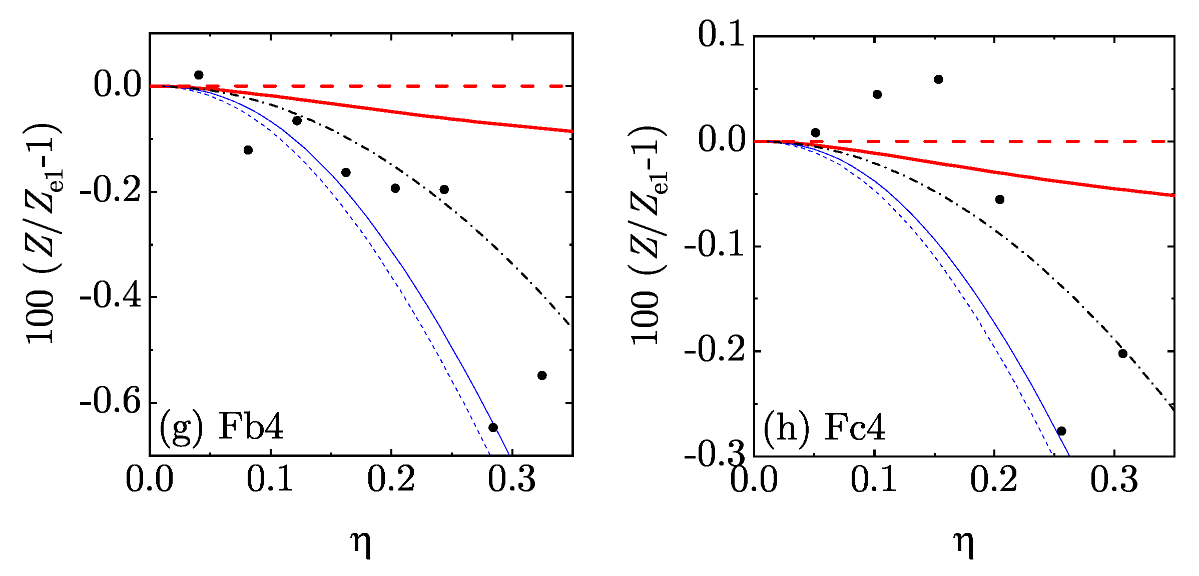
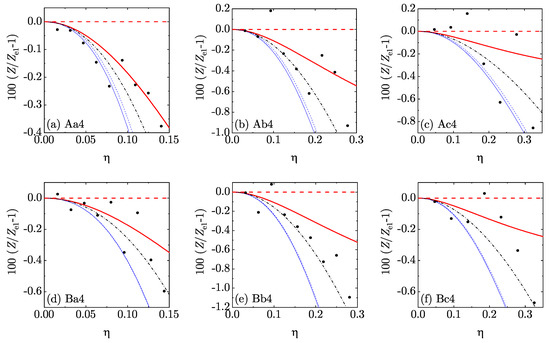
3. Comparison with Computer Simulation Results
4. Discussion and Concluding Remarks
Author Contributions
Funding
Conflicts of Interest
Abbreviations
| EOS | Equation of state |
| LM | Luban–Michels |
| MC | Monte Carlo |
| MD | Molecular dynamics |
References
- Frisch, H.L.; Rivier, N.; Wyler, D. Classical Hard-Sphere Fluid in Infinitely Many Dimensions. Phys. Rev. Lett. 1985, 54, 2061–2063. [Google Scholar] [CrossRef] [PubMed]
- Luban, M. Comment on “Classical Hard-Sphere Fluid in Infinitely Many Dimensions”. Phys. Rev. Lett. 1986, 56, 2330. [Google Scholar] [CrossRef] [PubMed]
- Frisch, H.L.; Rivier, N.; Wyler, D. Frisch, Rivier, and Wyler Respond. Phys. Rev. Lett. 1986, 56, 2331. [Google Scholar] [CrossRef] [PubMed]
- Klein, W.; Frisch, H.L. Instability in the infinite dimensional hard-sphere fluid. J. Chem. Phys. 1986, 84, 968–970. [Google Scholar] [CrossRef]
- Wyler, D.; Rivier, N.; Frisch, H.L. Hard-sphere fluid in infinite dimensions. Phys. Rev. A 1987, 36, 2422–2431. [Google Scholar] [CrossRef] [PubMed]
- Bagchi, B.; Rice, S.A. On the stability of the infinite dimensional fluid of hard hyperspheres: A statistical mechanical estimate of the density of closest packing of simple hypercubic lattices in spaces of large dimensionality. J. Chem. Phys. 1988, 88, 1177–1184. [Google Scholar] [CrossRef]
- Elskens, Y.; Frisch, H.L. Kinetic theory of hard spheres in infinite dimensions. Phys. Rev. A 1988, 37, 4351–4353. [Google Scholar] [CrossRef]
- Carmesin, H.O.; Frisch, H.; Percus, J. Binary nonadditive hard-sphere mixtures at high dimension. J. Stat. Phys. 1991, 63, 791–795. [Google Scholar] [CrossRef]
- Frisch, H.L.; Percus, J.K. High dimensionality as an organizing device for classical fluids. Phys. Rev. E 1999, 60, 2942–2948. [Google Scholar] [CrossRef] [PubMed]
- Parisi, G.; Slanina, F. Toy model for the mean-field theory of hard-sphere liquids. Phys. Rev. E 2000, 62, 6554–6559. [Google Scholar] [CrossRef]
- Yukhimets, A.; Frisch, H.L.; Percus, J.K. Molecular Fluids at High Dimensionality. J. Stat. Phys. 2000, 100, 135–151. [Google Scholar] [CrossRef]
- Charbonneau, P.; Kurchan, J.; Parisi, G.; Urbani, P.; Zamponi, F. Glass and Jamming Transitions: From Exact Results to Finite-Dimensional Descriptions. Annu. Rev. Cond. Matter Phys. 2017, 8, 265–288. [Google Scholar] [CrossRef]
- Santos, A.; López de Haro, M. Demixing can occur in binary hard-sphere mixtures with negative non-additivity. Phys. Rev. E 2005, 72, 010501(R). [Google Scholar] [CrossRef]
- Freasier, C.; Isbister, D.J. A remark on the Percus–Yevick approximation in high dimensions. Hard core systems. Mol. Phys. 1981, 42, 927–936. [Google Scholar] [CrossRef]
- Leutheusser, E. Exact solution of the Percus–Yevick equation for a hard-core fluid in odd dimensions. Physica A 1984, 127, 667–676. [Google Scholar] [CrossRef]
- Michels, J.P.J.; Trappeniers, N.J. Dynamical computer simulations on hard hyperspheres in four- and five-dimensional space. Phys. Lett. A 1984, 104, 425–429. [Google Scholar] [CrossRef]
- Baus, M.; Colot, J.L. Theoretical structure factors for hard-core fluids. J. Phys. C 1986, 19, L643–L648. [Google Scholar] [CrossRef]
- Baus, M.; Colot, J.L. Thermodynamics and structure of a fluid of hard rods, disks, spheres, or hyperspheres from rescaled virial expansions. Phys. Rev. A 1987, 36, 3912–3925. [Google Scholar] [CrossRef]
- Rosenfeld, Y. Distribution function of two cavities and Percus–Yevick direct correlation functions for a hard sphere fluid in D dimensions: Overlap volume function representation. J. Chem. Phys. 1987, 87, 4865–4869. [Google Scholar] [CrossRef]
- Rosenfeld, Y. Scaled field particle theory of the structure and thermodynamics of isotropic hard particle fluids. J. Chem. Phys. 1988, 89, 4272–4287. [Google Scholar] [CrossRef]
- Amorós, J.; Solana, J.R.; Villar, E. Equations of state for four- and five-dimensional hard hypersphere fluids. Phys. Chem. Liq. 1989, 19, 119–124. [Google Scholar] [CrossRef]
- Song, Y.; Mason, E.A.; Stratt, R.M. Why does the Carnahan-Starling equation work so well? J. Phys. Chem. 1989, 93, 6916–6919. [Google Scholar] [CrossRef]
- Song, Y.; Mason, E.A. Equation of state for fluids of spherical particles in d dimensions. J. Chem. Phys. 1990, 93, 686–688. [Google Scholar] [CrossRef]
- González, D.J.; González, L.E.; Silbert, M. Thermodynamics of a fluid of hard D-dimensional spheres: Percus-Yevick and Carnahan-Starling-like results for D = 4 and 5. Phys. Chem. Liq. 1990, 22, 95–102. [Google Scholar] [CrossRef]
- Luban, M.; Michels, J.P.J. Equation of state of hard D-dimensional hyperspheres. Phys. Rev. A 1990, 41, 6796–6804. [Google Scholar] [CrossRef]
- Maeso, M.J.; Solana, J.R.; Amorós, J.; Villar, E. Equations of state for D-dimensional hard sphere fluids. Mater. Chem. Phys. 1991, 30, 39–42. [Google Scholar] [CrossRef]
- González, D.J.; González, L.E.; Silbert, M. Structure and thermodynamics of hard D-dimensional spheres: Overlap volume function approach. Mol. Phys. 1991, 74, 613–627. [Google Scholar] [CrossRef]
- González, L.E.; González, D.J.; Silbert, M. Structure and thermodynamics of mixtures of hard D-dimensional spheres: Overlap volume function approach. J. Chem. Phys. 1992, 97, 5132–5141. [Google Scholar] [CrossRef]
- Velasco, E.; Mederos, L.; Navascués, G. Analytical approach to the thermodynamics and density distribution of crystalline phases of hard spheres spheres. Mol. Phys. 1999, 97, 1273–1277. [Google Scholar] [CrossRef]
- Bishop, M.; Masters, A.; Clarke, J.H.R. Equation of state of hard and Weeks–Chandle–Anderson hyperspheres in four and five dimensions. J. Chem. Phys. 1999, 110, 11449–11453. [Google Scholar] [CrossRef]
- Finken, R.; Schmidt, M.; Löwen, H. Freezing transition of hard hyperspheres. Phys. Rev. E 2001, 65, 016108. [Google Scholar] [CrossRef]
- Santos, A.; Yuste, S.B.; López de Haro, M. Equation of state of a multicomponent d-dimensional hard-sphere fluid. Mol. Phys. 1999, 96, 1–5. [Google Scholar] [CrossRef]
- Mon, K.K.; Percus, J.K. Virial expansion and liquid-vapor critical points of high dimension classical fluids. J. Chem. Phys. 1999, 110, 2734–2735. [Google Scholar] [CrossRef]
- Santos, A. An equation of state à La Carnahan-Starling A Five-Dimens. Fluid Hard Hyperspheres. J. Chem. Phys. 2000, 112, 10680–10681. [Google Scholar] [CrossRef]
- Yuste, S.B.; Santos, A.; López de Haro, M. Demixing in binary mixtures of hard hyperspheres. Europhys. Lett. 2000, 52, 158–164. [Google Scholar] [CrossRef][Green Version]
- González-Melchor, M.; Alejandre, J.; López de Haro, M. Equation of state and structure of binary mixtures of hard d-dimensional hyperspheres. J. Chem. Phys. 2001, 114, 4905–4911. [Google Scholar] [CrossRef]
- Santos, A.; Yuste, S.B.; López de Haro, M. Contact values of the radial distribution functions of additive hard-sphere mixtures in d dimensions: A new proposal. J. Chem. Phys. 2002, 117, 5785–5793. [Google Scholar] [CrossRef]
- Robles, M.; López de Haro, M.; Santos, A. Equation of state of a seven-dimensional hard-sphere fluid. Percus–Yevick theory and molecular-dynamics simulations. J. Chem. Phys. 2004, 120, 9113–9122. [Google Scholar] [CrossRef]
- Santos, A.; López de Haro, M.; Yuste, S.B. Equation of state of nonadditive d-dimensional hard-sphere mixtures. J. Chem. Phys. 2005, 122, 024514. [Google Scholar] [CrossRef]
- Bishop, M.; Whitlock, P.A.; Klein, D. The structure of hyperspherical fluids in various dimensions. J. Chem. Phys. 2005, 122, 074508. [Google Scholar] [CrossRef]
- Bishop, M.; Whitlock, P.A. The equation of state of hard hyperspheres in four and five dimensions. J. Chem. Phys. 2005, 123, 014507. [Google Scholar] [CrossRef]
- Lue, L.; Bishop, M. Molecular dynamics study of the thermodynamics and transport coefficients of hard hyperspheres in six and seven dimensions. Phys. Rev. E 2006, 74, 021201. [Google Scholar] [CrossRef] [PubMed]
- López de Haro, M.; Yuste, S.B.; Santos, A. Test of a universality ansatz for the contact values of the radial distribution functions of hard-sphere mixtures near a hard wall. Mol. Phys. 2006, 104, 3461–3467. [Google Scholar] [CrossRef][Green Version]
- Bishop, M.; Whitlock, P.A. Monte Carlo Simulation of Hard Hyperspheres in Six, Seven and Eight Dimensions for Low to Moderate Densities. J. Stat. Phys. 2007, 126, 299–314. [Google Scholar] [CrossRef]
- Robles, M.; López de Haro, M.; Santos, A. Percus–Yevick theory for the structural properties of the seven-dimensional hard-sphere fluid. J. Chem. Phys. 2007, 126, 016101. [Google Scholar] [CrossRef] [PubMed]
- Whitlock, P.A.; Bishop, M.; Tiglias, J.L. Structure factor for hard hyperspheres in higher dimensions. J. Chem. Phys. 2007, 126, 224505. [Google Scholar] [CrossRef] [PubMed]
- Rohrmann, R.D.; Santos, A. Structure of hard-hypersphere fluids in odd dimensions. Phys. Rev. E 2007, 76, 051202. [Google Scholar] [CrossRef] [PubMed]
- López de Haro, M.; Yuste, S.B.; Santos, A. Alternative Approaches to the Equilibrium Properties of Hard-Sphere Liquids. In Theory and Simulation of Hard-Sphere Fluids and Related Systems; Mulero, A., Ed.; Lecture Notes in Physics; Springer: Berlin, Germany, 2008; Volume 753, pp. 183–245. [Google Scholar]
- Bishop, M.; Clisby, N.; Whitlock, P.A. The equation of state of hard hyperspheres in nine dimensions for low to moderate densities. J. Chem. Phys. 2008, 128, 034506. [Google Scholar] [CrossRef]
- Adda-Bedia, M.; Katzav, E.; Vella, D. Solution of the Percus–Yevick equation for hard hyperspheres in even dimensions. J. Chem. Phys. 2008, 129, 144506. [Google Scholar] [CrossRef]
- Rohrmann, R.D.; Robles, M.; López de Haro, M.; Santos, A. Virial series for fluids of hard hyperspheres in odd dimensions. J. Chem. Phys. 2008, 129, 014510. [Google Scholar] [CrossRef]
- van Meel, J.A.; Charbonneau, B.; Fortini, A.; Charbonneau, P. Hard-sphere crystallization gets rarer with increasing dimension. Phys. Rev. E 2009, 80, 061110. [Google Scholar] [CrossRef] [PubMed]
- Lue, L.; Bishop, M.; Whitlock, P.A. The fluid to solid phase transition of hard hyperspheres in four and five dimensions. J. Chem. Phys. 2010, 132, 104509. [Google Scholar] [CrossRef] [PubMed]
- Rohrmann, R.D.; Santos, A. Multicomponent fluids of hard hyperspheres in odd dimensions. Phys. Rev. E 2011, 83, 011201. [Google Scholar] [CrossRef] [PubMed]
- Leithall, G.; Schmidt, M. Density functional for hard hyperspheres from a tensorial-diagrammatic series. Phys. Rev. E 2011, 83, 021201. [Google Scholar] [CrossRef] [PubMed]
- Estrada, C.D.; Robles, M. Fluid–solid transition in hard hypersphere systems. J. Chem. Phys. 2011, 134, 044115. [Google Scholar] [CrossRef] [PubMed]
- Bishop, M.; Whitlock, P.A. Monte Carlo study of four dimensional binary hard hypersphere mixtures. J. Chem. Phys. 2012, 136, 014506. [Google Scholar] [CrossRef]
- Bishop, M.; Whitlock, P.A. Phase transitions in four-dimensional binary hard hypersphere mixtures. J. Chem. Phys. 2013, 138, 084502. [Google Scholar] [CrossRef]
- Bishop, M.; Whitlock, P.A. Five dimensional binary hard hypersphere mixtures: A Monte Carlo study. J. Chem. Phys. 2016, 145, 154502. [Google Scholar] [CrossRef]
- Amorós, J.; Ravi, S. On the application of the Carnahan–Starling method for hard hyperspheres in several dimensions. Phys. Lett. A 2013, 377, 2089–2092. [Google Scholar] [CrossRef]
- Amorós, J. Equations of state for tetra-dimensional hard-sphere fluids. Phys. Chem. Liq. 2014, 52, 287–290. [Google Scholar] [CrossRef]
- Heinen, M.; Horbach, J.; Löwen, H. Liquid pair correlations in four spatial dimensions: Theory versus simulation. Mol. Phys. 2015, 113, 1164–1169. [Google Scholar] [CrossRef]
- Santos, A. A Concise Course on the Theory of Classical Liquids. Basics and Selected Topics; Lecture Notes in Physics; Springer: New York, NY, USA, 2016; Volume 923. [Google Scholar]
- Santos, A.; Yuste, S.B.; López de Haro, M.; Ogarko, V. Equation of state of polydisperse hard-disk mixtures in the high-density regime. Phys. Rev. E 2017, 93, 062603. [Google Scholar] [CrossRef] [PubMed]
- Akhouri, B.P. Equations of state for hard hypersphere fluids in high dimensional spaces. Int. J. Chem. Stud. 2017, 5, 39–45. [Google Scholar] [CrossRef]
- Ivanizki, D. A generalization of the Carnahan–Starling approach with applications to four- and five-dimensional hard spheres. Phys. Lett. A 2018, 382, 1745–1751. [Google Scholar] [CrossRef]
- Santos, A.; Yuste, S.B.; López de Haro, M. Virial coefficients and equations of state for mixtures of hard discs, hard spheres, and hard hyperspheres. Mol. Phys. 2001, 99, 1959–1972. [Google Scholar] [CrossRef]
- Ree, F.H.; Hoover, W.G. On the Signs of the Hard Sphere Virial Coefficients. J. Chem. Phys. 1964, 40, 2048–2049. [Google Scholar] [CrossRef]
- Luban, M.; Baram, A. Third and fourth virial coefficients of hard hyperspheres of arbitrary dimensionality. J. Chem. Phys. 1982, 76, 3233–3241. [Google Scholar] [CrossRef]
- Joslin, C.G. Third and fourth virial coefficients of hard hyperspheres of arbitrary dimensionality. J. Chem. Phys. 1982, 77, 2701–2702. [Google Scholar] [CrossRef]
- Loeser, J.G.; Zhen, Z.; Kais, S.; Herschbach, D.R. Dimensional interpolation of hard sphere virial coefficients. J. Chem. Phys. 1991, 95, 4525–4544. [Google Scholar] [CrossRef][Green Version]
- Enciso, E.; Almarza, N.G.; González, M.A.; Bermejo, F.J. The virial coefficients of hard hypersphere binary mixtures. Mol. Phys. 2002, 100, 1941–1944. [Google Scholar] [CrossRef]
- Bishop, M.; Masters, A.; Vlasov, A.Y. Higher virial coefficients of four and five dimensional hard hyperspheres. J. Chem. Phys. 2004, 121, 6884–6886. [Google Scholar] [CrossRef] [PubMed]
- Clisby, N.; McCoy, B.M. Analytic Calculation of B4 for Hard Spheres in Even Dimensions. J. Stat. Phys. 2004, 114, 1343–1360. [Google Scholar] [CrossRef]
- Clisby, N.; McCoy, B. Negative Virial Coefficients and the Dominance of Loose Packed Diagrams for D-Dimensional Hard Spheres. J. Stat. Phys. 2004, 114, 1361–1392. [Google Scholar] [CrossRef]
- Bishop, M.; Masters, A.; Vlasov, A.Y. The eighth virial coefficient of four- and five-dimensional hard hyperspheres. J. Chem. Phys. 2005, 122, 154502. [Google Scholar] [CrossRef] [PubMed]
- Clisby, N.; McCoy, B.M. New results for virial coeffcients of hard spheres in D dimensions. Pramana 2005, 64, 775–783. [Google Scholar] [CrossRef]
- Lyberg, I. The fourth virial coefficient of a fluid of hard spheres in odd dimensions. J. Stat. Phys. 2005, 119, 747–764. [Google Scholar] [CrossRef]
- Clisby, N.; McCoy, B.M. Ninth and Tenth Order Virial Coefficients for Hard Spheres in D Dimensions. J. Stat. Phys. 2006, 122, 15–57. [Google Scholar] [CrossRef]
- Zhang, C.; Pettitt, B.M. Computation of high-order virial coefficients in high-dimensional hard-sphere fluids by Mayer sampling. Mol. Phys. 2016, 112, 1427–1447. [Google Scholar] [CrossRef]
- Skoge, M.; Donev, A.; Stillinger, F.H.; Torquato, S. Packing Hyperspheres in high-dimensional Euclidean spaces. Phys. Rev. E 2006, 74, 041127. [Google Scholar] [CrossRef]
- Torquato, S.; Stillinger, F.H. New Conjectural Lower Bounds on the Optimal Density of Sphere Packings. Exp. Math. 2006, 15, 307–331. [Google Scholar] [CrossRef]
- Torquato, S.; Stillinger, F.H. Exactly Solvable Disordered Hard-Sphere Packing Model in Arbitrary-Dimensional Euclidean Spaces. Phys. Rev. E 2006, 73, 031106. [Google Scholar] [CrossRef] [PubMed]
- Torquato, S.; Uche, O.U.; Stillinger, F.H. Random sequential addition of hard spheres in high Euclidean dimensions. Phys. Rev. E 2006, 74, 061308. [Google Scholar] [CrossRef]
- Parisi, G.; Zamponi, F. Amorphous packings of hard spheres for large space dimension. J. Stat. Mech. 2006, P03017. [Google Scholar] [CrossRef]
- Scardicchio, A.; Stillinger, F.H.; Torquato, S. Estimates of the optimal density of sphere packings in high dimensions. J. Math. Phys. 2008, 49, 043301. [Google Scholar] [CrossRef]
- van Meel, J.A.; Frenkel, D.; Charbonneau, P. Geometrical frustration: A study of four-dimensional hard spheres. Phys. Rev. E 2009, 79, 030201(R). [Google Scholar] [CrossRef] [PubMed]
- Agapie, S.C.; Whitlock, P.A. Random packing of hyperspheres and Marsaglia’s parking lot test. Monte Carlo Methods Appl. 2010, 16, 197–209. [Google Scholar] [CrossRef][Green Version]
- Torquato, S.; Stillinger, F.H. Jammed hard-particle packings: From Kepler to Bernal and beyond. Rev. Mod. Phys. 2010, 82, 2633–2672. [Google Scholar] [CrossRef]
- Zhang, G.; Torquato, S. Precise algorithm to generate random sequential addition of hard hyperspheres at saturation. Phys. Rev. E 2013, 88, 053312. [Google Scholar] [CrossRef]
- Kazav, E.; Berdichevsky, R.; Schwartz, M. Random close packing from hard-sphere Percus-Yevick theory. Phys. Rev. E 2019, 99, 012146. [Google Scholar] [CrossRef] [PubMed]
- Berthier, L.; Charbonneau, P.; Kundu, J. Bypassing sluggishness: SWAP algorithm and glassiness in high dimensions. Phys. Rev. E 2019, 99, 031301(R). [Google Scholar] [CrossRef] [PubMed]
- Santos, A.; Yuste, S.B.; López de Haro, M.; Odriozola, G.; Ogarko, V. Simple effective rule to estimate the jamming packing fraction of polydisperse hard spheres. Phys. Rev. E 2014, 89, 040302(R). [Google Scholar] [CrossRef]
- Bishop, M.; Michels, J.P.J.; de Schepper, I.M. The short-time behavior of the velocity autocorrelation function of smooth, hard hyperspheres in three, four and five dimensions. Phys. Lett. A 1985, 111, 169–170. [Google Scholar] [CrossRef]
- Colot, J.L.; Baus, M. The freezing of hard disks and hyperspheres. Phys. Lett. A 1986, 119, 135–139. [Google Scholar] [CrossRef]
- Lue, L. Collision statistics, thermodynamics, and transport coefficients of hard hyperspheres in three, four, and five dimensions. J. Chem. Phys. 2005, 122, 044513. [Google Scholar] [CrossRef]
- Santos, A. Note: An exact scaling relation for truncatable free energies of polydisperse hard-sphere mixtures. J. Chem. Phys. 2012, 136, 136102. [Google Scholar] [CrossRef]
- Santos, A. Class of consistent fundamental-measure free energies for hard-sphere mixtures. Phys. Rev. E 2012, 86, 040102(R). [Google Scholar] [CrossRef]









| 8 | 16 | |
| 106 | ||
| d | Label | Simulation Method | ||||||
|---|---|---|---|---|---|---|---|---|
| 4 | Aa4 | MD 1 | ||||||
| Ab4 | MD 1 | |||||||
| Ac4 | MD 1 | |||||||
| Ba4 | MD 1 | |||||||
| Bb4 | MD 1 | |||||||
| Bc4 | MD 1 | |||||||
| Cb4 | MC 2 | |||||||
| Da4 | MD 1 | |||||||
| Db4 | MD 1 and MC 2 | |||||||
| Dc4 | MD 1 | |||||||
| Eb4 | MC 2 | |||||||
| Fa4 | MD 1 | |||||||
| Fb4 | MD 1 | |||||||
| Fc4 | MD 1 | |||||||
| 5 | Aa5 | MD 1 | ||||||
| Ab5 | MD 1 | |||||||
| Ac5 | MD 1 | |||||||
| Ba5 | MD 1 | |||||||
| Bb5 | MD 1 | |||||||
| Bc5 | MD 1 | |||||||
| Cb5 | MC 3,4 | |||||||
| Da5 | MD 1 | |||||||
| Db5 | MD 1 and MC 3,5 | |||||||
| Dc5 | MD 1 | |||||||
| Fa5 | MD 1 | |||||||
| Fb5 | MD 1 | |||||||
| Fc5 | MD 1 |
© 2020 by the authors. Licensee MDPI, Basel, Switzerland. This article is an open access article distributed under the terms and conditions of the Creative Commons Attribution (CC BY) license (http://creativecommons.org/licenses/by/4.0/).
Share and Cite
López de Haro, M.; Santos, A.; B. Yuste, S. Equation of State of Four- and Five-Dimensional Hard-Hypersphere Mixtures. Entropy 2020, 22, 469. https://doi.org/10.3390/e22040469
López de Haro M, Santos A, B. Yuste S. Equation of State of Four- and Five-Dimensional Hard-Hypersphere Mixtures. Entropy. 2020; 22(4):469. https://doi.org/10.3390/e22040469
Chicago/Turabian StyleLópez de Haro, Mariano, Andrés Santos, and Santos B. Yuste. 2020. "Equation of State of Four- and Five-Dimensional Hard-Hypersphere Mixtures" Entropy 22, no. 4: 469. https://doi.org/10.3390/e22040469
APA StyleLópez de Haro, M., Santos, A., & B. Yuste, S. (2020). Equation of State of Four- and Five-Dimensional Hard-Hypersphere Mixtures. Entropy, 22(4), 469. https://doi.org/10.3390/e22040469

