Applications of Information Theory in Solar and Space Physics
Abstract
:1. Introduction
2. Data Set
3. Mutual Information, Conditional Mutual Information, and Transfer Entropy
4. The Solar Wind–Radiation Belt System
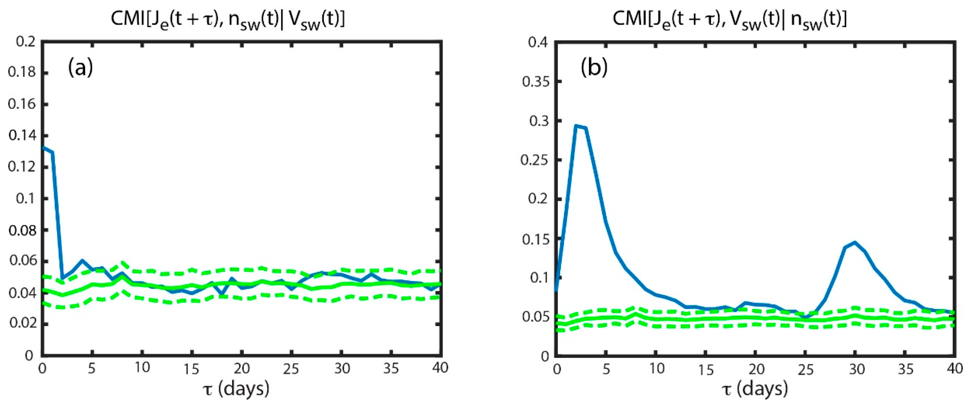
4.1. Untangling the Drivers of the Radiation Belt Je
4.2. The Triangle Distribution
5. The Solar Cycle
5.1. aa Index and SSN
5.2. Polar Field and SSN
5.3. The Parameters That Control the Polar Field
5.4. The Importance of the Polar Fields in Last Few Cycles for Predicting SSN
6. Concluding Remarks
Supplementary Materials
Supplementary File 1Author Contributions
Funding
Acknowledgments
Conflicts of Interest
References
- Li, W. Mutual Information Functions Versus Correlation Functions. J. Stat. Phys. 1990, 60, 823–837. [Google Scholar] [CrossRef]
- Tsonis, A.A. Probing the linearity and nonlinearity in the transitions of the atmospheric circulation. Nonlinear Process. Geophys. 2001, 8, 341–345. [Google Scholar] [CrossRef]
- Wyner, A.D. A definition of conditional mutual information for arbitrary ensembles. Inf. Control 1978, 38, 51–59. [Google Scholar] [CrossRef]
- Schreiber, T. Measuring Information Transfer. Phys. Rev. Lett. 2000, 85, 461–464. [Google Scholar] [CrossRef] [PubMed]
- Meier, M.M.; Belian, R.D.; Cayton, T.E.; Christensen, R.A.; Garcia, B.; Grace, K.M.; Ingraham, J.C.; Laros, J.G.; Reeves, G.D. The energy spectrometer for particles (ESP): Instrument description and orbital performance. AIP Conf. Proc. 1996, 383, 203–210. [Google Scholar]
- Belian, R.D.; Gisler, G.R.; Cayton, T.; Christensen, R. High-Z energetic particles at geosynchronous orbit during the Great Solar Proton Event Series of October 1989. J. Geophys. Res. 1992, 97, 16897–16906. [Google Scholar] [CrossRef]
- Reeves, G.D.; Morley, S.K.; Friedel, R.H.W.; Henderson, M.G.; Cayton, T.E.; Cunningham, G.; Blake, J.B.; Christensen, R.A.; Thomsen, D. On the relationship between relativistic electron flux and solar wind velocity: Paulikas and Blake revisited. J. Geophys. Res. 2011, 116, A02213. [Google Scholar] [CrossRef]
- Ulrich, R.K. Solar Meridional Circulation from Doppler Shifts of the Fe I Line at 5250 Å as Measured by the 150-foot Solar Tower Telescope at the Mt. Wilson Observatory. Astrophys. J. 2010, 725, 658–669. [Google Scholar] [CrossRef]
- Muñoz-Jaramillo, A.; Sheeley, N.R., Jr.; Zhang, J.; DeLuca, E.E. Calibrating 100 years of polar faculae measurements: Implications for the evolution of the heliospheric magnetic field. Astrophys. J. 2012, 753, 146. [Google Scholar] [CrossRef]
- Ulrich, R.K. Cool Stars, Stellar Systems, and the Sun; Giampapa, M.S., Bookbinder, J.S., Eds.; ASP Conf. Ser.; Astronomical Society of the Pacific: San Francisco, CA, USA, 1992; Volume 26, p. 265. [Google Scholar]
- Wang, Y.-M.; Sheeley, N.R., Jr. Solar Implications of ULYSSES Interplanetary Field Measurements. Astrophys. J. Lett. 1995, 447, L143. [Google Scholar] [CrossRef]
- Mayaud, P.-N. The aa indices: A 100-year series characterizing the magnetic activity. J. Geophys. Res. 1972, 77, 6870–6874. [Google Scholar] [CrossRef]
- Consolini, G.; Tozzi, R.; de Michelis, P. Complexity in the sunspot cycle. A A 2009, 506, 1381–1391. [Google Scholar] [CrossRef]
- Balasis, G.; Daglis, I.A.; Papadimitriou, C.; Kalimeri, M.; Anastasiadis, A.; Eftaxias, K. Dynamical complexity in Dst time series using non-extensive Tsallis entropy. Geophys. Res. Lett. 2008, 35, L14102. [Google Scholar] [CrossRef]
- Balasis, G.; Daglis, I.A.; Papadimitriou, C.; Kalimeri, M.; Anastasiadis, A.; Eftaxias, K. Investigating dynamical complexity in the magnetosphere using various entropy measures. J. Geophys. Res. 2009, 114, A00D06. [Google Scholar] [CrossRef]
- Balasis, G.; Papadimitriou, C.; Daglis, I.A.; Anastasiadis, A.; Athanasopoulou, L.; Eftaxias, K. Signatures of discrete scale invariance in Dst time series. Geophys. Res. Lett. 2011, 38, L13103. [Google Scholar] [CrossRef]
- Balasis, G.; Donner, R.V.; Potirakis, S.M.; Runge, J.; Papadimitriou, C.; Daglis, I.A.; Eftaxias, K.; Kurths, J. Statistical mechanics and information-theoretic perspectives on complexity in the Earth system. Entropy 2013, 15, 4844–4888. [Google Scholar] [CrossRef]
- Materassi, M.; Ciraolo, L.; Consolini, G.; Smith, N. Predictive Space Weather: An information theory approach. Adv. Space Res. 2011, 47, 877–885. [Google Scholar] [CrossRef]
- De Michelis, P.; Tozzi, R.; Consolini, G. Statistical analysis of geomagnetic field intensity differences between ASM and VFM instruments onboard Swarm constellation. Earth Planets Space 2017, 69, 24. [Google Scholar] [CrossRef]
- March, T.K.; Chapman, S.C.; Dendy, R.O. Mutual information between geomagnetic indices and the solar wind as seen by WIND: Implications for propagation time estimates. Geophys. Res. Lett. 2005, 32, L04101. [Google Scholar] [CrossRef]
- Johnson, J.R.; Wing, S. A solar cycle dependence of nonlinearity in magnetospheric activity. J. Geophys. Res. 2005, 110, A04211. [Google Scholar] [CrossRef]
- Wing, S.; Johnson, J.R.; Jen, J.; Meng, C.-I.; Sibeck, D.G.; Bechtold, K.; Freeman, J.; Costello, K.; Balikhin, M.; Takahashi, K. Kp forecast models. J. Geophys. Res. 2005, 110, A04203. [Google Scholar] [CrossRef]
- Wing, S.; Johnson, J.R.; Camporeale, E.; Reeves, G.D. Information theoretical approach to discovering solar wind drivers of the outer radiation belt. J. Geophys. Res. Space Phys. 2016, 121, 9378–9399. [Google Scholar] [CrossRef]
- Johnson, J.R.; Wing, S. External versus internal triggering of substorms: An information-theoretical approach. Geophys. Res. Lett. 2014, 41, 5748–5754. [Google Scholar] [CrossRef]
- Wing, S.; Johnson, J.; Vourlidas, A. Information theoretic approach to discovering causalities in the solar cycle. ApJ 2018, 854, 85. [Google Scholar] [CrossRef]
- Johnson, J.R.; Wing, S.; Camporeale, E. Transfer entropy and cumulant-based cost as measures of nonlinear causal relationships in space plasmas: Applications to Dst. Ann. Geophys. 2018, 36, 945–952. [Google Scholar] [CrossRef]
- De Michelis, P.; Consolini, G.; Materassi, M.; Tozzi, R. An information theory approach to the storm-substorm relationship. J. Geophys. Res. 2011, 116, A08225. [Google Scholar] [CrossRef]
- Runge, J.; Balasis, G.; Daglis, I.A.; Papadimitriou, C.; Donner, R.V. Common solar wind drivers behind magnetic storm–magnetospheric substorm dependency. Sci. Rep. 2018, 8, 16987. [Google Scholar] [CrossRef]
- Darbellay, G.A.; Vajda, I. Estimation of the Information by an Adaptive Partitioning of the Observations Space. IEEE Trans. Inf. Theory 1999, 45, 1315–1321. [Google Scholar] [CrossRef]
- Prichard, D.; Theiler, J. Generalized redundancies for time series analysis. Physica D 1995, 84, 476–493. [Google Scholar] [CrossRef]
- Prokopenko, M.; Lizier, J.T.; Price, D.C. On thermodynamic interpretation of transfer entropy. Entropy 2013, 15, 524–543. [Google Scholar] [CrossRef]
- Baker, D.N.; Kanekal, S.G.; Hoxie, V.C.; Henderson, M.G.; Li, X.; Spence, H.E.; Elkington, S.R.; Friedel, R.H.W.; Goldstein, J.; Hudson, M.K.; et al. A long-lived relativistic electron storage ring embedded in Earth’s outer Van Allen belt. Science 2013, 340, 186–190. [Google Scholar] [CrossRef] [PubMed]
- Elkington, S.R.; Hudson, M.K.; Chan, A.A. Acceleration of relativistic electrons via drift-resonant interaction with toroidal-mode Pc-5 ULF oscillations. Geophys. Res. Lett. 1999, 26, 3273. [Google Scholar] [CrossRef]
- Rostoker, G.; Skone, S.; Baker, D.N. On the origin of relativistic electrons in the magnetosphere associated with some geomagnetic storms. Geophys. Res. Lett. 1998, 25, 3701–3704. [Google Scholar] [CrossRef]
- Ukhorskiy, A.Y.; Takahashi, K.; Anderson, B.J.; Korth, H. Impact of toroidal ULF waves on the outer radiation belt electrons. J. Geophys. Res. 2005, 110, A10202. [Google Scholar] [CrossRef]
- Mathie, R.A.; Mann, I.R. A correlation between extended intervals of ULF wave power and storm-time geosynchronous relativistic electron flux enhancements. Geophys. Res. Lett. 2000, 27, 3261–3264. [Google Scholar] [CrossRef]
- Mathie, R.A.; Mann, I.R. On the solar wind control of Pc5 ULF pulsation power at mid-latitudes: Implications for MeV electron acceleration in the outer radiation belt. J. Geophys. Res. 2001, 106, 29783–29796. [Google Scholar] [CrossRef]
- Georgiou, M.; Daglis, I.A.; Rae, I.J.; Zesta, E.; Sibeck, D.G.; Mann, I.R.; Balasis, G.; Tsinganos, K. Ultra-Low Frequency waves as an interme-diary for solar wind energy input into the radiation belts. J. Geophys. Res. Space Phys. 2018, 123. [Google Scholar] [CrossRef]
- Summers, D.; Thorne, R.M.; Xiao, F. Relativistic theory of wave-particle resonant diffusion with application to electron acceleration in the magnetosphere. J. Geophys. Res. 1998, 103, 20487–20500. [Google Scholar] [CrossRef]
- Omura, Y.; Furuya, N.; Summers, D. Relativistic turning acceleration of resonant electrons by coherent whistler mode waves in a dipole magnetic field. J. Geophys. Res. 2007, 112, A06236. [Google Scholar] [CrossRef]
- Thorne, R.M. Radiation belt dynamics: The importance of wave-particle interactions. Geophys. Res. Lett. 2010, 37, L22107. [Google Scholar] [CrossRef]
- Simms, L.E.; Engebretson, M.J.; Smith, A.J.; Clilverd, M.; Pilipenko, V.; Reeves, G.D. Analysis of the effectiveness of ground-based VLF wave observations for predicting or nowcasting relativistic electron flux at geostationary orbit. J. Geophys. Res. Space Phys. 2015, 120, 2052–2060. [Google Scholar] [CrossRef]
- Camporeale, E. Resonant and nonresonant whistlers-particle interaction in the radiation belts. Geophys. Res. Lett. 2015, 42, 3114–3121. [Google Scholar] [CrossRef]
- Horne, R.B.; Thorne, R.M.; Glauert, S.A.; Meredith, N.P.; Pokhotelov, D.; Santolík, O. Electron acceleration in the Van Allen radiation belts by fast magnetosonic waves. Geophys. Res. Lett. 2007, 34, L17107. [Google Scholar] [CrossRef]
- Shprits, Y.Y.; Subbotin, D.A.; Meredith, N.P.; Elkington, S.R. Review of modeling of losses and sources of relativistic electrons in the outer radiation belt II: Local acceleration and loss. J. Atmos. Sol. Terr. Phys. 2008, 70, 1694–1713. [Google Scholar] [CrossRef]
- Baker, D.N.; Kanekal, S.G. Solar cycle changes, geomagnetic variations, and energetic particle properties in the inner magnetosphere. J. Atmos. Sol. Terr. Phys. 2008, 70, 195–206. [Google Scholar] [CrossRef]
- Kissinger, J.; McPherron, R.L.; Hsu, T.-S.; Angelopoulos, V. Steady magnetospheric convection and stream interfaces: Relationship over a solar cycle. J. Geophys. Res. 2011, 116, A00I19. [Google Scholar] [CrossRef]
- Tanskanen, E.I. A comprehensive high-throughput analysis of substorms observed by IMAGE magnetometer network: Years 1993–2003 examined. J. Geophys. Res. 2009, 114, A05204. [Google Scholar] [CrossRef]
- Kellerman, A.C.; Shprits, Y.Y. On the influence of solar wind conditions on the outer-electron radiation belt. J. Geophys. Res. 2012, 117, A05217. [Google Scholar] [CrossRef]
- Newell, P.T.; Liou, K.; Gjerloev, J.W.; Sotirelis, T.; Wing, S.; Mitchell, E.J. Substorm probabilities are best predicted from solar wind speed. J. Atmos. Sol. Terr. Phys. 2016, 146, 28–37. [Google Scholar] [CrossRef]
- Johnson, J.R.; Wing, S.; Delamere, P.A. Kelvin Helmholtz Instability in Planetary Magnetospheres. Space Sci. Rev. 2014, 184, 1–31. [Google Scholar] [CrossRef]
- Engebretson, M.; Glassmeier, K.-H.; Stellmacher, M.; Hughes, W.J.; Lühr, H. The dependence of high-latitude PcS wave power on solar wind velocity and on the phase of high-speed solar wind streams. J. Geophys. Res. 1998, 103, 26271–26283. [Google Scholar] [CrossRef]
- Vennerstrøm, S. Dayside magnetic ULF power at high latitudes: A possible long-term proxy for the solar wind velocity? J. Geophys. Res. 1999, 104, 10145–10157. [Google Scholar] [CrossRef]
- Paulikas, G.A.; Blake, J.B. Effects of the solar wind on magnetospheric dynamics: Energetic electrons at the synchronous orbit. In Quantitative Modeling of Magnetospheric Processes; Geophysical Monograph Series; AGU: Washington, DC, USA, 1979; Volume 21, pp. 180–202. [Google Scholar]
- Baker, D.N.; McPherron, R.L.; Cayton, T.E.; Klebesadel, R.W. Linear prediction filter analysis of relativistic electron properties at 6.6 RE. J. Geophys. Res. 1990, 95, 15133–15140. [Google Scholar] [CrossRef]
- Li, X.; Temerin, M.; Baker, D.; Reeves, G.; Larson, D. Quantitative prediction of radiation belt electrons at geostationary orbit based on solar wind measurements. Geophys. Res. Lett. 2001, 28, 1887–1890. [Google Scholar] [CrossRef]
- Vassiliadis, D.; Fung, S.F.; Klimas, A.J. Solar, interplanetary, and magnetospheric parameters for the radiation belt energetic electron flux. J. Geophys. Res. 2005, 110, A04201. [Google Scholar] [CrossRef]
- Ukhorskiy, A.Y.; Sitnov, M.I.; Sharma, A.S.; Anderson, B.J.; Ohtani, S.; Lui, A.T.Y. Data-derived forecasting model for relativistic electron intensity at geosynchronous orbit. Geophys. Res. Lett. 2004, 31, L09806. [Google Scholar] [CrossRef]
- Rigler, E.J.; Wiltberger, M.; Baker, D.N. Radiation belt electrons respond to multiple solar wind inputs. J. Geophys. Res. 2007, 112, A06208. [Google Scholar] [CrossRef]
- Balikhin, M.A.; Boynton, R.J.; Walker, S.N.; Borovsky, J.E.; Billings, S.A.; Wei, H.L. Using the NARMAX approach to model the evolution of energetic electrons fluxes at geostationary orbit. Geophys. Res. Lett. 2011, 38, L18105. [Google Scholar] [CrossRef]
- Lyatsky, W.; Khazanov, G.V. Effect of solar wind density on relativistic electrons at geosynchronous orbit. Geophys. Res. Lett. 2008, 35, L03109. [Google Scholar] [CrossRef]
- Korotova, G.I.; Sibeck, D.G. A case study of transient event motion in the magnetosphere and in the ionosphere. J. Geophys. Res. 1995, 100, 35–46. [Google Scholar] [CrossRef]
- Kepko, L.; Spence, H.E. Observations of discrete, global magnetospheric oscillations directly driven by solar wind density variations. J. Geophys. Res. 2003, 108, 1257. [Google Scholar] [CrossRef]
- Claudepierre, S.G.; Hudson, M.K.; Lotko, W.; Lyon, J.G.; Denton, R.E. Solar wind driving of magnetospheric ULF waves: Field line resonances driven by dynamic pressure fluctuations. J. Geophys. Res. 2010, 115, A11202. [Google Scholar] [CrossRef]
- Shprits, Y.Y.; Thorne, R.M.; Friedel, R.; Reeves, G.D.; Fennell, J.; Baker, D.N.; Kanekal, S.G. Outward radial diffusion driven by losses at magnetopause. J. Geophys. Res. 2006, 111, A11214. [Google Scholar] [CrossRef]
- Turner, D.L.; Shprits, Y.; Hartinger, M.; Angelopoulos, V. Explaining sudden losses of outer radiation belt electrons during geomagnetic storms. Nat. Phys. 2012, 8, 208–212. [Google Scholar] [CrossRef]
- Ukhorskiy, A.Y.; Anderson, B.J.; Brandt, P.C.; Tsyganenko, N.A. Storm time evolution of the outer radiation belt: Transport and losses. J. Geophys. Res. 2006, 111, A11S03. [Google Scholar] [CrossRef]
- Hundhausen, A.J.; Bame, S.J.; Asbridge, J.R.; Sydoriak, S.J. Solar wind proton properties: Vela 3 observations from July 1965 to June 1967. J. Geophys. Res. 1970, 75, 4643–4657. [Google Scholar] [CrossRef]
- Li, X.; Baker, D.N.; Temerin, M.; Reeves, G.; Friedel, R.; Shen, C. Energetic electrons, 50 keV to 6 MeV, at geosynchronous orbit: Their responses to solar wind variations. Space Weather 2005, 3, S04001. [Google Scholar] [CrossRef]
- Onsager, T.G.; Green, J.C.; Reeves, G.D.; Singer, H.J. Solar wind and magnetospheric conditions leading to the abrupt loss of outer radiation belt electrons. J. Geophys. Res. 2007, 112, A01202. [Google Scholar] [CrossRef]
- Miyoshi, Y.; Kataoka, R. Flux enhancement of the outer radiation belt electrons after the arrival of stream interaction regions. J. Geophys. Res. 2008, 113, A03S09. [Google Scholar] [CrossRef]
- Sturges, H.A. The choice of a class interval. J. Am. Stat. Assoc. 1926, 21, 65–66. [Google Scholar] [CrossRef]
- Kennel, C.F.; Petschek, H.E. Limit on stably trapped particle fluxes. J. Geophys. Res. 1966, 71, 1–28. [Google Scholar] [CrossRef]
- Schwabe, H. Sonnen-Beobachtungen im Jahre 1843. Astron. Nachr. 1844, 21, 233–235. [Google Scholar] [CrossRef]
- Pesnell, W.D. Predictions of Solar Cycle 24: How are we doing? Space Weather 2016, 14, 10–21. [Google Scholar] [CrossRef]
- Babcock, H.W. The Topology of the Sun’s Magnetic Field and the 22-Year Cycle. Astrophys. J. 1961, 133, 572–589. [Google Scholar] [CrossRef]
- Leighton, R.B. Transport of magnetic fields on the sun. Astrophys. J. 1964, 140, 1547–1562. [Google Scholar] [CrossRef]
- Leighton, R.B. A magneto-kinematic model of the solar cycle. Astrophys. J. 1969, 156, 1–26. [Google Scholar] [CrossRef]
- Charbonneau, P. Dynamo models of the solar cycle. Living Rev. Sol. Phys. 2010, 7, 3. [Google Scholar] [CrossRef]
- Dikpati, M.; Charbonneau, P. A Babcock–Leighton flux transport dynamo with solar-like differential rotation. Astrophys. J. 1999, 518, 508–520. [Google Scholar] [CrossRef]
- Wang, Y.-M.; Nash, A.G.; Sheeley, N.R., Jr. Evolution of the sun’s polar fields during sunspot cycle 21—Poleward surges and long-term behavior. Astrophys. J. 1989, 347, 529–539. [Google Scholar] [CrossRef]
- Upton, L.; Hathaway, D.H. Effects of meridional flow variations on solar cycles 23 and 24. Astrophys. J. 2014, 792, 142. [Google Scholar] [CrossRef]
- Kholikov, S.; Serebryanskiy, A.; Jackiewicz, J. Meridional flow in the solar convection zone. I. Measurements from GONG data. ApJ 2014, 784. [Google Scholar] [CrossRef]
- Choudhuri, A.R.; Chatterjee, P.; Jiang, J. Predicting Solar Cycle 24 With a Solar Dynamo Model. Phys. Rev. Lett. 2007, 98, 131103. [Google Scholar] [CrossRef]
- Schatten, K.H.; Scherrer, P.H.; Svalgaard, L.; Wilcox, J.M. Using dynamo theory to predict the sunspot number during solar cycle 21. Geophys. Res. Lett. 1978, 5, 411–414. [Google Scholar] [CrossRef]
- Hu, F.; Nie, L.-J.; Fu, S.-J. Information dynamics in the interaction between a prey and a predator fish. Entropy 2015, 17, 7230–7241. [Google Scholar] [CrossRef]
- Schatten, K.H.; Sofia, S. Forecast of an exceptionally large even-numbered solar cycle. Geophys. Res. Lett. 1987, 14, 632–635. [Google Scholar] [CrossRef]
- Schatten, K.H.; Pesnell, D. An early solar dynamo prediction: Cycle 23–cycle 22. Geophys. Res. Lett. 1993, 20, 2275–2278. [Google Scholar] [CrossRef]
- Layden, A.C.; Fox, P.A.; Howard, J.M.; Sarajedini, A.; Schatten, K.H.; Sofia, S. Dynamo-based scheme for forecasting the magnitude of solar activity cycles. Sol. Phys. 1991, 132, 1–40. [Google Scholar] [CrossRef]
- Ohl, A.I. Forecast of sunspot maximum number of cycle 20. Byull. Soln. Dannye Akad. Nauk SSSR 1966, 9, 84. [Google Scholar]
- Hathaway, D.H.; Wilson, R.M.; Reichmann, E.J. A synthesis of solar cycle prediction techniques. J. Geophys. Res. 1999, 104. [Google Scholar] [CrossRef]
- Wang, Y.-M.; Sheeley, N.R., Jr. Understanding the geomagnetic precursor of the solar cycle. Astrophys. J. 2009, 694, L11–L15. [Google Scholar] [CrossRef]
- Svalgaard, L.; Cliver, E.W.; Kamide, Y. Sunspot cycle 24: Smallest cycle in 100 years? Geophys. Res. Lett. 2005, 32, L01104. [Google Scholar] [CrossRef]
- Harvey, K.L. Large scale patterns of magnetic activity and the solar cycle. Bull. Am. Astron. Soc. 1996, 28, 867. [Google Scholar]
- Makarov, V.I.; Tlatov, A.G.; Callebaut, D.K.; Obridko, V.N.; Shelting, B.D. Large scale magnetic field and sunspot cycles. Sol. Phys. 2001, 198, 409–421. [Google Scholar] [CrossRef]
- DeVore, C.R.; Sheeley, N.R. Simulations of the sun’s polar magnetic fields during sunspot cycle 21. Sol. Phys. 1987, 108, 47. [Google Scholar] [CrossRef]
- Schrijver, C.J.; Title, A.M. On the Formation of Polar Spots in Sun-like Stars. Astrophys. J. 2001, 551, 1099–1106. [Google Scholar] [CrossRef]
- Wang, Y.-M.; Sheeley, N.R., Jr; Lean, J. Meridional flow and the solar cycle variations of the Sun’s open magnetic flux. Astrophys. J. 2002, 580, 1188–1196. [Google Scholar] [CrossRef]
- Dikpati, M.; de Toma, G.; Gilman, P.A. Predicting the strength of solar cycle 24 using a flux-transport dynamo-based tool. Geophys. Res. Lett. 2006, 33, L05102. [Google Scholar] [CrossRef]
- Schrijver, C.J.; De Rosa, M.L.; Title, A.M. What is missing from our understanding of long term solar and heliospheric activity? Astrophys. J. 2002, 577, 1006–1012. [Google Scholar] [CrossRef]
- Dikpati, M.; de Toma, G.; Gilman, P.A.; Arge, C.N.; White, O.R. Diagnostics of polar field reversal in solar cycle 23 using a flux-transport dynamo model. Astrophys. J. 2004, 601, 1136–1151. [Google Scholar] [CrossRef]
- Charbonneau, P.; Dikpati, M. Stochastic Fluctuations in a Babcock–Leighton Model of the Solar Cycle. Astophys. J. 2000, 543, 1027–1043. [Google Scholar] [CrossRef]
- Sheeley, N.R., Jr. Polar faculae during the sun- spot cycle. Astrophys. J. 1964, 140, 731. [Google Scholar] [CrossRef]
- Sheeley, N.R., Jr. Measurements of solar magnetic fields. Astrophys. J. 1966, 144, 728. [Google Scholar] [CrossRef]
- Sheeley, N.R., Jr. Polar faculae during the interval 1906–1975. J. Geophys. Res. 1976, 81, 3462–3464. [Google Scholar] [CrossRef]
- Sheeley, N.R. Polar faculae. Astrophys. J. 1991, 374, 386–389. [Google Scholar] [CrossRef]










| Rank | Solar Wind Parameters | Peak Information Transfer (itmax) | Signal to Noise Ratio at τmax | Significance at τmax (σ) | τmax (Days) | Prediction Horizon (Days) |
|---|---|---|---|---|---|---|
| 1 | Vsw | 0.25 | 6.6 | 94 | 2 | 10 * |
| 2 | IMF |B| | 0.12 | 3.9 | 48 | 0 | 2 |
| 3 | Pdyn | 0.092 | 3.4 | 35 | 0 | 2 |
| 3 | nsw | 0.091 | 3.2 | 34 | 0 | 2 |
| 4 | σ(IMF B) | 0.075 | 3.9 | 48 | 0 | 2 |
| 5 | IMF Bz < 0 | 0.064 | 2.7 | 26 | 0 | 2 |
| 6 | Esw | 0.056 | 2.9 | 22 | 1 | 5 |
| 7 | IMF By | 0.052 | 2.3 | 20 | 0 | 2 |
| 8 | IMF Bz > 0 | 0.048 | 3.1 | 22 | 0 | 2 |
| 9 | IMF Bx | 0.044 | 2.2 | 19 | 0 | 2 |
© 2019 by the authors. Licensee MDPI, Basel, Switzerland. This article is an open access article distributed under the terms and conditions of the Creative Commons Attribution (CC BY) license (http://creativecommons.org/licenses/by/4.0/).
Share and Cite
Wing, S.; Johnson, J.R. Applications of Information Theory in Solar and Space Physics. Entropy 2019, 21, 140. https://doi.org/10.3390/e21020140
Wing S, Johnson JR. Applications of Information Theory in Solar and Space Physics. Entropy. 2019; 21(2):140. https://doi.org/10.3390/e21020140
Chicago/Turabian StyleWing, Simon, and Jay R. Johnson. 2019. "Applications of Information Theory in Solar and Space Physics" Entropy 21, no. 2: 140. https://doi.org/10.3390/e21020140
APA StyleWing, S., & Johnson, J. R. (2019). Applications of Information Theory in Solar and Space Physics. Entropy, 21(2), 140. https://doi.org/10.3390/e21020140

