Abstract
Finite Time Thermodynamics is generally associated with the Curzon–Ahlborn approach to the Carnot cycle. Recently, previous publications on the subject were discovered, which prove that the history of Finite Time Thermodynamics started more than sixty years before even the work of Chambadal and Novikov (1957). The paper proposes a careful examination of the similarities and differences between these pioneering works and the consequences they had on the works that followed. The modelling of the Carnot engine was carried out in three steps, namely (1) modelling with time durations of the isothermal processes, as done by Curzon and Ahlborn; (2) modelling at a steady-state operation regime for which the time does not appear explicitly; and (3) modelling of transient conditions which requires the time to appear explicitly. Whatever the method of modelling used, the subsequent optimization appears to be related to specific physical dimensions. The main goal of the methodology is to choose the objective function, which here is the power, and to define the associated constraints. We propose a specific approach, focusing on the main functions that respond to engineering requirements. The study of the Carnot engine illustrates the synthesis carried out and proves that the primary interest for an engineer is mainly connected to what we called Finite (physical) Dimensions Optimal Thermodynamics, including time in the case of transient modelling.
1. Introduction
The development of Finite Time Thermodynamics is generally associated with Curzon and Ahlborn’s paper [1], and concerns the efficiency of a Carnot engine at Maximum Power output. This is the core subject of the present paper.
This problem is of fundamental importance because the efficiency of energy use is one of the most important goals all over the world for the future of our civilization.
Carnot was one of the first to introduce the concept of efficiency related to energy conversion from thermal energy to mechanical energy. However, this work was in the framework of Equilibrium Thermodynamics and accordingly, with zero power due to quasi static transformations implying infinite time duration as well.
Nevertheless, the First Law efficiency corresponds to a well-known upper bound, namely:
The originality of Curzon and Ahlborn’s paper was that it related efficiency to the maximum power output of an endoreversible Carnot engine, as will be detailed and discussed below.
Using the same hypothesis as Carnot regarding infinite Hot Source at THS, and infinite Cold Sink at TCS, they obtained what is called the nice radical:
However, as we indicated in a publication in the 1980s, the nice radical was present in the publications of Chambadal [2] and also Novikov [3], but for slightly different models, as will be specified in the following sections. Years ago, we also discovered that Reitlinger had been involved with the origins of efficiency at maximum power [4], as stated in a paper published in Liège (Belgium) in 1929. Moreover, a presentation [5] at a conference held in Bucharest in June 2016 revealed that in Moutier’s book [6] (p. 62) published in 1872, he introduced a nice radical that was named an “economical coefficient” (see Figure 1).
Figure 1.
Extract from Moutier’s book [6] (p. 62).
The optimum considered in Moutier’s approach is the maximum of the mechanical work obtained from the available heat.
In a more recent thesis published in Paris [7], we found that other scientific works from the past [8,9] discussed the same approach. Serrier’s book [9] (published in 1888) discusses the calculation of a maximum work per cycle between a maximum temperature, T1, and a minimum one, T3, (author notation), such that the work W was expressed as:
with a constant coefficient for the transfer of heat.
The corresponding “economical coefficient” (in fact ηI, first law efficiency) corresponds to the nice radical. Furthermore, the ratio of this coefficient to the Carnot efficiency (called ηII, second law efficiency) was given. The author adds here that the maximum work differs if a given available heat is imposed.
Furthermore, since the 1990s, we have collaborated with S. Petrescu’s team at the University Politehnica of Bucharest [10] on what is named Finite Speed Thermodynamics.
It is remarkable to see that the problem of conversion (today called valorization) of heat to mechanical energy had already been effectively developed more than a century and a half ago, with the main objective being maximum work or power allied with efficiency [11].
More recent achievements include the extension of scientific and technical studies to more numerous potential applications (namely other engines) but also, from a more fundamental point of view, the development of new upper bounds in term of efficiency at maximum power.
The present paper proposes to analyze (Section 2) the similarities and differences found in the models developed during the first century (until Curzon and Ahlborn’s seminal paper). Consequently, Section 3 will be devoted to steady-state modelling focused on the Carnot engine. This implies important conclusions for thermo-mechanical engines.
Section 4 is concerned with transient modelling, a new branch of Finite Time Thermodynamics that depends explicitly on time but in a specific form. This will be highlighted in the section.
In Section 5, results are discussed and summarized showing the evolution of knowledge about maximum power and efficiency since Carnot’s pioneering work. Some recommendations and remarks are given regarding links with practical aspects. Finally, the future perspectives of what we have called Finite Dimension Optimal Thermodynamics (FDOT) are proposed. It could be said that FDOT corresponds to a unification of various branches of new tendencies in Thermodynamics which are Finite Time Thermodynamics (FTT), Finite Speed Thermodynamics (FST), and also Finite Size Thermodynamics. New results regarding efficiency at maximum power are proposed. When consistent, the optimal physical dimensions allocation is given. It corresponds to Gi optimal distribution, Gi being the physical dimension concerned.
2. Finite Time Thermodynamics.
2.1. Equilibrium Thermodynamics Limit
The work of Carnot was relative to the mechanical work W, and the corresponding First Law efficiency ηI defined as the ratio of useful mechanical energy, W, to the heat expense, QH:
This definition is general, and could represent any First Law efficiency, whatever the model and associated hypothesis.
We shall first consider the Equilibrium Thermodynamics limit. It is well known that for the Carnot cycle representing an engine with perfect thermal contacts at the isothermal source (THS) and sink (TCS), the efficiency is given by Equation (1). This expression is valid for a reversible engine considered as an adiabatic system (without heat loss from the source, the engine and the sink).
Let us suppose that we have heat loss from the hot source through the engine towards the heat sink, QL. In this case the heat expense becomes QHS:
If QH remains the same at the entrance of the converter, we have a new expression of the First Law efficiency given by:
The consequence is that the non-adiabaticity of the engine diminishes efficiency at a constant work output:
Similarly, let us suppose that the converter is irreversible so that the entropy balance becomes:
where is the production of entropy inside the converter during a cycle.
The combination of Equations (8) and (4) with the energy balance allows us to easily find that:
This proves that the Carnot efficiency is the upper limit of the efficiency for the adiabatic and reversible system (two thermostats and the converter).
2.2. The Curzon–Ahlborn Model [1]
This model also starts from the same point as the one of Equilibrium Thermodynamics. It also considers the Carnot cycle with four thermodynamic processes, but introduces the finite duration of these processes, namely for the one relative to heat transfer at the source and the sink that satisfies:
where represents heat transfer rate at time t; K’ represents the heat transfer conductance at time t; TS, T represents respectively source (sink) temperature ,working fluid temperature; τ represents the cycle duration.
It should be noted that special attention should be given to Equation (10), since the integrals are discontinuous due to the fact that the heat transfer at the hot side occurs during the process duration ΔtH, as well as the heat transfer at the cold side, during ΔtC, and are expressed as:
TH, TC represents respectively hot side (cold side) working fluid temperature
The mechanical work is expressed through the energy balance as:
The entropy balance gives a relation between variables TH, TC for the endoreversible case as follows:
Combining Equation (13) with Equations (14) and (4) results in:
Regarding the optimization of the mechanical work, Curzon and Ahlborn obtained:
and the corresponding First Law efficiency is given by Equation (2).
If the objective function is the First Law efficiency, we thus recover Carnot’s formula.
We would like to add some comments on the present calculation at this point. It is worth noting that K’H·ΔtH and K’C·ΔtC are remarkable quantities, but also that K’H, K’C are not directly accessible for experiments, because they are only relative to the transformation part of a cycle (and the transient conditions associated). Indeed, the following expressions, introducing the general physical dimensions, Gi, explain the difference between K’ and K:
G’s quantities are a kind of invariant for the problem, while this time KH, KC correspond to the standard heat transfer conductances, which have been fairly well experimentally correlated in the literature. Additionally, the cycle period is easy to measure.
To conclude, we can see that imposes a connection between intensity (TS − T) and extensity Q through G, by analogy with Onsager’s appraisal.
Before extending Curzon-Ahlborn’s present work, we would like to indicate that they also optimize the power of the engine in the case where adiabatic process durations are short and proportional to isothermal ones, and where the K’H, K’C are supposedly equal.
Our proposal regards the general physical dimension G, an extensive coefficient. At first, GH, GC were supposed to be constant, but they must remain finite; namely, through KH, KC with regard to the system size, and through ΔtH, ΔtC, with regard to times of heat transfer at the hot and cold side, respectively. This is why we propose the unified denomination Finite physical Dimensions Thermodynamics (FDT) as being preferable to Finite Time Thermodynamics (FTT), which only accounts for one aspect (time).
The simplest associated physical dimension constraint is:
with GT as a given parameter, and GH, GC variables to allocate.
Following the same methodology as before, Equation (16) shows that MAX[MAX (W)] corresponds to the min of with the constraint given by Equation (19). This leads easily to the optimal allocation of Gi variables such that:
The important and new conclusions are:
- the obtained equipartition of the Gi values in the endoreversible case; and
- the dependence of the maximum mechanical work on only the temperature of the two thermostats, and the allocated GT invariant.
These results will be used in the following Section 3.
3. Steady-State Modelling
3.1. Heat Transfer Conductance Model
As mentioned in Section 2.2, the modelling with the Ki ’s and τ is easily accessible for experiments, and corresponds to mean values observed over a great number of cycles. Thus, the characterization of the steady-state functioning of an engine is straightforward and mainly nominal in nature and corresponds to the maximum of power . We may also note the corresponding heat rates at source, at sink. Consequently, the energy balance is now relative to heat rate and power; and the entropy balance, to entropy rate. The time does not appear explicitly.
There are numerous results associated with steady-state operation of the engine. The author has contributed to these in some papers [12,13,14,15,16].
For endoreversible Carnot steady-state optimization, the same methodology as in Section 2.2 is used (G will be replaced by K) to obtain:
which shows the equipartition of the heat transfer conductances in the endoreversible case, and:
All the preceding results are related to the linear form of the heat transfer law (Equation (10)). Studies in the literature [16] report on other heat transfer laws. The most important are:
- -
- The convective heat transfer law:
- -
- The generalized radiative heat transfer law:
- -
- The phenomenological heat transfer law:
with the last law corresponding to Equation (25) with n = −1.
All these laws are symmetrical at source and sink. Only a few papers consider different laws at the hot and cold side.
It should be noted that for all these laws, the heat transfer conductance K is not dimensionally standard, and is instead a generalized form of heat transfer conductance. Generally, the corresponding experimental correlations are not given in the literature.
3.2. Refined Heat Exchanger (HEX) Model (Endoreversible Case)
This general model is based on the ε—NTU method (see [16], chapter 2; or chapter 4 of the [16]). Applied to the Carnot engine (Figure 2), it implies:
where εH, (εC) is the effectiveness of the Hot, (Cold) HEX; THSi, (TCSi) is the entrance temperature of the Hot (Cold) external fluid of HEX; (i = H or C), with denoting the mass flow rate at i, and the specific heat at constant pressure of fluid i.
Figure 2.
Carnot engine cycle with finite capacity heat rates at source and sink, represented in T-S diagram.
It is important to note the replacement of the thermostats’ limit with a finite heat source and sink, represented respectively by and heat rates (Finite Speed Thermodynamics).
The methodology remains the same, and by sequential optimization, we obtain for the endoreversible converter case:
In the case of finite thermal capacity rate of the source and sink, we can see that Gi introduced in Section 2.1 changes to:
The result expressed by Equation (21) could be applied, but we refined it with the constraint εH + εC = εT ≤ 2, while supposing and to be given parameters. We get the optimal allocation of effectiveness as [16] (second sequential optimization relative to effectiveness variables):
and
As we can see in Equation (32), a new optimization regarding allocation of the heat capacity rates is possible with a new added finite dimension constraint, , and we get:
This corresponds to the equipartition of heat capacity rates in the endoreversible case, while the maximum power output yields:
A remarkable result is also obtained related to the efficiency at maximum power output for the adiabatic endoreversible system with finite steady-state heat source and sink:
To sum up Section 3, the maximization power for steady-state modelling depends only on the finite physical dimensions (K, ε, ), and not explicitly on time. This is why we prefer to refer to Finite physical Dimensions Optimal Thermodynamics (FDOT, and not FTT) which is more correct, and corresponds to reality.
Due to lack of space, we have not developed a Finite Speed Thermodynamics (FST) approach (see reference [10]), but it covers similar ground, and corresponds to derivatives with respect to time (as ): see Section 3.2.
We shall now move on to the explicit influence of time regarding some examples of transient modelling.
4. Transient Modelling
We shall now focus on a Carnot thermo-mechanical engine receiving heat from a source of finite thermal capacity C (case corresponding to a finite energy source).
We shall suppose—as in Section 2.2 and Section 3—that the system is without heat loss but we leave the endoreversible configuration of the converter, such that at time t a production of entropy exists which characterized by the converter entropy production rate to be specified.
4.1. Model with Perfect Thermal Contact between Finite Heat Capacity Source and Sink, and Irreversible Engine
The scheme of the system is illustrated in Figure 3. The finite source is characterized by TC(t) associated with sensitive heat to be delivered by the capacity C = McP, which is presumed to be constant. This source delivers heat to a Carnot converter producing instantaneous power, , and emitting heat by direct contact with the environment at T0. This corresponds, in fact, to a transient version of the Chambadal model [2].
Figure 3.
Scheme of a transient version of Chambadal model.
The perfect thermal contact between a finite heat capacity source and the hot side of the Carnot engine implies that the hot side temperature of the engine is identical to TC(t). By integration over the duration from 0 to final time tf, it is easy to obtain the work produced in the presence of irreversibility:
with: , where C denotes the heat capacity of the source,
- -
- , entropic mean temperature
- -
- , initial temperature of the source
ΔSi is the entropy production of the irreversible converter during the transient transformation of the system. The entropy production is supposedentirely released to the cycled fluid [17].
Equation (37) clearly indicates that irreversibilities are related to time, but we do not know how, as this depends on the transformation trajectory. However, if tf goes to infinity (quasi-static transformation), this implies that ΔSi must converge to zero (reversibility limit). Consequently, the simplest form for ΔSi is:
By combining Equation (36) and (38), it yields:
with .
The reference time is the minimum physically acceptable limit for the transient process to deliver work in the presence of irreversibilities (for example due to mechanical friction) [16].
4.2. Optimization of Mean Power over Time
For the transient process, the work appears here as a monotonic increasing function of tf, with the reversible case as the upper bound.
Regarding as the mean power delivered, we get:
A derivative with respect to tf allows us to easily obtain an optimum duration, , corresponding to MAX in presence of irreversibility, such that:
The first conclusion is that the maximum mean power of the studied configuration is a decreasing function of the characteristic time , or of the irreversibility parameter Ci; the two approaches are related (time and entropy).
First Law efficiency corresponds to this maximum power, given by:
This result completes results obtained and reported in the literature [18,19]. It also shows that the transient conditions are different in terms of efficiency ()) at than the steady-state one (35). However, the latter is representative of an endoreversible converter (entropy production only as a result of heat transfer). If we take converter irreversibility into account, changes, too, and is related to the irreversibility model, as shown in the transient modelling in [12]. Progress is being made regarding this issue. A first step consists of considering Ci as a function of tf, instead of as a parameter. Thus, Equation (39) becomes:
Equation (44) allows us to determine by solving the equation W = 0. Thus, the for is the solution of the new equation obtained from the derivative:
We may note that transient modelling refers explicitly to the time variable through entropy, and that the basic proposed model does not allow sequential optimization related to some specific G dimension. This still needs to be refined.
5. Conclusions and Perspectives
The present paper has shown the insufficiencies of Curzon-Ahlborn’s approach, and has proposed solutions to overcome them by:
- Taking account of heat loss,
- Taking account of converter irreversibilities,
- Introducing new intermediate variables, named general physical dimensions: in the case of the Curzon-Ahlborn model, and in the case of steady-state modelling.
A complete examination of steady-state modelling was proposed in Section 3, and the results were illustrated in the Carnot engine case. A sequential optimization was performed with (1) a first optimization relative to Ti; and (2) a second optimization relative to Gi (with equipartition in the endoreversible configuration of the converter). Additionally, Gi could be Ki = ki. Ai, allowing area Ai to be allocated.
A generalization to a model of HEX was achieved by considering the heat exchanger effectiveness εi and, consequently, the heat source and sink of a finite thermal capacity rate. In this case, for the endoreversible converter, the efficiency at maximum power output was expressed by Equation (35), which represents a new upper bound. The irreversible converter case was also studied and found to confirm the Curzon-Ahlborn limit with Equation (44).
The following optimizations regarding Finite Dimensions (ε i, ) involve equipartition of in the endoreversible case, and provide a new expression of the maximum power, given by Equation (34). To summarize the results reported, it emerges that Finite Physical Dimensions Thermodynamics (FDT) allows the optimization of the system sequentially (3 dimensions), and gives new upper bounds not only for endoreversible cases, but also for cases in which an irreversible converter is considered.
Regarding transient modelling, by considering for the first time a finite heat capacity source delivering heat to a Carnot engine (a new version of Chambadal [2] modelling) with perfect thermal contact between capacity and converter, but with internal irreversibility, we obtained the following results:
- MAX (W) was confirmed, corresponding to reversible operation;
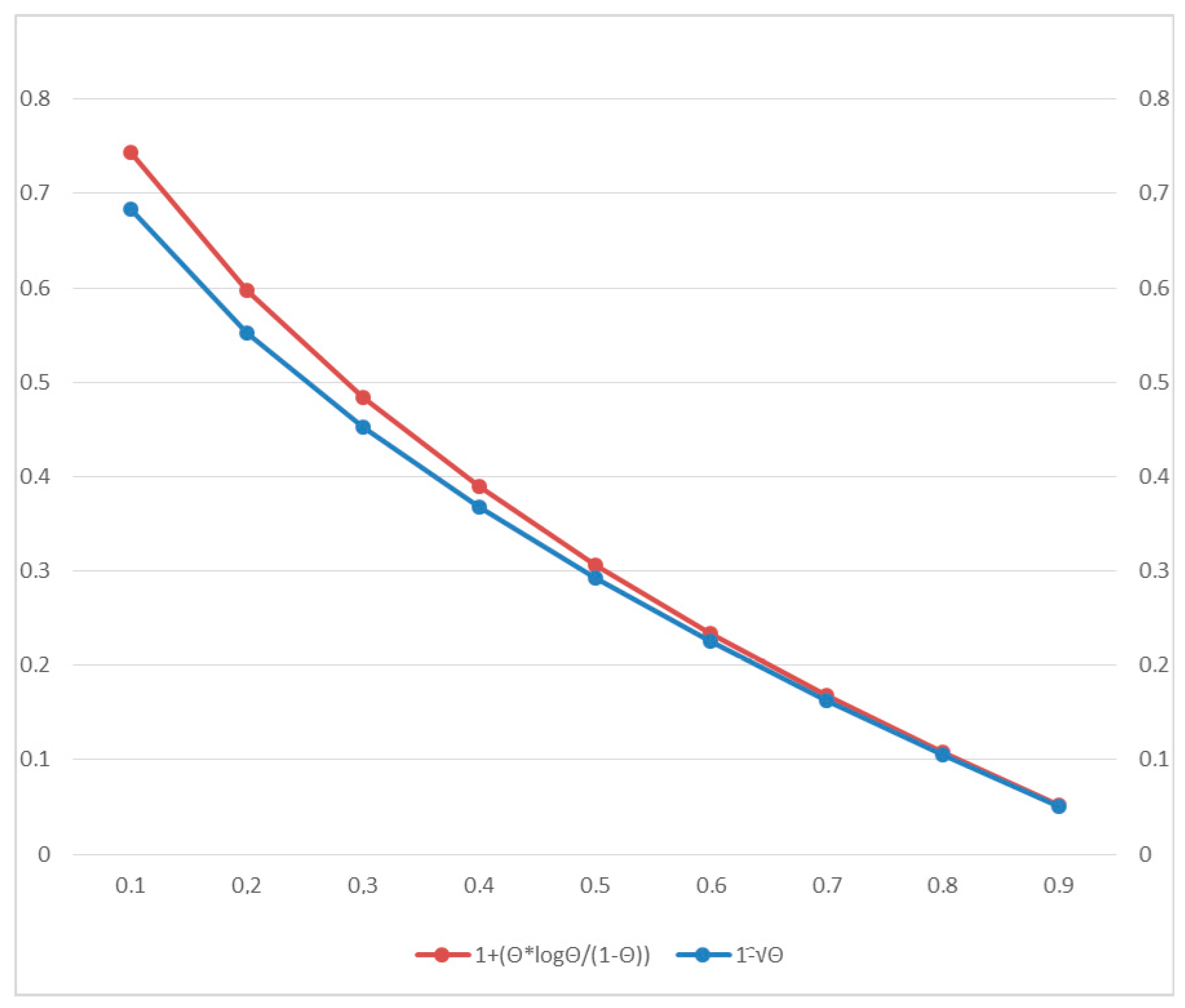
- there is a maximum of the mean power output for a finite time transformation with a characteristic time connected to converter irreversibility. The maximum mean power is a decreasing function of , as well as of irreversibility (Ci). This maximum is obtained for , and the efficiency that it corresponds to (Equation (43)) is a completely new result (with a value different from the one related to steady-state modelling (see Figure 4, with the theta ratio of the minimum temperature over the maximum temperature).
Figure 4. Comparison of efficiency limits at maximum power with the ratio Tmin/TMAX. This result appears more general than the result given in the literature referring to the linear hypothesis of Onsager.
Progress has been made towards a more complete development of these models and results. Particular attention has been given to the combination of various objectives. This approach seems very promising, and gives a new perspective on the subject.
Conflicts of Interest
The author declares no conflict of interest.
References
- Curzon, F.L.; Ahlborn, B. Efficiency of a Carnot Engine at Maximum Power Output. Am. J. Phys. 1975, 1, 22–24. [Google Scholar] [CrossRef]
- Chambadal, P. Les Centrales Nucléaires; A. Colin: Paris, France, 1957. (In French) [Google Scholar]
- Novikov, I. The efficiency of atomic power stations (a review). J. Nucl. Energy 1958, 7, 125–128. [Google Scholar] [CrossRef]
- Vaudrey, A.; Lanzetta, F.; Feidt, M.H.B. Reitlinger and the origins of the efficiency at maximum power formula for heat engines. J. Non-Equilib. Thermodyn. 2014, 39, 199–203. [Google Scholar] [CrossRef]
- Chisacof, A.; Petrescu, S.; Costea, M.; Borcila, B. The History of “Nice Radical” and its Importance in Optimizing the Mechanical Work or Power Output of Reversible and Irreversible Cycles. In Proceedings of the Colloque Francophone sur l’Energie, Environnement, Economie et Thermodynamique—COFRET’16, Bucharest, Romania, 29–30 June 2016. [Google Scholar]
- Moutier, J. Éléments de Thermodynamique; Gautier-Villars: Paris, France, 1872. (In French) [Google Scholar]
- Danel, q. Etude Numérique et Expérimentale d’un Cycle de Rankine—Hirn de Faible Puissance Pour larécupération D’énergie. Ph.D. Thesis, Conservatoire National des Arts et Métiers, Paris, France, 12 October 2016. (In French). [Google Scholar]
- Rey, J. De l’utilisation de l’énergie des eaux chaudes industrielles et naturelles. Chaleur et Industrie 1928, 217–226. (In French) [Google Scholar]
- Serrier, L. Traité de Physique Industrielle: Production et Utilisation de la Chaleur (Machines à air Chaud); G. Masson: Paris, France, 1888. (In French) [Google Scholar]
- Petrescu, S.; Costea, M.; Feidt, M.; Ganea, I.; Boriaru, N. Advanced Thermodynamics of Irreversible Processes with Finite Speed and Finite Dimensions. A Historical and Epistemological Approach, with Extension to Biological and Social Systems; AGIR Publishing House: Bucharest, Romania, 2015. [Google Scholar]
- Calvo Hernandez, A.; Roco, J.M.M.; Medina, A.; Velasco, S.; Guzmán-Vargas, L. The maximum power efficiency 1−√τ: Research, education and bibliometric relevance. Eur. Phys. J. 2015, 224, 809–823. [Google Scholar] [CrossRef]
- Feidt, M.; Costea, M.; Petre, C.; Petrescu, S. Optimization of Direct Carnot Cycle. Appl. Therm. Eng. 2007, 27, 829–839. [Google Scholar] [CrossRef]
- Feidt, M. Optimal Thermodynamics—New Upperbounds. Entropy 2009, 11, 529–547. [Google Scholar] [CrossRef]
- Feidt, M. Thermodynamics of Energy Systems and Processes. J. Appl. Fluid Mech. 2012, 5, 85–98. [Google Scholar]
- Feidt, M. Optimal Use of Energy Systems and Processes. Int. J. Exergy 2008, 5, 500–531. [Google Scholar] [CrossRef]
- Feidt, M. Thermodynamique Optimale en Dimensions Physiques Finies; Lavoisier: Paris, France, 2013. (In French); Handbook of Heat Transfer Applications, Chapters 2 and 4 in English [Google Scholar]
- Bizarro, J.P.S. The Thermodynamic Efficiency of Heat Engines with Friction. Am. J. Phys. 2012, 80, 298. [Google Scholar] [CrossRef]
- Feidt, M. Reconsideration of Efficiency of Processes and Systems from a Non-equilibrium Point of View. Int. J. Energy Environ. Econ. 2001, 11, 31–49. [Google Scholar]
- Van den Broeck, C. Thermodynamic Efficiency at Maximum Power. Phys. Rev. Lett. 2005, 95, 190602. [Google Scholar] [CrossRef] [PubMed]
© 2017 by the author. Licensee MDPI, Basel, Switzerland. This article is an open access article distributed under the terms and conditions of the Creative Commons Attribution (CC BY) license (http://creativecommons.org/licenses/by/4.0/).



