Abstract
Ensuring the profitability of retailers utilizing in-store inventory for online fulfillment is a pivotal issue in omnichannel retailing. This study examines the inventory allocation challenges faced by retailers when managing interactions between online and offline channels to identify strategies that maximize revenue. The findings enable retailers to address key operational conflicts while implementing omnichannel strategies. We develop an omnichannel newsvendor model, deriving an optimal strategy for retailer inventory level and online acceptance thresholds, demonstrating the economic superiority of this approach over traditional policy. Furthermore, this paper further explores how carry-over inventory influences strategic decisions, particularly in quantifying the trade-off between the cancellation cost and the inventory holding cost. The results reveal that cancellation costs incentivize retailers to increase safety stock and reduce online acceptance thresholds, with strategy sensitivity intensifying as offline demand dispersion grows. Compared to the traditional policy, our policy demonstrates superior performance when the cancellation cost remains below a critical value, though its effectiveness decreases under high offline demand dispersion. Moreover, dynamic strategy adjustments must balance the cancellation cost against the holding cost in the carry-over scenario. The proposed framework systematically integrates inventory allocation with demand admission control, addressing a critical gap in existing literature that has failed to comprehensively link these two operational levers. This dual-focused perspective significantly advances omnichannel inventory management theory.
1. Introduction
In real-world practices, “omnichannel”-related operations are widely adopted. Modern consumers increasingly demand integrated services and frictionless cross-channel transitions, showing diminishing distinctions between shopping platforms [1]. Many retailers have transitioned from operating purely physical stores or solely online to offering services across multiple channels [2]. For example, Japanese fast-fashion brand Uniqlo initiated the “buy-online, and pick-up-instore” retailing operations in 2018, and Zara re-opened its flagship store in Stratford with a digital experience, marking an important moment of fully integrating brick-and-mortar and online stores [3]. This integration of different sales channels is known as omnichannel retail [4]. Unlike traditional multichannel retail, which does not require any coordination, omnichannel retail combines expansion with coordination and integration across different channels to facilitate a seamless customer journey. Retailers have adopted fulfillment modes such as “Buy Online, Pickup In-Store (BOPS)”, “Reserve Online, Pickup In-Store (ROPS)”, and “Ship-From-Store (SFS)” to enable interaction across different channels [2].
This interaction between channels inevitably impacts retailers’ internal operational strategies. For example, retailers must decide whether to integrate inventory across different channels. Retailers expanding their online channels often choose to use physical store inventory to fulfill online demands. This concept is particularly embraced by smaller retailers, whose stores essentially become distribution centers for fulfilling online orders [5]. Using physical store inventory to fulfill online orders provides several advantages. First, it allows in-store inventory to serve both offline and online demands, leading to a pooling effect that reduces demand uncertainty and overall inventory level. Second, the proximity of stores to consumers enables cost-effective and efficient delivery of online orders.
Fulfilling online demands, however, means keeping a closer eye on stocking up. This can be costly or impractical due to holding inventory for online customers or handling returns. Therefore, retailers often fulfill online orders using remaining in-store inventory after offline customers have left [6]; at this stage, continuous coordination between the two sales channels is no longer necessary. Alternatively, reserving a certain amount of in-store inventory specifically for online orders [7]. However, these solutions present two significant challenges that cannot be ignored. Fulfilling online orders from remaining in-store inventory may lead to situations where online demands exceed available inventory, resulting in stock shortages that could adversely affect the consumer purchasing experience. On the other hand, reserving a certain amount of in-store inventory to fulfill online orders may result in lost sales opportunities if one channel runs out of stock, even if inventory is available in another channel. Therefore, finding the optimal demand fulfillment policy for using in-store inventory to meet both online and offline demands is a crucial challenge for retailers.
To address the above-mentioned challenge, Jia et al. [8] introduced the online acceptance threshold policy, where a certain number of online orders are accepted before observing offline demands. They studied the joint problem of online order acceptance and fulfillment (including cancellations) to minimize total costs and demonstrated the effectiveness of this policy and found that the inventory level is an important factor to consider in the acceptance threshold. However, they assume that inventory level is exogenous, and in reality, retailers should consider a combination of inventory level setting as well as online demand acceptance to develop operational strategies.
Therefore, building on the foundational work of Jia et al. [8] in omnichannel order fulfillment, this research extends their framework to incorporate retailers’ strategic inventory decisions. We systematically examine the critical trade-offs retailers face in balancing three competing factors: revenue generation through demand fulfillment, inventory procurement expenditures, and financial penalties arising from canceled online orders. The study establishes a dual optimization framework to address two interrelated objectives: (1) determining profit-maximizing inventory level and (2) developing optimal online order acceptance policies. Our investigation specifically targets these core research questions:
- (1)
- What is the nature of the joint policy?
- (2)
- Does the proposed policy offer advantages over the traditional policy?
- (3)
- How does considering carry-over inventory affect the policy?
To address these questions, we develop an omnichannel model and study a joint policy of inventory level and online acceptance threshold to achieve inventory allocation between different channels. In this model, a retailer operates a brick-and-mortar store and an online platform simultaneously, selling the same product at a uniform price to maximize total expected revenue. The retailer fulfills offline and online demands using in-store inventory, prioritizing offline demand while adhering to an online acceptance threshold.
Our main contributions and findings are as follows.
The study aims to investigate a pivotal challenge in omnichannel retail operations: the optimization of co-design policy for inventory level and online acceptance threshold in an environment characterized by demand uncertainty. This study presents a systematic analysis of this issue, elucidating the distinctive advantages and substantial benefits of a combined policy. It is found that high cancellation costs motivate retailers to increase inventory and lower the online acceptance threshold to reduce the risk of online order cancellation. The optimal strategy is more sensitive to offline demand dispersion, with optimal inventory levels and online acceptance thresholds being positively related to the degree of demand dispersion. Compared with the traditional channel separation allocation policy, the joint policy is superior when the cancellation cost and demand dispersion are relatively low. In addition, the optimal policy when considering carry-over inventory requires a trade-off between cancellation costs and inventory holding costs; specifically, there are two thresholds associated with them that trigger a change in the property of the strategy.
The remainder of this paper is organized as follows: Section 2 reviews the related literature. Section 3 describes and develops our model. Section 4 presents the properties of the optimal strategy and highlights its advantages over the traditional policy. Section 5 extends the single-period model to multiple periods, incorporating carry-over inventory and analyzing its impact on the optimal strategy. Finally, Section 6 concludes the paper.
2. Literature Review
This paper primarily draws upon Jia et al. [8], who pioneered the integration of cancellation penalties with fulfillment costs using a two-stage stochastic model under inventory certainty conditions. Our work extends this by incorporating inventory uncertainty into the model. Here, we briefly review the papers most closely related to our study.
In omnichannel retail, the importance of integrated fulfillment concepts is increasing. There is a clear tension between market demands for seamless customer experiences and operational efficiency, which revitalizes physical stores. It is becoming more common for physical stores to serve as fulfillment centers for online demands, making them central to retail operations [1]. There has been a rich body of work on fulfillment strategies in an omnichannel environment, which focused on how to fulfill online demands from the store. Bendoly [9] found that using in-store inventory to fulfill both offline and online demands may be preferable to using a central warehouse for online fulfillment in certain cases. Subsequently, by considering different inventory deployments, such as completely centralized online inventory versus completely decentralized online inventory, it has been discovered that there exists a threshold level of online demands [10]. Ishfaq and Raja [11] considered the following order fulfillment options available to retailers: Distribution Centers (DCs) as store-facing fulfillment centers, Direct-to-Customer (DTC) dedicated fulfillment facilities, physical stores, and direct fulfillment from suppliers. It is interesting to note that the use of retail stores was high for high store inventory allocation or low fulfillment costs. Meanwhile, the more specific fulfillment modes of store participation in omnichannel retail are widely discussed, such as “Buy-Online-and-Pick-Up-In-Store (BOPS)” [12,13], “Ship-from-Store (SFS)” [14], and “Ship-to-Store (STS)” [15]. These strategies’ adoption is found to have limited applicability, affected by product characteristics, customer segments, and other factors. Recent research in this direction begins to consider returns, where retailers often promise free returns or exchanges for online orders, which can be processed either online (e.g., through mail) or in-store [16]. Regardless of the engagement model, retailers must decide how to allocate in-store inventory for both “pure” store demands and online demands [2]. This issue parallels inventory allocation challenges, which have garnered significant attention in the literature since the pioneering work of Topkis [17].
Currently, most literature focusing on omnichannel inventory allocation follows similar research approaches. Scholars explore scenarios where retailers prioritize in-store inventory to fulfill offline demands [9]. Various scholars extend this framework by considering different network structures, order fulfillment options, joint replenishment, transportation costs, diverse product assortments, or future demand projections. Paul et al. [18] studied demand fulfillment in the BOPS mode at physical stores, considering replenishment and transportation costs. Bayram and Cesaret [19] investigated dynamic fulfillment decisions where online demands could be shipped from an online fulfillment center or any other physical store that maximizes overall retailer revenues, incorporating uncertainties in demand and transportation costs into their model to optimize cross-channel fulfillment policies. Abouelrous et al. [20] addressed the challenge faced by multi-store networks during fixed-length sales seasons with stochastic online and in-store demands, formulated as a two-stage stochastic optimization problem, focusing on determining optimal online order fulfillment strategies and inter-store inventory allocation. Similarly, Goedhart et al. [6] studied similar scenarios but included future demand and replenishment decisions, formulated as a periodic Markov decision process (MDP). Goedhart et al. [7] considered using in-store inventory to fulfill both offline and online demands for a single physical store by reserving a certain amount of inventory in advance for online demands in each period. Jiu [21] considered sales of multiple products over multiple periods and employed a robust two-stage approach (RTA) to solve the problem, but assumed demand arrives in a single batch without fulfillment prioritization. Meanwhile, models in the literature assume that the costs associated with rejecting online orders are low or even negligible [19,21].
However, research on online demand admission control in omnichannel strategy implementation remains limited. It would be optimal for decisions to be made immediately upon the arrival of online demands, with retailers observing real-time estimates of in-store inventory levels to determine whether to accept orders and make specific fulfillment decisions [22]. Motivated by operational problems in click-and-collect systems, such as curbside pickup programs, Boran et al. [23] studied a joint admission control and capacity allocation problem, and assumed that customers arrive at each discrete period with a service request for the current or a future period. Yet, small retailers may lack real-time inventory monitoring capabilities, necessitating control over the number of accepted online orders to avoid large-scale unfulfilled demand. While this approach can enhance order fulfillment rates, it inevitably incurs significant costs. A common practice to mitigate this is to establish limits on the acceptance quantity of online demands. Jia et al. [8] established rules to balance anticipated in-store demand and the likelihood of online consumption, introducing local and global threshold strategies. Gao et al. [24] theoretically quantified the performance of online booking limit algorithms in the context of omnichannel fulfillment. However, they assume fulfillment decisions must be made at the instant the online customer arrives, and there is no order batching. They provided a comprehensive analysis of the characteristics of various threshold strategies, assuming a certain inventory [8,24]. In daily operations, however, inventory level is often not fixed but determined based on operational strategies. This presents a significant research opportunity for us to explore.
This paper focuses on retailers’ operational decisions in fulfilling online demands during their operations, aligning with the work of Jia et al. [8]. Building on these foundations, we incorporate endogenous inventory level and inventory carry-over, contributing to the literature by exploring the intersection of inventory allocation and omnichannel demand fulfillment, and applying admission control theory to the Omni-channel demand fulfillment scenario. In the next section, we formally present the problem and the model.
3. The Model and Notation
In a dual-channel single-product retail system, the retailer has an endogenous inventory level, determined by . The retailer pays a fixed procurement cost for every unit delivered. Let the sales price be , and the salvage value be zero, where . The retailer faces random online demands and offline demands , with probability density functions (PDF) and , and cumulative distribution functions (CDF) and , respectively. After fulfilling offline demands, any remaining inventory is used to effectively fulfill these accepted online orders. The retailer implements an online acceptance threshold policy to limit the number of accepted online demands, rejecting all online demands that exceed the threshold [8]. Online orders are canceled if there is not sufficient inventory to fulfill them. Please note that accepted orders can be canceled. There is a cost, , associated with canceling an accepted order. Here, the threshold operates under dual constraints: setting the threshold too low risks underutilizing online demand potential, while excessive thresholds increase order cancellation exposure when inventory proves insufficient. Thus, the inventory level determination requires balancing probabilistic stock-out risks against overstock procurement cost, while the online acceptance threshold must optimize between demand capture and cancellation risk minimization.
The objective of this study is to determine an optimal inventory allocation strategy with online demand acceptance control to maximize sales revenue. The demand fulfillment process is divided into two phases. The first phase requires simultaneously determining the inventory level and the threshold , fulfilling offline demands and accepting online demands. Let denote the number of online orders accepted by the retailer in the first phase, where . denote the remaining in-store inventory after fulfilling offline demands. In the second phase, with offline demand available, the retailer fulfills online orders with remaining in-store inventory. Let denote the number of orders fulfilled from the in-store inventory, and let denote the number of canceled online orders. For analytical tractability, it is assumed that the shipping cost for fulfilling online orders from this retail store is zero (i.e., ). Although temporally sequential, the process adopts a unified single-phase model where the retailer concurrently optimizes inventory and threshold decisions at the season’s commencement. This integrated approach enables holistic revenue maximization by jointly addressing both phases’ operational objectives through a consolidated expected revenue function .
The omnichannel fulfillment model is as follows:
The objective function denotes the omnichannel retailer’s expected revenue and consists of four parts: offline fulfillment profit, online fulfillment profit, order cancellation cost, and procurement cost. Equation indicates that the in-store inventory must be used to meet offline demands, be held in reserve, or fulfill online orders. Equation states that all accepted demands must either be fulfilled or canceled. Inequality constrains the variables’ feasible range.
4. Optimal Strategy Analysis
4.1. Optimal Strategy Structure
First, we analyze the optimal strategy for the online sales. We aim to find the expressions for and . For a retailer instance of the omnichannel fulfillment model, Equations and are satisfied in any optimal solution [8].
From this, we have Corollary 1 immediately.
Corollary 1.
increases in and ; decreases in but increases in .
We can see that increasing the inventory level and the online acceptance threshold will always increase the number of sales when total demand exceeds stock, but will have a completely different effect on the number of orders canceled, in which case the impact of these on overall revenue needs to be further analyzed.
According to the above, we can represent the objective function as follows:
Proposition 1.
The objective function is concave, and there exists a unique optimal strategy that maximizes the retailer’s expected revenue. The optimal strategy satisfies the following equation:
The proof of Proposition 1 can be found in Appendix A.
It is demonstrated by Proposition 1 that the retailer’s optimal inventory level and the online demand acceptance threshold exhibit a linear relationship. The difference can represent the inventory that the retailer anticipates utilizing for the initial phase of offline demand fulfillment, contingent on the distribution of offline demands. However, it is noteworthy that this relationship is with the cancellation cost and not the procurement cost .
Corollary 2.
The difference between the retailer’s optimal inventory level and the online acceptance threshold increases in the cancellation cost and the dispersion of offline demand .
Corollary 2 demonstrates that the difference between the retailer’s optimal inventory level and the online acceptance threshold is proportional to the cancellation cost and the degree of offline demand dispersion. When the cancellation cost increases, the retailer will increase the inventory used for offline demand fulfillment in the first phase, resulting in more remaining inventory in the second phase. The same applies if the dispersion of offline demand increases.
4.2. Property Study
We examine how cost components and demand dispersion impact the optimal strategy. However, the results of the analytic studies are unavailable, so we have conducted numerical studies, and the results are presented as follows.
First, we focus on cost components. It can be observed that the effects of a higher sales price and a lower procurement cost are similar; therefore, only the effects of the sales price will be discussed here. In this numerical study, we assume offline and online demands , . Figure 1 depicts our numerical results, where the revenue is calculated as the average of 1000 Monte Carlo simulations with randomly generated demands. Based on these results, we derive Corollaries 3–5.
Figure 1.
The impact of cost parameters on the optimal strategy and revenue.
Corollary 3.
The retailer’s optimal inventory level, , and online acceptance threshold, , increase in the sales price .
Corollary 3 indicates that the retailer’s optimal inventory level and online acceptance threshold are positively correlated with the sales price. When the retailer adopts a threshold strategy, an increase in the sales price reduces the significance of procurement cost, prompting the retailer to increase the inventory level to meet as many demands as possible. Simultaneously, the cancellation cost of online orders becomes relatively less critical, which incentivizes the retailer to raise the online acceptance threshold to accept more online demand. Retailers need to avoid setting inventory or thresholds in isolation and instead dynamically balance the two through joint optimization tools such as the model in the paper. For example, when the peak selling season (high ) arrives, inventory and thresholds can be adjusted upward in tandem to capture the demand dividend.
Corollary 4.
The retailer’s optimal inventory level increases in the cancellation cost and the online acceptance threshold decreases in the cancellation cost .
Corollary 4 indicates that the optimal inventory level and online acceptance threshold are positively and negatively related to the cancellation cost, respectively. When the cancellation cost is high, the retailer increases the inventory level to avoid stock-outs in the online channel, ensuring sufficient stock for online sales in the second phase after completing offline sales in the first phase. At the same time, the retailer reduces the acceptance number of online demands to minimize the losses caused by order cancellations.
Corollary 5.
The retailer’s optimal expected revenue is a monotonically decreasing function of the cancellation cost .
Corollary 5 indicates that as the cancellation cost increases, the costs borne by the retailer also rise, resulting in a decrease in the optimal expected revenue. An increase in the cancellation cost means that when stock-outs occur in online sales, the retailer must incur additional labor or reputation costs to deal with consumers whose orders are canceled. The only way to reduce the cancellation cost is to either lower the online acceptance threshold or increase the inventory level. However, lowering the acceptance threshold means that more demand in the market is rejected by the retailer, which can have a significant negative impact on the retailer’s reputation. In addition, due to the discrete nature of demand distribution, increasing the inventory level may lead to inventory wastage. To avoid the losses caused by out-of-stocks in the online channel, the retailer should consider a variety of factors—such as actual market conditions and product demand—when making operational decisions.
Second, we focus on demand dispersion. In this numerical study, we assume offline demands and online demands , , , and . Figure 2 depicts the numerical results when and are varied. Based on these results, we derive Corollaries 6 and 7.
Figure 2.
The impact of demand dispersion on the optimal strategy and revenue.
Corollary 6.
The retailer’s optimal inventory level and online acceptance threshold decrease in the demand dispersion and .
Corollary 6 indicates that the optimal inventory level and online acceptance threshold are positively related to demand dispersion. As illustrated in Figure 2a, the optimal strategy shows greater sensitivity to offline demand variability compared to online demand fluctuations. This occurs because prioritized offline demand directly impacts the online fulfillment process. When offline demand becomes more volatile, the retailer must increase the inventory level to mitigate stockout risks during online fulfillment. Crucially, while the expected offline demand remain constant, simultaneously raising the online acceptance threshold helps balance inventory efficiency. This dual adjustment allows retailers to address heightened uncertainty while minimizing excess inventory.
Corollary 7.
The retailer’s optimal expected revenue is a monotonically decreasing function of the demand dispersion, and .
Corollary 7 indicates that as the demand dispersion increases, the uncertainty in the retailer’s market also increases, leading to a decrease in the optimal expected revenue. The dispersion of demand negatively impacts the retailer’s operational profit. As shown in Figure 2b, the effect of online demand dispersion on revenue is weaker than that of offline demand. When implementing the threshold strategy, offline demands are prioritized, and fluctuations in offline demands lead to variability in inventory levels before fulfilling online orders. When the dispersion of offline demands increases, the probability of waste and order cancellations also rises.
4.3. Strategy Comparison
The following model outlines a commonly employed operational policy within the omnichannel context. The traditional policy involves reserving a certain amount of in-store inventory to fulfill online demands [7], denoted by the subscript 1.
The revenue function corresponding to the traditional policy is as follows:
Here, represents the inventory reserved for online demands, and rejecting online demands exceeding prevents stock-outs; denotes the retailer’s inventory level; represents the expected revenue in the traditional policy.
Proposition 2.
For the traditional policy, the revenue function is concave; there exists a unique optimal strategy , that maximizes the retailer’s expected profit, where
The proof of Proposition 2 can be found in Appendix A.
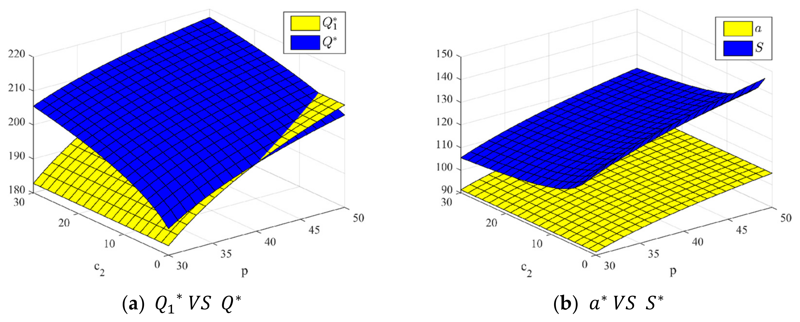
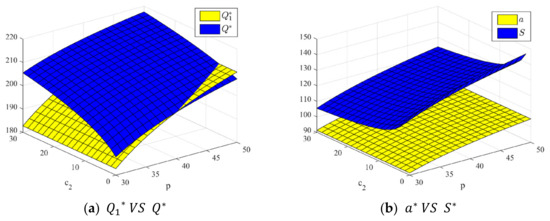
Proposition 1 shows that the threshold policy cannot provide an explicit analytical solution. Next, we numerically verify the applicability of the two policies. We examine the revenues and optimal strategies under different inventory allocation policies as the sales price , online cancellation cost , and demand dispersion and vary.
First, we assume offline and online demands , . From Figure 3, we can observe that under the threshold policy, the retailer’s expected inventory level and online demand acceptance threshold are always higher than those under the traditional policy. In most cases, the threshold policy is more advantageous than the traditional policy, unless the online cancellation cost is significantly higher compared to the sales price .
Figure 3.
The comparison of the optimal strategy and expected revenue.
Second, we assume offline and online demands , , . From Figure 4, two important insights can be drawn: first, the threshold policy performs worse than the traditional policy when offline demand dispersion is high and online demand dispersion is low; second, it is clear that an increase in cancellation cost exacerbates the disadvantages of the threshold policy. Therefore, we can derive Proposition 3.
Figure 4.
Areas of expected revenue advantage for different policies.
Proposition 3.
For the traditional policy and threshold policy, there exists a critical threshold , such that when , the applicability of the threshold policy is better, where is a decreasing function of and an increasing function of .
From Proposition 3, it is known that the threshold policy dominates the traditional policy when the cancellation cost falls below . Furthermore, is influenced by the demand distribution. If offline demand dispersion increases, to continue applying the threshold policy, the retailer must consider reducing the cancellation cost or increasing the product’s sales price. Therefore, when market conditions change, retailers should stay alert and adjust their operational strategies promptly.
5. Impact of Inventory Roll-Over
5.1. Model Description
In this section, we extend our model to the T-period model. The details are as follows. (a) Each period operates under a strict online demand admission policy: the system accepts incoming online orders up to a predefined threshold quantity. (b) Real-time offline demands retain absolute fulfillment precedence in any period. (c) Remaining inventory after offline sales finish, if any, is used to fulfill online orders. (d) Remaining online orders in any period, if any, are canceled. All future online orders and offline demands are lost as there is no inventory left. Note that our model prioritizes online orders in the current period over offline demands in the next period.
A T-period problem begins with the first period and ends after period T. All references to variables in different periods use the period number as the superscript. The inventory levels and online acceptance thresholds over time are and . The replenishment process operates under a zero-lead time assumption, where inventory is instantaneously replenished upon order issuance. The inventory level for the retailer in period is , where denotes the initial inventory remaining from the previous period. represents the inventory holding cost per unit product, calculated based on the remaining inventory level at the end of the period. The offline and online demands in period are denoted as and . The initial inventory calculation formula for the store each period is .
We use a revenue-maximizing formulation and focus on the joint inventory level and online threshold policy that was effective in the single-period case. The heightened analytical complexity in determining optimal thresholds for multi-period models arises from time-dependent strategy dynamics.
Define to be the maximum expected revenue for the -period model with initial inventory . Then, the revenue function for the retailer in period can be expressed as follows:
In period , the retailer sets the inventory level and threshold based on the initial inventory , aiming to maximize the expected total revenue from period to the final period . Let this maximized revenue be denoted as . Let denote the discount factor. Thus, the expected total revenue from period to the final period is
where
In period , the retailer maximizes the expected total revenue through inventory decisions and acceptance thresholds, expressed as follows:
5.2. Optimal Strategy
We can derive the optimal inventory and online acceptance threshold strategy for a multi-period omnichannel model.
Proposition 4.
The revenue function is concave; there exists a unique optimal strategy
that maximizes the retailer’s expected profit.
- (1)
- When , the optimal strategy satisfies the following equation:
- (2)
- When , the optimal strategy satisfies the following equation:
The proof of Proposition 4 can be found in Appendix A.
The period represents the last period in a finite horizon (where ), at which point the remaining inventory does not incur holding costs. Period represents any period other than . denotes the optimal inventory level for period . Proposition 4 shows that in a finite horizon scenario (where ), the optimal strategy for period is consistent with the single-period case, i.e., , . The optimal strategy for period is affected by cancellation costs and holding costs, which we will discuss below.
5.3. Numerical Study
Next, we analyze how the optimal strategy changes with key parameters. We assume a multi-period omnichannel model where the retailer seeks an optimal inventory and online acceptance threshold strategy. For simplicity, we set , model offline demands and online demands , both following normal distributions, with and . Figure 5 illustrates the numerical results when the cancellation cost and holding cost are varied. Based on these results, we derive Corollaries 8 and 9.
Figure 5.
The impact of cost parameters on the optimal strategy.
Corollary 8.
In the finite horizon scenario (where ), the retailer’s optimal inventory level increases in cancellation cost , while the online acceptance threshold decreases in cancellation cost .
Corollary 8 is consistent with Corollary 4. When the cancellation cost of online orders is high, the retailer increases the inventory level to avoid stock-outs in the online channel, while also controlling costs by reducing the acceptance number of online demands, similar to the single-period case.
Corollary 9.
In the finite horizon scenario (where ), the retailer’s optimal inventory level and the online acceptance threshold decrease in inventory holding cost .
Corollary 9 indicates that when the holding cost is high, the retailer reduces the inventory level to minimize the remaining inventory at the end of period . As a result, the available inventory decreases, and the retailer also lowers the online acceptance threshold to reduce the losses from order cancellations. When the inventory holding cost rises (e.g., increased warehouse rentals), replenishment cycles and inventory levels need to be shortened, and thresholds tightened, to avoid inter-period backlogs.
Proposition 5.
In the finite horizon scenario (where ), there exists a critical threshold , such that when , the retailer’s optimal inventory level always holds, where is a decreasing function of .
When holding cost is low, the remaining inventory at the end of the period can be carried over to the next period at a lower cost, so the retailer is motivated to stockpile inventory in period . However, as holding cost increases, this motivation weakens. In contrast, in period , the retailer has no such motivation, and the inventory level in period is always higher than in period . However, as cancellation cost increases, the retailer is motivated to increase the inventory level to avoid stock-outs in the online channel. As a result, the retailer in period is also motivated to stockpile inventory, causing the gap in the optimal inventory levels between period and period to narrow further, as shown in Proposition 5. Therefore, in multi-period operations, the initial period () can be buffered from late demand risk by moderate overstocking (at the expense of inventory costs in the short term), subject to a holding cost tolerance upper limit.
Proposition 6.
In the finite horizon scenario (where ), there exists a critical threshold , such that when , the online acceptance threshold always holds, where is an increasing function of .
When the holding cost is low, the retailer is incentivized to accumulate safety stock in period through proactive inventory buildup and systematically elevate online order acceptance thresholds. This dual adjustment ensures that the stockpiled inventory can serve market demand as the cost-benefit equilibrium tilts toward leveraging current-period demand capture over inventory conservation incentives. At this point, the online acceptance threshold for period t is always higher than that for period T. As cancellation costs increase, the retailer strategically lowers the online order acceptance threshold to mitigate financial exposure. This maneuver has led to a shift in the retailer’s cost focus from holding costs to cancellation costs, redefining the preference for whether there is a surplus or shortage of inventory in period t.
6. Conclusions
A significant number of retailers have undergone the transition from a business model based solely on brick-and-mortar stores or online-only sales to a cross-channel service provision model for customers. In this model, in-store inventory is often leveraged to fulfill both offline demands and online orders. To mitigate safety stock and uncertainty in demand, retailers often adopt a strategy of sharing inventory across channels. However, in practice, fulfilling offline demands often takes priority, and retailers set a maximum threshold for accepting online demands to avoid the negative impact of using store inventory to fulfill online orders. These online demand acceptance thresholds not only relate to cost structures and demand but are also constrained by inventory levels. Thus, inventory levels and online acceptance thresholds complement each other, although there is a paucity of literature on this topic.
Previous studies on online demand acceptance thresholds have assumed a fixed inventory level. This paper presents a novel approach that integrates inventory and demand fulfillment with admission control decisions, thereby contributing to the academic literature on omnichannel retail. Simultaneously quantifying the impact of multiple factors such as cancellation cost, demand variance, carry-over inventory, and holding cost on strategy provides retailers with actionable critical thresholds for decision-making. We develop an omnichannel news vendor model and address the risks that arise from the integration of offline and online fulfillment operations. In this model, the retailer operates a physical store selling the same product at a unified price through both online and offline channels, thereby satisfying demands from both sources. We examine structural properties of optimal inventory levels and threshold design decisions under stochastic demand, and several key factors affecting optimal strategy are explored. Finally, this study is extended to a scenario with carryover inventory.
This study deepens the understanding of integrated inventory and demand admission control in omnichannel retail systems. Our findings provide actionable insights for retailers navigating complex cross-channel operations: First, the interplay between inventory levels and online acceptance thresholds serves as a critical lever for balancing revenue capture and operational risks. Managers must recognize that merely increasing inventory reserves is insufficient and must dynamically couple them with threshold adjustments to mitigate order cancellation risks. For instance, synchronizing these two parameters during high-margin seasons enables demand potential exploitation while curbing overstock penalties. Conversely, when addressing volatile offline demand, adopting conservative thresholds paired with proactive inventory buffering becomes essential to ensure online fulfillment reliability. Second, the research highlights how cost structures reshape channel coordination strategies. Cancellation costs incentivize retailers to reduce online order cancellation risks by elevating inventory levels and lowering acceptance thresholds, and vice versa. Retailers operating under stringent cancellation penalties (e.g., luxury brands with rigorous service commitments) should prioritize inventory adequacy over demand capture maximization. Simultaneously, retailers facing rising inventory holding costs must recalibrate multi-period strategies, favoring leaner inventories and stricter threshold controls to prevent cost escalation across planning cycles. Third, while comparative analysis demonstrates the superior performance and applicability of threshold policy over traditional policy, its advantage diminishes when cancellation costs and the dispersion of offline demand are high. Finally, the strategic role of carry-over inventory redefines multi-period planning paradigms. Managers should reframe residual stock as a flexible buffer against future cancellation risks rather than operational inefficiencies. The identified cost interaction thresholds establish natural checkpoints for strategic reviews—when holding costs approach these benchmarks, organizations should transition from inventory-driven to threshold-dominated controls, aligning short-term tactics with long-term channel sustainability objectives.
Although our model effectively encapsulates the fundamental trade-offs inherent to omnichannel retail inventory allocation, it does not take into account potential complicating factors that could warrant further investigation. First, it would be beneficial to explore networks composed of multiple omnichannel retailers, each with distinct local acceptance thresholds, and to consider transfers from other stores. Second, we simplify the complex environment that retailers may face, and in the future, we can consider incorporating into the model a wider range of factors (e.g., consumer behavior, market competition, etc.) that affect retailers’ operational strategies. Finally, we only consider the inventory level and threshold setting for a single product, the reality of collaborative replenishment of multiple categories (e.g., complementary products) may change the inventory level-threshold relationship, and the extension to multi-product scenarios can be more realistic.
Author Contributions
Conceptualization, F.M.; methodology, F.M.; validation, Y.Z. and B.M.; writing—original draft preparation, F.M.; writing—review and editing, F.M., S.F., Y.Z. and B.M.; visualization, F.M.; supervision, S.F.; funding acquisition, S.F. All authors have read and agreed to the published version of the manuscript.
Funding
This research was funded by the Beijing Municipal Social Science Foundation, grant number 21JCB091.
Institutional Review Board Statement
Not applicable.
Informed Consent Statement
Not applicable.
Data Availability Statement
The original contributions presented in this study are included in the article. Further inquiries can be directed to the corresponding author.
Conflicts of Interest
The authors declare no conflicts of interest.
Appendix A
Appendix A.1. Proof of Proposition 1
Rearranging and taking the first and second derivative of with respect to and , we can have
When and , and always hold. Take the derivative of with respect to and the derivative of with respect to to build the Hessian matrix . Based on the condition that make and true, we have . Then, is concave in . Let and , we can have .
Hence, we can have Proposition 1.
Appendix A.2. Proof of Proposition 2
Take the first and second derivative of with respect to and :
Let and , we have .
Hence, we can have Proposition 2.
Appendix A.3. Proof of Proposition 4
We verify, in two steps, that the revenue function of the period is a concave function of the order decision and the threshold .
- (1)
- First, it is verified that the revenue function of the store in the Period is a concave function of the order decision and the threshold .
Rearranging , we can have
Take the first and second derivative of with respect to and :
When and , and always hold. Hence, is a concave function of and .
- (2)
- Similarly, verify that is a concave function of .
- (3)
- Assume that the revenue function of the store in period is a concave function of the inventory level and the threshold . Below, we will prove that is a concave function of and .
Because , we can have , , , . Therefore, from , we take the first and second derivative of with respect to and as follows:
Since is a concave function of and , and is a concave function of , it follows that and , which means that is a concave function of and . Therefore, considering the new multi-period omnichannel model for carryover inventory, there are still optimal inventory levels and thresholds.
Next, we prove the uniqueness of the solution through contractive mapping properties. Following the same steps as in Proof of Proposition 1, we have verified that in period , the response function possesses contractive mapping properties. This indicates that in our model, there exists a unique optimal inventory level and online acceptance threshold for each period.
Finally, let , , we can obtain the optimal strategy . Based on , , and , , , , , let , , we can obtain the optimal strategy .
Hence, we can have Proposition 4.
References
- Hübner, A.; Hense, J.; Dethlefs, C. The revival of retail stores via omnichannel operations: A literature review and research framework. Eur. J. Oper. Res. 2022, 302, 799–818. [Google Scholar] [CrossRef]
- Rooderkerk, R.; de Leeuw, S.; Hübner, A. Advancing the marketing-operations interface in omnichannel retail. J. Oper. Manag. 2023, 69, 188–196. [Google Scholar] [CrossRef]
- Cai, Y.; Lo, C.K.Y. Omni-channel management in the new retailing era: A systematic review and future research agenda. Int. J. Prod. Econ. 2020, 229, 107729. [Google Scholar] [CrossRef]
- Verhoef, P.C.; Kannan, P.K.; Inman, J.J. From Multi-Channel Retailing to Omni-Channel Retailing. J. Retail. 2015, 91, 174–181. [Google Scholar] [CrossRef]
- Mou, S.; Robb, D.J.; DeHoratius, N. Retail store operations: Literature review and research directions. Eur. J. Oper. Res. 2018, 265, 399–422. [Google Scholar] [CrossRef]
- Goedhart, J.; Haijema, R.; Akkerman, R.; de Leeuw, S. Replenishment and fulfilment decisions for stores in an omni-channel retail network. Eur. J. Oper. Res. 2023, 311, 1009–1022. [Google Scholar] [CrossRef]
- Goedhart, J.; Haijema, R.; Akkerman, R. Inventory rationing and replenishment for an omni-channel retailer. Comput. Oper. Res. 2022, 140, 105647. [Google Scholar] [CrossRef]
- Jia, S.; Karp, J.; Ravi, R.; Tayur, S. Effective Online Order Acceptance Policies for Omnichannel Fulfillment. Manuf. Serv. Oper. Manag. 2022, 24, 1650–1663. [Google Scholar] [CrossRef]
- Bendoly, E. Integrated inventory pooling for firms servicing both on-line and store demand. Comput. Oper. Res. 2004, 31, 1465–1480. [Google Scholar] [CrossRef]
- Bendoly, E.; Blocher, D.; Bretthauer, K.M.; Venkataramanan, M.A. Service and cost benefits through clicks-and-mortar integration: Implications for the centralization/decentralization debate. Eur. J. Oper. Res. 2007, 180, 426–442. [Google Scholar] [CrossRef]
- Ishfaq, R.; Raja, U. Evaluation of Order Fulfillment Options in Retail Supply Chains. Decis. Sci. 2018, 49, 487–521. [Google Scholar] [CrossRef]
- Gao, F.; Su, X. Omnichannel Retail Operations with Buy-Online-and-Pick-up-in-Store. Manag. Sci. 2016, 63, 2478–2492. [Google Scholar] [CrossRef]
- Lin, X.; Zhou, Y.; Hou, R. Impact of a “Buy-online-and-pickup-in-store” Channel on Price and Quality Decisions in a Supply Chain. Eur. J. Oper. Res. 2021, 294, 922–935. [Google Scholar] [CrossRef]
- Yang, D.; Zhang, X. Omnichannel operations with ship-from-store. Oper. Res. Lett. 2020, 48, 257–261. [Google Scholar] [CrossRef]
- Akturk, M.S.; Ketzenberg, M.; Heim, G.R. Assessing impacts of introducing ship-to-store service on sales and returns in omnichannel retailing: A data analytics study. J. Oper. Manag. 2018, 61, 15–45. [Google Scholar] [CrossRef]
- Sun, K.; Liu, Y.; Li, X. Mail back or in-store dropoff? Optimal design of product-exchange policies in omnichannel retailing systems. Omega 2024, 125, 103024. [Google Scholar] [CrossRef]
- Topkis, D.M. Optimal Ordering and Rationing Policies in a Nonstationary Dynamic Inventory Model with n Demand Classes. Manag. Sci. 1968, 15, 160–176. [Google Scholar] [CrossRef]
- Paul, J.; Agatz, N.; Spliet, R.; Koster, R.D. Shared Capacity Routing Problem − An omni-channel retail study. Eur. J. Oper. Res. 2019, 273, 731–739. [Google Scholar] [CrossRef]
- Bayram, A.; Cesaret, B. Order fulfillment policies for ship-from-store implementation in omni-channel retailing. Eur. J. Oper. Res. 2021, 294, 987–1002. [Google Scholar] [CrossRef]
- Abouelrous, A.; Gabor, A.F.; Zhang, Y. Optimizing the inventory and fulfillment of an omnichannel retailer: A stochastic approach with scenario clustering. Comput. Ind. Eng. 2022, 173, 108723. [Google Scholar] [CrossRef]
- Jiu, S. Robust omnichannel retail operations with the implementation of ship-from-store. Transp. Res. Part E Logist. Transp. Rev. 2022, 157, 102550. [Google Scholar] [CrossRef]
- Baron, O.; Cire, A.A.; Savaser, S.K. Decentralized Online Order Fulfillment in Omni-Channel Retailers. Prod. Oper. Manag. 2024, 33, 1719–1738. [Google Scholar] [CrossRef]
- Boran, M.; Cavdar, B.; Isik, T. Queueing Systems with Preferred Service Delivery Times and Multiple Customer Classes. arXiv 2022, arXiv:2203.01433. [Google Scholar] [CrossRef]
- Gao, Z.; Ling, Z.; Gupta, V.; Xin, L. Real-Time Omnichannel Fulfillment Optimization. SSRN. 2023. Available online: https://papers.ssrn.com/sol3/papers.cfm?abstract_id=4314250 (accessed on 10 April 2025).
Disclaimer/Publisher’s Note: The statements, opinions and data contained in all publications are solely those of the individual author(s) and contributor(s) and not of MDPI and/or the editor(s). MDPI and/or the editor(s) disclaim responsibility for any injury to people or property resulting from any ideas, methods, instructions or products referred to in the content. |
© 2025 by the authors. Licensee MDPI, Basel, Switzerland. This article is an open access article distributed under the terms and conditions of the Creative Commons Attribution (CC BY) license (https://creativecommons.org/licenses/by/4.0/).




