Abstract
This study aims to explore the seismic performance of large-span concrete-filled steel tubular (CFST) arch bridges under near-fault pulse-like ground motions (PLGMs). Firstly, a deck-type CFST arch bridge located in a high-intensity seismic zone is studied. Three typical near-fault ground motions (NFGMs), namely, forward-directivity pulses, fling-step pulses, and nonpulse ground motions, are chosen for analysis. The effects of pulse characteristics on the seismic responses of the large-span arch bridge are investigated using the nonlinear dynamic time-history analysis method. Subsequently, the near-fault PLGMs are synthesized using the record-decomposition incorporation method, which takes into account the pulse type, seismic source, and site characteristics. The validity of the proposed synthesis method is evaluated from three perspectives: the time and frequency domains of ground motions and dynamic responses of the structure. Finally, the effects of the pulse type, fault distance, moment magnitude, and pulse superposition effect on dynamic responses of the large-span arch bridge are thoroughly studied. The results indicate that the arch bridge exhibits the most pronounced dynamic response to fling-step pulses and moderate responses to forward-directivity pulses, with nonpulse ground motions inducing the weakest response. The three pulse models accurately capture the essential characteristics of NFGMs. Moreover, the synthesized NFGMs, based on the same pulse type, show a high degree of consistency with the actual ground motion results. The dynamic responses are positively correlated with the number of pulse waveforms and the moment magnitude and negatively correlated with the fault distance. The dynamic response is most significant when the peak values of the two types of pulse records coincide. The pulse superposition effect dramatically affects dynamic responses of the arch bridge, so it needs to be fully taken into account in the seismic design of arch bridges.
1. Introduction
Concrete-filled steel tubular (CFST) arch bridges were first conceived in the Soviet Union during the 1930s. However, it is in China where their development and application truly flourished, and the construction technology for these bridges has progressively advanced to the vanguard on a global scale [1,2,3]. This rapid progression can be traced back to the construction of the Wangcang East River Bridge in Sichuan in 1990, which has since catalyzed a swift proliferation over the ensuing 30 years. To date, in excess of 400 CFST arch bridges have been erected and are now employed within mountainous areas in Southwestern China [4,5]. When examining the historical context, it becomes evident that a substantial number of traditional arch bridges have sustained damage as a consequence of high-intensity seismic events. For instance, during the 2008 Wenchuan earthquake, out of the 297 arch bridges examined, 175 masonry and 20 reinforced concrete (RC) arch bridges sustained varying degrees of damage [6]. In addition, both the steel-truss and steel-box arch bridges, namely, the Tennoh Bridge in Japan and the Teluk Palu Bridge in Indonesia, respectively, experienced severe damage during earthquakes, with the latter even collapsing completely [7,8]. Although there are no typical cases of CFST arch bridges among the aforementioned earthquake-damaged structures, China is home to a large number of them. These bridges generally have wide spans and are built in dense fault zones. Consequently, they face a significant seismic risk.
Near-fault ground motions (NFGMs) feature a long velocity pulse period, abundant low-frequency energy, and concentrated time-domain energy. During the Wenchuan earthquake, the large-span arch bridges that suffered severe damage or even completely collapsed, including the Nanba and Xiaoyudong Arch Bridges, were often located near fault areas [9,10]. Given that large-span arch bridges are generally thrust structures and are highly susceptible to foundation displacement, the fling-step and forward-directivity effects inherent in NFGMs can induce permanent ground deformation, thereby threatening the seismic safety of these bridges [11,12]. Recently, some researchers have investigated the seismic performance of large-span arch bridges subjected to NFGMs. For example, Xin et al. [13] investigated the dynamic response of a large-span CFST arch bridge by altering equivalent pulse parameters of fling-step NFGMs and concluded that the structural responses are contingent on both the pulse amplitude and period. Liu et al. [14] examined the impact of strong, spatially varying NFGMs on the seismic performance of a steel-box arch bridge through a combination of numerical simulations and shaking table tests. They discovered that neglecting spatial variability would significantly underestimate the seismic damage to the bridge. Zhang et al. [15] employed section bearing capacity and stress analysis to elucidate the damage pattern of a CFST arch bridge with a long span under NFGMs and highlighted that velocity pulses are one of the key factors contributing to structural damage. However, the majority of the existing studies have primarily paid attention to the dynamic responses of large-span arch bridges under near-fault fling-step earthquakes, but have not yet differentiated the influences of various near-fault pulse-like ground motions (PLGMs) on their adverse response, particularly for large-span CFST arch bridges located in regions with dense active faults.
Owing to the scarcity of recorded actual NFGM data, seismic analysis of near-fault engineering structures remains significantly constrained [16,17]. Consequently, researchers have proposed a diverse array of mathematical models for simulating the velocity pulses in actual NFGMs, which are broadly categorized into three groups. The first category involves simulating the velocity pulse using simple functions, such as trigonometric and rectangular functions. For instance, Makris et al. [18] utilized a simple harmonic wave to simulate three types of typical velocity pulse waveforms, namely, pulses for single-, double-, and three-half waves. The second category employs piecewise functions to simulate the velocity pulse, with non-stationary ground motion represented as a stationary sine function modulated by a non-stationary envelope function. Among these, the models built by Mennun et al. [19] and Hoseini et al. [20] are particularly noteworthy. The third category involves using a continuous function to simulate velocity pulses. For example, Tian et al. [21] introduced an equivalent velocity pulse model composed of simple continuous functions, which can readily match the actual PLGM velocity time history. Generally, the existing equivalent velocity pulse models are capable of accurately simulating velocity pulse characteristics of NFGMs. However, these equivalent models fail to incorporate high-frequency components that may exert a significant impact on structures. To more accurately simulate NFGMs, some researchers have employed stochastic models that generate far-field records to represent high-frequency components for synthesizing pulse-like ground motions [22,23]. However, due to the influences of geological conditions and epicentral distance, significant differences exist between the high-frequency components of far-field and near-fault ground motions [24], which is an issue that stochastic models cannot adequately address. To address this limitation, Li et al. [25] came up with the record-decomposition incorporation (RDI) method, which is able to acquire essential features and natural variability in NFGMs. Nevertheless, this method has not yet been extended to simulate the parallel direction of faults or consider the influences of the seismic source and site features. Therefore, simulating PLGMs still requires further refinement.
The primary objective of this study is to investigate the impact of near-fault PLGMs on the seismic performance of a large-span CFST arch bridge. Firstly, a typical CFST arch bridge situated approximately 2 km from a fault in Southwestern China is studied. Forward-directivity and fling-step pulses and nonpulse ground motions are chosen as representative NFGMs to examine how pulse features influence dynamic responses of this large-span arch bridge. Subsequently, on the basis of the RDI method for NFGMs, a PLGM synthesis method considering the pulse type, source, and site characteristics is developed. Finally, through quantitative analysis, the influences of the pulse type, source characteristics, and pulse superposition effect on dynamic responses of the large-span arch bridge are explored. The research findings can serve as a reference for seismic analysis and large-span arch bridge design in near-fault zones.
2. Analytical Model and Selection of Ground Motions
2.1. Modeling of Case Bridge
A large-span deck-type CFST arch bridge situated in Southwestern China is examined as a typical case study (Figure 1). The bridge has a total length of 798 m, a main span of 510 m, a rise of 102 m, and a rise-to-span ratio of 1/5. The arch axis is a catenary curve with an arch axis coefficient of 2.1. The main arch adopts a truss structure with varying cross-sections. From the arch foot to the vault, the truss height gradually changes from 16 m to 12 m, and the truss width varies from 35 m to 25 m. Each truss of arch rib is composed of four concrete-filled steel tube chords. The tube is made of Q420 qE steel, with a diameter of 1600–1800 mm and a thickness of 24–56 mm. C60 self-compacting concrete has been poured into the tube. The arch columns adopt RC bent columns, and the transverse beams, web members, and transverse braces are all made of Q370 qE steel. The main girder is divided into two sections, adopting long continuous steel-box girders (span arrangement: 10 × 41.5 m). The bearing types include consolidation, fixed bearings, and unidirectional and bidirectional movable bearings. The approach bridges on both sides have prestressed concrete continuous rigid frames, under which are RC frame piers with variable cross-sections, which are inverted V-shaped in the transverse direction. The bridge is situated in a mountainous area of high-intensity seismic activity, about 2 km downstream from an active fault, which belongs to the typical near-fault zone.
Figure 1.
Overall layout of the whole bridge. (a) Elevation. (b) Plan views of the bridge. (c) Arrangement of the bearings.
SAP2000 is utilized to build a three-dimensional finite element model (FEM) of the whole bridge. Frame elements are adopted to simulate transverse braces, arch columns, transition and approach piers, and the main girders, with the second-order effect of compression members considered. The CFST is considered to be an equivalent conversion section [26]. The bearing adopts decoupled spring elements to simulate two horizontal stiffnesses, with a vertical bearing capacity of 12,000 kN and a horizontal stiffness of 12,500 kN/m. The collision of the main girder at the expansion joints is simulated using gap elements. The initial gap is 6 cm, and the collision stiffness is approximately 106 kN/m according to the axial stiffness of the main girder. To account for the influence of material nonlinearity, fiber plastic hinges are introduced at the junctions of the arch rib, arch columns, and transverse braces. Figure 1a displays a material constitutive model of the steel tubes and the concrete within arch ribs [27]. Specifically, the steel tube exhibits a yield stress of 420 MPa, while the concrete filled in the tube shows a compressive strength of 60 MPa. The mass of the bridge deck pavement, as well as other ancillary structures, is applied as the uniform load onto the main girder. In time-history analysis, these loads are converted into mass for computational purposes. The rock foundation at the bridge site is primarily composed of granodiorite, with favorable geological conditions. The arch foot and the pier bottom are modeled with consolidation constraints. In nonlinear time-history integration, the Rayleigh damping model is adopted, with a damping ratio of 3% [28,29,30].
The Ritz vector method is adopted for modal analysis of the aforementioned model. Table 1 and Figure 2 present the eigenvalue analysis results and typical vibration modes of the case bridge. It can be observed that the transverse, longitudinal, and vertical fundamental modes of the bridge emerge in the first, second, and fourth orders, respectively. The corresponding periods are 4.201 s, 2.579 s, and 1.737 s, and the effective mass ratios are 32.7%, 31.2%, and 16.8%, respectively.
Table 1.
Analysis results of eigenvalues of the bridge.
Figure 2.
Typical vibration modes of the bridge. (a) Mode 1, transverse vibration. (b) Mode 2, longitudinal vibration. (c) Mode 4, vertical vibration.
The modal and vibration mode results obtained in this study are essentially in agreement with those derived using the Midas Civil software model in reference [31]. To evaluate the nonlinear dynamic performance, the representative near-fault pulse-like record TCU087-NS is selected as input ground motion. Nonlinear time-history analyses are carried out using both the SAP2000 and Midas Civil models, and their computational results are compared. As illustrated in Figure 3, the results from the SAP2000 model correspond well with those from the Midas Civil model. The maximum relative differences in lateral displacement at the arch vault, out-of-plane shear force, and out-of-plane bending moment at the arch foot are 6.1%, 4.6%, and 3.0%, respectively. These close agreements confirm that the FEM developed in SAP2000 is accurate and reliable.
Figure 3.
Comparison of FEM calculation results. (a) Lateral displacement. (b) Out-of-plane shear force. (c) Out-of-plane bending moment.
2.2. Selection of Near-Fault Ground Motions
According to site characteristics of the bridge, three distinct categories of NFGMs, each with unique pulse features, have been meticulously chosen from the latest PEER NGA-West 2 database. The magnitude (Mw), fault distance (R), and soil shear-wave velocity (Vs30) are 6.53~7.62, 0.32~15.60 km, and 209~1070 m/s, respectively. These earthquake records comprise seven ground motions, showing nonpulses and fling-step and forward-directivity pulses [32]. Table 2 provides basic information of the selected NFGMs. The nonlinear dynamic time-history analysis is employed for calculations. For each ground motion, the peak ground acceleration (PGA) is uniformly scaled to match 0.26 g PGA, corresponding to a rare earthquake scenario for the case study bridge. Taking into account the spatial coupling characteristics of each component of the arch bridge, a three-directional ground motion input approach is adopted. The amplitude modulation coefficient for the PGA in all three directions is kept consistent, with the horizontal component having a larger PGA, being input along the transverse direction of the bridge.
Table 2.
Basic information of selected NFGMs.
Figure 4 shows the comparison of average response spectra of the transverse components for these NFGMs. Obviously, when the structural period is less than 0.8 s, the two pulse-like records show substantially lower spectral acceleration values than the nonpulse records do. The peak of spectral acceleration occurs near 0.4 s, which indicates that the nonpulse records are rich in high-frequency components. When the structural period exceeds 0.8 s, the spectral acceleration value of the nonpulse records is significantly lower than that of the two pulse-like records because of the pulse effect. Moreover, the spectral acceleration value of fling-step vs. forward-directivity records is higher. For spectral displacement and spectral velocity, the values of the two pulse-like records are also markedly higher than those of the nonpulses.
Figure 4.
Comparison of response spectra of NFGMs with different characteristics. (a) Acceleration. (b) Velocity. (c) Displacement.
3. Near-Fault Dynamic Response of the Case Bridge
3.1. Dynamic Responses of Arch Rib
To elucidate dynamic responses of the large-span CFST arch bridge under NFGMs with different pulse characteristics, this study focuses on dynamic responses of critical sections of the arch columns, rib, and rib braces. The research findings are presented by averaging the computational results obtained from the seven distinct NFGMs.
Figure 5 depicts the response envelopes for the force and displacement of the arch rib chord. The dynamic response patterns of the arch rib chord subjected to the three types of NFGMs are essentially identical. The lateral displacement of the arch rib reaches its maximum at the vault and then gradually diminishes from the vault to the arch foot, with the overall shape resembling the first-order lateral vibration mode. The maximum longitudinal displacement occurs near the 1L/4 or 3L/4 section, and the overall trend from both arch feet to the vault initially increases and then decreases. Regarding the seismic force response, the out-of-plane bending moment and the shear force along the main arch ring are not uniformly distributed due to the influence of the arch columns. Instead, they generally increase from the vault towards both arch feet and then rise sharply near the arch feet. It is evident that the dynamic response of the arch rib caused by fling-step records is generally greater than that induced by the forward-directivity and nonpulse records. In conjunction with analysis of the response spectra (Figure 4), the fling-step records exhibit significantly larger response spectra values than the other two types of records within the first-order transverse mode period range. This results in the maximum structural response under the fling-step records.
Figure 5.
Response envelopes for force and displacement of arch rib chord. (a) Lateral and (b) longitudinal displacement; (c) out-of-plane shear force; (d) out-of-plane bending moment.
3.2. Dynamic Responses of Arch Columns
Columns 1# to 3# with larger pier heights are selected to analyze the seismic displacement and force variation in the arch columns, as shown in Figure 6.

Figure 6.
Response envelopes for displacement and force of arch columns. (a) Lateral and (b) longitudinal displacement; (c) out-of-plane shear force; (d) out-of-plane bending moment.
Obviously, the seismic displacement and force responses of the arch columns show fundamentally consistent distribution patterns along the pier height. The lateral and longitudinal displacements of columns 1# to 3# escalate with the increasing pier height; the maximum displacement response is generally found in the uppermost section of the pier. In contrast to the displacement response, the force response of columns 1# to 3# generally exhibits a downward trend with an increasing pier height. The bending moment and sheer force of column 1# display an approximately “S”-shaped distribution along the pier height during the earthquake, whereas those of the other columns tend to vary linearly. The maximum force response for each column is observed at the base section of the pier. Moreover, near-fault PLGMs significantly amplify dynamic responses of the arch columns, with fling-step records warranting particular attention during seismic design.
3.3. Dynamic Responses of Arch Rib Braces
Figure 7 presents stress envelopes for braces of the arch rib chord, with Max and Min denoting the envelope values of tensile and compressive stresses, respectively. Under these three types of NFGMs, the minimum compressive and tensile stresses of the arch rib braces both appear in the vault, and then increase initially, and subsequently decrease from the vault to both sides of the arch foot. Generally, the tensile stress is lower than the compressive stress of the arch rib braces. The fling-step records induce the most significant stress response of the arch rib braces, while the forward-directivity and nonpulse records separately result in moderate and the smallest stress responses.
Figure 7.
Stress envelopes of the braces of the arch rib chord. (a) Upper and (b) lower chord braces.
The section stress analysis method is employed to identify the seismic damage characteristics of the arch rib braces. In accordance with the Chinese code for the design of steel structures of railway bridges [33], the allowable compressive stress limit for the arch rib braces is −297 MPa, while the allowable tensile stress limit is 330 MPa. The observations show that when subjected to the three types of NFGMs, tensile stress of all the braces remains within the allowable limit stipulated by the code. However, under the fling-step records, some braces exceed the allowable compressive stress limit as required by the code. At this time, the braces that surpass the limit have entered the elastoplastic state and are susceptible to buckling instability and failure during an earthquake.
TCU071-EW (nonpulse), TCU068-EW (fling-step pulses), and TCU051-EW (forward-directivity pulses) are selected to separately represent three types of NFGMs. Figure 8 presents the time-history curves of typical brace stress. It is evident that the tensile and compressive stresses on the upper and lower chord braces (69# and 90#) reach their maximum values under the fling-step pulses. The largest tensile stresses of these braces are 212 MPa and 250 MPa, respectively, which are within the allowable tensile stress limit specified by the code. However, the maximum compressive stresses are −350 MPa and −310 MPa, respectively, which exceed the allowable compressive stress limit of the code. This indicates that compressive buckling damage occurs in the braces during an earthquake, which may subsequently lead to damage in other components.
Figure 8.
Time-history curves of stress on typical braces. (a) Stress of upper chord brace 69# (b) and lower chord brace 90#.
4. Simulation of Near-Fault Pulse-like Ground Motions
4.1. Record-Decomposition Incorporation Method
NFGMs represent a highly coupled stochastic process involving both nonpulse low- (LFP) and high-frequency parts (HFP). To explain the influences of these two components on the structure’s seismic response, the RDI method put forward by Li et al. [25] is employed to synthesize the NFGMs. This method considers influences of seismic source characteristics, pulse types, and site conditions. Firstly, the actual near-fault PLGMs are decomposed into the HFP and LFP by employing a fourth-order Butterworth filter, with the filtered frequency response function depicted in Equation (1). It is crucial to ascertain the appropriate filter cutoff frequency fc. Ghahari et al. [34] have provided a formula for calculating the filtered frequency for NFGMs, which is presented in Equation (2).
where H(f), fc, f, n, Tp, dt, and α are the filtered frequency response function, the cutoff frequency, frequency, number of filtering orders, the pulse period, time interval of ground motions, and the empirical coefficient, which can be taken as 0.25 [35].
To accurately simulate the LFP of actual NFGMs, a variety of simplified mathematical models have been proposed by researchers. Among these models, the Makris equivalent pulse model (EPM) stands out due to its simple form, minimal variable parameters, and clear physical interpretation [18]. This model is capable of accurately simulating single-, double-, and multi-peak PLGMs arising from the velocity pulse effect. As illustrated in Figure 9, Makris categorizes near-fault PLGMs into three distinct models according to the waveform shape. The single-half (SH) wave pulse model is utilized for simulation of pulse-like velocity records resulting from the permanent ground displacement and forward-directivity effects. Meanwhile, double-half (DH) wave and three-half (TH) wave pulse models are employed to simulate pulse-like velocity records caused by the forward-directivity effect.
Figure 9.
Equivalent velocity pulse models proposed by Makris. (a) Single-; (b) double-; and (c) three-half wave pulses.
The single-half wave pulse model is expressed as follows:
The double-half wave pulse model is expressed as follows:
The mathematical expression of the three-half wave pulse model is given as follows:
where Vp and Tp are the velocity pulse amplitude and the pulse period, respectively; the pulse shape parameter n is related to the phase angle φ, satisfying the relationship given in Equation (6). When n = 1, φ = 0.0697π.
When simulating equivalent velocity pulses, the moment magnitude Mw and fault distance R can be used to determine pulse amplitude Vp and pulse period Tp using the regression Equations (7) and (8) proposed by Somerville et al. [36] and Mavroeidis et al. [37].
Based on the Makris equivalent pulse model and regression relationships, a correlation model is established between velocity pulse parameters and factors such as fault type, site characteristics, and source properties. The ground motions synthesized using the proposed method not only account for the effects of pulse type, source mechanism, and site conditions, but also preserve the LFP of the selected records. This approach ultimately yields full-time-domain broadband records that incorporate site-specific characteristics.
4.2. Synthesis Examples and Verification
The simulated LFP velocity pulse is superimposed on the HFP of the original record (OR) to generate an artificial near-fault record (ANR). To validate the accuracy of the aforementioned synthesis method, three near-fault records exhibiting forward-directivity and fling-step effects are selected from Table 2. These records are then synthesized using the EPM for three distinct pulse types. The synthesized records are subsequently compared and verified in both the time and frequency domains.
Figure 10 displays the comparison of time-history curves of ORs and ANRs. As the EPM only simulates the primary pulse component, while neglecting the effects of secondary pulses, the velocity–time-history curves show certain discrepancy. However, the overall time-domain curves are in good agreement, and the response spectra curves of the two are essentially consistent in the frequency domain. The coefficient of determination (R2) and the root mean square error (RMSE), as proposed in reference [38], are employed to quantitatively evaluate fit. Taking the acceleration spectral curves as an example, the R2 values are 0.952, 0.935, and 0.974, while the RMSE values are 6.76, 10.82, and 5.84, respectively. These results demonstrate that all three pulse models effectively simulate the key characteristics of actual near-fault records and can be reliably applied to nonlinear seismic response analysis of structures.

Figure 10.
Comparison of time-history curves of ORs and ANRs. (a) Single-half wave pulse model and record TCU068; (b) double-half wave pulse model and record Brawley Airport; (c) and three-half wave pulse model and record TCU052.
5. Analysis of Near-Fault Characteristic Parameters
By using the above verified artificial synthesis approach, the NFGMs with varying characteristic parameters (including pulse type, source characteristics, and pulse superposition effect) are generated to study the effects of near-fault characteristic parameters on the dynamic response of the large-span arch bridge. Due to space limitations, the record Brawley Airport and TCU075-EW are selected as representative ground motions showing forward-directivity and fling-step effects. These two ground motions are merely carriers of the velocity pulse effect. After adjusting the characteristic parameters, the synthesized ANR can represent the frequency spectrum characteristics of ground motions with corresponding velocity pulse effect in the variable range. In addition, considering that arch ribs are the primary load-bearing component in the large-span arch bridge, dynamic responses of the arch rib are selected as the subject for illustration.
5.1. Effects of Pulse Types
The majority of the existing studies have predominantly utilized a single-function analytical model in their analysis of pulse parameters, with relatively limited consideration given to how the pulse types affect dynamic responses of structures [39]. In this context, the HFP of the record from Brawley Airport is employed as the ground motion base wave. Subsequently, velocity pulses for single-, double-, and three-half waves are individually superimposed to generate ANRs with distinct pulse types. Figure 11 compares influences of various pulse types on dynamic responses of the arch rib.
Figure 11.
Effects of pulse type on dynamic response of arch rib. (a) Lateral displacement. (b) Out-of-plane shear force. (c) Out-of-plane moment.
As the pulse type changes from single-half waves to three-half waves, the intensity of the dynamic responses of the arch rib caused by ANRs gradually increases. Compared with single-half wave pulse, lateral displacement, the out-of-plane shear force, and the out-of-plane bending moment caused by double-half wave pulse increase by 58.0%, 18.5%, and 51.4%, respectively, while they grow by 64.8%, 49.3%, and 55.6% under the three-half wave pulse, respectively, indicating that the number of pulse waveforms is a critical influencing factor for dynamic responses of the arch bridge. Since OR and double-half wave are the same pulse type, they cause highly approximated dynamic responses. The relative errors of lateral displacement, out-of-plane shear force, and moment are 2.8%, 2.0%, and 5.1%, respectively, which further verifies the rationality of the NFGM synthesis method. Therefore, the NFGMs can be categorized and fitted in accordance with pulse types to improve the accuracy of the ANRs.
Figure 12 compares the response spectra for the ground motions of different pulse types. Within the period range of 0 to 1 s, the spectral velocity, acceleration, and displacement values for the three pulse types are relatively similar. However, in the first two transverse vibration mode periods of the case bridge, the response spectra values for the double- and three-half wave pulses are significantly higher than those for the single-half wave pulse. This indicates that these pulses will more likely trigger the fundamental period and induce resonance, thereby having a more pronounced effect on the structural dynamic response. Additionally, the response spectra curves for the OR and the double-half wave pulse exhibit good agreement during the main pulse period, with an overall similar trend in their changes.
Figure 12.
Comparison of response spectra for ground motions of different pulse types. (a) Acceleration. (b) Velocity. (c) Displacement.
5.2. Effects of Seismic Source Characteristics
Previous studies have shown that the pulse period and amplitude are pivotal factors influencing dynamic responses of a structure [13]. The former directly impacts the intensity of ground motions, while the latter primarily governs the duration of inertial forces exceeding the structural yield level. Based on Equations (7) and (8), it is evident that the fault distance affects the pulse amplitude, and the moment magnitude concurrently controls both the pulse period and amplitude. To investigate how fault distance and moment magnitude affect dynamic responses of the arch bridge, the record Brawley Airport was employed as the base wave for superimposing three distinct velocity pulse waveforms. The fault distance R is set to vary from 2 km to 7 km in increments of 1 km, and the moment magnitude Mw ranges from 6.0 to 7.5 in increments of 0.3. This setup facilitates the synthesis of 36 near-fault PLGMs with diverse source characteristics.
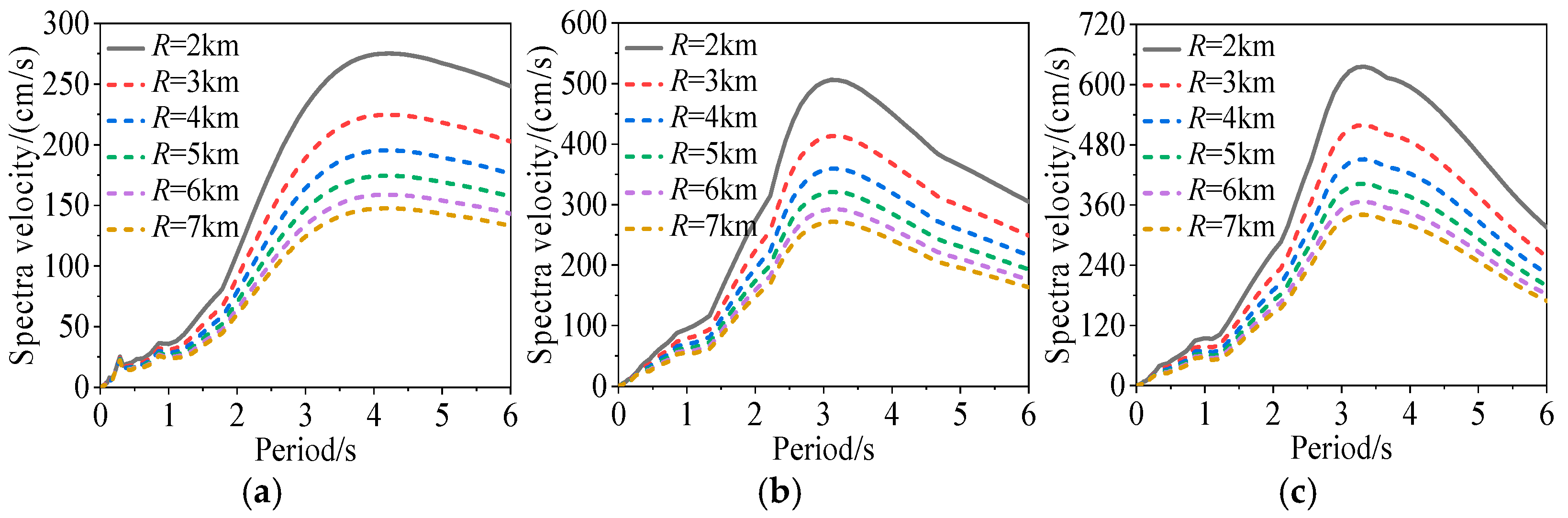
Figure 13 compares influences of the fault distance on dynamic responses of the arch rib. With the increase in fault distance, the dynamic response of each critical section of the arch rib consistently diminishes, which is uniform across the three types of PLGMs. These results can be explained by the fact that the low-frequency pulse amplitude of the NFGMs decreases with growing fault distance. Based on the computational results for a fault distance R = 2 km under single-half wave pulses, the lateral displacement of the arch rib due to different fault distances decreases by 18.6%, 29.4%, 37.1%, 42.7%, and 46.7%, respectively. The out-of-plane shear force decreases by 11.4%, 20.7%, 26.4%, 31.3%, and 34.9%, respectively, while the out-of-plane moment decreases by 17.7%, 27.0%, 32.0%, 35.8%, and 38.8%, respectively. Consequently, it is evident that the dynamic responses of this bridge show negative correlations with the fault distance.
Figure 13.
Effects of fault distance on dynamic responses of arch rib. (a) Lateral displacement. (b) Out-of-plane shear force. (c) Out-of-plane bending moment.
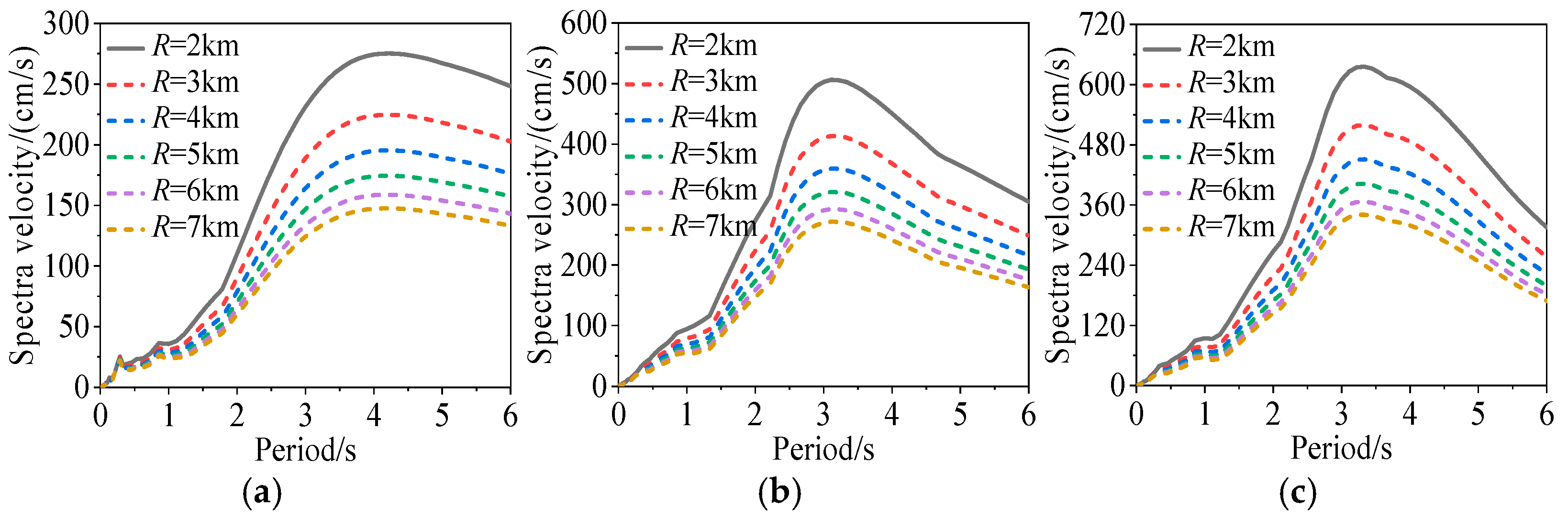
Figure 14 compares the response spectra for ground motions with different fault distances. These observations show that with increasing fault distance, the response spectral values progressively decline in long-period segments of the three types of PLGMs. Under the same fault distance, the response spectral value for the three-half wave pulse is the highest, while those for double- and single-half wave pulses exhibit moderate and the lowest values. This further corroborates the previously mentioned trend.
Figure 14.
Comparison of response spectra for ground motions with different fault distances. (a) Single-; (b) double-; (c) and three-half wave pulses.
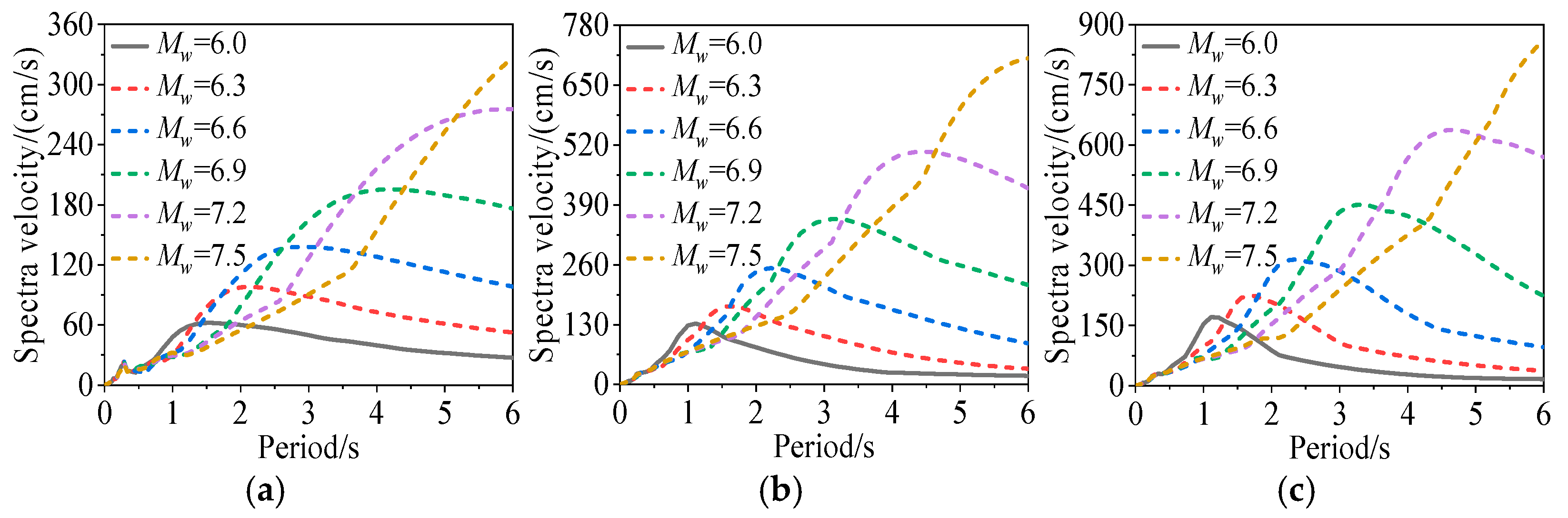
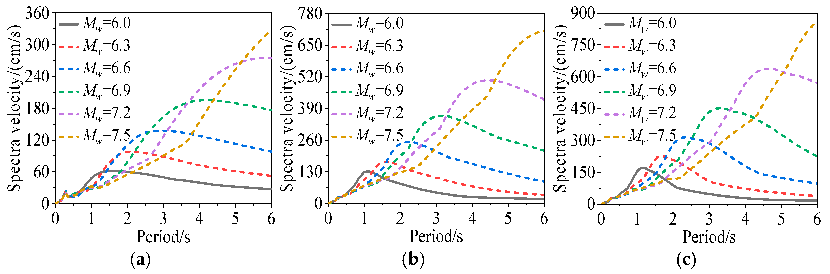
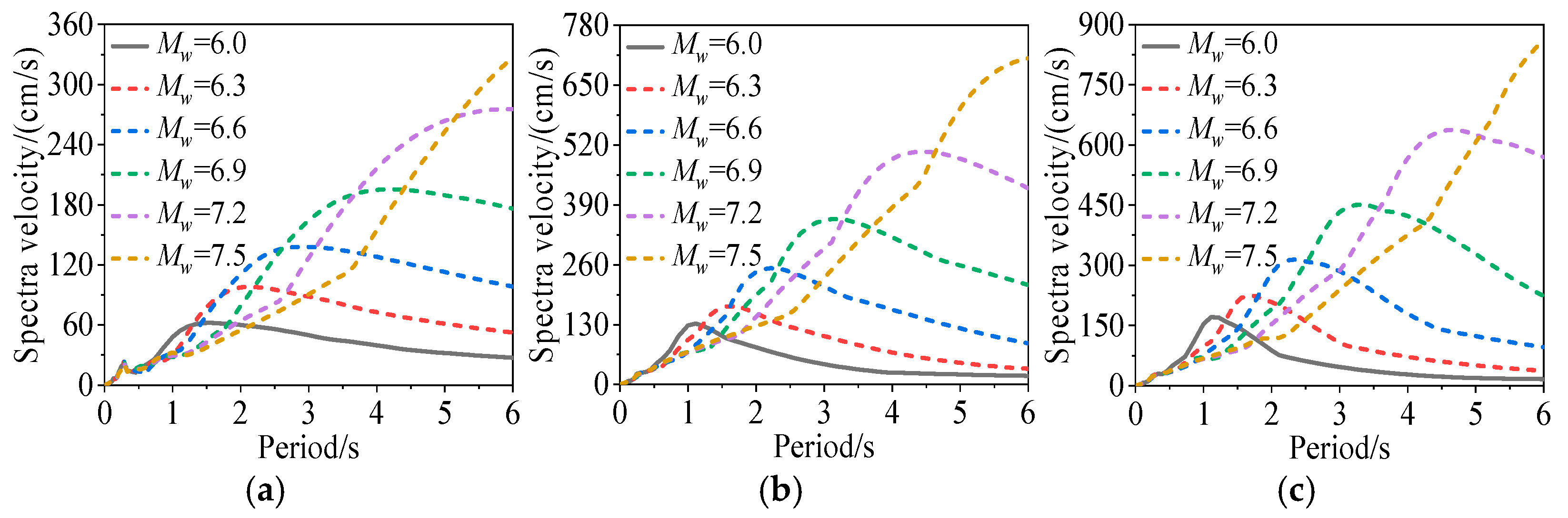
Figure 15 compares influences of the moment magnitude on dynamic responses of the arch rib. Obviously, the moment magnitude shows varying influences on dynamic responses in each critical section of the arch rib. Under single- and three-half wave pulses, lateral displacement and the out-of-plane bending moment and shear force grow at first, and then reduce as the moment magnitude rises, with the maximum response found under Mw = 7.2. However, under the double-half wave pulse, the dynamic response of the arch rib consistently improves with the increase in moment magnitude. In this case, the maximum values of lateral displacement, out-of-plane shear force, and moment of the arch rib are 7.7, 3.6, and 5.4 times higher than the minimum values, respectively. This is primarily because the low-frequency pulse period and pulse amplitude of the NFGMs increase with the rising moment magnitude [40].
Figure 15.
Effects of moment magnitude on dynamic responses of arch rib. (a) Lateral displacement. (b) Out-of-plane shear force. (c) Out-of-plane bending moment.
Figure 16 compares the response spectra for ground motions with different moment magnitudes. These observations suggest that with an increase in the moment magnitude, the response spectra curves for these three types of pulse-like records progressively shift from a short-period to a long-period segment, with a gradual increase in the peak value of the response spectra. Given that the fundamental period of the bridge is more approximated to the long-period pulse, records with larger moment magnitudes are more likely to trigger the fundamental vibration mode, thereby significantly amplifying dynamic responses of the structure.
Figure 16.
Comparison of response spectra for ground motions with different moment magnitudes. (a) Single-; (b) double-; (c) and three-half wave pulses.
5.3. Effects of Pulse Superposition Effect
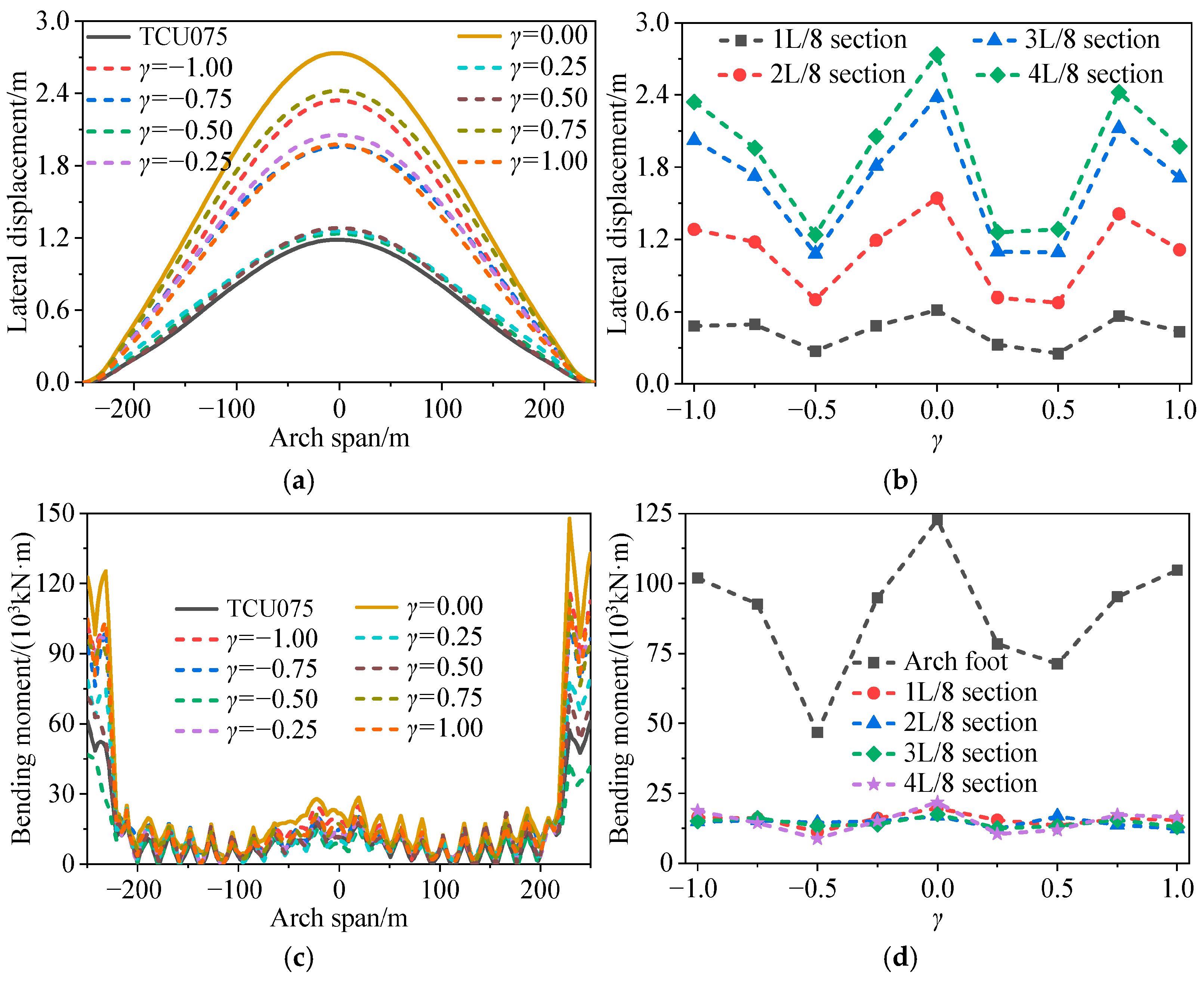
Given the intricate nature of fault rupture mechanisms, the fault types typically exhibit characteristics of both strike- and dip-slip ruptures. This duality can readily induce NFGM pulses that possess both the fling-step and forward-directivity effects, thereby resulting in a pulse superposition effect. Consequently, the composite NFGM is synthesized by superimposing a double-half wave pulse record, which embodies forward directivity, onto the base wave of the fling-step effect, specifically for record TCU075-EW.
The procedure used for synthesizing ground motion is shown in Figure 17. The pulse period of the selected double-half wave ground motion is set to match the first-order natural vibration period of the structure. The pulse shows a peak velocity identical to the base wave record TCU075-EW. The delay parameter γ is defined as γ = t/Tp, where t and Tp separately represent the delay time of the peak pulse and the pulse period of the base wave. The delay parameter γ is varied from −1.0 to 1.0 in increments of 0.25, which signifies that the forward-directivity pulse can precede, coincide with, or lag behind the fling-step pulse.
Figure 17.
Near-fault synthetic ground motion with the pulse superposition effect.
Figure 18 compares influences of the pulse superposition effect during dynamic responses of the arch rib. Evidently, the superposition of the two types of pulse effect results in more-intense dynamic responses when the forward-directivity pulse precedes or lags behind the fling-step pulse as compared to that induced by single-pulse ground motion. The structure exhibits the most pronounced dynamic responses when peaks of the two ground motion pulses arrive at the same time. Different from the results obtained from actual ground motion for TCU075-EW, the lateral displacement of the vault increases by 130.5%, and the out-of-plane bending moment of the arch foot enlarges by 55.3%. Therefore, in seismic design of large-span arch bridges in near-fault zones, the impact of the pulse superposition effect needs to be fully considered to prevent underestimation of dynamic responses of the structure.
Figure 18.
Effects of pulse superposition effect on dynamic responses of arch rib. (a) Lateral displacement of arch rib and (b) critical sections. (c) Out-of-plane bending moment of arch rib and (d) critical sections.
6. Conclusions
In this study, three sets of near-fault PLGMs are selected to investigate the impact of pulse characteristics on the dynamic response of a large-span CFST arch bridge. An NFGM synthesis method is developed, which comprehensively considers the pulse type, the seismic source, and the site characteristics. Influences of typical characteristic parameters of NFGMs are thoroughly discussed. The following conclusions are obtained:
(1) Compared to nonpulse-like ground motions with the same PGA, pulse-like ground motions have a significant amplification effect on the seismic response of the long-span arch bridge, particularly for fling-step pulses. The seismic displacement and force responses have maximum increments of 4.9 times and 5.3 times, respectively, which should be considered in the seismic design of arch bridges.
(2) Three types of pulse models are capable of accurately simulating the key characteristics of NFGMs. Dynamic responses of the bridge caused by NFGMs synthesized using the same pulse type closely align with the calculated results derived from actual ground motions. Consequently, NFGMs can be categorized and fitted according to pulse type to enhance the accuracy of PLGM synthesis.
(3) The pulse type, fault distance, and moment magnitude all significantly affect dynamic responses of large-span arch bridges. The three-half wave pulse causes the most pronounced dynamic responses of the bridge, followed by the double-half wave pulse, with the single-half wave pulse yielding the smallest response. The structural dynamic response diminishes as the fault distance increases, whereas it exhibits a monotonically increasing trend with the escalating moment magnitude.
(4) The pulse superposition effect can significantly amplify the dynamic response of long-span arch bridges. While the full synthesis of dual-pulse ground motions requires advanced modeling, the observed amplification (up to 2.3×) indicates that the adverse influence of the pulse superposition effect must be adequately considered in the seismic design of arch bridges located in near-fault regions to prevent underestimation of structural seismic demands.
7. Future Work
This study investigates the effects of NFGM on the seismic performance of the long-span CFST arch bridges through nonlinear dynamic time-history analysis. However, the current FEM does not account for soil-structure interaction (SSI) effects, nor does it include comprehensive mesh sensitivity or convergence analyses. In subsequent research, adaptive mesh techniques or multi-scale modeling approaches will be employed to evaluate numerical convergence and computational accuracy systematically. Furthermore, reference [41] successfully captured the realistic dynamic response of structures with complex foundation conditions through a refined 3D SSI model that incorporates nonlinear effects such as collisions between adjacent structures. This provides an important reference for future work. Moving forward, a comprehensive whole-bridge numerical model incorporating SSI and potential pounding effects will be developed. Additionally, probabilistic seismic hazard analysis will be integrated with the PLGM simulation method to more accurately assess the seismic resilience of the long-span CFST arch bridges under near-fault earthquakes.
Author Contributions
Conceptualization, J.S. and D.Y.; methodology, K.Z. and M.Y.; software, H.H. and M.Y.; validation, J.S. and D.Y.; formal analysis, H.S.; investigation, H.H.; resources, M.Y.; data curation, K.Z.; writing—original draft preparation, J.S.; writing—review and editing, D.Y.; visualization, H.H.; supervision, H.S.; project administration, M.Y.; funding acquisition, J.S. All authors have read and agreed to the published version of the manuscript.
Funding
This work was supported by the Science and Technology Innovation 2025 Major Project of Ningbo (Grant No. 2021Z100, 2022Z188) and the Research Startup Project of Ningbo University of Technology (Grant No. ZX2025000122). The authors gratefully acknowledge their financial support.
Data Availability Statement
The data presented in this study are available from the first and corresponding authors upon request. The data are not publicly available due to the policy of the data provider.
Conflicts of Interest
The authors declare that they have no known competing financial interests or personal relationships that could have appeared to influence the work reported in this paper.
References
- Zheng, J. Recent construction technology innovations and practices for large-span arch bridges in China. Engineering 2024, 41, 110–129. [Google Scholar] [CrossRef]
- Han, X.; Han, B.; Xie, H.; Yan, W.; Yu, J.; He, Y.; Yan, L. Seismic stability analysis of the large-span concrete-filled steel tube arch bridge considering the long-term effects. Eng. Struct. 2022, 268, 114744. [Google Scholar] [CrossRef]
- Xu, L.; Xu, L.; Zhou, J.; Yuan, M.; Pan, R. Seismic analysis of large-span CFST arch bridge considering the stress accumulation effect. J. Constr. Steel. Res. 2025, 228, 109432. [Google Scholar] [CrossRef]
- Liang, X.; Xing, Y. Shaking table test on the seismic behavior of a long-span RC deck-type arch bridge under tri-directional ground motions. J. Bridge Eng. 2025, 30, 04025053. [Google Scholar] [CrossRef]
- Shi, J.; Zhou, J.; Xu, L.; He, H.; Jin, S.; Xu, L. Seismic optimization design method of long-span concrete-filled steel tubular arch bridge based on energy-dissipation brace under near-fault ground motions. Int. J. Struct. Stab. Dyn. 2025, 2650243. [Google Scholar] [CrossRef]
- Chen, L.; Zhuang, W.; Zhao, H. Report on Highways’ Damage in the Wenchuan Earthquake: Bridge; China Communications Press: Beijing, China, 2012. (In Chinese) [Google Scholar]
- Kawashima, K.; Buckle, I. Structural performance of bridges in the Tohoku-Oki earthquake. Earthq. Spectra 2013, 29, 315–338. [Google Scholar] [CrossRef]
- Kenji, K.; Hendra, S.; Masakatsu, M.; Yusuke, O.; Masaho, Y. Damage to Teluk Palu Bridge in the 2018 Sulawesi earthquake, Indonesia. MATEC Web Conf. 2020, 331, 02003. [Google Scholar] [CrossRef]
- Xin, J.; Tang, Q.; Zhou, J.; Zhou, Y.; Luo, C.; Jiang, Y. A novel method for calculating the ultimate bearing capacity of in-service RC arch bridges using sectional constitutive relation. Appl. Math. Model. 2025, 138, 115829. [Google Scholar] [CrossRef]
- Jin, S.; Ai, P.; Zhou, J.; Bai, J. Seismic performance of an assembled self-centering buckling-restrained brace and its application in arch bridge structures. J. Constr. Steel Res. 2022, 199, 107600. [Google Scholar] [CrossRef]
- Xin, J.; Tao, G.; Tang, Q.; Zou, F.; Xiang, C. Structural damage identification method based on Swin Transformer and continuous wavelet transform. Intell. Robot. 2024, 4, 200–215. [Google Scholar] [CrossRef]
- Zou, Y.; Wang, D.; Li, X.; Tong, L.; Hui, Y.; Ge, X. Seismic performance assessment and retrofitted by buckling-restrained braces for half-through concrete-filled steel tubular arch bridge with the vertical suspended deck system. Adv. Struct. Eng. 2025, 28, 642–657. [Google Scholar] [CrossRef]
- Xin, L.; Li, X.; Zhang, Z.; Zhao, L. Seismic behavior of long-span concrete-filled steel tubular arch bridge subjected to near-fault fling-step motions. Eng. Struct. 2019, 180, 148–159. [Google Scholar] [CrossRef]
- Liu, Z.; Zhang, S. Influence of strong spatially varying near fault ground motion on steel box arch bridge. Bull. Earthq. Eng. 2021, 19, 224–255. [Google Scholar] [CrossRef]
- Zhang, L.; Xu, L. Damage pattern analysis of large-span CFST arch bridge under near-fault earthquakes. Earthq. Eng. Eng. Dyn. 2020, 40, 204–215. Available online: https://dzgc.paperonce.org/#/digest?ArticleID=2705 (accessed on 12 September 2025).
- Zhou, T.; Jiang, L.; Xiang, P.; Lai, Z.; Zhang, Y.; Liu, X. Effects of near-fault pulse-type ground motions on high-speed railway simply supported bridge and pulse parameter analysis. Bull. Earthq. Eng. 2022, 20, 6167–6192. [Google Scholar] [CrossRef]
- Lei, H.; Feng, H.; Liu, W. Study on train safety control of high-speed railway bridge under the action of near-fault earthquake. Adv. Bridge Eng. 2024, 5, 20–47. [Google Scholar] [CrossRef]
- Makris, N.; Chang, S. Effect of viscous, viscoplastic and friction damping on the response of seismic isolated structures. Earthq. Eng. Struct. Dyn. 2000, 29, 85–107. [Google Scholar] [CrossRef]
- Menun, C.; Fu, Q. An analytical model for near-fault ground motions and the response of SDOF systems. In Proceedings of the Seventh U.S. National Conference on Earthquake Engineering: Urban Earthquake Risk, Boston, MA, USA, 21–25 July 2002. [Google Scholar]
- Hoseini, V.; Sharbatdar, M.; Ghodrati, A.; Naderpour, H.; Kheyroddin, A. Dominant pulse simulation of near fault ground motions. Earthq. Eng. Eng. Vib. 2013, 12, 267–278. [Google Scholar] [CrossRef]
- Tian, Y.; Yang, Q.; Lu, M. Simulation method of near-fault pulse-type ground motion. Acta Seismol. Sin. 2007, 29, 77–84. [Google Scholar] [CrossRef]
- Dabaghi, M.; Kiureghian, A. Stochastic model for simulation of near-fault ground motions. Earthq. Eng. Struct. Dyn. 2017, 46, 963–984. [Google Scholar] [CrossRef]
- Panchal, V.; Jangid, R. Variable friction pendulum system for near-fault ground motions. Struct. Control Health Monit. 2008, 15, 568–584. [Google Scholar] [CrossRef]
- Zahra, M.; Seyed, R.; Ehsan, D. An approach for estimating the response of steel moment resisting frames to pulse-like ground motions. Soil Dyn. Earthq. Eng. 2021, 151, 106991. [Google Scholar] [CrossRef]
- Li, S.; Zhang, F.; Wang, J.; Alam, M.; Zhang, J. Effects of near-fault motions and artificial pulse-type ground motions on super-span cable-stayed bridge systems. J. Bridge Eng. 2017, 22, 4016128. [Google Scholar] [CrossRef]
- Xu, L.; Xu, L.; Xie, D.; Zhou, J. Seismic risk assessment methodology for large-span CFST arch bridges in near-fault areas based on fragility analysis. Struct. Saf. 2025, 118, 102656. [Google Scholar] [CrossRef]
- Han, L. Concrete Filled Steel Tubular Structures: Theory and Practice, 3rd ed.; Science Press: Beijing, China, 2016. (In Chinese) [Google Scholar]
- Yu, J.; Zhou, W.; Jiang, L.; Yan, W.; Luo, Q.; Liang, F.; Liu, X. Amplitude response spectrum of seismic-induced track irregularity considering damping ratio. Eng. Struct. 2023, 293, 116702. [Google Scholar] [CrossRef]
- JTG/T 2231-01-2020; Specifications for Seismic Design of Highway Bridges. China Communications Press: Beijing, China, 2020. (In Chinese)
- Yazdani, M.; Jahangir, V.; Marefat, M. Seismic performance assessment of plain concrete arch bridges under near-field earthquakes using incremental dynamic analysis. Eng. Fail. Anal. 2019, 106, 104170. [Google Scholar] [CrossRef]
- Ye, D.; Zhou, J.; Zhang, R.; Xu, L.; Jin, S. Stayed buckle cable recycling for seismic upgrading of super-long-span concrete filled steel tube arch bridges. KSCE J. Civ. Eng. 2024, 28, 777–786. [Google Scholar] [CrossRef]
- Baker, W. Quantitative classification of near-fault ground motions using wavelet analysis. Bull. Seismol. Soc. Am. 2007, 97, 1486–1501. [Google Scholar] [CrossRef]
- TB 10091-2017; Code for Design on Steel Structure of Railway Bridge. China Railway Press: Beijing, China, 2017. (In Chinese)
- Ghahari, F.; Jahankhah, H.; Ghannad, M. Study on elastic response of structures to near-fault ground motions through record decomposition. Soil Dyn. Earthq. Eng. 2010, 30, 536–546. [Google Scholar] [CrossRef]
- Zeng, C.; Jiang, H.; Song, G.; Li, C.; Zhao, X.; Ren, Y.; Xue, Z. Quantitative classification of velocity pulse-like ground motions based on an adaptive response spectrum-based decomposition method. Soil Dyn. Earthq. Eng. 2024, 177, 108419. [Google Scholar] [CrossRef]
- Somerville, P. Development of an improved representation of near fault ground motions. In Seminar on Utilization of Strong-Motion Data; SUSMD: Oakland, CA, USA, 1998. [Google Scholar]
- Mavroeidis, G. A mathematical representation of near-fault ground motions. Bull. Seismol. Soc. Am. 2003, 93, 1099–1131. [Google Scholar] [CrossRef]
- Xin, J.; Mo, X.; Jiang, Y.; Tang, Q.; Zhang, H.; Zhou, J. Recovery method of continuous missing data in the bridge monitoring system using SVMD-Assisted TCN-MHA-BiGRU. Struct. Control Health Monit. 2025, 2025, 8833186. [Google Scholar] [CrossRef]
- Wu, Y.; Wang, J.; Gao, Y.; Yang, S.; Liao, Y.; Luo, B. Shaking table test of arch bridge inverted siphon considering different pulse parameters of near-fault ground motions. Eng. Struct. 2025, 327, 119619. [Google Scholar] [CrossRef]
- Asgari, A.; Bagheri, M.; Hadizadeh, M. Advanced seismic analysis of soil-foundation-structure interaction for shallow and pile foundations in saturated and dry deposits: Insights from 3D parallel finite element modeling. Structures 2024, 69, 107503. [Google Scholar] [CrossRef]
- Bagheri, M.; Malidarreh, N.; Ghaseminejad, V.; Asgari, A. Seismic resilience assessment of RC superstructures on long-short combined piled raft foundations: 3D SSI modeling with pounding effects. Structures 2025, 81, 110176. [Google Scholar] [CrossRef]
Disclaimer/Publisher’s Note: The statements, opinions and data contained in all publications are solely those of the individual author(s) and contributor(s) and not of MDPI and/or the editor(s). MDPI and/or the editor(s) disclaim responsibility for any injury to people or property resulting from any ideas, methods, instructions or products referred to in the content. |
© 2025 by the authors. Licensee MDPI, Basel, Switzerland. This article is an open access article distributed under the terms and conditions of the Creative Commons Attribution (CC BY) license (https://creativecommons.org/licenses/by/4.0/).



















