Sign in to use this feature.

Years

Between: -

Subjects

remove_circle_outline
remove_circle_outline
remove_circle_outline
remove_circle_outline
remove_circle_outline
remove_circle_outline
remove_circle_outline
remove_circle_outline
remove_circle_outline

Journals

remove_circle_outline
remove_circle_outline
remove_circle_outline
remove_circle_outline
remove_circle_outline
remove_circle_outline
remove_circle_outline
remove_circle_outline
remove_circle_outline
remove_circle_outline
remove_circle_outline
remove_circle_outline
remove_circle_outline
remove_circle_outline

Article Types

Countries / Regions

remove_circle_outline
remove_circle_outline
remove_circle_outline
remove_circle_outline
remove_circle_outline

Search Results (881)

Search Parameters:
Keywords = wet preparation method

Order results
Result details
Results per page
Select all
Export citation of selected articles as:
23 pages, 3746 KB  
Article
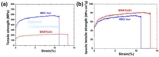
Preparation of Boron Nitride Nanotube/Aluminum Matrix Composites and Their Application in Automotive Connecting Rods
by Yong Huang, Bingzhan Zhang, Han Zhao, Qingtao Li and Jianbo Bi
Materials 2026, 19(1), 48; https://doi.org/10.3390/ma19010048 - 22 Dec 2025
Abstract
In order to address the urgent demand for high-performance materials in the field of automotive lightweighting, there is a need for solutions to the interface instability and performance degradation of traditional reinforcing phases (e.g., SiC, CNT) at elevated temperatures. The present study prepared [...] Read more.
In order to address the urgent demand for high-performance materials in the field of automotive lightweighting, there is a need for solutions to the interface instability and performance degradation of traditional reinforcing phases (e.g., SiC, CNT) at elevated temperatures. The present study prepared BNNTs/Al composites via the stirred casting method for automotive connecting rods. The microstructure, interface characteristics, phase evolution, and high-temperature wettability were systematically characterised using a range of analytical techniques, including SEM, TEM, XRD, and DSC. A study was conducted to assess the mechanical properties of the composites in comparison to those of conventional 40Cr steel. This investigation enabled an evaluation of the material’s comprehensive performance for use in automotive connecting rods. The study successfully achieved uniform dispersion of BNNTs within the aluminium matrix, forming tightly bonded, semi-coherent interfaces such as Al/AlN and Al/AlB2. It was found that complete wetting was achieved at 675 °C, with interface reactions generating AlN and AlB2 phases that significantly enhanced performance. The prepared connecting rod demonstrates a specific strength that significantly exceeds that of 40Cr steel. The experimental investigation conducted in a controlled setting yielded notable outcomes. The empirical evidence demonstrated a 6.5% enhancement in braking performance and a 5.8% reduction in fuel consumption. Through the optimisation of interface design and process control, the BNNTs/Al composite achieves a balanced compromise between high strength, low density, and excellent thermal stability. The material’s potential for use in lightweight automotive connecting rods is significant, offering a novel approach to the eco-friendly manufacturing of related components. Full article
(This article belongs to the Section Metals and Alloys)
Show Figures

Figure 1

21 pages, 1121 KB  
Review
A Review on the Application of Near-Infrared Technology for Monitoring and Control of Food Fermentation Process
by Ao Zhang, Yanhua Liu, Chao Yu, Mengting Yu, Xu Yang, Bingning Gao, Chenyu Yang, Jianye Xia, Yu Zheng, Jia Song and Min Wang
Fermentation 2026, 12(1), 4; https://doi.org/10.3390/fermentation12010004 - 20 Dec 2025
Viewed by 180
Abstract
The optimization and control of the food fermentation process, which are vital for consistent product quality, are often hindered by the limitations of conventional analytical methods. Conventional wet-chemistry methods for food fermentation process analysis are slow, expensive, and require significant reagents and skilled [...] Read more.
The optimization and control of the food fermentation process, which are vital for consistent product quality, are often hindered by the limitations of conventional analytical methods. Conventional wet-chemistry methods for food fermentation process analysis are slow, expensive, and require significant reagents and skilled personnel. Near-infrared (NIR) spectroscopy is a powerful tool for non-destructive analysis of fermentation processes, with key advantages of speed, cost-effectiveness, minimal sample preparation, and reagent-free operation. This review provides an overview of the fundamental principles of NIR, the importance of chemometrics for building robust calibration models, and its application in the food fermentation process. Furthermore, this review also critically evaluates the challenges and opportunities of using NIR spectroscopy for fermentation process analysis and control. This review aims to provide novel insights into the application of NIR spectroscopy in the food fermentation industry, improving the process control and quality assurance for the intelligent transformation (from empirical control to AI-based control) of fermented foods. Full article
(This article belongs to the Special Issue Feature Review Papers on Fermentation for Food and Beverages 2025)
Show Figures

Figure 1

18 pages, 9321 KB  
Article
One-Step Ambient-Condition Synthesis of PEG- and PVA-Coated SPIONs: Morphological, Magnetic, and MRI Performance Assessment
by Laura Turilli, Angelo Galante, Franco D’Orazio, Valeria Daniele and Giuliana Taglieri
Nanomaterials 2025, 15(24), 1902; https://doi.org/10.3390/nano15241902 - 18 Dec 2025
Viewed by 179
Abstract
Superparamagnetic iron oxide nanoparticles (SPIONs) are commonly produced through wet-chemical methods that require high temperature and pressure and involve multiple synthesis steps. Our research group has developed an innovative, sustainable, and patented one-step aqueous synthesis operating at ambient temperature and pressure, enabling the [...] Read more.
Superparamagnetic iron oxide nanoparticles (SPIONs) are commonly produced through wet-chemical methods that require high temperature and pressure and involve multiple synthesis steps. Our research group has developed an innovative, sustainable, and patented one-step aqueous synthesis operating at ambient temperature and pressure, enabling the direct production of SPIONs in suspension. In this work, we investigated the extension of this method to obtain polymer-coated SPIONs for biomedical imaging applications. Two water-soluble and biocompatible polymers—poly(ethylene glycol) (PEG) and poly(vinyl alcohol) (PVA)—were selected and prepared into twelve samples varying in polymer concentration and iron precursor molarity. Each formulation was characterized and compared to bare SPIONs synthesized with the same approach using X-ray diffraction (XRD), Fourier transform infrared spectroscopy (FT-IR), transmission electron microscopy (TEM), and alternating gradient magnetometry (AGM). The results confirm that the one-step method yields polymer-coated nanoparticles with a cubic spinel magnetite core. PEG produced spherical, monodisperse particles (10–30 nm) exhibiting superparamagnetic behavior but lower magnetization values (1–5 emu/g). In contrast, PVA-coated nanoparticles showed a morphology dependent on polymer concentration and reagent molarity, while maintaining an average size of ~10 nm and superparamagnetic behavior, with magnetization comparable to bare SPIONs (25–50 emu/g). A preliminary MRI evaluation of a selected PVA-coated sample revealed relaxivity values of r1 = 0.12 mM−1 s−1 and r2 = 6.44 mM−1 s−1, supporting the potential of this synthesis route for imaging-oriented nanomaterials. Full article
Show Figures

Figure 1

15 pages, 7917 KB  
Article
Preparation and Performance Study of Bacterial Nanocellulose Yarns
by Liangyu Zhang, Yuanyuan Zhang, Xiaoling Wang, Lisha Zheng, Huanjian Yu, Yuanming Zhang, Shaoyang Liu and Wei Jiang
Textiles 2025, 5(4), 65; https://doi.org/10.3390/textiles5040065 - 5 Dec 2025
Viewed by 194
Abstract
This study investigated the preparation of bacterial nanocellulose yarn, a high-strength and high-modulus cellulose-based textile material. Compared with the previously used wet spinning and electrospinning methods, the film-cutting, drawing and twisting treatment method in this paper retains the natural structure of BNC. This [...] Read more.
This study investigated the preparation of bacterial nanocellulose yarn, a high-strength and high-modulus cellulose-based textile material. Compared with the previously used wet spinning and electrospinning methods, the film-cutting, drawing and twisting treatment method in this paper retains the natural structure of BNC. This can greatly transfer the high performance of BNC nanofibers to BNC yarns, making the mechanical properties of the prepared yarn much higher than those of the BNC yarns prepared by the above two methods. It was produced through a film-cutting and twisting process utilizing bacterial nanocellulose as the primary component. The effects of drafting and twisting on the characteristics and properties of the yarn were systematically examined. Comparative analyses were conducted between the bacterial nanocellulose yarn and conventional cotton yarn of equivalent fineness and twist in terms of appearance, tensile properties, frictional behavior, and bending resistance. Optimal tensile mechanical properties of the bacterial nanocellulose yarn were achieved at 1% elongation and a twist number of 160 r/20 cm, resulting in a breaking strength of 751.56 MPa and an elongation at break of 11.56%, surpassing those of cotton yarn of similar specifications. The spinnability assessment revealed a smooth surface for the bacterial nanocellulose yarn, characterized by low friction coefficient, robust bending resistance with a bending modulus of 718.76 GPa. These findings offer valuable empirical data and theoretical insights to guide the subsequent textile processing and utilization of bacterial nanocellulose yarn. Full article
Show Figures

Figure 1

19 pages, 5536 KB  
Article
Improved Dissolution of Poorly Water-Soluble Rutin via Solid Dispersion Prepared Using a Fluid-Bed Coating System
by Hien V. Nguyen, Nga Thi-Thuy Nguyen, Huong Kim-Thien Tran, Thuy Thi-Nhu Huynh, Vi Huyen-Bao Vo, Cuc Thi-Thu Le and Tushar Saha
Pharmaceutics 2025, 17(12), 1559; https://doi.org/10.3390/pharmaceutics17121559 - 3 Dec 2025
Viewed by 981
Abstract
Background/Objectives: Rutin, a bioactive flavonol glycoside known for its antioxidant, anti-inflammatory, and anticancer activities, faces limited clinical application due to its poor aqueous solubility and low oral bioavailability. This study aimed to enhance the dissolution of rutin by preparing solid dispersions (SDs) [...] Read more.
Background/Objectives: Rutin, a bioactive flavonol glycoside known for its antioxidant, anti-inflammatory, and anticancer activities, faces limited clinical application due to its poor aqueous solubility and low oral bioavailability. This study aimed to enhance the dissolution of rutin by preparing solid dispersions (SDs) using a fluid-bed coating system and formulating the resulting SDs into tablet dosage forms. Methods: Rutin was dissolved in methanol and sprayed onto various carriers, including lactose monohydrate, mannitol, microcrystalline cellulose, silicon dioxide, and calcium carbonate. Results: Among the carriers tested, lactose monohydrate produced the highest dissolution enhancement, achieving complete drug release within 15 min versus approximately 60% for free rutin. Further investigation into the effect of the rutin-to-lactose ratio on dissolution enhancement identified 1:10 as the most effective. Characterization by powder X-ray diffraction (PXRD) and differential scanning calorimetry (DSC) confirmed a marked reduction in rutin crystallinity, while scanning electron microscopy (SEM) revealed reduced particle size and successful adsorption onto the carrier. Fourier transformed infrared (FT-IR) analysis suggested hydrogen bonding interactions between rutin and lactose monohydrate, which contributed to improved dissolution. The optimal SD was incorporated into tablets containing 50 mg of rutin via wet granulation, and the inclusion of sodium lauryl sulfate further enhanced dissolution. Stability testing demonstrated that the optimized tablets maintained their dissolution profile after 6 months under accelerated conditions (40 °C and 75% RH). Conclusions: These findings indicate that fluid-bed coating is an effective approach for preparing SDs to improve the dissolution of rutin and may be extended to other natural polyphenolic compounds. Full article
Show Figures

Figure 1

23 pages, 4476 KB  
Article
Methanol Oxidation over Pd-Doped Co- and/or Ag-Based Catalysts: Effect of Impurities (H2O and CO)
by Eleni Pachatouridou, Angelos Lappas and Eleni Iliopoulou
Catalysts 2025, 15(12), 1129; https://doi.org/10.3390/catal15121129 - 2 Dec 2025
Viewed by 398
Abstract
The methanol oxidation reaction was investigated on Co- and/or Ag-based γ-Al2O3 catalysts, which were prepared by different methods (WI: wet impregnation and SI: spray impregnation) and further doped with noble metals (Pd, Pt). During the present study, three different reaction [...] Read more.
The methanol oxidation reaction was investigated on Co- and/or Ag-based γ-Al2O3 catalysts, which were prepared by different methods (WI: wet impregnation and SI: spray impregnation) and further doped with noble metals (Pd, Pt). During the present study, three different reaction pathways were revealed. The complete oxidation of methanol to CO2 and H2O was achieved on Pd-doped catalysts prepared by the spray impregnation method (Pd-Co/Al-SI and Pd-Ag/Al-SI), while partial oxidation to intermediates such as formaldehyde was observed for Ag/alumina catalysts. The dehydration reaction of methanol to dimethyl ether was carried out on Co/alumina, Ag-Co/alumina, and Pt-Co/alumina catalysts. The improved reducibility of the 5Co/Al-SI catalyst with the incorporation of Pd, combined with the easier surface oxygen desorption, resulted in higher catalytic activity compared to the Pt-doped catalyst. On the other hand, the incorporation of Pd into Ag/Al-SI enhanced the well-dispersed Ag2O species, mainly affecting the structural properties of the catalyst, thus resulting in partial oxidation of methanol. The 0.5 wt.% Pd-5 wt.% Co/γ-Al2O3 catalyst, prepared by the spray impregnation method, exhibited the highest methanol oxidation efficiency (T50: 43 °C) and was further evaluated in the presence of H2O and CO in the feed for several hours on stream and at reaction temperature of 230 °C. The presence of impurities initially reduced the catalyst’s activity from 100% methanol conversion (in the absence of H2O and CO in the feed) to 80%; however, over time complete methanol oxidation was regained (achieving again 100% methanol conversion after 12 h on stream). Characterization of the used catalyst (after the stability experiment) revealed that in addition to the Co3O4 phase, initially formed in the fresh, as-prepared catalyst, some Co3O4 species were reduced to CoO under the reaction conditions, suggesting that the active phase of the 0.5Pd-5Co/Al-SI catalyst for the methanol oxidation reaction in the presence of the impurities (such as H2O and CO) is probably a mixture of Co3O4 and CoO phases. Full article
(This article belongs to the Section Environmental Catalysis)
Show Figures

Graphical abstract

16 pages, 4276 KB  
Article
One-Step Synthesis and Performance Evaluation of a Sucrose–Glyoxylic Acid Wood Adhesive
by Jiankun Liang, Yuqi Yang, Longxu Wu, Ningyuan Zuo, Qiuli Li, Tong Meng, Chuchu Chen, Huali Li, Caihong Long, Zhixian Song, Yulan Jian, De Li and Zhigang Wu
Materials 2025, 18(23), 5386; https://doi.org/10.3390/ma18235386 - 28 Nov 2025
Viewed by 343
Abstract
Environmental and health concerns drive research into sustainable bio-based wood adhesives. This study utilized widely available and economical sucrose and glyoxylic acid as raw materials to prepare a wood adhesive via a one-step method. The effects of glyoxylic acid content on the adhesive [...] Read more.
Environmental and health concerns drive research into sustainable bio-based wood adhesives. This study utilized widely available and economical sucrose and glyoxylic acid as raw materials to prepare a wood adhesive via a one-step method. The effects of glyoxylic acid content on the adhesive structure, properties, and plywood application performance were statistically investigated. The results demonstrated successful esterification and acetalizations between glyoxylic acid and sucrose, forming a dense three-dimensional cross-linked network that enhanced bonding performance, water resistance, and thermal stability. At 40% glyoxylic acid content, the adhesive exhibited optimal comprehensive properties: the wet shear strengths of 1.39 MPa (63 °C) and 1.17 MPa (93 °C) that substantially exceeded GB/T 17657-2022 requirements. This study provides novel insights and a practical foundation for high-value sucrose utilization and green wood adhesive development. Full article
Show Figures

Figure 1

21 pages, 2296 KB  
Article
Engineering Porous Biochar for Electrochemical Energy Storage
by Cheikh Ahmadou Bamba Diop, Déthié Faye, Momath Lo, Dahbia Bakiri, Huifeng Wang, Mohamed El Garah, Vaishali Sharma, Aman Mahajan, Mohamed Jouini, Diariatou Gningue-Sall and Mohamed M. Chehimi
Surfaces 2025, 8(4), 87; https://doi.org/10.3390/surfaces8040087 - 28 Nov 2025
Viewed by 411
Abstract
In recent years, porous carbon-based materials have demonstrated their potential as electrode materials, particularly as supercapacitors for energy storage. The specific capacitance of a carbon-based material is strongly influenced by its porosity. Herein, activated biochar (BCA) from millet was prepared using ZnCl2 [...] Read more.
In recent years, porous carbon-based materials have demonstrated their potential as electrode materials, particularly as supercapacitors for energy storage. The specific capacitance of a carbon-based material is strongly influenced by its porosity. Herein, activated biochar (BCA) from millet was prepared using ZnCl2 as an activator at temperatures of 400, 700, and 900 °C. Activation was achieved through wet and dry impregnation of millet bran powder particles. The porosity of BCAs was assessed by determining the iodine and methylene blue numbers (NI and NMB, respectively), which provide information on microporosity and mesoporosity, respectively. Characterization of the BCAs was carried out using Raman spectroscopy, X-ray diffraction, X-ray photoelectron spectroscopy, and cyclic voltammetry. The data show that the BCA prepared at 700 °C following dry impregnation, P700(p), has the highest NI and the highest geometric mean value (ñ=NI×NMB ), a descriptor we introduce to characterize the overall porosity of the biochars. P700(p) biochar exhibited remarkable electrochemical properties and a maximum specific capacitance of 440 F g−1 at a current density of 0.5 A g−1, in the three-electrode configuration. This value drops to 110 F g−1, in the two-electrode configuration. The high specific capacitance is not due to ZnO, but essentially to the textural properties of the biochar (represented by ñ descriptor), and possibly but to a lesser extent to small amounts of Zn2SiO4 left over in the biochar. Moreover, the capacitance retention increases with cycling, up to 130%, thus suggesting electrochemical activation of the biochar during the galvanostatic charge-discharge process. To sum up, the combination of pyrolysis temperature and the method of impregnation permitted to obtaining of a porous biochar with excellent electrochemical properties, meeting the requirements of supercapacitors and batteries. Full article
(This article belongs to the Special Issue Surface Science in Electrochemical Energy Storage)
Show Figures

Figure 1

14 pages, 3477 KB  
Article
CoRu Alloy/Ru Nanoparticles: A Synergistic Catalyst for Efficient pH-Universal Hydrogen Evolution
by Xinrui Song, Jiaqi Liu, Tianzhan Shen, Sirui Wu, Haibo Ouyang and Yongqiang Feng
Catalysts 2025, 15(12), 1106; https://doi.org/10.3390/catal15121106 - 27 Nov 2025
Viewed by 492
Abstract
Fullerenes were modified into fulleramines by the wet chemical method, and then a CoRu/CNB bimetallic catalyst with defect-rich carbon-coated CoRu alloy and Ru NPs anchored on N- and B-doped carbon, promoting full pH hydrogen evolution, was prepared by condensation reflux and pyrolysis. Structural [...] Read more.
Fullerenes were modified into fulleramines by the wet chemical method, and then a CoRu/CNB bimetallic catalyst with defect-rich carbon-coated CoRu alloy and Ru NPs anchored on N- and B-doped carbon, promoting full pH hydrogen evolution, was prepared by condensation reflux and pyrolysis. Structural analysis indicates that the carbon layer endows the catalyst with excellent acid/alkali corrosion resistance, and the defect-rich characteristics expose more active sites. This catalyst only requires overpotentials of 21, 33, and 56 mV to drive HER to a current density of 10 mA cm−2 in alkaline, acidic, and neutral solutions, featuring a rapid kinetic process and a large electrochemically active surface area. The synergistic effect of CoRu alloy and Ru NPs promotes charge redistribution and accelerates electron transfer, enabling CoRu/CNB to exhibit electrochemical activity and stability far exceeding that of commercial Pt/C in 1 M KOH, 0.5 M H2SO4, and 1 M PBS media. Full article
(This article belongs to the Special Issue Catalysis Accelerating Energy and Environmental Sustainability)
Show Figures

Graphical abstract

13 pages, 554 KB  
Article
Validation of Digital Slide Scanning and a Convolutional Neural Network for the Detection of Intestinal Parasites in Human Stool Samples
by Céline Büschlen, Daniel Rotzer, Nadine Sidler, Ha Thu Trang Nguyen and Alexander Oberli
Diagnostics 2025, 15(23), 2974; https://doi.org/10.3390/diagnostics15232974 - 24 Nov 2025
Viewed by 533
Abstract
Background: Recent studies have shown that digital microscopy (DM) combined with a convolutional neural network (CNN) model is a valid approach for detecting intestinal protozoa and helminth ova or larvae in both trichrome-stained and wet-mount stool preparations. This study evaluated the diagnostic [...] Read more.
Background: Recent studies have shown that digital microscopy (DM) combined with a convolutional neural network (CNN) model is a valid approach for detecting intestinal protozoa and helminth ova or larvae in both trichrome-stained and wet-mount stool preparations. This study evaluated the diagnostic performance of a DM/CNN workflow for routine detection of intestinal parasites in a clinical microbiology laboratory. Methods: A clinical validation was conducted using the Grundium Ocus 40 scanner combined with the Techcyte Human Fecal Wet Mount (HFW) algorithm. The system was evaluated on (a) 135 reference samples and (b) 208 routine clinical samples submitted for intestinal parasite testing. Analytical sensitivity, precision, and limit of detection (LOD) were assessed. Results: For reference samples, the DM/CNN workflow achieved a positive slide-level agreement of 97.6% (95% CI: 94.4–100%), following a confidence threshold adjustment for Schistosoma mansoni, and a negative agreement of 96.0% (95% CI: 86.6–98.9%) compared with light microscopy (LM). Dilution series with reference samples revealed slightly lower analytical sensitivity of the DM/CNN at higher dilutions. Both intra- and inter-run precision studies demonstrated high reproducibility and stability. In prospective testing on 208 routine samples, overall agreement between DM/CNN and LM was 98.1% (95% CI: 95.2–99.2%) with a Cohen’s Kappa coefficient of κ = 0.915. Minor discrepancies involved Blastocystis spp., with DM/CNN showing slightly higher sensitivity. Conclusions: For the first time, we show that the combination of the Grundium Ocus 40 scanner and the Techcyte HFW algorithm provides a reliable, low-throughput screening solution that can effectively assist diagnostic technicians by pre-classifying putative parasitic structures for targeted expert review. Despite its lower throughput, the system substantially reduces the manual review process and simplifies the parasitological workflow. Implementation in a clinical microbiology laboratory requires extensive site-specific validation to account for differences in sample processing and imaging conditions. Moreover, optimization of confidence thresholds for specific classifiers is essential to ensure consistent analytical performance across different laboratory settings. Full article
Show Figures

Figure 1

44 pages, 6363 KB  
Review
Cracking the Sulfur Code: Garlic Bioactive Molecules as Multi-Target Blueprints for Drug Discovery
by Faizul Azam, Md Jamir Anwar, Jordan Kahfi, Suliman A. Almahmoud and Abdul-Hamid Emwas
Pharmaceuticals 2025, 18(11), 1766; https://doi.org/10.3390/ph18111766 - 20 Nov 2025
Viewed by 1222
Abstract
Garlic (Allium sativum L.) has served as a food source and medicinal agent for over thousands of years. Bioactive constituents, including allicin, diallyl sulfide/disulfide/trisulfide, ajoene, and S-allyl-cysteine, demonstrate antioxidant, anti-inflammatory, antithrombotic, antineoplastic, antimicrobial and neuroprotective properties. Convergent mechanistic evidence suggests the [...] Read more.
Garlic (Allium sativum L.) has served as a food source and medicinal agent for over thousands of years. Bioactive constituents, including allicin, diallyl sulfide/disulfide/trisulfide, ajoene, and S-allyl-cysteine, demonstrate antioxidant, anti-inflammatory, antithrombotic, antineoplastic, antimicrobial and neuroprotective properties. Convergent mechanistic evidence suggests the modulation of redox homeostasis, attenuation of pro-inflammatory signaling, regulation of platelet activation, and induction of apoptosis and cell-cycle arrest in tumor models. Computational studies, in conjunction with wet-lab data, offer molecular-level insights and guide candidate prioritization. Density functional theory elucidates radical-scavenging pathways and electronic descriptors that account for redox activity. Structure-based methods, including docking, molecular dynamics, and MM-GBSA, elucidate potential interactions between organosulfur scaffolds and enzymes or receptors pertinent to pharmacological effects. In silico ADME/Tox platforms predict generally favorable oral absorption for hydrophobic allyl sulfides, while polar derivatives exhibit more limited brain penetration. Emerging AI/ML pipelines combine network pharmacology with QSAR to focus on important targets and chemical types, while also spotting potential development. Formulation strategies, including nanoencapsulation and controlled-release systems, are utilized to stabilize labile thiosulfinates and modulate hydrogen-sulfide-releasing profiles, with potential applications in various disease conditions. Significant challenges encompass the standardization of preparations, variability in pharmacokinetics, heterogeneity in dose–response relationships, and interactions between drugs and nutrients or other drugs. The integration of mechanistic, computational, and formulation insights delineates a systematic approach to progress garlic-derived agents from diverse natural products to reproducible, mechanism-guided pharmaceuticals. Full article
Show Figures

Graphical abstract

16 pages, 1852 KB  
Article
Combined Effects of Lactic Acid Bacteria Fermentation and Physical Milling on Physicochemical Properties of Glutinous Rice Flour and Texture of Glutinous Dumplings
by Jingyi Zhang, Bin Hong, Shan Zhang, Di Yuan, Shan Shan, Qi Wu, Shuwen Lu and Chuanying Ren
Foods 2025, 14(22), 3882; https://doi.org/10.3390/foods14223882 - 13 Nov 2025
Viewed by 610
Abstract
This study investigated the combined effects of lactic acid bacteria (LAB) fermentation and different milling methods (wet, semi-dry, and dry) on the physicochemical properties of glutinous rice flour (GRF) and the texture of the final product. A systematic analysis of rice samples treated [...] Read more.
This study investigated the combined effects of lactic acid bacteria (LAB) fermentation and different milling methods (wet, semi-dry, and dry) on the physicochemical properties of glutinous rice flour (GRF) and the texture of the final product. A systematic analysis of rice samples treated with three LAB strains (Lactiplantibacillus plantarum CGMCC 1.12974, Limosilactobacillus fermentum CICC 22704, and Lactobacillus acidophilus CICC 22162) revealed that fermentation pretreatment created favorable conditions for subsequent physical milling by degrading the protein network and modifying the starch structure. The results demonstrated that fermentation combined with dry or semi-dry milling significantly improved the whiteness of GRF and the contents of γ-aminobutyric acid (GABA), total phenols, and total flavonoids, while reducing the contents of damaged starch (except in samples fermented with Lb. acidophilus) and protein by 2.91–12.43% and 17.80–32.09%, respectively. The functional properties of the GRF were also optimized: fermented flour exhibited higher peak viscosity, lower gelatinization temperature, and higher gelatinization enthalpy. Texture profile analysis revealed that glutinous dumplings prepared from fermented dry/semi-dry milled GRF, particularly those fermented with Lp. plantarum, showed significantly reduced hardness and chewiness, along with significantly improved cohesiveness and resilience. Consequently, their texture approximated that of high-standard wet-milled products. Correlation analysis based on the top ten discriminative features selected by random forest identified peak viscosity and breakdown viscosity as the most important positive factors associated with superior texture (high resilience, high cohesiveness, and low hardness), whereas damaged starch content and protein content were key negative correlates. In summary, this study confirms that the combination of fermentation and milling exerts a beneficial influence on the functional quality of GRF. Full article
(This article belongs to the Section Food Biotechnology)
Show Figures

Figure 1

21 pages, 3086 KB  
Review
Polymer-Based Artificial Solid Electrolyte Interphase Layers for Li- and Zn-Metal Anodes: From Molecular Engineering to Operando Visualization
by Jae-Hee Han and Joonho Bae
Polymers 2025, 17(22), 2999; https://doi.org/10.3390/polym17222999 - 11 Nov 2025
Viewed by 1390
Abstract
Metal anodes promise improvements in energy density and cost; however, their performance is determined within the first several nanometers at the interface. This review reports on how polymer-based artificial solid electrolyte interphases (SEIs) are engineered to stabilize Li and aqueous-Zn anodes, and how [...] Read more.
Metal anodes promise improvements in energy density and cost; however, their performance is determined within the first several nanometers at the interface. This review reports on how polymer-based artificial solid electrolyte interphases (SEIs) are engineered to stabilize Li and aqueous-Zn anodes, and how these designs are now evaluated against operando readouts rather than post-mortem snapshots. We group the related molecular strategies into three classes: (i) side-chain/ionomer chemistry (salt-philic, fluorinated, zwitterionic) to increase cation selectivity and manage local solvation; (ii) dynamic or covalently cross-linked networks to absorb microcracks and maintain coverage during plating/stripping; and (iii) polymer–ceramic hybrids that balance modulus, wetting, and ionic transport characteristics. We then benchmark these choices against metal-specific constraints—high reductive potential and inactive Li accumulation for Li, and pH, water activity, corrosion, and hydrogen evolution reaction (HER) for Zn—showing why a universal preparation method is unlikely. A central element is a system of design parameters and operando metrics that links material parameters to readouts collected under bias, including the nucleation overpotential (ηnuc), interfacial impedance (charge transfer resistance (Rct)/SEI resistance (RSEI)), morphology/roughness statistics from liquid-cell or cryogenic electron microscopy (Cryo-EM), stack swelling, and (for Li) inactive-Li inventory. By contrast, planar plating/stripping and HER suppression are primary success metrics for Zn. Finally, we outline parameters affecting these systems, including the use of lean electrolytes, the N/P ratio, high areal capacity/current density, and pouch-cell pressure uniformity, and discuss closed-loop workflows that couple molecular design with multimodal operando diagnostics. In this view, polymer artificial SEIs evolve from curated “recipes” into predictive, transferable interfaces, paving a path from coin-cell to prototype-level Li- and Zn-metal batteries. Full article
(This article belongs to the Special Issue Advanced Preparation and Characterization of Polymer-Based Thin Films)
Show Figures

Figure 1

26 pages, 1513 KB  
Review
Functional Coatings for Fiber Bragg Gratings: A Critical Review of Deposition Techniques for Embedded and Harsh-Environment Applications
by Cristian Vendittozzi, Emilia Di Micco, Michele A. Caponero and Rosaria D’Amato
Coatings 2025, 15(11), 1268; https://doi.org/10.3390/coatings15111268 - 2 Nov 2025
Viewed by 732
Abstract
Fiber Bragg Grating (FBG) sensors facilitate compact, multiplexed, and electromagnetic interference-immune monitoring in embedded and harsh environments. The removal of the polymer jacket, a measure taken to withstand elevated temperatures or facilitate integration, exposes the fragile glass. This underscores the necessity of functional [...] Read more.
Fiber Bragg Grating (FBG) sensors facilitate compact, multiplexed, and electromagnetic interference-immune monitoring in embedded and harsh environments. The removal of the polymer jacket, a measure taken to withstand elevated temperatures or facilitate integration, exposes the fragile glass. This underscores the necessity of functional coatings, which are critical for enhancing durability, calibrating sensitivity, and improving compatibility with host materials. This review methodically compares coating materials and deposition routes for FBGs, encompassing a range of techniques including top-down physical-vapor deposition (sputtering, thermal/e-beam evaporation, cathodic arc), bottom-up chemical vapor deposition (CVD)/atomic layer deposition (ALD), wet-chemical methods (sensitization/activation, electroless plating (EL), electrodeposition (ED)), fusion-based processes (casting and melt coating), and hybrid stacks (e.g., physical vapor deposition (PVD) seed → electrodeposition; gradient interlayers). The consolidation of surface-preparation best practices and quantitative trends reveals a comprehensive understanding of the interrelationships between coating material/stack, thickness/microstructure, adhesion, and sensitivity across a range of temperatures, extending from approximately 300 K to cryogenic regimes. Practical process windows and design rules are distilled to guide method selection and reliable operation across cryogenic and high-temperature regimes. Full article
Show Figures

Figure 1

26 pages, 6796 KB  
Article
The Green Preparation of ZrO2-Modified WO3-SiO2 Composite from Rice Husk and Its Excellent Oxidative Desulfurization Performance
by Hao Li, Xiaorong Xiang, Yinhai Zhang, Huiqing Cheng, Qian Chen, Xiang Li, Feng Wu and Xiaoxue Liu
Catalysts 2025, 15(10), 996; https://doi.org/10.3390/catal15100996 - 19 Oct 2025
Viewed by 821
Abstract
Recently, the resource utilization of agricultural biomass wastes for the preparation of a wide range of high-value-added chemicals and functional materials, especially heterogeneous catalysts, has received extensive attention from researchers. In this work, mesoporous WO3/ZrO2-SiO2 catalysts are prepared [...] Read more.
Recently, the resource utilization of agricultural biomass wastes for the preparation of a wide range of high-value-added chemicals and functional materials, especially heterogeneous catalysts, has received extensive attention from researchers. In this work, mesoporous WO3/ZrO2-SiO2 catalysts are prepared by a two-step incipient-wetness impregnation method using agricultural biomass waste rice husk (RH) as both the silicon source and mesoporous template. The effects of different WO3 and ZrO2 loadings on the oxidative desulfurization (ODS) performance of samples are investigated, and the suitable WO3 and ZrO2 loadings are 11 and 30%, respectively. The relevant characterization results indicate that, compared to 11%WO3/SiO2, the introduction of ZrO2 leads to the formation of stronger W-O-Zr bonds, which makes the tungsten species stabilized in the state of W6+. The strong preferential interaction between Zr and W facilitates the formation of stable and highly dispersed WOx clusters on the mesoporous ZrO2-SiO2 carrier. Furthermore, it also prevents the formation of WO3 crystallites, significantly reducing their content and thus inhibiting the loss of the WO3 component during cycling experiments. Therefore, the 11%WO3/30%ZrO2-SiO2 sample shows excellent catalytic activity and recycling performance (DBT conversion reaches 99.2% after 8 cycles, with a turnover frequency of 12.7 h–1; 4,6-DMDBT conversion reaches 99.0% after 7 cycles, with a turnover frequency of 6.3 h–1). The kinetics of the ODS reactions are further investigated. The mechanism of the ODS reaction is explored through experiments involving leaching, quenching, and the capture of the active intermediate. Finally, a possible reaction mechanism for the ODS process for the 11%WO3/30%ZrO2-SiO2 sample is proposed. Full article
(This article belongs to the Special Issue Heterogeneous Catalysis in China: New Horizons and Recent Advances)
Show Figures

Figure 1

Back to TopTop