Sign in to use this feature.

Years

Between: -

Subjects

remove_circle_outline
remove_circle_outline
remove_circle_outline
remove_circle_outline
remove_circle_outline
remove_circle_outline
remove_circle_outline
remove_circle_outline
remove_circle_outline

Journals

Article Types

Countries / Regions

Search Results (34)

Search Parameters:
Keywords = sustainable apiculture

Order results
Result details
Results per page
Select all
Export citation of selected articles as:
17 pages, 1082 KB  
Article
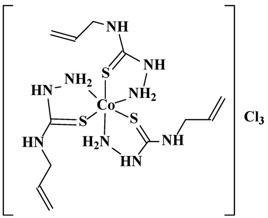
Tris[N-(prop-2-en-1-yl)hydrazinecarbothioamide]-Cobalt(III) Chloride as a Stimulator of the Total Antioxidant Status of Apis mellifera with Acaricidal Activity
by Olga Garbuz, Valeriu Fala, Gheorghe Bordeniuc, Vasilii Graur, Jenny Roy, Nadejda Railean, Victor Tsapkov, Veronica Sardari, Ion Toderas and Aurelian Gulea
Antioxidants 2026, 15(1), 18; https://doi.org/10.3390/antiox15010018 - 22 Dec 2025
Viewed by 401
Abstract
This study investigates the synthesis and potential applications of the coordination compound cobalt(III) complex tris[N-(prop-2-en-1-yl)hydrazinecarbothioamide]-cobalt(III) chloride ([Co(Tsc)3]Cl3). The complex has been synthesized via the reaction of cobalt(II) chloride hexahydrate with N-(prop-2-en-1-yl)hydrazinecarbothioamide in ethanol. Its antioxidant [...] Read more.
This study investigates the synthesis and potential applications of the coordination compound cobalt(III) complex tris[N-(prop-2-en-1-yl)hydrazinecarbothioamide]-cobalt(III) chloride ([Co(Tsc)3]Cl3). The complex has been synthesized via the reaction of cobalt(II) chloride hexahydrate with N-(prop-2-en-1-yl)hydrazinecarbothioamide in ethanol. Its antioxidant activity has been evaluated using 2,2′-azinobis-(3-ethylbenzothiazoline-6-sulfonic acid (ABTS) assay, demonstrating a significant effect with an IC50 of 7.3 µmol/L. Toxicity evaluations using Daphnia magna showed a low half maximal inhibitory concentration (LC50) of 56.3 µmol/L. Experimental results have showed that [Co(Tsc)3]Cl3 significantly elevated the total antioxidant status (TAS) of the hemolymph of honeybees and larvae, increasing it by 5 and 8 times, respectively. The IC50 values for antioxidant activity were 2.5 mg/mL in bee hemolymph and 1.3 mg/mL in larval hemolymph, notably lower than control values of 13.6 mg/mL and 10.0 mg/mL. The stimulatory effect of the coordination compound [Co(Tsc)3]Cl3 on TAS was five times higher than that of vitamin C. Additionally, [Co(Tsc)3]Cl3 exhibited acaricidal properties, effectively inhibiting Varroa destructor with an lethal concentration (LC50) of 0.2 µmol/L. These findings indicate that this cobalt complex could serve both a natural antioxidant and an effective acaricide, offering a promising approach to improv bee health and sustainability in apiculture. Full article
Show Figures

Figure 1

20 pages, 7370 KB  
Article
Hierarchical Deep Learning Framework for Mapping Honey-Producing Tree Species in Dense Forest Ecosystems Using Sentinel-2 Imagery
by Athanasios Antonopoulos, Tilemachos Moumouris, Vasileios Tsironis, Athena Psalta, Evangelia Arapostathi, Antonios Tsagkarakis, Panayiotis Trigas, Paschalis Harizanis and Konstantinos Karantzalos
Agronomy 2025, 15(12), 2858; https://doi.org/10.3390/agronomy15122858 - 12 Dec 2025
Viewed by 374
Abstract
The sustainability of apiculture within Mediterranean forest ecosystems is contingent upon the extent and health of melliferous tree habitats. This study outlines a five-year initiative (2020–2024) aimed at mapping and monitoring four principal honey-producing tree species—pine (Pinus halepensis and Pinus nigra), [...] Read more.
The sustainability of apiculture within Mediterranean forest ecosystems is contingent upon the extent and health of melliferous tree habitats. This study outlines a five-year initiative (2020–2024) aimed at mapping and monitoring four principal honey-producing tree species—pine (Pinus halepensis and Pinus nigra), Greek fir (Abies cephalonica), oak (Quercus ithaburensis subsp. macrolepis), and chestnut (Castanea sativa)—across Evia, Greece. This is achieved through the utilization of high-resolution Sentinel-2 satellite imagery in conjunction with a hierarchical deep learning framework. Distinct from prior vegetation mapping endeavors, this research introduces an innovative application of a hierarchical framework for species-level semantic segmentation of apicultural flora, employing a U-Net convolutional neural network to capture fine-scale spatial and temporal dynamics. The proposed framework first stratifies forests into broadleaf and coniferous types using Copernicus DLT data, and subsequently applies two specialized U-Net models trained on Sentinel-2 NDVI time series and DEM-derived topographic variables to (i) discriminate pine from fir within coniferous forests and (ii) distinguish oak from chestnut within broadleaf stands. This hierarchical decomposition reduces spectral confusion among structurally similar species and enables fine-scale semantic segmentation of apicultural flora. Our hierarchical framework achieves 92.1% overall accuracy, significantly outperforming traditional multiclass approaches (89.5%) and classical ML methods (76.9%). The results demonstrate the framework’s efficacy in accurately delineating species distributions, quantifying the ecological and economic impacts of the catastrophic 2021 forest fires, and projecting long-term habitat recovery trajectories. The integration of a novel hierarchical approach with Deep Learning-driven monitoring of climate- and disturbance-driven changes in honey-producing habitats marks a significant step towards more effective assessment and management of four major beekeeping tree species. These findings highlight the significance of such methodologies in guiding conservation, restoration, and adaptive management strategies, ultimately supporting resilient apiculture and safeguarding ecosystem services in fire-prone Mediterranean landscapes. Full article
(This article belongs to the Special Issue Digital Twins in Precision Agriculture)
Show Figures

Figure 1

15 pages, 867 KB  
Article
Comparative Evaluation of qPCR and Digital PCR for the Detection of Nosema ceranae in Honey Bees
by Cecilia Guasco, Paola Mogliotti, Roberto Zoccola, Maria Goria, Alessandro Gamberoni, Paola Ghisellini, Patrizia Garbati, Cristina Rando, Stefano Ottoboni, Raffaella Barbieri and Roberto Eggenhöffner
Vet. Sci. 2025, 12(12), 1175; https://doi.org/10.3390/vetsci12121175 - 10 Dec 2025
Viewed by 397
Abstract
Apis mellifera honey bees are keystone species for agriculture and global biodiversity, yet their populations are increasingly affected by multiple stressors, including the microsporidian parasite Nosema ceranae. Early and accurate detection of this pathogen is critical to prevent colony losses and sustain [...] Read more.
Apis mellifera honey bees are keystone species for agriculture and global biodiversity, yet their populations are increasingly affected by multiple stressors, including the microsporidian parasite Nosema ceranae. Early and accurate detection of this pathogen is critical to prevent colony losses and sustain pollination services. This study compares qPCR and ddPCR for detecting N. ceranae in bees and hive debris. qPCR is suitable for routine screening, whereas ddPCR offers higher sensitivity and precise quantification. The high diagnostic concordance between the two assays in bee samples, coupled with ddPCR’s enhanced detection capability in debris, underscores their complementary value in apicultural monitoring. This study provides the first experimental comparison between qPCR and ddPCR applied to matched field samples of bees and hive debris, establishing a sensitive and practical diagnostic framework for Nosema ceranae surveillance. The findings support improved diagnostic accuracy and early detection in apicultural health programs. Full article
(This article belongs to the Section Veterinary Microbiology, Parasitology and Immunology)
Show Figures

Figure 1

14 pages, 559 KB  
Review
Organic Acid Supplementation in Worker Honeybees (Apis mellifera): Impacts on Glandular Physiology and Colony Resilience
by Gebreamlak Bezabih, Tesfay Atsbha, Solomon Zewdu Altaye, Qingsong Zhou, Jianke Li, Christian W. W. Pirk, Chaodong Zhu and Yu Fang
Insects 2025, 16(12), 1203; https://doi.org/10.3390/insects16121203 - 26 Nov 2025
Viewed by 833
Abstract
Honeybees require diverse nutrients for larval growth, adult development, and colony health. Pollen quality significantly impacts reproduction, productivity, and growth. Bioactive substances from honeybee glands enhance colony health, with recent studies showing that optimal citric acid intake extends lifespan, boosts pollen consumption, accelerates [...] Read more.
Honeybees require diverse nutrients for larval growth, adult development, and colony health. Pollen quality significantly impacts reproduction, productivity, and growth. Bioactive substances from honeybee glands enhance colony health, with recent studies showing that optimal citric acid intake extends lifespan, boosts pollen consumption, accelerates mandibular gland development, and improves royal jelly quality. This review examines organic acid feeding’s effects on gland development and overall health, offering insights for beekeeping and supplementary food development to support sustainable apiculture. Research gaps in organic acid supplementation, gland development, and health benefits are identified. The impact of varying organic acid concentrations on 10-HDA biosynthesis in mandibular glands and key regulatory proteins influencing 10-HDA expression is summarized. Findings highlight the benefits of organic acid supplements for worker bee gland development and health, guiding future research and practical applications in beekeeping. Full article
(This article belongs to the Section Social Insects and Apiculture)
Show Figures

Figure 1

20 pages, 2167 KB  
Article
Removal of Neonicotinoid Residues from Beeswax Using an Eco-Friendly Oxalic Acid Treatment: A Sustainable Solution for Apicultural Decontamination
by Karen Yáñez, Ramón Arias, Daniel Ramírez, Fabián Guerrero and Mario Toledo
Agriculture 2025, 15(23), 2409; https://doi.org/10.3390/agriculture15232409 - 22 Nov 2025
Viewed by 837
Abstract
Beeswax is widely used in apiculture and can accumulate neonicotinoid residues due to the intensive use of systemic pesticides in agriculture. These contaminants pose potential risks to honeybee health and may indirectly affect the quality and safety of hive products such as honey, [...] Read more.
Beeswax is widely used in apiculture and can accumulate neonicotinoid residues due to the intensive use of systemic pesticides in agriculture. These contaminants pose potential risks to honeybee health and may indirectly affect the quality and safety of hive products such as honey, pollen, and royal jelly. This study evaluates several decontamination methods for neonicotinoid removal from contaminated beeswax, including modern techniques (microwaves, ultrasonic baths, and magnetic stirring with heating) and conventional approaches based on heat, agitation, and water—either pure or acidified. Among these, the traditional method that uses an aqueous oxalic acid solution proved highly effective, removing over 99% of neonicotinoid residues after two treatment cycles, even at wax quantities up to 200 g. The treatment also improved the colour and physical properties of the wax and was well tolerated by bees, according to a qualitative acceptance test. The simplicity, low cost, and absence of hazardous by-products make this method suitable for scale-up and adoption in real apicultural practices. These findings support the development of accessible and sustainable strategies for the decontamination of wax matrices that may otherwise act as long-term reservoirs of pesticide residues in the food chain. Full article
Show Figures

Figure 1

17 pages, 486 KB  
Review
Exploring Eco-Friendly Microbial Strategies for Nosemosis Control in Honeybee
by Bogdan Tache, Roxana Spulber, Laura-Dorina Dinu and Emanuel Vamanu
Microorganisms 2025, 13(10), 2357; https://doi.org/10.3390/microorganisms13102357 - 14 Oct 2025
Viewed by 901
Abstract
Nosemosis is an intestinal infection caused by intracellular fungal organisms from the Vairimorpha (formerly Nosema) group, which seriously harms honeybee colonies and is a factor in their worldwide decline. With the ban on fumagillin use in European apiculture and the limitations of [...] Read more.
Nosemosis is an intestinal infection caused by intracellular fungal organisms from the Vairimorpha (formerly Nosema) group, which seriously harms honeybee colonies and is a factor in their worldwide decline. With the ban on fumagillin use in European apiculture and the limitations of conventional treatments, it is essential to identify sustainable alternative solutions. This study presents new environmentally friendly microbe-based strategies to prevent and treat infection, focusing on probiotics, postbiotics, synbiotics, and mixes with plant extracts, as well as suggesting a new approach for the future. This review discusses the latest results based on using beneficial bacteria (e.g., Lactobacillus and Enterococcus faecium) and their byproducts to decrease the spore levels and modulate the gut bacteria pattern. Moreover, innovative approaches, such as genetically engineered gut bacteria to target pathogen gene expression through RNA interference, have been mentioned. Although results vary depending on microbial strain, delivery method, season, and ecological context, microbial treatments represent a promising, safe, and adaptable alternative for modern apiculture. The paper is necessary to validate these strategies’ real-world efficacy and to develop standardized microbial formulations suitable for practical implementation by beekeepers. Full article
(This article belongs to the Special Issue Harnessing Microbial Power for a Sustainable Future)
Show Figures

Figure 1

18 pages, 1196 KB  
Review
Ecological, Apicultural, and Therapeutic Value of Vachellia tortilis and Ziziphus spina-christi Honeys in the United Arab Emirates: A Model for Sustainable Use in Arid Ecosystems
by Fatma Alzahraa Mokhtar, Seham S. Elhawary, Amal M. Fakhry, Aseela Abdulla Almoalla, Khawla Mohammed Alyammahi, Youssouf Belaid, Karim Abdelazim, Ahmed Hamdy Zabady, Heba A. Yassin, Hanan M. Elnahas and Ali El-Keblawy
Foods 2025, 14(16), 2859; https://doi.org/10.3390/foods14162859 - 18 Aug 2025
Viewed by 1568
Abstract
Honey production has been an integral part of the UAE’s heritage. Vachellia tortilis and Ziziphus spina-christi pollen and nectar are essential components of high-quality UAE honey. These plants are integral to Emirati culture, showcasing a legacy of ecological balance and medicinal uses. In [...] Read more.
Honey production has been an integral part of the UAE’s heritage. Vachellia tortilis and Ziziphus spina-christi pollen and nectar are essential components of high-quality UAE honey. These plants are integral to Emirati culture, showcasing a legacy of ecological balance and medicinal uses. In addition to their cultural significance, V. tortilis and Z. spina-christi offer substantial pharmacological and ecological value. This review explores the role of V. tortilis and Z. spina-christi in producing honey rich in bioactive compounds with antimicrobial, antioxidant, and anti-inflammatory properties, highlighting their therapeutic potential in addressing infectious and chronic diseases. Furthermore, the diversity of phytochemicals in the honey from these plants supports their use in pharmaceutical advancements, including cancer and antibacterial treatments. Their apicultural importance is also emphasized, particularly in supporting sustainable honey production systems adapted to arid environments. The eco-friendly production of silver nanoparticles from Z. spina-christi demonstrates their versatility for health and agriculture. By exploring views on honey authenticity, advanced extraction methods, and the medicinal benefits of honeybee products, this study promotes these species’ conservation and sustainable use. The study emphasizes the contributions of V. tortilis and Z. spina-christi to ecological stability, public health, and economic growth. It presents a compelling case for leveraging their potential to advance sustainable apiculture and ecosystem management in arid regions. Full article
Show Figures

Figure 1

25 pages, 252 KB  
Article
Categorisation of the One Welfare Practices in Beekeeping
by Claudia Mortellaro, Elena Giannottu, Camilla Pedrelli, Valentina Lorenzi, Marco Pietropaoli, Veronica Manara, Martina Girola, Alessandra De Carolis, Marina Bagni and Giovanni Formato
Animals 2025, 15(15), 2236; https://doi.org/10.3390/ani15152236 - 30 Jul 2025
Viewed by 871
Abstract
Honey bees are vital to ecosystem conservation, agricultural production, and biodiversity, yet their welfare has often been overlooked. This study introduces the integration of Honey Bee Welfare Practices (HBWPs) into the One Welfare framework, addressing the interconnectedness of honey bee welfare, environmental welfare, [...] Read more.
Honey bees are vital to ecosystem conservation, agricultural production, and biodiversity, yet their welfare has often been overlooked. This study introduces the integration of Honey Bee Welfare Practices (HBWPs) into the One Welfare framework, addressing the interconnectedness of honey bee welfare, environmental welfare, and human wellbeing. We analysed and re-evaluated the 243 HBWPs already identified and categorised within the context of the Five Domains model in 2024 by Giovanni Formato et al., and we explored their broader impacts. By incorporating the One Welfare approach, we assessed each practice’s effect on bee welfare both as individuals and as a superorganism, human wellbeing, and environmental welfare, as well as their economic and time-related implications for beekeepers. The aim of this study was to obtain a list of One Welfare Practices in Beekeeping, considering all stakeholders as equally important. The analysis highlights the multidimensional nature of beekeeping, with 280 practices positively affecting honey bee welfare, while also considering their potential impact on human wellbeing, environmental health, and production. Challenges such as balancing beekeeper time constraints and welfare goals are discussed, with recommendations for practical compromises. This approach can offer a holistic and sustainable model for apiculture, ensuring that welfare is maintained across all stakeholders, and provides a flexible framework applicable to various beekeeping systems worldwide. Full article
(This article belongs to the Section Animal Welfare)
15 pages, 1619 KB  
Article
Characterization of Aroma, Sensory Properties, and Consumer Acceptability of Honey from Capparis spinosa L.
by Gianluca Tripodi, Maria Merlino, Marco Torre, Concetta Condurso, Antonella Verzera and Fabrizio Cincotta
Foods 2025, 14(11), 1978; https://doi.org/10.3390/foods14111978 - 3 Jun 2025
Cited by 2 | Viewed by 1430
Abstract
The increasing scarcity of traditional nectar sources due to climate change has led beekeepers to explore alternative floral sources. This study investigates the volatile profile, sensory characteristics, and consumer acceptability of monofloral honey derived from Capparis spinosa L., a drought-resistant Mediterranean plant. Honey [...] Read more.
The increasing scarcity of traditional nectar sources due to climate change has led beekeepers to explore alternative floral sources. This study investigates the volatile profile, sensory characteristics, and consumer acceptability of monofloral honey derived from Capparis spinosa L., a drought-resistant Mediterranean plant. Honey samples produced by Apis mellifera ssp. sicula on Aeolian Islands (Sicily, Italy) were analyzed. Volatile organic compounds (VOCs) were extracted using headspace solid–phase microextraction (HS-SPME) and identified by gas chromatography–mass spectrometry (GC–MS), revealing 59 compounds, with dimethyl sulfide being the predominant one. Sensory evaluation using quantitative descriptive analysis (QDA) and Time Intensity (TI) analysis identified distinctive descriptors such as sweet-caramel, cabbage/cauliflower, and pungent notes. Statistical analyses confirmed correlations between specific VOCs and sensory perceptions. A consumer acceptability test involving 80 participants showed lower preference scores for caper honey in terms of aroma and overall acceptability compared to commercial multifloral honey, with differences observed across age groups. The unique aromatic profile and consumer feedback suggest that caper honey has strong potential as a niche, high-quality product, particularly within the context of climate-resilient beekeeping, offering valuable opportunities for innovation and diversification in sustainable apiculture. Full article
(This article belongs to the Special Issue Novel Insights into Food Flavor Chemistry and Analysis)
Show Figures

Figure 1

34 pages, 4080 KB  
Article
Comprehensive Assessment of Potentially Toxic Element (PTE) Contamination in Honey from a Historically Polluted Agro-Industrial Landscape: Implications for Agricultural Sustainability and Food Safety
by Ioana Andra Vlad, Szilárd Bartha, Győző Goji, Ioan Tăut, Florin Alexandru Rebrean, Laviniu Ioan Nuțu Burescu, Călin Gheorghe Pășcuț, Petrică Tudor Moțiu, Adrian Tunduc, Claudiu Ion Bunea and Florin-Dumitru Bora
Agriculture 2025, 15(11), 1176; https://doi.org/10.3390/agriculture15111176 - 29 May 2025
Cited by 6 | Viewed by 1974
Abstract
Honey is increasingly recognized not only as a functional food but also as a potential bioindicator of environmental pollution. This study assessed the concentrations of four potentially toxic elements (PTEs)—lead (Pb), cadmium (Cd), copper (Cu), and zinc (Zn)—in 48 multifloral honey samples collected [...] Read more.
Honey is increasingly recognized not only as a functional food but also as a potential bioindicator of environmental pollution. This study assessed the concentrations of four potentially toxic elements (PTEs)—lead (Pb), cadmium (Cd), copper (Cu), and zinc (Zn)—in 48 multifloral honey samples collected in 2023 from seven locations across a historically polluted agro-industrial region in Romania. Samples were analyzed using Flame Atomic Absorption Spectrometry (FAAS) and Graphite Furnace AAS (GFAAS), with quality control ensured through certified reference materials. Results revealed that Pb (0.72–1.69 mg/kg) and Cd (0.02–0.37 mg/kg) levels consistently exceeded international safety thresholds, while Cu (0.62–2.22 mg/kg) and Zn (0.91–1.93 mg/kg), although essential nutrients, were found in elevated concentrations. Spatial analysis indicated a general trend of higher contamination in sites located closer to former industrial facilities, influenced by factors such as altitude and atmospheric transport. These findings confirm the persistent environmental burden in post-industrial landscapes and support the use of honey as a cost-effective tool for pollution monitoring. The study underscores the need for targeted environmental policies, sustainable apicultural practices, and continued surveillance to protect ecosystem health and food safety. Full article
(This article belongs to the Section Agricultural Product Quality and Safety)
Show Figures

Figure 1

28 pages, 1796 KB  
Article
Effects of Climate Change Scenarios on Growth, Flowering Characteristics, and Honey Production Potential of Pseudolysimachion rotundum var. subintegrum
by Kyeong-Cheol Lee, Yeong-Geun Song, Hyun-Jung Koo, Kyung-Jun Kim, Hyung-Joo Kim, Ha-Young Baek and Sung-Joon Na
Plants 2025, 14(11), 1647; https://doi.org/10.3390/plants14111647 - 28 May 2025
Cited by 1 | Viewed by 1532
Abstract
Climate change significantly influences plants’ physiology, flowering phenology, and nectar production, affecting pollinator interactions and apicultural sustainability. This study examines the physiological responses of Pseudolysimachion rotundum (Nakai) Holub var. subintegrum (Nakai) T.Yamaz. (Plantaginaceae) under projected climate change scenarios, focusing on flowering traits, nectar [...] Read more.
Climate change significantly influences plants’ physiology, flowering phenology, and nectar production, affecting pollinator interactions and apicultural sustainability. This study examines the physiological responses of Pseudolysimachion rotundum (Nakai) Holub var. subintegrum (Nakai) T.Yamaz. (Plantaginaceae) under projected climate change scenarios, focusing on flowering traits, nectar secretion, and honey production potential. Elevated CO2 levels enhanced its net photosynthesis and water-use efficiency, supporting sustained carbohydrate assimilation and promoting aboveground biomass accumulation. However, the increased nitrogen demand for vegetative growth and inflorescence production may have led to reduced allocation of nitrogen to the nectar, contributing to a decline in its amino acid concentrations. The flowering period advanced with rising temperatures, with peak bloom occurring up to four days earlier under the SSP5 conditions. While the nectar secretion per flower remained stable, an increase in floral abundance led to a 3.8-fold rise in the estimated honey production per hectare. The analysis of the nectar’s composition revealed that sucrose hydrolysis intensified under higher temperatures, shifting the nectar toward a hexose-rich profile. Although nectar quality slightly declined due to reductions in sucrose and nitrogen-rich amino acids, phenylalanine—the most preferred amino acid by honeybees—remained dominant across all scenarios. These findings confirm the strong climate resilience of P. rotundum var. subintegrum, highlighting its potential as a sustainable nectar source in future apicultural landscapes. Given the crucial role of nitrogen in both plant growth and nectar composition, future research should explore soil nitrogen dynamics and plant nitrogen metabolism to ensure long-term sustainability in plant–pollinator interactions and apicultural practices. Full article
(This article belongs to the Section Plant Physiology and Metabolism)
Show Figures

Figure 1

19 pages, 3161 KB  
Article
Antibiotic Use in Beekeeping: Implications for Health and Environment from a One-Health Perspective
by Michela Mosca, Andrea Gyorffy, Marcella Milito, Camilla Di Ruggiero, Alessandra De Carolis, Marco Pietropaoli, Luigi Giannetti, Francesco Necci, Francesca Marini, Daniele Smedile, Manuela Iurescia, Alessia Franco, Antonio Battisti, Pasquale Rombolà, Marcella Guarducci and Giovanni Formato
Antibiotics 2025, 14(4), 359; https://doi.org/10.3390/antibiotics14040359 - 1 Apr 2025
Cited by 2 | Viewed by 2171
Abstract
Background: The use of antibiotics in beekeeping has potential implications for honeybee health and environmental contamination. Recent research indicates that extensive antibiotic use in beekeeping, especially oxytetracycline, promotes antimicrobial resistance in bee-related bacteria. Honeybees can transport oxytetracycline-resistance genes during foraging, potentially establishing reservoirs [...] Read more.
Background: The use of antibiotics in beekeeping has potential implications for honeybee health and environmental contamination. Recent research indicates that extensive antibiotic use in beekeeping, especially oxytetracycline, promotes antimicrobial resistance in bee-related bacteria. Honeybees can transport oxytetracycline-resistance genes during foraging, potentially establishing reservoirs of resistance in the colony and facilitating intergeneric gene transfer among various gut bacteria as well as in the microbiome of the flowers and the wider environment, where honeybees can spread antibiotic-resistance genes over a large distance. This study investigates the effects of oxytetracycline hydrochloride (OTC) treatment on honeybees from a One Health perspective, examining antibiotic residues in honey, environmental spread, and the presence of tetracycline-resistance genes (TET-RGs). Methods: In the spring of 2022, two groups of four honeybee hives were placed near an almond grove in Central Italy. One group was treated with 1.68 g of OTC, while the other remained untreated. Samples were collected from bees, honey, hive entrances, and flowers before treatment and at 3 as well as 9 days post-treatment. OTC residues and TET-RGs were analyzed to assess contamination and resistance gene dissemination. Results: OTC residues were detected in honey from both treated (day 3: 263,250.0 ± 100,854.3 µg/kg; day 9: 132,600 ± 146,753.9 µg/kg) and untreated hives (day 3: 20.5 ± 8.2 µg/kg; day 9: 135.8 ± 198.6 µg/kg), suggesting cross-contamination. Residues were also found in almond tree flowers (0.7 ± 0.1 µg/kg), with TET-RGs (tet(K), tet(L), tet(M), tet(B), tet(O), tet(D)) detected pre- and post-treatment. In honeybee gut bacteria, resistance genes (tet(M), tet(A), tet(D), tet(B)) appeared post-treatment in both groups. No significant correlation was observed between hive distance and resistance gene presence in flowers, although the presence of other farms located within the bees’ flight range, in which OTC might have been used in the past, could have influenced the results. Conclusions: These findings highlight the risk of OTC-induced antibiotic cross-contamination and the spread of TET-RG, raising concerns for bee health and environmental safety. Given honeybees’ social nature and the negative effects of antibiotics on their health, an antibiotic-free management approach is recommended for sustainable apiculture. Full article
Show Figures

Figure 1

12 pages, 1117 KB  
Review
An Overview of the Adverse Impacts of Old Combs on Honeybee Colonies and Recommended Beekeeping Management Strategies
by Qingxin Meng, Rong Huang, Shunhua Yang, Wutao Jiang, Yakai Tian and Kun Dong
Insects 2025, 16(4), 351; https://doi.org/10.3390/insects16040351 - 27 Mar 2025
Viewed by 4471
Abstract
The honeybee comb serves as the primary site for all essential colony activities, and its structural and functional integrity plays a crucial role in colony development. As combs age through successive brood-rearing cycles, their physicochemical properties undergo significant changes, which can negatively affect [...] Read more.
The honeybee comb serves as the primary site for all essential colony activities, and its structural and functional integrity plays a crucial role in colony development. As combs age through successive brood-rearing cycles, their physicochemical properties undergo significant changes, which can negatively affect colony health and productivity. This review synthesizes the current knowledge on the biological functions of combs, the aging process, and the negative impacts of old combs on cell structure, worker morphology, colony strength, and bee product quality. Additionally, it examines the adaptive strategies employed by honeybees and the recommended beekeeping management practices to mitigate these effects. Specifically, old combs undergo structural changes in cell dimensions and reduced spatial capacity, leading to the growth of smaller bees with diminished foraging and productivity. Furthermore, bee products, such as honey and beeswax, collected from old combs demonstrate compromised quality and higher levels of environmental contaminants. To counteract these challenges, colonies engage in hygienic behaviors, such as cell cleaning and comb rebuilding, while their enhanced immune and detoxification systems help mitigate comb-derived stressors. This review demonstrates that the systematic replacement of old brood combs is a critical management strategy to optimize bee health and ensure sustainable apiculture. Full article
Show Figures

Figure 1

24 pages, 764 KB  
Review
Sensitivity and Resistance of Parasitic Mites (Varroa destructor, Tropilaelaps spp. and Acarapis woodi) Against Amitraz and Amitraz-Based Product Treatment: A Systematic Review
by Michela Bertola and Franco Mutinelli
Insects 2025, 16(3), 234; https://doi.org/10.3390/insects16030234 - 20 Feb 2025
Cited by 3 | Viewed by 7295
Abstract
Resistance to amitraz in Varroa destructor mites poses a significant challenge to global beekeeping, leading to the declining efficacy of treatments and increased colony losses. This study aims to comprehensively map, characterize, and analyze the status of amitraz efficacy and resistance in Varroa [...] Read more.
Resistance to amitraz in Varroa destructor mites poses a significant challenge to global beekeeping, leading to the declining efficacy of treatments and increased colony losses. This study aims to comprehensively map, characterize, and analyze the status of amitraz efficacy and resistance in Varroa and other parasitic mites such as Tropilaelaps spp. and Acarapis woodi. A systematic review, following PRISMA 2020 guidelines, examined 74 studies, revealing substantial variability in experimental protocols, mite origins, and environmental factors, all of which impacted toxicity assessments. These findings highlight the urgent need for standardized methodologies to ensure consistency and reliability. Resistance ratios (RR) and indices (RI) showed significant geographical variation, reflecting localized resistance development. Laboratory studies highlighted inconsistencies in detecting resistance, underscoring the importance of combining bioassays, molecular diagnostics, and field efficacy tests. Understanding the genetic and physiological mechanisms driving amitraz resistance, as well as their prevalence, is vital to devising sustainable management strategies. Establishing national monitoring programs and revising testing protocols are pivotal steps toward ensuring the continued effectiveness of acaricides. These measures, combined with coordinated efforts by researchers, beekeepers, and policymakers, are essential to safeguarding global honey bee populations and supporting the long-term sustainability of apiculture. Full article
Show Figures

Figure 1

23 pages, 491 KB  
Article
Definition and Identification of Honey Bee Welfare Practices Within the Five Domains Framework for Sustainable Beekeeping
by Giovanni Formato, Elena Giannottu, Valentina Lorenzi, Cristina Roncoroni, Marco Pietropaoli, Camilla Pedrelli, Marina Bagni and Stefano Palomba
Appl. Sci. 2024, 14(24), 11902; https://doi.org/10.3390/app142411902 - 19 Dec 2024
Cited by 3 | Viewed by 3221
Abstract
This paper aims to define and identify the Honey Bee Welfare Practices (HBWPs) that beekeepers should adopt within a modern framework for sustainable apiculture. Once identified, HBWPs were categorized according to the Five Domains Model used in other animal species. Drawing on findings [...] Read more.
This paper aims to define and identify the Honey Bee Welfare Practices (HBWPs) that beekeepers should adopt within a modern framework for sustainable apiculture. Once identified, HBWPs were categorized according to the Five Domains Model used in other animal species. Drawing on findings of the European BPRACTICES Horizon 2020 project, we identified, for the first time, 243 HBWPs: while all practices were considered impacting the mental state domain, 38 were assigned to nutrition/hydration, 90 to environment, 220 to health, and 50 to behavior. The proposed HBWPs aim to fill existing gaps by introducing a new approach that more fully respects honey bee behavior and helps prevent unnecessary suffering for each bee and the whole beehive at the same time. Future efforts should focus on maximizing welfare benefits within the One Welfare framework, moving beyond the previously considered One Health perspective. This welfare-oriented focus benefits honey bees, supports beekeepers, and promotes environmental sustainability, aligning with the principles of One Welfare. Full article
(This article belongs to the Special Issue New Advances in Beekeeping, Bee Behavior and Its Bionic Applications)
Back to TopTop