Abstract
This study investigates the synthesis and potential applications of the coordination compound cobalt(III) complex tris[N-(prop-2-en-1-yl)hydrazinecarbothioamide]-cobalt(III) chloride ([Co(Tsc)3]Cl3). The complex has been synthesized via the reaction of cobalt(II) chloride hexahydrate with N-(prop-2-en-1-yl)hydrazinecarbothioamide in ethanol. Its antioxidant activity has been evaluated using 2,2′-azinobis-(3-ethylbenzothiazoline-6-sulfonic acid (ABTS) assay, demonstrating a significant effect with an IC50 of 7.3 µmol/L. Toxicity evaluations using Daphnia magna showed a low half maximal inhibitory concentration (LC50) of 56.3 µmol/L. Experimental results have showed that [Co(Tsc)3]Cl3 significantly elevated the total antioxidant status (TAS) of the hemolymph of honeybees and larvae, increasing it by 5 and 8 times, respectively. The IC50 values for antioxidant activity were 2.5 mg/mL in bee hemolymph and 1.3 mg/mL in larval hemolymph, notably lower than control values of 13.6 mg/mL and 10.0 mg/mL. The stimulatory effect of the coordination compound [Co(Tsc)3]Cl3 on TAS was five times higher than that of vitamin C. Additionally, [Co(Tsc)3]Cl3 exhibited acaricidal properties, effectively inhibiting Varroa destructor with an lethal concentration (LC50) of 0.2 µmol/L. These findings indicate that this cobalt complex could serve both a natural antioxidant and an effective acaricide, offering a promising approach to improv bee health and sustainability in apiculture.
1. Introduction
European honey bees (Apis mellifera) play a crucial ecological and economic role through their pollination of both natural ecosystems and agricultural crops, as well as their importance in beekeeping [1,2,3,4,5].
The health and productivity of Apis mellifera honeybee colonies critically depend on an efficient antioxidant system that neutralizes active free radicals generated during the high metabolic activity [6,7,8,9]. Insects such as bees naturally produce a significant amount of free radicals, making them particularly vulnerable to oxidative stress [10]. Oxidative stress not only disrupts cellular functions but also considerably contributes to the development of various diseases, ultimately impacting the vitality and survival of the colonies [11,12].
A major factor exacerbating the oxidative stress in bees is infestation by the parasitic mite Varroa destructor. This mite feeds on hemolymph and damages vital tissues, thereby increasing the production of active free radicals and overwhelming the antioxidant defenses. This accelerates aging processes, weakens the immune system, and ultimately leads to colony collapse [7,13,14,15,16,17].
The assessment of antioxidant activity (AOA) serves as a critical indicator of the functional state of the antioxidant defense system in bees and their larvae [18,19,20,21,22,23,24,25,26,27,28,29]. A key parameter in this regard is the total antioxidant status (TAS) of Apis mellifera, which reflects the cumulative activity of both enzymatic and non-enzymatic antioxidants in the organism [30,31].
Although vitamin C is widely used to enhance the TAS of Apis mellifera, its relatively low antioxidant capacity limits its effectiveness [25,26,32,33]. Recent studies have explored alternative compounds [34,35,36,37], including transition metal complexes, due to their potential to more effectively enhance antioxidant defenses [38,39,40,41,42,43,44]. Among these, coordination compounds offer promising potential due to their unique chemical properties; however, their application in apiculture remains largely unexplored. Coordination compounds are chemical complexes consisting of a central metal atom or ion bonded to one or more ligands, which are molecules or ions that donate electron pairs to the metal, forming stable chemical bonds. Notably, research on the use of metal coordination complexes for bee health has yielded contradictory results: some hypotheses suggest significant protective effects, while others indicate potential toxicity or limited efficacy [45]. These contradictions underscore the necessity for rigorous exploration of new compounds that possess both antioxidant properties and non-toxicity, ensuring their safety and efficacy in improving bee health and resilience [46,47].
In our studies, we have examined the antioxidant activity of bee hemolymph and larvae, as well as have evaluated the effect of the tested substance on the level of antioxidant protection in bees and larvae of Apis mellifera. The tested coordination compound acts as an antioxidant in the bees’ organism, reducing the level of free radicals. The findings of our studies show that supplementation of honey bee nutrition with the coordination compound [Co(Tsc)3]Cl3 increases the efficiency of their antioxidative system. Thus, the detected properties of the coordination compound [Co(Tsc)3]Cl3 are of interest to biotechnology and beekeeping, expanding the arsenal of stimulators of the total antioxidant status of Apis mellifera hemolymph [48,49].
Additionally, we have found that the coordination compound [Co(Tsc)3]Cl3 possesses acaricidal property and effectively inhibits Varroa destructor. Our data highlight the importance of developing new substances capable not only of enhancing antioxidant defenses but also of acting as acaricide, thus possessing current requirements for protecting bees from parasitic infections and environmental stressors.
2. Materials and Methods
2.1. Materials
All the used reagents were chemically pure. Cobalt(II) chloride hexahydrate (Merck, Darmstadt, Germany) was used as supplied. Allyl isothiocyanate, 50–60% (w/w) aqueous solution of hydrazine, and hydrochloric acid were used as received (Sigma-Aldrich, Darmstadt, Germany). The 1H and 13C NMR spectra were recorded on a Bruker DRX-400 (Ettlingen, Germany) using acetone-d6 as a solvent. FT-IR spectra were recorded on a Bruker ALPHA FTIR spectrophotometer at room temperature in the range of 4000–400 cm−1. UV–Vis spectra were measured on Agilent Cary 300 UV–Vis spectrophotometer (Santa Clara, CA, USA) in EtOH solutions within wavelength 200–100 nm. The elemental analysis was performed similarly to the literature procedures [50], and on the automatic Perkin Elmer 2400 elemental analyzer (Rodgau, Germany). R-38 rheochord bridge was used to measure the resistance of 1 mM methanol solutions of the coordination compound at 20 °C.
4-Allylthiosemicarbazide was prepared by reaction of the allyl isothiocyanate and a 50–60% (w/w) aqueous solution of hydrazine. The characteristics of the obtained substance correspond with the data reported in the literature [51].
White solid. Yield: 84%; mp 92–93 °C. FW: 131.20 g/mol; Anal Calc. for C4H9N3S: C, 36.62; H, 6.91; N, 32.03; S, 24.44; found: C, 36.48; H, 6.83; N, 32.09; S, 24.51%. 1H NMR (acetone-d6, 400 MHz) 9.03 (br s, 1H; NH); 7.86 (br s, 1H; NH); 5.92 (m, 1H; CH); 5.13 (m, 2H; CH2); 4.39 (br s, 1H; NH); 4.25 (t, 2H; CH2–N). 13C NMR (acetone-d6, 100 MHz) 178.86 (C=S); 134.76 (CH(allyl)); 114.85 (CH2(allyl,sp2)); 45.85 (CH2(allyl,sp3)). FTIR data (cm−1): ν(NH, –NH2) 3338, 3268, 3191; ν (C=N) 1640, 1628; ν (C=S) 1284. λ, nm (ε, M−1 cm−1): 206 (13,300), 241 (11,900).
2.2. Synthesis of [Co(Tsc)3]Cl3
Cobalt(II) chloride hexahydrate (CoCl2·6H2O) (2.38 g, 10 mmol) was added to a hot (55° C) ethanolic solution (25 mL) of 4-allylthiosemicarbazide (Tsc) (3.94 g, 30 mmol). 37% (w/w) aqua solution of HCl (0.83 mL, 10 mmol) was added to the reaction mixture. The resulting mixture was stirred for 1 h at 55 °C under continuous air bubbling. By cooling to room temperature, a brown precipitate was obtained. It was filtered out, washed with cold ethanol, and dried in vacuo.
Brown solid. Yield: 87%. Anal. Calc. for C12H27Cl3CoN9S3 (558.87 g mol−1): C, 25.79; H, 4.87; Cl, 19.03; Co, 10.54; N, 22.56; S, 17.21. Found: C, 25.95; H, 4.78; Cl, 19.32; Co, 10.72; N, 22.83; S, 7.42. Main FTIR peaks (cm−1): ν(NH, –NH2) 3251, 3199, 3079; ν(C=N) 1618, 1581; ν(C=S) 1285. λ, nm (ε, M−1 cm−1): 214 (22,900), 261 (21,900), 544 (370). χ(CH3OH): 312 Ω−1 cm−2 mol−1.
2.3. Enriched Feeding Technique
Biological trials were conducted on colonies of Apis mellifera honeybees. For the administration of the coordination compound [Co(Tsc)3]Cl3 complex, a syrup (50% sugar, 50% water) was used. The tested substance was administered at a concentration of 0.2 mg/L and 0.6 mg/L in the syrup. The syrup was used to feed the bees at the beginning of spring, when nectar and pollen sources are limited.
Experiments were carried out simultaneously on three groups, each consisting of 10 hives. Group I served as the control, where bees received plain sugar syrup without the tested complex. Groups II and III were used for studying the tested complex, and the bees were fed syrup enriched with coordination compound [Co(Tsc)3]Cl3 at concentrations of 0.2 mg/L and 0.6 mg/L, with doses of 2 mg and 6 mg per hive, respectively.
Feeding was carried out by adding syrup into a container placed in the upper part of the hive. The volume was 100 mL of syrup per frame. The syrup was added every two days over a period of two weeks.
2.4. ABTS•+ Radical Cation Scavenging Assay
The antioxidant activity by the ABTS•+ method was assessed according to the method described by Re et al. [52] with modifications. An ABTS•+ assay is an excellent tool for determining the antioxidant activity of hydrogen-donating antioxidants and chain-breaking antioxidants.
The ABTS•+ radical was formed through the reaction of ABTS (2,2′-azino-bis(3-ethylbenzothiazoline-6-sulphonic acid)) (Sigma) solution 7 mM with potassium persulfate (K2S2O8) (Sigma, Germany) solution, incubated at 25 °C in the dark for 12–20 h at room temperature. The resulting solution was further diluted by mixing with ethanol (0.02 M, pH 6.5) to obtain an absorbance of 0.70 ± 0.01 units at 734 nm.
20 μL of each tested dilutions was transferred to a 96-well microtiter plate and 180 μL of working solution of ABTS•+ was dispensed with the dispense module of the hybrid reader (BioTek, Santa Clara, CA, USA). The decrease in absorbance at 734 nm was measured exactly after 30 min of incubation at 25 °C. All the determinations were made in triplicate. Blank samples were run by solvent without ABTS•+.
The measurement was made by a hybrid reader (Synergy H1, BioTek). All tests were performed in triplicate and the obtained results were averaged. The percent of inhibition (I, %) of free radical cation production of ABTS•+ was calculated by using the following equation:
Abs734 nm0 is the absorbance of the control solution;
Abs734 nm1 is the absorbance in the presence of sample solutions or standards for positive controls.
2.5. DPPH• Radical Scavenging Assay
The DPPH• assay was done according to the method of Brand-Williams et al. with some modifications. The effect of antioxidants on DPPH• radical scavenging is due to the hydrogen-donating ability or radical scavenging activity of the samples. The scavenging reaction between (DPPH) and an antioxidant (H-D) can be written as: (DPPH) + (H-D) → DPPH-H + (D). The DPPH reagent was diluted with a methanolic solution to give an absorbance of 0.7 ± 0.01 at 517nm.
The tested dilutions 20 μL were transferred in a 96 wells microtitre plate, and 180 μL of DPPH• (1,1-diphenyl-2-picrylhydrazyl) reagent 0.002% w/v (Sigma) with ethanol was dispensed with dispense module of the hybrid reader (Synergy H1, BioTek), shake 10 s. The decrease in absorbance at 515 nm was measured exactly after 30 min of incubation at 25 °C (Hybrid reader, Synergy H1, BioTek).
All the determinations were made in triplicate. Blank samples were run by solvent without DPPH• radical. The measurement was made by a hybrid reader (Synergy H1, BioTek). All tests were performed in triplicate and the obtained results were averaged. The percent of inhibition (I, %) of free radical production of DPPH• was calculated by using the following equation:
Abs517 nm 0 is the absorbance of the control solution;
Abs517 nm 1 is the absorbance in the presence of sample solutions or standards for positive controls.
2.6. Assessment of Varroa destructor Infestation Levels
The bees were fed with a 50% sugar, 50% water syrup containing the coordination compound [Co(Tsc)3]Cl3 at concentrations of 0.2 mg/L and 0.6 mg/L. The syrup was used to feed the bees in the early spring period. Experiments were carried out simultaneously on three groups, each consisting of 10 hives. Group I served as the control, where bees received plain sugar syrup without the tested coordination compound. Groups II and III were used for studying the tested coordination compound, and the bees were fed syrup enriched with coordination compound [Co(Tsc)3]Cl3 at concentrations of 0.2 mg/L and 0.6 mg/L, with doses of 2 mg and 6 mg per hive, respectively. Syrup was added every two days over a period of two weeks.
To count Varroa destructor mites, a non-harmful diagnostic method based on the use of powdered sugar was employed (Figure 1). For the experiment, a 750 mL jar with a perforated lid was used. Bees from a well-developed frame were placed inside the jar. The lid’s holes were then covered, and 10 g of powdered sugar was added to approximately 300 bees inside the jar. After gently shaking the jar for 2 min, the mites fell through the holes in the lid, while the bees remained inside. The bees were then returned to the colony, and the number of mites was counted against a light background. To determine the number of mites per 100 bees, the total mite count was divided by 3, and the result was expressed as a percentage (%). This value reflects the level of Varroa destructor infestation in Apis mellifera colonies [53].
Figure 1.
Varroa destructor mites in powdered sugar.
The degree of brood infestation was assessed by examining 100 larvae of Apis mellifera [35].
2.7. Statistical Analysis
The antioxidant assay results are presented as the percentage of inhibition (I, %) of DPPH• and ABTS•+ radicals. To gauge the efficacy of the experimental compounds on antioxidant activity (AOA), the half-maximal inhibitory concentration values (IC50) were computed using the dose–response equation derived from the least squares fit method. All data are expressed as means ± standard deviation (SD).
To accurately assess the effectiveness of the tested substances, Varroa infestation levels were evaluated within each group and compared to the control groups. This approach helps account for potential differences in initial infestation levels across groups and among colonies within groups. Overall, the effectiveness was determined by calculating the percentage (%) reduction in Varroa destructor infestation levels in Apis mellifera colonies relative to the control groups. For comparative characterization of the acaricidal properties, the median lethal concentration (LC50), at which 50% of Varroa destructor parasites are killed, has been determined. Statistical analysis has been performed using BIOSTAT (BioStat 2008 5.0.1) and GraphPad (Prism 6) software to process and analyze the obtained data.
3. Results and Discussion
A new cobalt(III) coordination compound ([Co(Tsc)3]Cl3) has been developed to regulate the total antioxidant status (TAS) in the hemolymph of Apis mellifera. A cobalt(III) coordination compound has been obtained by interaction of ethanol solution of 4-allylthiosemicarbazide (Tsc), cobalt(II) chloride hexahydrate and hydrochloric acid in aerated medium in a 3:1:1 molar ratio. The general scheme is presented by the following reaction (Figure 2):
Figure 2.
General scheme of the synthesis.
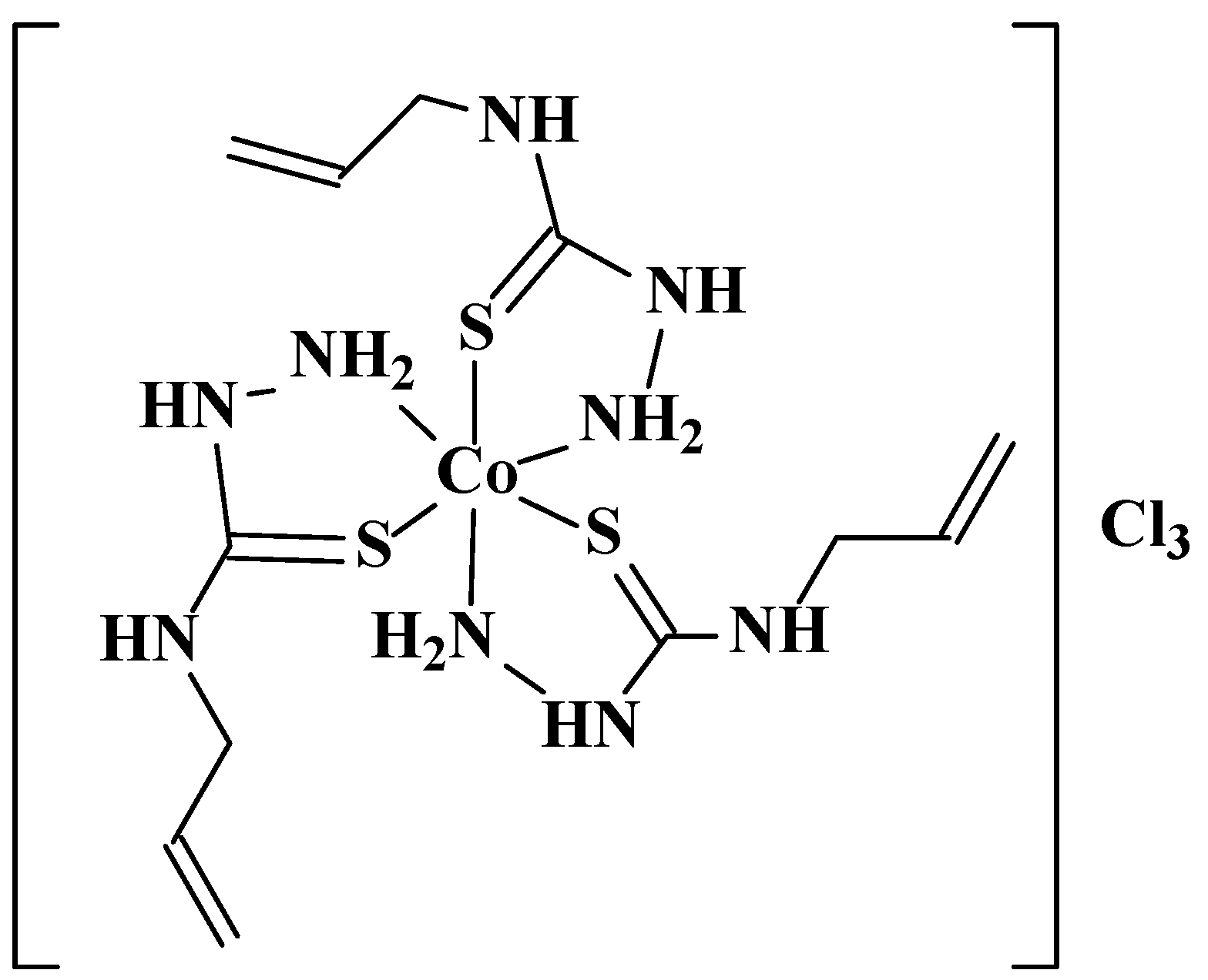
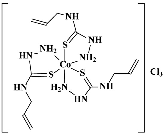
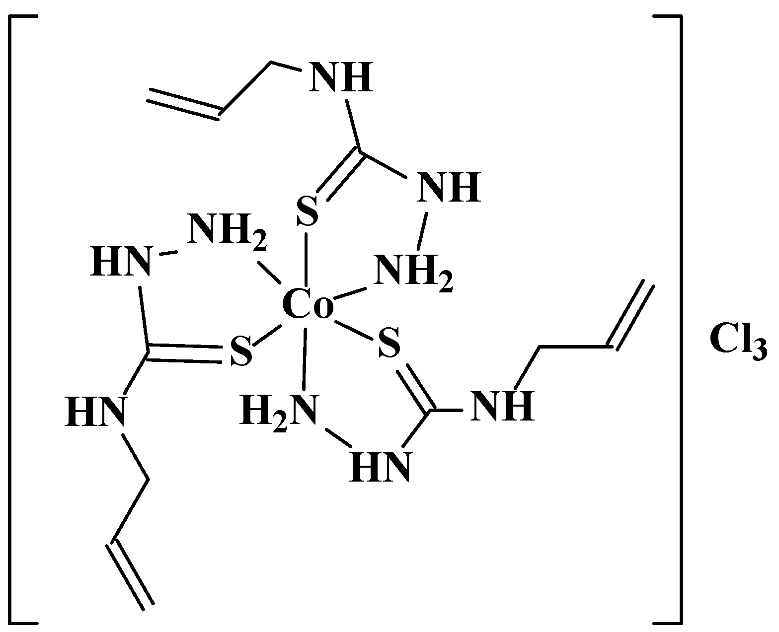
The FTIR spectrum of the complex [Co(TSC)3]Cl3 has been examined and compared with that of the 4-allylthiosemicarbazide (TSC) to evaluate the spectral modifications arising from ligand coordination to the cobalt atom. The analysis indicates that, in the synthesized cobalt(III) complex, the ligand binds to the metal ion through the NH2 group and the sulfur atom. The presence and positions of the characteristic absorption bands confirm that the TSC ligand remains in its thione form and does not undergo deprotonation upon coordination. Composition and structure of the coordination compounds has been determined using elemental analysis and molar conductivity measurements. Molar conductivity value (312 Ω cm2 mol−1, CH3OH, 20 °C, 0.001 mol L−1) indicates that it represents an electrolyte of an 1:3 type. Its structural formula is presented in Figure 3.
Figure 3.
Structural formula of the [Co(Tsc)3]Cl3.
3.1. Stimulation of the Total Antioxidant Status of the Hemolymph of Apis mellifera
Metabolic processes in aerobic organisms are a constant source of active free radicals, which serve a dual role: as signaling molecules regulating cellular and intercellular processes and as agents of potential oxidative stress. To maintain cellular homeostasis, organisms must balance the production of free radicals with antioxidant defenses. This balance is critically important, as oxidative stress resulting from an excess of free radicals is a key factor in the initiation and progression of numerous diseases and pathological conditions in bees [54].
Oxidative stress occurs when free radical processes are activated, leading to the peroxidation of lipids, disruption of nucleic acid structures, modification of amino acids in proteins, and subsequent changes in their biological activity [51]. These cellular disruptions ultimately result in tissue damage and cell death, affecting vital organs and tissues in bees, including their larvae.
For bees, especially those with high metabolic rates, like bees, an efficient antioxidant system is vital [55]. Such systems help in neutralizing the excessive free radicals produced as by-products of their metabolism, preventing potential cellular damage. The total antioxidant status (TAS) of an organism is a key indicator used to evaluate the efficiency and functional state of the antioxidant system.
By assessing TAS in bees and their larvae, researchers can gain insights into their ability to cope with oxidative stress, which is integral to maintaining the health and longevity of bee colonies. This understanding is particularly important given the environmental and biological challenges these essential pollinators face.
Diet is a vital factor in the survival and health of Apis mellifera colonies during spring. Implementing strategies to prevent or mitigate the effects of oxidative stress is particularly important for maintaining the organism’s protective defenses. One widely adopted approach involves introducing exogenous compounds with antioxidant properties, among which vitamin C (also known as ascorbic acid) is currently the most common and serves as a prototype. It is extensively used as a standard in biochemical analyses to evaluate the antioxidant activity of both natural and synthetic substances. Within the organism, vitamin C functions in aqueous environments and can be oxidized to dehydroascorbic acid in the presence of metal ions. This oxidized form is then transported into cells via glucose transporters, as illustrated in Figure 4. Vitamin C primarily interacts with vitamin E and carotenoids, working synergistically with antioxidant enzymes to neutralize free radicals. In membrane lipoproteins, vitamin C interacts with vitamin E, regenerating α-tocopherol from its radical form. As a strong reducing agent, vitamin C effectively neutralizes reactive oxygen species (ROS) such as hydrogen peroxide [15,25,26].
Figure 4.
The redox reaction of vitamin C, molecular forms in equilibrium. L-dehydroascorbic acid also possesses biological activity and it is reduced to form ascorbic acid in the organism due to this quality.
Building upon this foundation, a novel cobalt(III) coordination complex with thiosemicarbazone, namely tris[N-(prop-2-en-1-yl)hydrazinecarbothioamide]cobalt(III) chloride ([Co(Tsc)3]Cl3), was synthesized. The aim was to evaluate its potential to augment the total antioxidant capacity of Apis mellifera hemolymph. The synthesis has been carried out at the Laboratory of Advanced Materials in Biofarmaceutics and Technics, Moldova State University. Sample collection has involved storing hemolymph samples from honeybees and their larvae in sterile, food-grade containers (plastic or glass), followed by preservation and transport under cryogenic conditions using portable freezers to prevent degradation. The biological specimens have been dissolved in 96% ethanol and incubated at 25 °C for a period of 48 h in a controlled thermostat. The experimental assays have been conducted across a concentration range of 0.01 to 100.00 mg/mL to assess dose-dependent effects.
In initial experiments, the antioxidant activity of the complex [Co(Tsc)3]Cl3 was evaluated using the ABTS·+ assay. The results demonstrated that the IC50 value for [Co(Tsc)3]Cl3 is 7.3 ± 0.3 µmol/L, whereas for the standard Trolox it is 33.3 ± 0.3 µmol/L, and for vitamin C it is 14.0 ± 0.3 µmol/L (Table 1). Comparative analysis has revealed that [Co(Tsc)3]Cl3 exhibits an antioxidant activity approximately five times higher than Trolox and twice that of vitamin C. The significantly lower IC50 value indicates a high potency of [Co(Tsc)3]Cl3 as an antioxidant, exceeding the standards Trolox and vitamin C, which are commonly used as benchmarks for evaluating antioxidant properties in biochemical studies and for enhancing antioxidant defenses in biological systems. Considering the crucial role of vitamin C in enhancing the overall antioxidant status of bees [25,26], the high antioxidant activity of [Co(Tsc)3]Cl3 underscores its potential in supporting bee health and immunity, as well as in reducing oxidative stress levels.
Table 1.
ABTS•+ scavenging activity of the complex [Co(Tsc)3]Cl3, Trolox, vitamin C.
The toxicity of the coordination compound [Co(Tsc)3]Cl3 complex was initially assessed using Daphnia magna following the ISO 6341:2012 standard [56]. The results have showed that [Co(Tsc)3]Cl3 had a relatively low toxicity, with an LC50 of 56.3 ± 3.1 µmol/L, indicating a high level of safety. This suggests that [Co(Tsc)3]Cl3 can be safely used as a stimulator of bee development, offering an effective and non-toxic option for enhancing bee health.
The experiments assessing the TAS of the hemolymph of worker bees and their larvae have been conducted simultaneously on three groups, each consisting of 10 hives. Group I served as the control, with bees fed with plain sugar syrup without the tested compound. Group II has been designated for the study of the coordination compound [Co(Tsc)3]Cl3, with bees fed with syrup enriched with coordination compound [Co(Tsc)3]Cl3 at a concentration of 0.6 mg/L.
The results of the total antioxidant status of the hemolymph of worker bees and their larvae in the control group I (without influents of the coordination compound [Co(Tsc)3]Cl3) are presented in Table 2.
Table 2.
TAS of hemolymph of worker bees and their larvae of the control group I.
The IC50 values obtained from the hemolymph of control worker bees indicate inherently strong antioxidant activity. Specifically, the ABTS· assay has shown IC50 values of 13.56 ± 0.37 μg/mL for the hemolymph of adult bees and 9.95 ± 0.70 μg/mL for larvae. In the DPPH• assay, the IC50 values were 13.85 ± 0.19 mg/mL for adult bee hemolymph and 13.44 ± 2.95 mg/mL for larvae.
The TAS of hemolymph of bees and their larvae in the tested group II is presented in Table 3.
Table 3.
TAS of hemolymph of worker bees in the tested group II.
The results have indicated that the coordination compound tris[N-(prop-2-en-1-yl)hydrazinecarbothioamide]cobalt(III) chloride increased the total antioxidant status in the hemolymph of bees by up to 5.4 times, and in larvae by up to 7.8 times. The IC50 values have been recorded at 2.5 mg/mL for bee hemolymph and 1.3 mg/mL for larval hemolymph, compared to control values of 13.6 mg/mL and 10.0 mg/mL, respectively. These results highlight the potential of the coordination compound [Co(Tsc)3]Cl3 as an effective stimulator of the TAS in Apis mellifera, contributing to increased resilience of bee colonies against oxidative stress. Due to its antioxidant properties, the coordination compound [Co(Tsc)3]Cl3 is of considerable interest for maintaining bee health and productivity.
As shown in Figure 5, the stimulatory effect of the tested compound on TAS exceeded that of vitamin C by up to 5.2 times in bees and up to 4.8 times in larvae.
Figure 5.
Influence of the coordination compound [Co(Tsc)3]Cl3 on the antioxidant property of the hemolymph of larvae and bees.
These findings suggest that increasing TAS levels of bees could enhance their immune systems, highlighting the potential of tris[N-(prop-2-en-1-yl)hydrazinecarbothioamide]cobalt(III) chloride as a beneficial additive in apicultural health practices.
The coordination compound [Co(Tsc)3]Cl3 effectively neutralizes free radicals, reduces oxidative stress, and helps to protect cellular structures and biomolecules in bees. As a result, it contributes to improved overall health and resilience of bee colonies, especially during periods of environmental stress, such as pollen and nectar scarcity in early spring. This enhancement of antioxidant protection may lead to increased vitality and longevity of the bees, supporting their role as essential pollinators in the ecosystem.
3.2. Acaricidal Activity
In recent years, protecting bee colonies from the parasitic mite Varroa destructor has become one of the most pressing challenges in beekeeping. According to literature sources, studies have indicated that TAS levels of bees is directly influenced by the degree of infestation by Varroa destructor. Infected bees exhibit reduced activity of key enzymes in the antioxidant system, leading to accelerated aging and a shortened lifespan. Particularly severe damage is associated with certain segments of the fat body, highlighting the urgent need to develop protective strategies against parasitic attacks, which is crucial in today’s world [57,58,59].
This external parasitic mite feeds on and reproduces within Apis mellifera, causing significant losses in colonies and reducing their health and productivity. Despite the development of new control methods, chemical compounds with high efficacy and low toxicity remain important [60,61,62,63,64,65,66,67], but existing treatments often exhibit insufficient activity. If left uncontrolled, Varroa destructor can seriously weaken or destroy most bee colonies [53].
Therefore, our goal is to expand the arsenal of coordination compounds (chemical compounds consisting of a central metal atom or ion bonded to ligands via coordinate covalent bonds, where ligands donate electron pairs, forming a distinct species with unique properties) that can be used as acaricides for the preventive and therapeutic control of Varroa destructor infestation in Apis mellifera colonies. The article includes an initial screening of the acaricidal properties of a novel coordination compound [Co(Tsc)3]Cl3.
The transmission of mites between colonies is facilitated by their morphological and physiological characteristics, which allow them to quickly move from bee to bee. Varroa destructor has been identified in apiaries in the Republic of Moldova (Figure 6).
Figure 6.
Varroa destructor adult female: (a) dorsal view, (b) ventral view.
The mite population in the colony grows exponentially, and the greatest damage to the brood occurs in spring when young bees are actively preparing for honey collection. In 2025, the brood infestation level by Varroa in the Apis mellifera colonies used in our experiment was notably high, reaching 26.4% in the control group (Table 4). During our trials, up to three mites at various developmental stages were found on larvae. Fewer mites were detected on the bees themselves. These data highlight a critical period when Varroa, being the most dangerous to colony health, requires urgent control measures to limit the rapid increase in population and prevent significant damage to the brood.
Table 4.
Varroa infestation levels in bees (%) in the control groups and in the groups with the addition of the coordination compound [Co(Tsc)3]Cl3 at concentrations of 0.2 and 0.6 mg/L after the treatment period.
For species identification of V. destructor mites, we produced morphometry of mites, collected from larvae of Apis mellifera. As a result of morphometry, the biometric parameters of indigo and V. destructor nymphs were calculated. The average sizes of grayish-white males are L = 0.91 ± 0.15 mm and D = 1.11 ± 0.38 mm. The brown body of the female is strongly sclerotized, flattened in the dorsoventral direction, transversely oval in shape, slightly convex from the side of the dorsal part, and has dimensions L = 1.15 ± 0.05 mm and D = 1.74 ± 0.05 mm. Incompletely sclerotized tritonymphs have dimensions L = 1.11 ± 0.06 mm and D = 1.55 ± 0.12 mm. These parameters correspond to the species identification keys described in De-Guzman, Fernandez, and Coineau (2007) [68].
As part of the biological study on the acaricidal properties of the coordination compound [Co(Tsc)3]Cl3 on Apis mellifera colonies, the bees were fed with a syrup composed of 50% sugar and 50% water containing [Co(Tsc)3]Cl3 at concentrations of 0.2 mg/L and 0.6 mg/L. The feeding was conducted during the early spring period. Experiments were performed simultaneously on three groups, each comprising 10 hives. Group I served as the control, with bees receiving plain sugar syrup. Groups II and III were experimental, with the bees fed syrup fortified with [Co(Tsc)3]Cl3 at concentrations of 0.2 mg/L and 0.6 mg/L, corresponding to doses of 2 mg and 6 mg per hive, respectively. The syrup was administered every two days over a two-week period. The level of Varroa destructor infestation was assessed using a non-destructive diagnostic method based on powdered sugar application. The results of the effect of [Co(Tsc)3]Cl3 on mite infestation levels are presented in Table 4.
The data presented in this table reflect the Varroa infestation levels in bees (%) after the treatment period. To accurately assess the acaricidal efficacy of the tested compound, the infestation levels in each hive were compared before and after treatment, accounting for initial differences across colonies, ensuring that the reduction in infestation is evaluated based on within-hive changes rather than initial infestation levels alone. During the two-week experimental period, all colonies were fed with sugar syrup. The control groups received only sugar syrup, while the experimental groups were administered sugar syrup containing the coordination compound [Co(Tsc)3]Cl3 at concentrations of 0.2 and 0.6 mg/L. At the start of the experiment, the number of Varroa mites was higher in the hives receiving the coordination compound. After one week, the number of fallen Varroa mites per hive consistently decreased in the treatment groups compared to the control, indicating a lower Varroa load in colonies fed with sugar syrup supplemented with the coordination compound. The level of bee infestation in the control group was 26.4%. After treatment with [Co(Tsc)3]Cl3 (0.2 mg/L), the infestation level decreased to 2.7%, and at a concentration of 0.6 mg/L—to 0.4%.
To evaluate the effectiveness of the tested coordination compound [Co(Tsc)3]Cl3, the percentage reduction in Varroa destructor infestation levels in Apis mellifera colonies was calculated comparative to the control groups. For a comparative characterization of the acaricidal properties of the substances, the median lethal concentration (LC50), at which 50% of Varroa destructor mites are killed, was determined. The results are presented in Table 5.
Table 5.
The percentage reduction in Varroa destructor infestation levels in Apis mellifera colonies and LC50, μM of [Co(Tsc)3]Cl3.
Our studies have demonstrated a significant effect: at a concentration of 0.2 mg/L, the coordination compound [Co(Tsc)3]Cl3 has reduced the infestation level by 89.8%, and with an increased dose to 0.6 mg/L, the reduction reached 98.5%. Additionally, the LC50 of the coordination compound [Co(Tsc)3]Cl3 complex was determined to be only 0.2 µmol/L, indicating high acaricidal activity at very low concentration.
Literature sources indicate that CH3COOLi (lithium acetate(LiOAc)) possesses acaricidal activity against Varroa destructor infestations in honeybee colonies [40]. Consequently, lithium acetate has been identified and established as a acaricidal agent for the control of Varroa destructor mites. It has been demonstrated that a concentration of 4 mM lithium acetate achieves complete mite eradication (100% mortality), with a median lethal concentration (LC50) of approximately 2.7 µM, while exerting significant adverse effects on bee viability. At a concentration of 0.2 mg/L, [Co(TSC)3]Cl3 demonstrates a significantly greater reduction in Varroa destructor infestation, reaching 59.4%, in comparison to LiOAc [40]. The median lethal concentration (LC50) of [Co(TSC)3]Cl3 for Varroa destructor is 13.5 times lower than that of LiOAc, indicating superior acaricidal potency. These results demonstrate the promising potential of the coordination compound [Co(Tsc)3]Cl3 as an effective and safe agent for controlling Varroa destructor in beekeeping.
The results indicate that compound [Co(Tsc)3]Cl3 is a promising, safe, and effective means of controlling Varroa destructor in bee colonies. Field studies in apiaries have confirmed its high acaricidal activity under real-world conditions. It has been established that the coordination compound [Co(Tsc)3]Cl3 stimulates the overall antioxidant status of the hemolymph of honeybees (Apis mellifera) and their larvae, thereby enhancing their resistance to diseases. These findings suggest that the coordination compound [Co(Tsc)3]Cl3 can be used as a safe and effective agent for combating Varroa destructor, improving the overall health of bees, and increasing their productivity. This approach can significantly reduce parasite populations, improve colony health, and substantially decrease economic losses in beekeeping. However, it is crucial to underscore that these promising results should be validated across different contexts. To fully establish the efficacy and safety of the coordination compound [Co(Tsc)3]Cl3, further studies conducted by independent research groups are essential. These studies should include various honeybee subspecies and ecotypes, as well as colonies situated in diverse climatic regions, to evaluate the broad applicability of this compound. Additionally, future research should employ a wide range of assessment methodologies to accurately measure the acaricidal effectiveness of Varoacid. This includes, but is not limited to, field monitoring of mite populations, biochemical assays, microscopic analyses, and long-term colony health evaluations. Such comprehensive validation is necessary to ensure that the promising outcomes observed in this study can be reliably replicated and applied across different beekeeping environments. Only with rigorous, multi-faceted testing can we confirm the potential of the coordination compound [Co(Tsc)3]Cl3 as a safe, effective, and sustainable solution for Varroa control, ultimately contributing to healthier, more productive bee colonies
4. Conclusions
The cobalt(III) complex has been synthesized via the reaction of cobalt(II) chloride hexahydrate with N-(prop-2-en-1-yl)hydrazinecarbothioamide in ethanol. The antioxidant activity of the complex was evaluated using ABTS•+ radical scavenging assay, which demonstrated a significant free radical scavenging capacity, with an IC50 value of 7.3 µmol/L, while toxicity assessment with Daphnia magna showed low toxicity, with an LC50 of 56.3 µmol/L.
Experimental results demonstrated that the coordination compound tris[N-(prop-2-en-1-yl)hydrazinecarbothioamide]cobalt(III) chloride increased the total antioxidant status (TAS) in the hemolymph of bees and larvae by up to 5 and 8 times, respectively. The IC50 values for antioxidant activity of hemolymph are 2.5 mg/mL for bee and 1.3 mg/mL for larval, significantly lower than control values of 13.6 mg/mL and 10.0 mg/mL, respectively. The stimulatory effect of the tested compound on TAS surpassed that of vitamin C by up to five times.
These findings suggest that boosting TAS levels in bees could enhance their immune response, highlighting the potential of tris[N-(prop-2-en-1-yl)hydrazinecarbothioamide]cobalt(III) chloride as a beneficial additive in apicultural practices. Moreover, our studies confirmed that this coordination compound acts as an antioxidant, thereby improving the antioxidative capacity of bee hemolymph and enhancing overall colony resilience.
This finding is of significant scientific relevance as the coordination compound [Co(Tsc)3]Cl3 shows a strong acaricidal property, effectively inhibiting Varroa destructor with an LC50 of 0.2 µmol/L. This highlights the importance of developing new compounds that simultaneously enhance antioxidant defenses and serve as effective acaricides. Such substances are essential for protecting bees from parasitic infections and environmental stressors, meeting the current demand for sustainable and safe beekeeping solutions.
5. Patent
Tris[N-(prop-2-en-1-yl)hydrazinecarbothioamide]-cobalt(III) chloride as a stimulator of the total antioxidant activity status of hemolymph of Apis mellifera bees and their larvae. GARBUZ Olga, MD; GRAUR Vasilii, MD; ŢAPCOV Victor, MD; TODERAŞ Ion, MD; GULEA Aurelian, MD. MD 4905 C1 2025.05.31.
Author Contributions
Conceptualization, A.G., I.T. and O.G.; methodology, O.G., V.G., V.F., N.R., V.T. and J.R.; validation, I.T., A.G., O.G., V.F., V.G. and N.R.; investigation, O.G., V.G., N.R., V.F., J.R., V.T., G.B., V.S. and J.R.; resources, A.G., V.F. and I.T.; data curation, A.G., I.T. and O.G.; writing—original draft preparation O.G.; writing—review and editing, A.G., I.T., O.G. and V.G.; visualization, A.G., I.T., V.F., O.G., G.B., V.S. and V.G.; supervision, A.G. and I.T.; project administration, A.G. and I.T. All authors have read and agreed to the published version of the manuscript.
Funding
This research was funded by the subprograms 010602 and 010701 (Moldova State University).
Institutional Review Board Statement
Not applicable.
Informed Consent Statement
Not applicable.
Data Availability Statement
The original contributions presented in this study are included in the article. Further inquiries can be directed to the corresponding authors.
Conflicts of Interest
The authors declare no conflicts of interest.
Abbreviations
The following abbreviations are used in this manuscript:
| [Co(Tsc)3]Cl3 | tris[N-(prop-2-en-1-yl)hydrazinecarbothioamide]-cobalt(III) chloride |
| ABTS•+ | 2,2′-azino-bis(3-ethylbenzothiazoline-6-sulphonic acid) |
| DPPH• | 1,1-diphenyl-2-picrylhydrazyl |
| TAS | Total antioxidant status |
| AOA | Antioxidant activity |
| Tsc | 4-allylthiosemicarbazide |
| I, % | Percent of inhibition |
| ROS | Reactive oxygen species |
| SD | Standard deviation |
| IC50 | Half-maximal inhibitory concentration |
| LC50 | Median lethal concentration |
References
- Klein, A.M.; Vaissière, B.E.; Cane, J.H.; Steffan-Dewenter, I.; Cunningham, S.A.; Kremen, C.; Tscharntke, T. Importance of pollinators in changing landscapes for world crops. Proc Biol Sci. 2007, 274, 303–313. [Google Scholar] [CrossRef] [PubMed] [PubMed Central]
- Gallai, N.; Salles, J.-M.; Settele, J.; Vaissière, B.E. Economic valuation of the vulnerability of world agriculture confronted with pollinator decline. Ecol. Econ. 2009, 68, 810–821. [Google Scholar] [CrossRef]
- Kovács-Hostyánszki, A.; Espíndola, A.; Vanbergen, A.J.; Settele, J.; Kremen, C.; Dicks, L.V. Ecological intensification to mitigate impacts of conventional intensive land use on pollinators and pollination. Ecol. Lett. 2017, 20, 673–689. [Google Scholar] [CrossRef] [PubMed] [PubMed Central]
- Requier, F.; Pérez-Méndez, N.; Andersson, G.K.S.; Blareau, E.; Merle, I.; Garibaldi, L.A. Bee and non-bee pollinator importance for local food security. Trends Ecol. Evol. 2023, 38, 196–205. [Google Scholar] [CrossRef] [PubMed]
- Bertola, M.; Mutinelli, F. Sensitivity and Resistance of Parasitic Mites (Varroa destructor, Tropilaelaps spp. and Acarapis woodi) Against Amitraz and Amitraz-Based Product Treatment: A Systematic Review. Insects 2025, 16, 234. [Google Scholar] [CrossRef]
- Li-Byarlay, H.; Huang, M.H.; Simone-Finstrom, M.; Strand, M.K.; Tarpy, D.R.; Rueppell, O. Honey bee (Apis mellifera) drones survive oxidative stress due to increased tolerance instead of avoidance or repair of oxidative damage. Exp. Gerontol. 2016, 83, 15–21. [Google Scholar] [CrossRef] [PubMed] [PubMed Central]
- Dmochowska-Ślęzak, K.; Dmitryjuk, M.; Zaobidna, E.; Zóltowska, K. The antioxidant defense system of Varroa destructor mites facilitates the infestation of Apis mellifera. J. Apic. Sci. 2016, 60, 163–166. [Google Scholar] [CrossRef][Green Version]
- Kunat-Budzyńska, M.; Łabuć, E.; Ptaszyńska, A.A. Changes in enzymatic activity and oxidative stress in honeybees kept in the apiary and laboratory conditions during the course of nosemosis. PLoS ONE 2025, 20, e0317384. [Google Scholar] [CrossRef] [PubMed] [PubMed Central]
- Vilić, M.; Žura Žaja, I.; Tkalec, M.; Tucak, P.; Malarić, K.; Popara, N.; Žura, N.; Pašić, S.; Gajger, I.T. Oxidative Stress Response of Honey Bee Colonies (Apis mellifera L.) during Long-Term Exposure at a Frequency of 900 MHz under Field Conditions. Insects 2024, 15, 372. [Google Scholar] [CrossRef] [PubMed] [PubMed Central]
- Paleolog, J.; Wilde, J.; Miszczak, A.; Gancarz, M.; Strachecka, A. Antioxidation Defenses of Apis mellifera Queens and Workers Respond to Imidacloprid in Different Age-Dependent Ways: Old Queens Are Resistant, Foragers Are Not. Animals 2021, 11, 1246. [Google Scholar] [CrossRef] [PubMed] [PubMed Central]
- Spremo, J.; Purać, J.; Čelić, T.; Đorđievski, S.; Pihler, I.; Kojić, D.; Vukašinović, E. Assessment of oxidative status, detoxification capacity and immune responsiveness in honey bees with ageing. Comp. Biochem. Physiol. Part A Mol. Integr. Physiol. 2024, 298, 111735. [Google Scholar] [CrossRef] [PubMed]
- Kumar, D.; Banerjee, D.; Chakrabarti, P.; Sarkar, S.; Basu, P. Oxidative stress and apoptosis in Asian honey bees (A. cerana) exposed to multiple pesticides in intensive agricultural landscape. Apidologie 2022, 53, 25. [Google Scholar] [CrossRef]
- Gülmez, Y.; Kisa, D.; Can, I. Effects of Varroa Destructor Anderson & Trueman Infestation on Antioxidant Enzymes of Adult Worker Honey Bee (Apis mellifera L.). AJC 2015, 28, 663–665. [Google Scholar]
- Biljana, Z.; Nevenka, A.; Marko, R.; Uros, G.; Branislav, V.; Igor, K.; Zoran, S. Anti-Varroa Efficiency of Coumaphos and Its Influence on Oxidative Stress and Survival of Honey Bees. Acta Vet. Beogr. 2020, 70, 355–373. [Google Scholar] [CrossRef]
- Farjan, M.; Łopieńska-Biernat, E.; Lipiński, Z.; Dmitryjuk, M.; Żółtowska, K. Supplementing with Vitamin C the Diet of Honeybees (Apis mellifera Carnica) Parasitized with Varroa Destructor: Effects on Antioxidative Status. Parasitology 2014, 141, 770–776. [Google Scholar] [CrossRef]
- Akyol, E.; Yeninar, H. Use of Oxalic Acid to Control Varroa Destructor in Honeybee (Apis mellifera L.) Colonies. Turk. J. Vet. Anim. Sci. 2009, 33, 285–288. [Google Scholar] [CrossRef]
- Gunes, N.; Aydın, L.; Belenli, D.; Hranitz, J.M.; Mengilig, S.; Selova, S. Stress Responses of Honey Bees to Organic Acid and Essential Oil Treatments against Varroa Mites. J. Apic. Res. 2017, 56, 175–181. [Google Scholar] [CrossRef]
- Chouikh, A.; Chenguel, A.; Ali, A.B. Understanding the Role of Free Radicals, Oxidative Stress, and Antioxidants: A Comprehensive Review. Lett. Appl. NanoBioScience 2025, 14, 66. [Google Scholar]
- La Porta, G.; Magara, G.; Goretti, E.; Caldaroni, B.; Dörr, A.J.M.; Selvaggi, R.; Pallottini, M.; Gardi, T.; Cenci-Goga, B.T.; Cappelletti, D.; et al. Applying Artificial Neural Networks to Oxidative Stress Biomarkers in Forager Honey Bees (Apis mellifera) for Ecological Assessment. Toxics 2023, 11, 661. [Google Scholar] [CrossRef]
- Brodschneider, R.; Brus, J.; Danihlík, J. Comparison of apiculture and winter mortality of honey bee colonies (Apis mellifera) in Austria and Czechia. Agric. Ecosyst. Environ. 2019, 274, 24–32. [Google Scholar] [CrossRef]
- Andy, D.J.; Becker, A.; Wegener, B. Coordination and integration of metabolism in insect flight. Comp. Biochem. Physiol. 1997, 117B, 497–512. [Google Scholar]
- Rodríguez-Flores, S.; Escuredo, O.; Seijo, M.C. Characterization and antioxidant capacity of sweet chestnut honey produced in North-West Spain. J. Apic. Sci. 2016, 60, 19–30. [Google Scholar] [CrossRef]
- Corona, M.; Robinson, G.E. Genes of the antioxidant system of the honey bee: Annotation and phylogeny. Insect Mol. Biol. 2006, 15, 687–701. [Google Scholar] [CrossRef] [PubMed]
- Simone-Finstrom, M.; Li-Byarlay, H.; Huang, M.-H.; Strand, M.K.; Rueppell, O.; Tarpy, D.R. Migratory management and environmental conditions affect lifespan and oxidative stress in honey bees. Sci. Rep. 2016, 6, 32023. [Google Scholar] [CrossRef]
- Garbuz, O.; Graur, V.; Tsapkov, V.; Railean, N.; Toderas, I.; Gulea, A. Chloride tris[N-(prop-2-en-1-yl)hydrazinecarbothioamide]-cobalt(III) as a stimulator of the total antioxidant status of Apis mellifera. In Proceedings of the 2nd International Electronic Conference on Antioxidants, Virtual, 7–9 April 2025. [Google Scholar]
- Garbuz, O.; Gudumac, V.; Toderaș, I.; Gulea, A. Antioxidant Properties of Synthetic Compounds and Natural Products. Action Mechanisms. Monograph; CEP USM: Chișinău, Moldova, 2023; ISBN 978-9975-62-516-6. [Google Scholar]
- Tlak Gajger, I.; Cvetkovikj, A. Antioxidant Potential of Pollen Polyphenols in Mitigating Environmental Stress in Honeybees (Apis mellifera). Antioxidants 2025, 14, 1086. [Google Scholar] [CrossRef]
- Bryś, M.S.; Olszewski, K.; Bartoń, M.; Strachecka, A. Changes in the Activities of Antioxidant Enzymes in the Fat Body and Hemolymph of Apis mellifera L. Due to Pollen Monodiets. Antioxidants 2025, 14, 69. [Google Scholar] [CrossRef]
- Strachecka, A.; Kuszewska, K.; Olszewski, K.; Skowronek, P.; Grzybek, M.; Grabowski, M.; Paleolog, J.; Woyciechowski, M. Activities of Antioxidant and Proteolytic Systems and Biomarkers in the Fat Body and Hemolymph of Young Apis mellifera Females. Animals 2022, 12, 1121. [Google Scholar] [CrossRef]
- Elfar, S.A.; Bahgat, I.M.; Shebl, M.A.; Lihoreau, M.; Tawfik, M.M. Intraspecific Variability in Proteomic Profiles and Biological Activities of the Honey Bee Hemolymph. Insects 2023, 14, 365. [Google Scholar] [CrossRef]
- Skowronek, P.; Wójcik, Ł.; Strachecka, A. Impressive Impact of Hemp Extract on Antioxidant System in Honey Bee (Apis mellifera) Organism. Antioxidants 2022, 11, 707. [Google Scholar] [CrossRef]
- Kunat-Budzyńska, M.; Staniszewska, P.; Olszewski, K.; Strachecka, A. Antioxidant Activities in the Hemolymph and Fat Body of Physiologically and Prematurely Aging Bees (Apis mellifera). Antioxidants 2025, 14, 373. [Google Scholar] [CrossRef]
- Hannus, S.; Rosenkranz, P.; Ziegelmann, B. Alkali Metal Salt for Use in Treatment of Varroa Destructor Mite Infestation of Honey Bees. Patent No.: US11723366B2, 15 August 2023. [Google Scholar]
- Garbuz, O.; Ceban, E.; Istrati, D.; Railean, N.; Toderas, I.; Gulea, A. Thiosemicarbazone-Based Compounds: Cancer Cell Inhibitors with Antioxidant Properties. Molecules 2025, 30, 2077. [Google Scholar] [CrossRef]
- Garbuz, O.; Toderas, I.; Gulea, A. Biological Properties of Some Synthetic and Natural Compounds. Correlation of Anticancer and Antioxidant Activities. Monograph. (Proprietăţile Biologice ale Unor Compuşi Sintetici şi Naturali. Corelarea Activităţii Anticancer şi Antioxidante. Monografie); Tipografia Centrală: Chișinău, Moldova, 2024; 271p, ISBN 978-5-88554-387-3. [Google Scholar]
- Graur, V.O.; Mardari, A.; Bourosh, P.; Kravtsov, V.; Usataia, I.; Ulchina, I.; Garbuz, O.; Gulya, A. Novel Antioxidants Based on Selected 3d Metal Coordination Compounds with 2-Hydroxybenzaldehyde 4,S-Diallylisothiosemicarbazone. Acta Chim. Slov. 2023, 70, 122–130. [Google Scholar] [CrossRef] [PubMed]
- Hýbl, M.; Šipoš, J.; Krejčová, A.; Sodomová, K.; Polák, O.; Koláčková, I.; Mráz, P. Preference of Pollinators over Various Forage Mixtures and Microelement Treatments. Agronomy 2022, 12, 370. [Google Scholar] [CrossRef]
- Colven, R.M.; Pinnell, S.R. Topical Vitamin C in aging. Clin. Dermatol. 1996, 14, 227–234. [Google Scholar] [CrossRef] [PubMed]
- Farjan, M.; Dmitryjuk, M.; Lipiński, Z.; Elżbieta Biernat-Łopieńska, E.; Żółtowska, K. Supplementation of the honey bee diet with vitamin C: The effect on the antioxidative system of Apismelliferacarnica brood at different stages. J. Apic. Res. 2012, 51, 263–270. [Google Scholar] [CrossRef]
- Fuior, A.; Colin-Duchevet, L.; Cebotari, V.; Noël, A.; Ribaud, I.; Gérard, I.; Garbuz, O.; Fregnaux, M.; López, X.; Larcher, V.; et al. Feed supplementation with molybdenum complexes improves honey bee health. Inorg. Chem. Front. 2025, 12, 7107–7122. [Google Scholar] [CrossRef]
- Fuior, A.; Hijazi, A.; Garbuz, O.; Bulimaga, V.; Zosim, L.; Cebotari, D.; Haouas, M.; Toderas, I.; Gulea, A.; Floquet, S. Screening of biological properties of MoV2O2S2- and MoV2O4-based coordination complexes: Investigation of antibacterial, antifungal, antioxidative and antitumoral activities versus growing of Spirulina platensis biomass. Inorg. Biochem. 2022, 226, 111627. [Google Scholar] [CrossRef]
- Gulea, A.; Toderas, I.; Garbuz, O.; Ulchina, I.; Graur, V.; Railean, N. Biological Evaluation of a Series of Amine-Containing Mixed-Ligand Copper(II) Coordination Compounds with 2-(2-hydroxybenzylidene)-N-(prop-2-en-1-yl)hydrazinecarbothioamide. Microsc. Microanal. 2022, 28, 1696–1702. [Google Scholar] [CrossRef]
- Fuior, A.; Cebotari, D.; Garbuz, O.; Calancea, S.; Gulea, A.; Floquet, S. Biological properties of a new class of [Mo2O2S2]-based thiosemicarbazone coordination complexes. Inorganica Chim. Acta 2023, 548, 121372. [Google Scholar] [CrossRef]
- Rząd, K.; Budziak-Wieczorek, I.; Strachecka, A.; Staniszewska, P.; Staniszewski, A.; Gryboś, A.; Matwijczuk, A.; Gładyszewska, B.; Starzak, K.; Hoser, A.A.; et al. Advanced Research on Biological Properties—A Study on the Activity of the Apis mellifera Antioxidant System and the Crystallographic and Spectroscopic Properties of 7-Diethylamino-4-hydroxycoumarin. Int. J. Mol. Sci. 2025, 26, 7015. [Google Scholar] [CrossRef]
- Rosenkranz, P.; Aumeier, P.; Ziegelmann, B. Biology and control of Varroa destructor. J. Invertebr. Pathol. 2010, 103, S96–S119. [Google Scholar] [CrossRef] [PubMed]
- Bilik, S.; Kratochvila, L.; Ligocki, A.; Bostik, O.; Zemcik, T.; Hybl, M.; Horak, K.; Zalud, L. Visual Diagnosis of the Varroa Destructor Parasitic Mite in Honeybees Using Object Detector Techniques. Sensors 2021, 21, 2764. [Google Scholar] [CrossRef] [PubMed]
- Piou, V.; Vilarem, C.; Blanchard, S.; Strub, J.-M.; Bertile, F.; Bocquet, M.; Arafah, K.; Bulet, P.; Vétillard, A. Honey Bee Larval Hemolymph as a Source of Key Nutrients and Proteins Offers a Promising Medium for Varroa destructor Artificial Rearing. Int. J. Mol. Sci. 2023, 24, 12443. [Google Scholar] [CrossRef] [PubMed]
- Garbuz, O.; Graur, V.; Ţapcov, V.; Toderas, I.; Gulea, A. Chloride tris[N-(prop-2-en-1-yl)hydrazinecarbothioamide]-cobalt(III) as a Stimulator of the Total Antioxidant Activity Status of Hemolymph of Apis mellifera Bees and Their Larvae. Patent No.: MD 4905 C1, 31 May 2025. [Google Scholar]
- Bava, R.; Castagna, F.; Palma, E.; Marrelli, M.; Conforti, F.; Musolino, V.; Carresi, C.; Lupia, C.; Ceniti, C.; Tilocca, B.; et al. Essential Oils for a Sustainable Control of Honeybee Varroosis. Vet. Sci. 2023, 10, 308. [Google Scholar] [CrossRef]
- Fries, J.; Getrost, H.; Merck, D.E. Organic Reagents Trace Analysis; E. Merck: Darmstadt, Germany, 1977. [Google Scholar]
- Zhao, W.; Zhao, M. Synthesis and characterization of some multi-substituted thiosemicarbazones as the multi-dental ligands of metal ions. Chin. J. Org. Chem. 2001, 21, 681–684. [Google Scholar]
- Re, R.; Pellegrini, N.; Proteggente, A.; Pannala, A.; Yang, M.; Rice-Evans, C. Antioxidant activity applying an improved ABTS radical cation decolorization assay. Free Radic. Biol. Med. 1999, 26, 1231–1237. [Google Scholar] [CrossRef]
- Pietropaoli, M.; Tlak Gajger, I.; Costa, C.; Gerula, D.; Wilde, J.; Adjlane, N.; Aldea-Sánchez, P.; Smodiš Škerl, M.I.; Bubnič, J.; Formato, G. Evaluation of Two Commonly Used Field Tests to Assess Varroa destructor Infestation on Honey Bee (Apis mellifera) Colonies. Appl. Sci. 2021, 11, 4458. [Google Scholar] [CrossRef]
- Zhu, X.; Cao, M.; Li, C.; Zhu, C.; Li, H.; Tian, Y.; Shang, J.; Sun, J.; Zhou, B.; Wu, X.; et al. Biochemical and Transcriptomic Analysis Reveals Low Temperature-Driven Oxidative Stress in Pupal Apis mellifera Neural System. Insects 2025, 16, 250. [Google Scholar] [CrossRef]
- Jovanovic, N.M.; Glavinic, U.; Ristanic, M.; Vejnovic, B.; Ilic, T.; Stevanovic, J.; Stanimirovic, Z. Effects of Plant-Based Supplement on Oxidative Stress of Honey Bees (Apis mellifera) Infected with Nosema ceranae. Animals 2023, 13, 3543. [Google Scholar] [CrossRef]
- ISO 6341:2012; Water Quality—Determination of the inhibition of the mobility of Daphnia magna Straus (Cladocera, Crustacea)—Acute toxicity test. International Organization for Standardization (ISO): Geneva, Switzerland, 2012.
- Rinkevich, F.D.; Danka, R.G.; Healy, K.B. Influence of Varroa Mite (Varroa destructor) Management Practices on Insecticide Sensitivity in the Honey Bee (Apis mellifera). Insects 2017, 8, 9. [Google Scholar] [CrossRef]
- Kosch, Y.; Mülling, C.; Emmerich, I.U. Resistance of Varroa destructor against Oxalic Acid Treatment—A Systematic Review. Vet Sci. 2024, 11, 393. [Google Scholar] [CrossRef] [PubMed] [PubMed Central]
- Li, Z.; Hou, M.; Qiu, Y.; Zhao, B.; Nie, H.; Su, S. Changes in Antioxidant Enzymes Activity and Metabolomic Profiles in the Guts of Honey Bee (Apis mellifera) Larvae Infected with Ascosphaera apis. Insects 2020, 11, 419. [Google Scholar] [CrossRef] [PubMed]
- Vilarem, C.; Piou, V.; Vogelweith, F.; Vétillard, A. Varroa destructor from the Laboratory to the Field: Control, Biocontrol and IPM Perspectives—A Review. Insects 2021, 12, 800. [Google Scholar] [CrossRef] [PubMed] [PubMed Central]
- Brodschneider, R.; Schlagbauer, J.; Arakelyan, I.; Ballis, A.; Brus, J.; Brusbardis, V.; Cadahía, L.; Charrière, J.-D.; Chlebo, R.; Coffey, M.F.; et al. Spatial clusters of Varroa destructor control strategies in Europe. J. Pest. Sci. 2022, 96, 759–783. [Google Scholar] [CrossRef]
- Vercelli, M.; Croce, L.; Mancuso, T. Biotechnical Control of Varroa in Honey Bee Colonies: A Trade-Off between Sustainable Beekeeping and Profitability? Insects 2023, 14, 830. [Google Scholar] [CrossRef] [PubMed] [PubMed Central]
- Johnson, R.M.; Dahlgren, L.; Siegfried, B.D.; Ellis, M.D. Acaricide, fungicide and drug interactions in honey bees (Apis mellifera). PLoS ONE 2013, 8, e54092. [Google Scholar] [CrossRef] [PubMed] [PubMed Central]
- Thurston, D.; Eccles, L.; Kempers, M.; Borges, D.; Ducsharm, K.; Ovinge, L.; Stotesbury, D.; Scarlett, R.; Kozak, P.; Petukhova, T.; et al. Efficacy and Safety of an Oxalic Acid and Glycerin Formulation for Varroa destructor Control in Honey Bee Colonies During Summer in a Northern Climate. Pathogens 2025, 14, 724. [Google Scholar] [CrossRef] [PubMed] [PubMed Central]
- Cook, S.C.; Johnson, J.D.; Rogers, C.W.; Sachs, I.E.; Feng, X.; Plettner, E. The efficacy of 1-allyloxy-4-propoxybenzene (3c{3,6}) against Varroa destructor mites in honey bee colonies from Maryland, USA. J. Insect. Sci. 2024, 24, 9. [Google Scholar] [CrossRef] [PubMed] [PubMed Central]
- Berry, J.A.; Bartlett, L.J.; Bruckner, S.; Baker, C.; Braman, S.K.; Delaplane, K.S.; Williams, G.R. Assessing repeated oxalic acid vaporization in honey bee (Hymenoptera: Apidae) colonies for control of the ectoparasitic mite Varroa destructor. J. Insect. Sci. 2022, 22, 15. [Google Scholar] [CrossRef]
- Reyna-Fuentes, J.H.; Vazquez-Mendoza, O.V.; Mireles-Villanueva, M.V.; López-Aguirre, D.; Coronado-Blanco, J.M.; Muñoz-Sánchez, R.A.; Reyes-Zepeda, F. Comparative Evaluation of Organic and Commercial Treatments Against Varroa destructor in Apis mellifera: Implications for Honey Yield in Northeastern Mexico. Pathogens 2025, 14, 1051. [Google Scholar] [CrossRef] [PubMed] [PubMed Central]
- Fernandez, N.; Coineau, Y. Varroa, the Serial Bee Killer Mite; Atlantica: Biarritz, France, 2007; p. 264. [Google Scholar]
Disclaimer/Publisher’s Note: The statements, opinions and data contained in all publications are solely those of the individual author(s) and contributor(s) and not of MDPI and/or the editor(s). MDPI and/or the editor(s) disclaim responsibility for any injury to people or property resulting from any ideas, methods, instructions or products referred to in the content. |
© 2025 by the authors. Licensee MDPI, Basel, Switzerland. This article is an open access article distributed under the terms and conditions of the Creative Commons Attribution (CC BY) license.





