Sign in to use this feature.

Years

Between: -

Subjects

remove_circle_outline
remove_circle_outline
remove_circle_outline
remove_circle_outline
remove_circle_outline
remove_circle_outline
remove_circle_outline

Journals

Article Types

Countries / Regions

Search Results (34)

Search Parameters:
Keywords = standard test condition (STC)

Order results
Result details
Results per page
Select all
Export citation of selected articles as:
22 pages, 3747 KB  
Article
Integrated Triple-Diode Modeling and Hydrogen Turbine Power for Green Hydrogen Production
by Abdullah Alrasheedi, Mousa Marzband and Abdullah Abusorrah
Energies 2026, 19(2), 435; https://doi.org/10.3390/en19020435 - 15 Jan 2026
Viewed by 202
Abstract
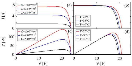
The study establishes a comprehensive mathematical modeling framework for solar-driven hydrogen production by integrating a triple-diode photovoltaic (PV) model, an alkaline electrolyzer, and a hydrogen turbine (H2T), subsequently using hybrid power utilization to optimize hydrogen output. The Triple-Diode Model (TDM) accurately [...] Read more.
The study establishes a comprehensive mathematical modeling framework for solar-driven hydrogen production by integrating a triple-diode photovoltaic (PV) model, an alkaline electrolyzer, and a hydrogen turbine (H2T), subsequently using hybrid power utilization to optimize hydrogen output. The Triple-Diode Model (TDM) accurately reproduces the electrical performance of a 144-cell photovoltaic module under standard test conditions (STC), enabling precise calculations of hourly maximum power point outputs based on real-world conditions of global horizontal irradiance and ambient temperature. The photovoltaic system produced 1.07 MWh during the summer months (May to September 2025), which was sent straight to the alkaline electrolyzer. The electrolyzer, using Specific Energy Consumption (SEC)-based formulations and Faraday’s law, produced 22.6 kg of green hydrogen and used around 203 L of water. The generated hydrogen was later utilized to power a hydrogen turbine (H2T), producing 414.6 kWh, which was then integrated with photovoltaic power to create a hybrid renewable energy source. This hybrid design increased hydrogen production to 31.4 kg, indicating a substantial improvement in renewable hydrogen output. All photovoltaic, electrolyzer, and turbine models were integrated into a cohesive MATLAB R2024b framework, allowing for an exhaustive depiction of system dynamics. The findings validate that the amalgamation of H2T with photovoltaic-driven electrolysis may significantly improve both renewable energy and hydrogen production. This research aligns with Saudi Vision 2030 and global clean-energy initiatives, including the Paris Agreement, to tackle climate change and its negative impacts. An integrated green hydrogen system, informed by this study’s findings, could significantly improve energy sustainability, strengthen production reliability, and augment hydrogen output, fully aligning with economical, technical, and environmental objectives. Full article
(This article belongs to the Special Issue Advances in Hydrogen Production in Renewable Energy Systems)
Show Figures

Figure 1

23 pages, 4729 KB  
Article
Design and Agronomic Experiment of an Automatic Row-Following Device for Subsurface Crop Harvesters
by Xiaoxu Sun, Chunxia Jiang, Xiaolong Zhang and Zhixiong Lu
Agronomy 2025, 15(11), 2613; https://doi.org/10.3390/agronomy15112613 - 13 Nov 2025
Viewed by 548
Abstract
To address the issues of high labor intensity, high missed harvest rates, and high damage rates associated with traditional subsurface crop harvesters, this paper takes carrots as the research object and designs an automatic row-following device based on collaborative perception and intelligent control. [...] Read more.
To address the issues of high labor intensity, high missed harvest rates, and high damage rates associated with traditional subsurface crop harvesters, this paper takes carrots as the research object and designs an automatic row-following device based on collaborative perception and intelligent control. Firstly, the physical characteristic parameters and planting agronomic requirements of carrots in a harvest period were systematically measured and analyzed, and a collaborative control architecture with ‘lateral row-following and longitudinal profiling’ as the core was established. The architecture was composed of a lateral detection mechanism and a ridge surface floating detection mechanism. Building on this, this paper designed a control system with a STC12C5A60S2 single-chip microcomputer as the control core and a fusion fuzzy PID algorithm. By collaboratively driving the lateral and vertical stepper motors, the system achieved a precise control of the digging device’s position and posture, significantly improving the response speed and control stability under complex ridge conditions. Through the simulation of SolidWorks (2019) and RecurDyn (2023), the structural reliability and dynamic profiling effect of key components were validated from both static and dynamic perspectives, respectively. The parameter optimization results based on the response surface method show that the lateral motor speed and the forward speed are the dominant factors affecting the lateral accuracy and the vertical accuracy, respectively. Under the optimal parameter combination, the mean lateral deviation of the device measured in the field test was 1.118 cm, and the standard deviation was 0.257 cm. The mean vertical deviation is 0.986 cm, and the standard deviation is 0.016 cm. This study provides a feasible technical solution for the mechanized agronomic operation of carrots and other subsurface crops. Full article
(This article belongs to the Section Precision and Digital Agriculture)
Show Figures

Figure 1

20 pages, 6206 KB  
Article
PV-Scope Test System: Photovoltaic Module Characterization with Maximum Power, Efficiency, and Environmental Sensing
by Christi K. Madsen and Bitian Jiang
Electronics 2025, 14(21), 4305; https://doi.org/10.3390/electronics14214305 - 31 Oct 2025
Viewed by 861
Abstract
An integrated ESP32-based measurement system called PV-Scope is presented for real-time photovoltaic (PV) module efficiency characterization and small off-grid system testing under field conditions. The system includes pyranometer-calibrated irradiance sensors using a solar simulator, maximum power point tracking, and comprehensive environmental monitoring to [...] Read more.
An integrated ESP32-based measurement system called PV-Scope is presented for real-time photovoltaic (PV) module efficiency characterization and small off-grid system testing under field conditions. The system includes pyranometer-calibrated irradiance sensors using a solar simulator, maximum power point tracking, and comprehensive environmental monitoring to enable accurate performance assessment of PV modules across diverse technologies, manufacturers and installation conditions. Unlike standard test condition (STC) measurements at cell temperatures of 25 °C, this system captures the interactions between efficiency and environmental variables that significantly impact real-world efficiency. In particular, measurement of temperature-dependent efficiency under local conditions and validation of temperature-dependent models for extending the results to other environmental conditions are enabled with cell temperature monitoring in addition to ambient temperature, humidity, and wind speed. PV-Scope is designed for integrated sensing versatility, portable outdoor testing, and order-of-magnitude cost savings compared to commercial equipment to meet measurement needs across research, education, and practical PV innovation, including bifacial module testing, assessment of cooling techniques, tandem and multi-junction testing, and agrivoltaics. Full article
Show Figures

Figure 1

20 pages, 7740 KB  
Article
Experimental Evaluation of a Gray-Colored Building-Integrated Photovoltaic Facade System
by Jin-Hee Kim, Jong-Gwon Ahn and Jun-Tae Kim
Energies 2025, 18(21), 5735; https://doi.org/10.3390/en18215735 - 31 Oct 2025
Viewed by 665
Abstract
The rising operating temperature of Building-Integrated Photovoltaic (BIPV) systems is a critical factor that limits their electrical efficiency in real building applications. Addressing this issue is essential for improving both the performance and the reliability of BIPV systems under outdoor conditions. In particular, [...] Read more.
The rising operating temperature of Building-Integrated Photovoltaic (BIPV) systems is a critical factor that limits their electrical efficiency in real building applications. Addressing this issue is essential for improving both the performance and the reliability of BIPV systems under outdoor conditions. In particular, the demand for colored BIPV has been increasing due to its aesthetic integration with building façades, making it important to clarify its temperature behavior and electrical performance. However, most existing studies have focused on conventional BIPV modules, and research on the thermal and electrical characteristics of colored BIPV remains relatively limited. This study analyzes the temperature characteristics and electrical performance of conventional and colored BIPV systems installed in a full-scale mock-up building. Outdoor experiments showed that the maximum module temperature of the conventional BIPV system reached 75 °C, whereas the colored BIPV system remained lower at 68 °C. The temperature difference between the two systems ranged from 3 to 8 °C depending on solar radiation, mainly due to the retention of thermal energy in the rear insulation structure of BIPV systems and differences in incident energy conversion. These variations directly influenced the power generation and electrical efficiency of the modules. Compared with Standard Test Conditions (STCs), electrical efficiency decreased by approximately 15% in the conventional BIPV system and 10% in the colored BIPV system. The results demonstrate that colored BIPV systems not only mitigate the adverse impact of temperature rise on efficiency but also provide reliable performance and enhanced aesthetic adaptability, offering a promising solution for real building applications. Full article
(This article belongs to the Section A2: Solar Energy and Photovoltaic Systems)
Show Figures

Figure 1

18 pages, 4007 KB  
Article
Python-Based Implementation of Metaheuristic MPPT Techniques: A Cost-Effective Framework for Solar Photovoltaic Systems in Developing Nations
by Syed Majed Ashraf, M. Saad Bin Arif, Mohammed Khouj, Shahrin Md. Ayob and Muhammad I. Masud
Energies 2025, 18(12), 3160; https://doi.org/10.3390/en18123160 - 16 Jun 2025
Viewed by 1235
Abstract
Despite the convenience of solar potential and the magnitude of energy received by the Earth from the sun, solar photovoltaic systems have failed to meet the growing energy demand. This can be attributed to various factors such as low cell efficiency, environmental conditions, [...] Read more.
Despite the convenience of solar potential and the magnitude of energy received by the Earth from the sun, solar photovoltaic systems have failed to meet the growing energy demand. This can be attributed to various factors such as low cell efficiency, environmental conditions, and improper tracking of operating points, which further worsen the system’s performance. Various advanced metaheuristic-based Maximum Power Point Tracking (MPPT) techniques were reported in the literature. Most available techniques were designed and tested in subscription-based/paid software such as MATLAB/Simulink, PSIM simulator, etc. Due to this, the simulation and analysis of these MPPT algorithms for developing and underdeveloped countries added an extra economic burden. Many open-source PV libraries are computationally intensive, lack active support, and prove impractical for MPPT testing on resource-constrained hardware. Their complexity and absence of optimization for edge devices limit their viability for the edge device. This issue is addressed in this research by designing a robust framework using an open-source programming language i.e., Python. For demonstration purposes, we simulated and analyzed a solar PV system and benchmarked its performance against the JAP6 solar panel. We implemented multiple metaheuristic MPPT algorithms including Artificial Bee Colony (ABC) and Particle Swarm Optimization (PSO), evaluating their efficacy under both Standard Test Conditions (STC) and complex partial shading scenarios. The results obtained validate the feasibility of the implementation in Python. Therefore, this research provides a comprehensive framework that can be utilized to implement sophisticated designs in a cost-effective manner for developing and underdeveloped nations. Full article
(This article belongs to the Section A2: Solar Energy and Photovoltaic Systems)
Show Figures

Figure 1

28 pages, 4771 KB  
Article
Discrimination of High Impedance Fault in Microgrids: A Rule-Based Ensemble Approach with Supervised Data Discretisation
by Arangarajan Vinayagam, Suganthi Saravana Balaji, Mohandas R, Soumya Mishra, Ahmad Alshamayleh and Bharatiraja C
Processes 2025, 13(6), 1751; https://doi.org/10.3390/pr13061751 - 2 Jun 2025
Cited by 1 | Viewed by 1117
Abstract
This research presents a voting ensemble classification model to distinguish high impedance faults (HIFs) from other transients in a photovoltaic (PV) integrated microgrid (MG). Due to their low fault current magnitudes, sporadic incidence, and non-linear character, HIFs are difficult to detect with a [...] Read more.
This research presents a voting ensemble classification model to distinguish high impedance faults (HIFs) from other transients in a photovoltaic (PV) integrated microgrid (MG). Due to their low fault current magnitudes, sporadic incidence, and non-linear character, HIFs are difficult to detect with a conventional protective system. A machine learning (ML)-based ensemble classifier is used in this work to classify HIF more accurately. The ensemble classifier improves overall accuracy by combining the strengths of many rule-based models; this decreases the likelihood of overfitting and increases the robustness of classification. The ensemble classifier includes a classification process into two steps. The first phase extracts features from HIFs and other transient signals using the discrete wavelet transform (DWT) technique. A supervised discretisation approach is then used to discretise these attributes. Using discretised features, the rule-based classifiers like decision tree (DT), Java repeated incremental pruning (JRIP), and partial decision tree (PART) are trained in the second phase. In the classification step, the voting ensemble technique applies the rule of an average probability over the output predictions of rule-based classifiers to obtain the final target of classes. Under standard test conditions (STCs) and real-time weather circumstances, the ensemble technique surpasses individual classifiers in accuracy (95%), HIF detection success rate (93.3%), and overall performance metrics. Feature discretisation boosts classification accuracy to 98.75% and HIF detection to 95%. Additionally, the ensemble model’s efficacy is confirmed by classifying HIF from other transients in the IEEE 13-bus standard network. Furthermore, the ensemble model performs well, even with noisy event data. The proposed model provides higher classification accuracy in both PV-connected MG and IEEE 13 bus networks, allowing power systems to have effective protection against faults with improved reliability. Full article
Show Figures

Figure 1

12 pages, 3220 KB  
Article
Evaluating Outdoor Performance of PV Modules Using an Innovative Explicit One-Diode Model
by Andreea Sabadus, Nicoleta Stefu and Marius Paulescu
Energies 2024, 17(11), 2547; https://doi.org/10.3390/en17112547 - 24 May 2024
Cited by 2 | Viewed by 1479
Abstract
Due to its simplicity, the one-diode model is commonly used for modeling the operation of photovoltaic (PV) modules at standard test conditions (STC). However, its inherent implicit nature often presents challenges in modeling PV energy production. In this paper, the innovative explicit one-diode [...] Read more.
Due to its simplicity, the one-diode model is commonly used for modeling the operation of photovoltaic (PV) modules at standard test conditions (STC). However, its inherent implicit nature often presents challenges in modeling PV energy production. In this paper, the innovative explicit one-diode model developed by us over time is adapted for estimating PV power production under real weather conditions. Simple yet accurate equations for calculating the energy output of a PV generator equipped with a maximum power point tracking (MPPT) system are proposed. The model’s performance is assessed under various normal and harsh operating conditions against measured data collected from the experimental setup located at the Solar Platform at West University of Timisoara, Romania. As an application of the new equation for maximum power, this paper presents a case study where the energy loss in the absence of an MPPT system is evaluated based on atmospheric and sky conditions. Full article
(This article belongs to the Section A2: Solar Energy and Photovoltaic Systems)
Show Figures

Figure 1

20 pages, 12138 KB  
Article
Global Maximum Power Point Tracking of Photovoltaic Module Arrays Based on an Improved Intelligent Bat Algorithm
by Kuei-Hsiang Chao and Thi Thanh Truc Bau
Electronics 2024, 13(7), 1207; https://doi.org/10.3390/electronics13071207 - 25 Mar 2024
Cited by 7 | Viewed by 1510
Abstract
In this paper, a method based on an improved intelligent bat algorithm (IIBA) in cooperation with a voltage and current sensor was applied in maximum power point tracking (MPPT) for a photovoltaic module array (PVMA), where the power generation performance of a PVMA [...] Read more.
In this paper, a method based on an improved intelligent bat algorithm (IIBA) in cooperation with a voltage and current sensor was applied in maximum power point tracking (MPPT) for a photovoltaic module array (PVMA), where the power generation performance of a PVMA was enhanced. Due to the partial shading of the PVMA from climate changes or the surrounding environment, multiple peak values were generated on the power–voltage (P-V) curve, where the conventional MPPT technology could only track the local maximum power point (LMPP), hence the reduction in output power of PVMAs. Therefore, the IIBA-based MPPT was proposed in this paper to solve such issues and to ensure the capability of a PVMA in tracking the global maximum power point (GMPP) and utilization for enhancing the output power of a PVMA. Firstly, the Matlab/Simulink software was used to establish a boost converter model that simulated the actual 4-series–3-parallel PVMA under different shaded conditions, where the P-V curve with 1-peak, 2-peak, 3-peak and 4-peak values were generated. Subsequently, the tracking paces of the conventional bat algorithm (BA) were adjusted according to the gradient of the P-V curve for a PVMA. At the same time, 0.8 times the maximum power point (MPP) voltage Vmp under standard test conditions (STCs) for a PVMA was set as the initial tracking voltage. Lastly, the simulation results proved that under different environmental impacts, the proposed IIBA led to better performances in tracking both dynamic and steady responses. Full article
(This article belongs to the Special Issue Recent Advances and Applications of Computational Intelligence)
Show Figures

Figure 1

34 pages, 4610 KB  
Article
Techno-Economic Feasibility Study of a 1.5 MW Grid-Connected Solar Power Plant in Bangladesh
by Md. Feroz Ali, Nitai Kumar Sarker, Md. Alamgir Hossain, Md. Shafiul Alam, Ashraf Hossain Sanvi and Syed Ibn Syam Sifat
Designs 2023, 7(6), 140; https://doi.org/10.3390/designs7060140 - 7 Dec 2023
Cited by 22 | Viewed by 9925
Abstract
This study addresses the pressing energy constraints in nations like Bangladesh by proposing the implementation of photovoltaic (PV) microgrids. Given concerns about environmental degradation, limited fossil fuel reserves, and volatile product costs, renewable energy sources are gaining momentum globally. Our research focuses on [...] Read more.
This study addresses the pressing energy constraints in nations like Bangladesh by proposing the implementation of photovoltaic (PV) microgrids. Given concerns about environmental degradation, limited fossil fuel reserves, and volatile product costs, renewable energy sources are gaining momentum globally. Our research focuses on a grid-connected solar PV system model at Char Jazira, Lalpur, Natore, Rajshahi, Bangladesh. Through PVsyst 7.1 simulation software, we assess the performance ratio (PR) and system losses, revealing an annual solar energy potential of 3375 MWh at standard test condition (STC) efficiency. After considering losses, the system generates 2815.2 MWh annually, with 2774 MWh exported to the grid. We analyze an average PR of 78.63% and calculate a levelized cost of energy (LCOE) of 2.82 BDT/kWh [1 USD = 110 BDT]. The financial assessment indicates a cost-effective LCOE for the grid-connected PV system, with an annual gross income of 27,744 kBDT from selling energy to the grid and operating costs of 64,060.60 BDT/year. Remarkably, this initiative can prevent 37,647.82 tCO2 emissions over the project’s 25-year lifespan. Full article
(This article belongs to the Special Issue Design and Applications of Positive Energy Districts)
Show Figures

Figure 1

20 pages, 6296 KB  
Article
A New MPPT-Based Extended Grey Wolf Optimizer for Stand-Alone PV System: A Performance Evaluation versus Four Smart MPPT Techniques in Diverse Scenarios
by Mohammed Yousri Silaa, Oscar Barambones, Aissa Bencherif and Abdellah Rahmani
Inventions 2023, 8(6), 142; https://doi.org/10.3390/inventions8060142 - 7 Nov 2023
Cited by 27 | Viewed by 4760
Abstract
Photovoltaic (PV) systems play a crucial role in clean energy systems. Effective maximum power point tracking (MPPT) techniques are essential to optimize their performance. However, conventional MPPT methods exhibit limitations and challenges in real-world scenarios characterized by rapidly changing environmental factors and various [...] Read more.
Photovoltaic (PV) systems play a crucial role in clean energy systems. Effective maximum power point tracking (MPPT) techniques are essential to optimize their performance. However, conventional MPPT methods exhibit limitations and challenges in real-world scenarios characterized by rapidly changing environmental factors and various operating conditions. To address these challenges, this paper presents a performance evaluation of a novel extended grey wolf optimizer (EGWO). The EGWO has been meticulously designed in order to improve the efficiency of PV systems by rapidly tracking and maintaining the maximum power point (MPP). In this study, a comparison is made between the EGWO and other prominent MPPT techniques, including the grey wolf optimizer (GWO), equilibrium optimization algorithm (EOA), particle swarm optimization (PSO) and sin cos algorithm (SCA) techniques. To evaluate these MPPT methods, a model of a PV module integrated with a DC/DC boost converter is employed, and simulations are conducted using Simulink-MATLAB software under standard test conditions (STC) and various environmental conditions. In particular, the results demonstrate that the novel EGWO outperforms the GWO, EOA, PSO and SCA techniques and shows fast tracking speed, superior dynamic response, high robustness and minimal power fluctuations across both STC and variable conditions. Thus, a power fluctuation of 0.09 W could be achieved by using the proposed EGWO technique. Finally, according to these results, the proposed approach can offer an improvement in energy consumption. These findings underscore the potential benefits of employing the novel MPPT EGWO to enhance the efficiency and performance of MPPT in PV systems. Further exploration of this intelligent technique could lead to significant advancements in optimizing PV system performance, making it a promising option for real-world applications. Full article
(This article belongs to the Special Issue Innovative Strategy of Protection and Control for the Grid)
Show Figures

Figure 1

18 pages, 3173 KB  
Article
Photovoltaic Spectral Responsivity and Efficiency under Different Aerosol Conditions
by Dimitra Kouklaki, Stelios Kazadzis, Ioannis-Panagiotis Raptis, Kyriakoula Papachristopoulou, Ilias Fountoulakis and Kostas Eleftheratos
Energies 2023, 16(18), 6644; https://doi.org/10.3390/en16186644 - 15 Sep 2023
Cited by 3 | Viewed by 3270
Abstract
While solar power applications are growing rapidly worldwide, information about solar energy availability, its characteristics and the factors that affect it are essential. Among other parameters, a reference spectrum (ASTMG-173-03) is adopted, relying on Standard Test Conditions (STC), under which Photovoltaic (PV) devices [...] Read more.
While solar power applications are growing rapidly worldwide, information about solar energy availability, its characteristics and the factors that affect it are essential. Among other parameters, a reference spectrum (ASTMG-173-03) is adopted, relying on Standard Test Conditions (STC), under which Photovoltaic (PV) devices are evaluated. However, these rigorously defined conditions can vary considerably from realistic environmental conditions. The objective of the present work is to assess the impact of the variability of atmospheric composition on the spectral distribution of the incident solar spectral irradiance (SSI) and, therefore, its implication on various PV materials performance. Ground-based measurements of global horizontal SSI have been conducted using a Precision Spectroradiometer (PSR) in the framework of the ASPIRE (Atmospheric parameters affecting SPectral solar IRradiance and solar Energy) project in Athens, Greece. The gathered data in combination with spectrally resolved radiative transfer under clear-sky conditions contributed to the investigation of the atmospheric variables that attenuate irradiance (e.g., aerosols). In addition, since PV modules’ spectral absorptivity differs according to the semiconductor material used, the impact of the above-mentioned spectral features on PV performance has been investigated in order to estimate the spectral impact between the theoretical and outdoor conditions on the yield of different PV technologies. Overall, the results denote that smoke has a more significant effect than dust, while the effect on various technologies varies. The highest deviation compared to the STC was observed in the case of a-Si, reaching an absolute difference of 45% in the case of smoke particles in the atmosphere, while the maximum deviation between the different technologies reached approximately 7%. Full article
(This article belongs to the Special Issue Review and Applications of Photovoltaic Power Forecasting)
Show Figures

Figure 1

14 pages, 533 KB  
Article
A Detailed Analysis of the Modified Economic Method for Assessing the Performance of Photovoltaic Module Enhancing Techniques
by Sakhr M. Sultan, C. P. Tso, Raheem K. Ajeel, K. Sobayel and M. Z. Abdullah
Sustainability 2023, 15(15), 12028; https://doi.org/10.3390/su151512028 - 5 Aug 2023
Cited by 4 | Viewed by 1347
Abstract
This paper presents a detailed analysis of the modified economic method (FMCE) for evaluating the performance of photovoltaic module (PV)-enhancing techniques, aiming to address existing research gaps. The impact of influential parameters on the FMCE is examined through illustrative [...] Read more.
This paper presents a detailed analysis of the modified economic method (FMCE) for evaluating the performance of photovoltaic module (PV)-enhancing techniques, aiming to address existing research gaps. The impact of influential parameters on the FMCE is examined through illustrative examples. These parameters include the output power of a single solar cell without an enhancer, output power of a PV with an enhancer, manufacturing cost of the PV enhancer, one-watt cost of PV power, and maximum output power of a solar cell with an enhancer equivalent to maximum output power at standard test conditions (STC). The results of this study reveal that the output power of a single solar cell without an enhancer, number of solar cells with an enhancer in the PV, and manufacturing cost of the PV enhancer have a proportional relationship with the FMCE. As these parameters increase, the FMCE also increases, which negatively affects the cost-effectiveness of the PV enhancer, leading to lower performance. So, it is advisable to maintain the values of these parameters at lower levels. Conversely, the output power of a PV with an enhancer and the one-watt cost of PV power exhibit an inverse proportional relationship with the FMCE. As the output power of a PV with an enhancer and the one-watt cost of PV power increase, the FMCE decreases, which positively affects the cost-effectiveness of the PV enhancer, leading to higher performance. Hence, it is recommended to keep these two parameters high for optimal performance. In conclusion, the FMCE may have potential for application by designers and manufacturers of PV enhancers. Full article
(This article belongs to the Section Energy Sustainability)
Show Figures

Figure 1

28 pages, 11762 KB  
Article
An Maximum Power Point Tracker of Photovoltaic Module Arrays Based on Improved Firefly Algorithm
by Kuei-Hsiang Chao and Shu-Wei Zhang
Sustainability 2023, 15(11), 8550; https://doi.org/10.3390/su15118550 - 24 May 2023
Cited by 13 | Viewed by 1771
Abstract
In this paper, an improved firefly algorithm (FA) was proposed for application on photovoltaic module arrays (PVMAs) with partial modules under shading so that the maximum power point tracking (MPPT) could be implemented. Firstly, a new model of high voltage step-up converter was [...] Read more.
In this paper, an improved firefly algorithm (FA) was proposed for application on photovoltaic module arrays (PVMAs) with partial modules under shading so that the maximum power point tracking (MPPT) could be implemented. Firstly, a new model of high voltage step-up converter was developed for executing the MPPT of the PVMA. For the energy storage inductor of the developed converter, the architecture of the coupled inductor was adopted so that the converter switch did not need to operate under an excessive duty cycle, which could increase the voltage gain and reduce the ripple of the output voltage at the same time. To prevent shading on the partial modules within the PVMA and generate more than one peak on the power-voltage (P-V) output characteristic curve, where the conventional MPPT could only track the local maximum power point (LMPP) and reduce the output power of the PVMA, the maximum power tracker, based on the improved FA, was proposed in this paper. Such a tracker could perform an automatic online adjustment on the FA iteration parameters, according to the slope of the P-V output characteristic curve, for the PVMA and, at the same time, perform at 0.8 times of the maximum power point (MPP) voltage for the module array under standard test condition (STC), serving as the initial tracking voltage for implementing the global maximum power point tracking (GMPPT). Lastly, the actual test results were applied to verify that the proposed converter indeed contained a high voltage step-up and low-ripple output voltage. The improved FA could also track GMPP faster and further improve the power-generating efficiency of the PVMA. Full article
(This article belongs to the Special Issue Photovoltaic Solar Energy Utilization)
Show Figures

Figure 1

38 pages, 3618 KB  
Article
Why Does the PV Solar Power Plant Operate Ineffectively?
by Lina Alhmoud
Energies 2023, 16(10), 4074; https://doi.org/10.3390/en16104074 - 13 May 2023
Cited by 27 | Viewed by 8181
Abstract
Quality, reliability, and durability are the key features of photovoltaic (PV) solar system design, production, and operation. They are considered when manufacturing every cell and designing the entire system. Achieving these key features ensures that the PV solar system performs satisfactorily and offers [...] Read more.
Quality, reliability, and durability are the key features of photovoltaic (PV) solar system design, production, and operation. They are considered when manufacturing every cell and designing the entire system. Achieving these key features ensures that the PV solar system performs satisfactorily and offers years of trouble-free operation, even in adverse conditions. In each cell, the quality of the raw material should meet the quality standards. The fulfillment of the quality management system requires every part that goes into the PV solar system to undergo extensive testing in laboratories and environments to ensure it meets expectations. Hence, every MWh of electricity generated by the PV solar system is counted, the losses should be examined, and the PV system’s returns should be maximized. There are many types of losses in the PV solar system; these losses are identified and quantified based on knowledge and experience. They can be classified into two major blocks: optical and electrical losses. The optical losses include, but are not limited to, partial shading losses, far shading losses, near shading losses, incident angle modifier (IAM) losses, soiling losses, potential induced degradation (PID) losses, temperature losses, light-induced degradation (LID) losses, PV yearly degradation losses, array mismatch losses, and module quality losses. In addition, there are cable losses inside the PV solar power system, inverter losses, transformer losses, and transmission line losses. Thus, this work reviews the losses in the PV solar system in general and the 103 MWp grid-tied Al Quweira PV power plant/Aqaba, mainly using PVsyst software. The annual performance ratio (PR) is 79.5%, and the efficiency (η) under standard test conditions (STC) is 16.49%. The normalized production is 4.64 kWh/kWp/day, the array loss is 1.69 kWh/kWp/day, and the system loss is 0.18 kWh/kWp/day. Understanding factors that impact the PV system production losses is the key to obtaining an accurate production estimation. It enhances the annual energy and yield generated from the power plant. This review benefits investors, energy professionals, manufacturers, installers, and project developers by allowing them to maximize energy generation from PV solar systems and increase the number of solar irradiation incidents on PV modules. Full article
(This article belongs to the Special Issue Advances in Solar Energy and Energy Efficiency)
Show Figures

Figure 1

24 pages, 8557 KB  
Article
Emerging Parameters Extraction Method of PV Modules Based on the Survival Strategies of Flying Foxes Optimization (FFO)
by Radouane Aalloul, Abdellah Elaissaoui, Mourad Benlattar and Rhma Adhiri
Energies 2023, 16(8), 3531; https://doi.org/10.3390/en16083531 - 19 Apr 2023
Cited by 21 | Viewed by 2871
Abstract
Nowadays, the world is encountering multiple challenges of energy security, economic recovery, and the effect of global warming. Investing in new fossil fuels only locks in uneconomic practices, sustains existing risks and increases the threats of climate change. In contrast, renewable energies, such [...] Read more.
Nowadays, the world is encountering multiple challenges of energy security, economic recovery, and the effect of global warming. Investing in new fossil fuels only locks in uneconomic practices, sustains existing risks and increases the threats of climate change. In contrast, renewable energies, such as photovoltaic energy, constitute one of the most promising technologies in combating global increase in temperatures. Given its simplicity and low maintenance costs, photovoltaic energy is the most effective alternative to address the issues above. However, the standard test conditions (STCs) of PV modules are, in most cases, different from the real working conditions of a solar module. For instance, high levels of incident irradiation in an arid climate may cause the temperature of a module to rise by many degrees above the STC temperature of 25 °C, lowering the module’s performance. To effectively simulate and control PV systems for a given location, it has become paramount to develop a robust and accurate model that considers how PV modules behave. This study seeks to introduce an emerging metaheuristic optimization algorithm to estimate the unknown parameters of PV modules. The strategies deployed by flying foxes in the event of high temperatures have given birth to the development of a new metaheuristic algorithm called FFO. Contrary to previous methods, this new modeling procedure makes it possible to calculate all the parameters, regardless of temperature or irradiance. Four PV modules, having different technologies, were tested to evaluate the accuracy of the algorithm in question. The effectiveness of FFO is then contrasted with other well-known metaheuristics where single and double diode models are deployed. The results show that the FFO optimizer represents a substantial and compelling substitute for PV module extraction methods. Full article
(This article belongs to the Special Issue Analysis and Numerical Modeling in Solar Photovoltaic Systems)
Show Figures

Figure 1

Back to TopTop