Sign in to use this feature.

Years

Between: -

Subjects

remove_circle_outline
remove_circle_outline
remove_circle_outline
remove_circle_outline
remove_circle_outline
remove_circle_outline
remove_circle_outline
remove_circle_outline
remove_circle_outline

Journals

remove_circle_outline
remove_circle_outline
remove_circle_outline
remove_circle_outline
remove_circle_outline

Article Types

Countries / Regions

Search Results (152)

Search Parameters:
Keywords = spherical constraints

Order results
Result details
Results per page
Select all
Export citation of selected articles as:
15 pages, 4474 KB  
Article
A New 3R1T Parallel Robot for Minimally Invasive Surgery: Design, Control and Preliminary Performance Evaluation
by Aislinn McAleenan, Yinglun Jian, Yan Jin, Dan Sun and Johnny Moore
Robotics 2026, 15(5), 83; https://doi.org/10.3390/robotics15050083 - 22 Apr 2026
Abstract
Minimally invasive surgery (MIS) has transformed modern surgical operations by reducing pain, trauma, scarring and recovery time for the patient. However, precision, stability and accuracy continue to limit surgical performance. Robots can exhibit better precision and stability than humans and have the potential [...] Read more.
Minimally invasive surgery (MIS) has transformed modern surgical operations by reducing pain, trauma, scarring and recovery time for the patient. However, precision, stability and accuracy continue to limit surgical performance. Robots can exhibit better precision and stability than humans and have the potential to improve MIS results. This work presents the design and development of a patented 3R1T parallel robot for MIS. The mechanism incorporates a coaxial spherical parallel architecture enabling three rotational degrees of freedom, combined with a remotely actuated translational fourth degree of freedom, therefore reducing the weight of the moving structure, decreasing inertial forces and increasing the system accuracy. The kinematic design is analyzed to achieve the required workspace, motor torque requirements are calculated, and a control system with integrated inverse kinematics is developed. A prototype was manufactured, and preliminary experiments were conducted to evaluate the orientation repeatability of the robot. Results demonstrated a repeatability of ±22.86 μm, commensurate with typical MIS constraints. This suggests that the proposed robot offers potential improvements in precision and control for minimally invasive surgical procedures, over traditional manual methods. Full article
Show Figures

Figure 1

48 pages, 9242 KB  
Article
Spherical Coordinate System-Based Fusion Path Planning Algorithm for UAVs in Complex Emergency Rescue and Civil Environments
by Xingyi Pan, Xingyu He, Xiaoyue Ren and Duo Qi
Drones 2026, 10(4), 285; https://doi.org/10.3390/drones10040285 - 14 Apr 2026
Viewed by 169
Abstract
This study proposes a heterogeneous fusion path planning framework for unmanned aerial vehicles (UAVs) operating in complex emergency rescue and civil environments. Existing single-mechanism metaheuristics—including Particle Swarm Optimization (PSO), Ant Colony Optimization (ACO), and Genetic Algorithms (GAs)—suffer from fundamental limitations in three-dimensional kinematic [...] Read more.
This study proposes a heterogeneous fusion path planning framework for unmanned aerial vehicles (UAVs) operating in complex emergency rescue and civil environments. Existing single-mechanism metaheuristics—including Particle Swarm Optimization (PSO), Ant Colony Optimization (ACO), and Genetic Algorithms (GAs)—suffer from fundamental limitations in three-dimensional kinematic path planning: PSO converges rapidly but stagnates at local optima due to population variance collapse; ACO offers robust local exploitation but incurs prohibitive cold-start overhead; GAs maintain diversity at the cost of expensive crossover operations. To address these complementary deficiencies simultaneously, the proposed framework introduces a spherical coordinate representation that reduces computational complexity and naturally enforces UAV kinematic constraints, combined with adaptive weight factors and a serial PSO-ACO fusion strategy, and subsequently incorporates adaptive weight factors. A serial fusion strategy is then introduced, wherein the sub-optimal trajectory generated by the Spherical PSO phase is mapped into the ACO pheromone field via a Gaussian Kernel Density Mapping (GKDM) mechanism, enabling the ACO phase to perform fine-grained local exploitation within a kinematically feasible corridor. Various constraints along the flight path are formulated into distinct cost functions, which cover aircraft track length, pitch angle variation, altitude difference variation, obstacle avoidance, and smoothness; the core task of the algorithm is to find the flight path with the minimum total cost. The proposed algorithm is dedicated to UAV path planning in complex emergency rescue environments (disaster-stricken areas, hazardous zones) and is further applicable to civil low-altitude logistics delivery, industrial facility inspection, ecological environment monitoring and urban air mobility (UAM) scenarios with complex obstacle constraints. It can effectively improve the safety and efficiency of UAVs in reaching rescue points, delivering emergency supplies, conducting disaster surveys, and completing various civil low-altitude operation tasks. Full article
(This article belongs to the Section Innovative Urban Mobility)
Show Figures

Figure 1

29 pages, 7604 KB  
Article
Shading and Geometric Constraint Neural Radiance Field for DSM Reconstruction from Multi-View Satellite Images
by Zhihua Hu, Zhiwen Chen, Yushun Li, Yuxuan Liu, Kao Zhang, Chenguang Zhao and Yongxian Zhang
Remote Sens. 2026, 18(7), 1091; https://doi.org/10.3390/rs18071091 - 5 Apr 2026
Viewed by 303
Abstract
With the continued development of spatial information technologies, Digital Surface Models (DSMs) have become fundamental data products for urban planning, virtual reality, geographic information systems, and digital-earth applications. Neural Radiance Fields (NeRFs) have achieved remarkable success in multi-view 3D reconstruction in computer vision. [...] Read more.
With the continued development of spatial information technologies, Digital Surface Models (DSMs) have become fundamental data products for urban planning, virtual reality, geographic information systems, and digital-earth applications. Neural Radiance Fields (NeRFs) have achieved remarkable success in multi-view 3D reconstruction in computer vision. Still, their application to DSM generation from satellite imagery remains challenging because of differences in imaging geometry, complex surface structure, and varying illumination conditions. To address these issues, this paper proposes a Shading and Geometric Constraint (SGC) method tailored to satellite photogrammetry and designed to integrate with existing NeRF-based frameworks such as Sat-NeRF and EO-NeRF. First, a physical imaging model based on Lambertian reflectance and spherical harmonics is introduced to represent the complex illumination variations in satellite images. Synthetic images generated by this model provide auxiliary supervision that improves robustness to illumination inconsistency. Second, inspired by classical shading-based refinement methods, we introduce a bilateral edge-preserving geometric constraint. Unlike standard smoothness terms, this constraint uses photometric discrepancies to weight geometric smoothing, thereby preserving sharp building boundaries while smoothing flat surfaces. We integrate the method into two state-of-the-art baselines, Sat-NeRF and EO-NeRF. EO-NeRF+SGC achieves up to a 57.93% reduction in elevation MAE relative to EO-NeRF, which is the largest relative MAE reduction reported in this study. The method also recovers finer structural details and sharper edges than recently published NeRF-based DSM reconstruction methods. Full article
Show Figures

Figure 1

19 pages, 16829 KB  
Article
Statistical Modeling of Near-Surface Aggregate Size Distributions in Concrete
by Alexander Haynack, Thomas Kränkel, Christoph Gehlen and Jithender J. Timothy
Materials 2026, 19(7), 1395; https://doi.org/10.3390/ma19071395 - 31 Mar 2026
Viewed by 277
Abstract
This study presents a distribution-optimized mesostructure estimation method for statistically modeling near-surface aggregate size distributions in concrete by optimizing the spatial arrangement of polydisperse spherical aggregates with respect to formwork boundaries. The approach is based on minimizing the deviation between a generated cumulative [...] Read more.
This study presents a distribution-optimized mesostructure estimation method for statistically modeling near-surface aggregate size distributions in concrete by optimizing the spatial arrangement of polydisperse spherical aggregates with respect to formwork boundaries. The approach is based on minimizing the deviation between a generated cumulative aggregate volume function and an idealized linear target function corresponding to a constant area fraction along the specimen depth. To enable efficient computation for systems containing a large number of aggregates, grain size groups derived from the grading curve are represented using symmetric Beta distributions, allowing each group to be described by a single shape parameter. The resulting optimization problem is solved using a derivative-free Powell algorithm. The method inherently captures wall effects, leading to a migration of smaller aggregates toward the specimen boundaries to compensate for the geometric constraints of bigger aggregates. Experimental validation was performed for a single concrete mixture and specimen geometry by determining the depth-dependent mean bulk density of a concrete cube using incremental surface grinding combined with high-resolution 3D laser scanning. The optimized mesostructure shows strong agreement with measured density profiles for the investigated specimen. While the validation is limited to a single mixture and geometry, the results indicate that the proposed method is a computationally efficient approach for incorporating wall effects into mesoscale concrete models. Furthermore, increasing aggregate volume fractions intensify the near-surface accumulation of fine particles. Full article
Show Figures

Graphical abstract

34 pages, 13959 KB  
Article
Geo-Referenced Factor-Graph SLAM for Orchard-Scale 3D Apple Reconstruction and Yield Estimation
by Dheeraj Bharti, Lilian Nogueira de Faria, Luciano Vieira Koenigkan, Luciano Gebler, Andrea de Rossi and Thiago Teixeira Santos
Agriculture 2026, 16(7), 764; https://doi.org/10.3390/agriculture16070764 - 30 Mar 2026
Viewed by 464
Abstract
Accurate and spatially resolved yield estimation is a critical requirement for precision agriculture and orchard management. This paper presents a geometrically consistent, orchard-scale apple yield estimation framework that integrates GNSS–visual-inertial odometry (VIO) fusion, deep learning-based object detection, multi-frame tracking, three-dimensional triangulation, and incremental [...] Read more.
Accurate and spatially resolved yield estimation is a critical requirement for precision agriculture and orchard management. This paper presents a geometrically consistent, orchard-scale apple yield estimation framework that integrates GNSS–visual-inertial odometry (VIO) fusion, deep learning-based object detection, multi-frame tracking, three-dimensional triangulation, and incremental factor-graph optimization. Camera poses are obtained using ZED GNSS–VIO fusion and subsequently refined using an iSAM2-based nonlinear smoothing approach that incorporates strong relative-motion constraints and soft global ENU (East-North-Up) translation priors. Apples are detected using a YOLO-based model and associated across frames via CoTracker3, enabling robust multi-view landmark reconstruction. Reprojection factors and landmark priors are incorporated into a unified nonlinear factor graph to jointly optimize camera trajectories and 3D apple positions. The reconstructed apples are spatially aggregated into a grid-based mass map, where individual fruit volumes are estimated assuming spherical geometry and converted to mass using density models. The resulting ENU-referenced yield plot provides a structured representation of orchard production variability. Experimental results demonstrate significant reductions in reprojection error after optimization and improved global consistency of the trajectory, leading to stable and spatially coherent 3D reconstructions. The proposed pipeline bridges perception, geometry, and optimization, providing a scalable solution for orchard-scale yield mapping and decision support in precision agriculture. Full article
(This article belongs to the Special Issue Application of Smart Technologies in Orchard Management)
Show Figures

Figure 1

23 pages, 11197 KB  
Article
Determination of Particle Size of Active Pharmaceutical Ingredients in Dry Powder Inhaler Formulations
by Stefani Fertaki, Malvina Orkoula and Christos Kontoyannis
Pharmaceuticals 2026, 19(4), 543; https://doi.org/10.3390/ph19040543 - 28 Mar 2026
Viewed by 388
Abstract
Background/Objectives: Accurate determination of active pharmaceutical ingredient (API) particle size within dry powder inhaler (DPI) formulations is essential for ensuring effective pulmonary delivery but remains analytically challenging due to low API content and micronized particle size. Methods: In this study, scanning electron microscopy [...] Read more.
Background/Objectives: Accurate determination of active pharmaceutical ingredient (API) particle size within dry powder inhaler (DPI) formulations is essential for ensuring effective pulmonary delivery but remains analytically challenging due to low API content and micronized particle size. Methods: In this study, scanning electron microscopy (SEM) coupled with energy-dispersive X-ray microanalysis (EDX) was used to directly identify and calculate the API particle size within several different commercial DPI products fit for purpose under regulatory constraints. The method exploits unique elemental markers inherent to each API, enabling reliable discrimination from excipients without prior sample modification or API extraction. Results: Large-area SEM–EDX mapping was used to localize API particles, followed by high-magnification imaging and confirmatory spot microanalysis. Particle sizes were manually measured for at least 50 API particles per formulation using image analysis software, and particle size distribution parameters were calculated from equivalent spherical diameters. Conclusions: The methodology was successfully applied to Spiriva®, Anoro® Ellipta, and Relvar® Ellipta inhalation powders, revealing micronized APIs with distinct morphological features and verifying systematic application across products. Cross-validation against laser diffraction measurements of pure APIs demonstrated statistical equivalence, confirming the robustness and analytical utility of the proposed method for particle size assessment in DPI formulations. Full article
Show Figures

Graphical abstract

22 pages, 3785 KB  
Article
Determination and Analysis of Martian Height Anomalies Using GMM-3 and JGMRO_120D Gravity Field Models
by Dongfang Zhao, Houpu Li and Shaofeng Bian
Appl. Sci. 2026, 16(6), 2982; https://doi.org/10.3390/app16062982 - 19 Mar 2026
Viewed by 289
Abstract
Height anomaly, defined as the separation between the quasi-geoid and the reference ellipsoid, is fundamental to quasi-geoid refinement. While the Goddard Mars Model-3 (GMM-3) developed by NASA’s Goddard Space Flight Center (GSFC) and the JPL Mars gravity field MRO120D (JGMRO_120D) model developed by [...] Read more.
Height anomaly, defined as the separation between the quasi-geoid and the reference ellipsoid, is fundamental to quasi-geoid refinement. While the Goddard Mars Model-3 (GMM-3) developed by NASA’s Goddard Space Flight Center (GSFC) and the JPL Mars gravity field MRO120D (JGMRO_120D) model developed by NASA’s Jet Propulsion Laboratory (JPL) stand as two representative Martian gravity field models, the systematic differences between them and their associated physical implications remain insufficiently quantified. This study establishes a validated computational framework for Martian height anomaly determination using updated physical parameters and spherical harmonic expansions. Validation against terrestrial datasets confirms high reliability (standard deviation: 0.0695 m relative to International Centre for Global Earth Models (ICGEM)), ensuring confidence in subsequent analysis. Our analysis reveals three critical findings: (1) Systematic latitudinal biases between GMM-3 and JGMRO_120D exhibit a monotonic gradient from −1.3 m near the equator to +3.9 m at the North Pole, suggesting differential parameterization of polar mass loading or tidal models between the two centers. (2) Polar clustering of uncertainties and outliers exceeding the 95th percentile (>7 m) concentrate non-randomly at latitudes >60°, which is attributed to sparse satellite tracking and seasonal ice cap modeling limitations. (3) There is error amplification in lowland terrains, where relative errors exceed 60% in flat regions (near-zero anomalies), posing critical risks for precision landing missions. While global consistency between models is high (R2 = 0.9999), the identified discrepancies provide new constraints on Mars’s geophysical models and essential guidance for future gravity field improvements and mission planning. Full article
(This article belongs to the Section Earth Sciences)
Show Figures

Figure 1

18 pages, 362 KB  
Article
Geodesic Dynamics for Constrained State-Space Models on Riemannian Manifolds
by Tianyu Wang, Xinghua Xu, Shaohua Qiu and Changchong Sheng
Mathematics 2026, 14(6), 1037; https://doi.org/10.3390/math14061037 - 19 Mar 2026
Viewed by 269
Abstract
We present a geodesic dynamics framework for discrete-time state evolution on the unit sphere SN1 that maintains exact unit-norm constraints through Riemannian exponential mapping. Given an input sequence and an initial state, the method constructs trajectories by projecting inputs to [...] Read more.
We present a geodesic dynamics framework for discrete-time state evolution on the unit sphere SN1 that maintains exact unit-norm constraints through Riemannian exponential mapping. Given an input sequence and an initial state, the method constructs trajectories by projecting inputs to tangent spaces and updating states along geodesics, incorporating temporal memory via approximate parallel transport of velocity directions. Unlike traditional approaches requiring post hoc normalization of linear updates, the geodesic formulation preserves xt=1 to machine precision while eliminating explicit N×N transition matrices in favor of D×N input embeddings when the intrinsic input dimension D is much smaller than the ambient dimension N. The update corresponds to a first-order exponential integrator on the sphere. We establish local Lipschitz continuity of the exponential map on positively curved manifolds with careful treatment of basepoint dependence, derive perturbation bounds showing linear-to-exponential growth transitions via Grönwall-type estimates, and we prove third-order asymptotic equivalence with normalized linear systems under appropriate scaling. Numerical experiments on synthetic data validate exact norm preservation over extended time horizons, confirm theoretical perturbation growth predictions, and demonstrate the effectiveness of the temporal memory mechanism in reducing long-horizon prediction errors. The framework provides a principled geometric approach for applications requiring exact directional or compositional constraints. Full article
20 pages, 7456 KB  
Article
Vibration-Based Wear State Assessment of Hopper Scales: A Coupled DEM–FEM Approach
by Yichen Zhang, Xingdong Wang, Xu She and Zongwu Wu
Machines 2026, 14(2), 238; https://doi.org/10.3390/machines14020238 - 19 Feb 2026
Viewed by 368
Abstract
Hopper scales are critical dynamic metering equipment in industrial production, yet their metrological performance is often compromised by wear on weighing units over long-term service. This study proposes a wear state assessment method based on the evolution of vibration features. Focusing on the [...] Read more.
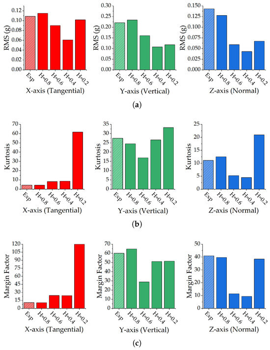
Hopper scales are critical dynamic metering equipment in industrial production, yet their metrological performance is often compromised by wear on weighing units over long-term service. This study proposes a wear state assessment method based on the evolution of vibration features. Focusing on the rocker-column weighing unit, we analyzed the mechanism by which geometric changes in the spherical indenter—caused by fretting wear—alter the system’s constraint state. A global-to-local coupled Discrete Element Method and Finite Element Method (DEM–FEM) model was constructed to account for material-structure interactions, alongside a dynamic simulation model considering wear evolution. The simulation accuracy was validated through a dedicated experimental platform. The results indicate that as spherical wear intensifies, the low-frequency swaying of the indenter is suppressed, causing the system’s vibration mode to transition from a flexible, swaying-dominated state to a high-frequency, rigid-impact-dominated state. In the frequency domain, this manifests as energy migration, characterized by attenuation of the low-frequency main peak and an elevation of the high-frequency broadband noise floor. Crucially, as a key innovation for wear diagnosis, this study reveals the directional sensitivity of statistical indicators. While the Root Mean Square (RMS) exhibits a non-monotonic V-shaped trend, the Kurtosis and Margin factors of the tangential vibration demonstrate superior monotonic sensitivity. Under severe wear conditions, these two indicators increase by 14 and 11 times, respectively. These findings provide highly effective diagnostic criteria and hold significant engineering application value for the predictive maintenance of industrial dynamic weighing systems. Full article
(This article belongs to the Section Friction and Tribology)
Show Figures

Figure 1

26 pages, 1641 KB  
Article
Geometric and Control-Theoretic Limits on Drone Density in Bounded Airspace
by Linda Mümken, Diyar Altinses, Stefan Lier and Andreas Schwung
Drones 2026, 10(2), 139; https://doi.org/10.3390/drones10020139 - 16 Feb 2026
Viewed by 614
Abstract
This paper addresses the question of how many autonomous aerial vehicles (UAVs or drones) can safely operate within a bounded three-dimensional airspace. First, we derive the absolute mathematical limits on drone density using geometric arguments from sphere packing and covering theory. Then, we [...] Read more.
This paper addresses the question of how many autonomous aerial vehicles (UAVs or drones) can safely operate within a bounded three-dimensional airspace. First, we derive the absolute mathematical limits on drone density using geometric arguments from sphere packing and covering theory. Then, we verify these limits empirically by simulating a swarm controlled via model predictive control. We incrementally increase the number of drones until motion becomes impossible. Each drone is modeled as a double-integrator system with a bounded speed and acceleration and is surrounded by a radius spherical safety zone r>0. The drones are controlled via model predictive control with hard separation constraints. We formalize complete blockage as the loss of any feasible non-trivial trajectory set, either due to geometric crowding or dynamic limitations. Using tools from discrete geometry, we establish absolute upper bounds on a safe population via sphere-packing results and sufficient conditions for total immobilization via sphere-covering arguments. We extend these static bounds by incorporating dynamics through stopping-distance analysis, leading to an inflated exclusion radius that captures the effect of finite control authority. In addition, we prove min-cut style flow-capacity bounds that limit feasible throughput across bottlenecks and derive horizon-dependent conflict-graph conditions that capture MPC infeasibility at high densities. These results provide a rigorous theoretical framework for determining the transition from feasible multi-drone operation to inevitable gridlock, offering explicit quantitative thresholds that can inform airspace design, drone density regulation, and the tuning of predictive controllers. We evaluate our theoretical findings with a simulation environment. Full article
Show Figures

Figure 1

15 pages, 1881 KB  
Article
Finite-Range Scalar–Tensor Gravity: Constraints from Cosmology and Galaxy Dynamics
by Elie Almurr and Jean Claude Assaf
Galaxies 2026, 14(1), 7; https://doi.org/10.3390/galaxies14010007 - 27 Jan 2026
Viewed by 1077
Abstract
Objective: We examine whether a finite-range scalar–tensor modification of gravity can be simultaneously compatible with cosmological background data, galaxy rotation curves, and local/astrophysical consistency tests, while satisfying the luminal gravitational-wave propagation constraint (cT=1) implied by GW170817 at low [...] Read more.
Objective: We examine whether a finite-range scalar–tensor modification of gravity can be simultaneously compatible with cosmological background data, galaxy rotation curves, and local/astrophysical consistency tests, while satisfying the luminal gravitational-wave propagation constraint (cT=1) implied by GW170817 at low redshifts. Methods: We formulate the model at the level of an explicit covariant action and derive the corresponding field equations; for cosmological inferences, we adopt an effective background closure in which the late-time dark-energy density is modulated by a smooth activation function characterized by a length scale λ and amplitude ϵ. We constrain this background model using Pantheon+, DESI Gaussian Baryon Acoustic Oscillations (BAOs), and a Planck acoustic-scale prior, including an explicit ΛCDM comparison. We then propagate the inferred characteristic length by fixing λ in the weak-field Yukawa kernel used to model 175 SPARC galaxy rotation curves with standard baryonic components and a controlled spherical approximation for the scalar response. Results: The joint background fit yields Ωm=0.293±0.007, λ=7.691.71+1.85Mpc, and H0=72.33±0.50kms1Mpc1. With λ fixed, the baryons + scalar model describes the SPARC sample with a median reduced chi-square of χν2=1.07; for a 14-galaxy subset, this model is moderately preferred over the standard baryons + NFW halo description in the finite-sample information criteria, with a mean ΔAICc outcome in favor of the baryons + scalar model (≈2.8). A Vainshtein-type screening completion with Λ=1.3×108 eV satisfies Cassini, Lunar Laser Ranging, and binary pulsar bounds while keeping the kpc scales effectively unscreened. For linear growth observables, we adopt a conservative General Relativity-like baseline (μ0=0) and show that current fσ8 data are consistent with μ00 for our best-fit background; the model predicts S8=0.791, consistent with representative cosmic-shear constraints. Conclusions: Within the present scope (action-level weak-field dynamics for galaxy modeling plus an explicitly stated effective closure for background inference), the results support a mutually compatible characteristic length at the Mpc scale; however, a full perturbation-level implementation of the covariant theory remains an issue for future work, and the role of cold dark matter beyond galaxy scales is not ruled out. Full article
Show Figures

Figure 1

17 pages, 2438 KB  
Article
Development of a Gravity-Driven Vis/NIR Spectroscopy Device for Detection and Grading of Soluble Solids Content in Oranges
by Yuhao Huang, Sai Xu, Xin Liang, Huazhong Lu and Pingzhi Wu
Agriculture 2026, 16(3), 293; https://doi.org/10.3390/agriculture16030293 - 23 Jan 2026
Viewed by 417
Abstract
To address the limitations of conventional conveyor-based systems in online detection and grading of orange soluble solids content (SSC), this study developed a novel gravity-driven detection device. Traditional systems are constrained by carrier-induced optical interference, complex mechanical structures, and large spatial requirements, limiting [...] Read more.
To address the limitations of conventional conveyor-based systems in online detection and grading of orange soluble solids content (SSC), this study developed a novel gravity-driven detection device. Traditional systems are constrained by carrier-induced optical interference, complex mechanical structures, and large spatial requirements, limiting their application in small- and medium-sized enterprises. By introducing a gravity-driven paradigm, this research eliminates the need for fruit carriers and enables vertical spectral acquisition during gravitational descent, effectively overcoming carrier interference and spatial constraints. The integrated system comprises a synchronous-release feeding mechanism, a Vis/NIR detection module, and an intelligent grading unit. Through systematic optimization of disk rotation speed, integration time, and spot size, stable and efficient spectral acquisition was achieved, resulting in a throughput of one fruit per second. The optimized PLSR model, utilizing SG-SNV preprocessing and CARS feature selection, demonstrated excellent predictive performance, with an Rp2 of 0.8746 and an RMSEP of 0.3001 °Brix. External validation confirmed 96.6% prediction accuracy within a ±1.0 °Brix error range and an overall grading accuracy of 86.6%. This system offers a compact, cost-effective, and high-performance solution for real-time fruit quality inspection, with potential applications to various spherical fruits. Full article
(This article belongs to the Section Agricultural Technology)
Show Figures

Graphical abstract

21 pages, 888 KB  
Article
Evaluation of Barriers to the Integration of Renewable Energy Technologies into Industries in Türkiye
by Elif Çaloğlu Büyükselçuk and Hakan Turan
Processes 2026, 14(2), 307; https://doi.org/10.3390/pr14020307 - 15 Jan 2026
Viewed by 568
Abstract
The transition to renewable energy technologies is one of the most important ways to achieve the sustainable development goals (SDGs) of affordable and clean energy (SDG7); industry, innovation and infrastructure (SDG9); responsible production and consumption (SDG12); and climate action (SDG13). The widespread use [...] Read more.
The transition to renewable energy technologies is one of the most important ways to achieve the sustainable development goals (SDGs) of affordable and clean energy (SDG7); industry, innovation and infrastructure (SDG9); responsible production and consumption (SDG12); and climate action (SDG13). The widespread use of renewable energy technologies in developing countries will reduce dependence on imported fossil resources, increase industrial competitiveness, and support low-carbon development. Despite all their advantages, the integration of renewable energy technologies into industrial and domestic systems in developing countries remains slow due to a number of barriers. Financial constraints, technical and technological deficiencies, political restrictions and uncertainties, and organizational and managerial inadequacies are some of the barriers to the widespread adoption of renewable energy technologies. This study aims to identify, classify, and prioritize the barriers to the implementation of renewable energy technologies by applying multi-criteria decision-making methods in a fuzzy environment, with Türkiye considered as a case study. The relative importance of the barriers identified using the Single-Valued Spherical Fuzzy SWARA method was assessed, and their interconnections and significance were systematically demonstrated. The findings will contribute to the development of policy and management strategies aligned with global sustainability goals, thereby facilitating a more effective and equitable transition to clean and resilient energy systems. Full article
Show Figures

Figure 1

30 pages, 3247 KB  
Article
The Clausius–Mossotti Factor in Dielectrophoresis: A Critical Appraisal of Its Proposed Role as an ‘Electrophysiology Rosetta Stone’
by Ronald Pethig
Micromachines 2026, 17(1), 96; https://doi.org/10.3390/mi17010096 - 11 Jan 2026
Viewed by 901
Abstract
The Clausius–Mossotti (CM) factor underpins the theoretical description of dielectrophoresis (DEP) and is widely used in micro- and nano-scale systems for frequency-dependent particle and cell manipulation. It has further been proposed as an “electrophysiology Rosetta Stone” capable of linking DEP spectra to intrinsic [...] Read more.
The Clausius–Mossotti (CM) factor underpins the theoretical description of dielectrophoresis (DEP) and is widely used in micro- and nano-scale systems for frequency-dependent particle and cell manipulation. It has further been proposed as an “electrophysiology Rosetta Stone” capable of linking DEP spectra to intrinsic cellular electrical properties. In this paper, the mathematical foundations and interpretive limits of this proposal are critically examined. By analyzing contrast factors derived from Laplace’s equation across multiple physical domains, it is shown that the CM functional form is a universal consequence of geometry, material contrast, and boundary conditions in linear Laplacian fields, rather than a feature unique to biological systems. Key modelling assumptions relevant to DEP are reassessed. Deviations from spherical symmetry lead naturally to tensorial contrast factors through geometry-dependent depolarisation coefficients. Complex, frequency-dependent CM factors and associated relaxation times are shown to inevitably arise from the coexistence of dissipative and storage mechanisms under time-varying forcing, independent of particle composition. Membrane surface charge influences DEP response through modified interfacial boundary conditions and effective transport parameters, rather than by introducing an independent driving mechanism. These results indicate that DEP spectra primarily reflect boundary-controlled field–particle coupling. From an inverse-problem perspective, this places fundamental constraints on parameter identifiability in DEP-based characterization. The CM factor remains a powerful and general modelling tool for micromachines and microfluidic systems, but its interpretive scope must be understood within the limits imposed by Laplacian field theory. Full article
(This article belongs to the Special Issue Advances in Electrokinetics for Cell Sorting and Analysis)
Show Figures

Figure 1

28 pages, 5461 KB  
Article
Free Vibration and Static Behavior of Bio-Inspired Helicoidal Composite Spherical Caps on Elastic Foundations Applying a 3D Finite Element Method
by Amin Kalhori, Mohammad Javad Bayat, Masoud Babaei and Kamran Asemi
Buildings 2026, 16(2), 273; https://doi.org/10.3390/buildings16020273 - 8 Jan 2026
Viewed by 595
Abstract
Spherical caps exploit their intrinsic curvature to achieve efficient stress distribution, delivering exceptional strength-to-weight ratios. This advantage renders them indispensable for aerospace systems, pressurized containers, architectural domes, and structures operating in extreme environments, such as deep-sea or nuclear containment. Their superior load-bearing capacity [...] Read more.
Spherical caps exploit their intrinsic curvature to achieve efficient stress distribution, delivering exceptional strength-to-weight ratios. This advantage renders them indispensable for aerospace systems, pressurized containers, architectural domes, and structures operating in extreme environments, such as deep-sea or nuclear containment. Their superior load-bearing capacity enables diverse applications, including satellite casings and high-pressure vessels. Meticulous optimization of geometric parameters and material selection ensures robustness in demanding scenarios. Given their significance, this study examines the natural frequency and static response of bio-inspired helicoidally laminated carbon fiber–reinforced polymer matrix composite spherical panels surrounded by Winkler elastic foundation support. Utilizing a 3D elasticity approach and the finite element method (FEM), the governing equations of motion are derived via Hamilton’s Principle. The study compares five helicoidal stacking configurations—recursive, exponential, linear, semicircular, and Fibonacci—with traditional laminate designs, including cross-ply, quasi-isotropic, and unidirectional arrangements. Parametric analyses explore the influence of lamination patterns, number of plies, panel thickness, support rigidity, polar angles, and edge constraints on natural frequencies, static deflections, and stress distributions. The analysis reveals that the quasi-isotropic (QI) laminate configuration yields optimal vibrational performance, attaining the highest fundamental frequency. In contrast, the cross-ply (CP) laminate demonstrates marginally best static performance, exhibiting minimal deflection. The unidirectional (UD) laminate consistently shows the poorest performance across both static and dynamic metrics. These investigations reveal stress transfer mechanisms across layers and elucidate vibration and bending behaviors in laminated spherical shells. Crucially, the results underscore the ability of helicoidal arrangements in augmenting mechanical and structural performance in engineering applications. Full article
(This article belongs to the Special Issue Applications of Computational Methods in Structural Engineering)
Show Figures

Figure 1

Back to TopTop