Finite-Range Scalar–Tensor Gravity: Constraints from Cosmology and Galaxy Dynamics
Abstract
1. Introduction
2. Theoretical Framework and Field Equations
2.1. Action and Parameter Definitions
2.2. Metric and Scalar Field Equations
2.3. Conservation Laws and Frames
2.4. Gravitational-Wave Speed
2.5. FLRW Specialization Derived from the Action
2.6. Effective Background Closure Used for Cosmological Inference
3. Cosmological Constraints from Background Data
3.1. Data and Likelihood
3.2. Sampling and Priors
3.3. Cosmological Posteriors and Best-Fit Values
3.4. CDM Comparison and Cosmographic Diagnostics
4. Galaxy Dynamics and SPARC Rotation Curves
4.1. Weak-Field Limit and Modified Potential
4.2. Practical Implementation for SPARC Fits
4.3. Spherical Symmetry Assumption and Robustness
4.4. Galaxy-Level Inference and Fixed- Analysis
4.5. Population Results, Goodness of Fit, and Morphology
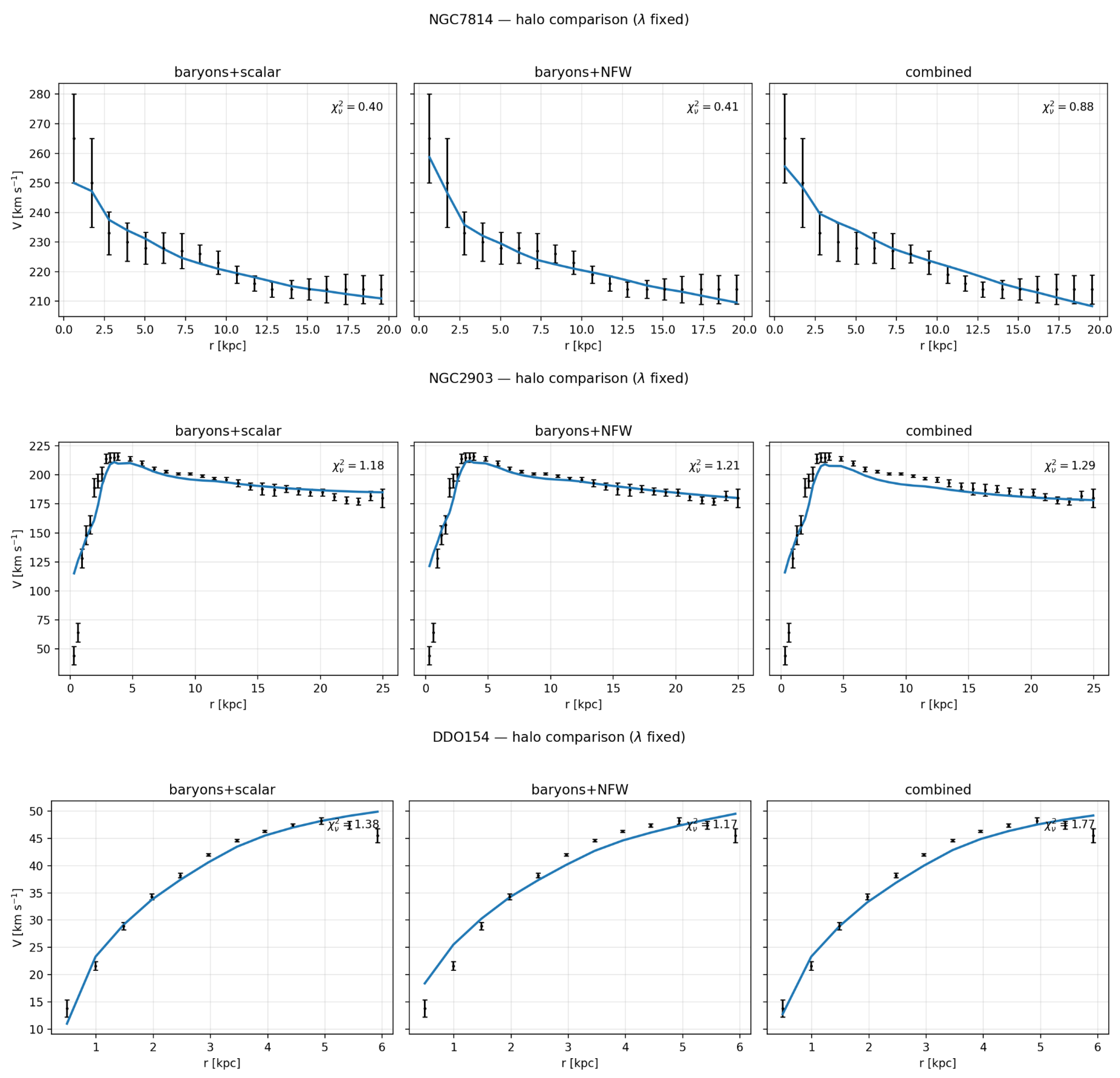
5. Halo-Model Comparison
6. Additional Consistency Tests and Constraints
6.1. Screening Across Scales
6.2. Growth of Structure and
6.3. Peculiar-Velocity Floor
7. Conclusions
- We formulated the theory at the explicit action level and provided the full-field equations from metric and scalar variations (Section 2, Appendix A). The theory satisfies and is compatible with GW170817 at low redshifts, while higher z multimessenger tests remain important (Section 2).
- We derived the FLRW specialization from the action and formulated the generalized Friedmann and scalar background equations. We then made a deliberate scope choice: the background expansion used for cosmological inference was considered an effective closure (Equation (14)), motivated by coarse-graining/void-percolation arguments and not claimed to be a closed-form solution of the homogeneous scalar dynamics.
- Using Pantheon+, BAO, and the acoustic scale, we constrained the activation length to and obtained a background expansion close to CDM in cosmographic diagnostics. We also included an explicit CDM comparison via information criteria (Section 3).
- Fixing to the cosmological posterior median, we derived the weak-field Yukawa limit and used it to fit SPARC rotation curves. We obtained statistically acceptable fits for a large fraction of the sample (median ) and documented population statistics, morphology trends, and representative examples (Section 4).
Supplementary Materials
Author Contributions
Funding
Institutional Review Board Statement
Informed Consent Statement
Data Availability Statement
Acknowledgments
Conflicts of Interest
Appendix A. Einstein’s Tensor Coupling Contribution Θ μν
Appendix B. Spherically Symmetric Yukawa Kernel and Acceleration
Appendix C. Cosmological Likelihood Details
Appendix C.1. Supernovae
Appendix C.2. BAO
Appendix C.3. Acoustic Scale
Appendix C.4. Priors and Sampling
Appendix D. Cosmographic Diagnostics
Appendix E. Spherical Symmetry Approximation
Appendix F. Growth-Rate Nuisance Parameter Test
References
- Carroll, S.M. The Cosmological Constant. Living Rev. Relativ. 2001, 4, 1. [Google Scholar] [CrossRef] [PubMed]
- Weinberg, S. The Cosmological Constant Problem. Rev. Mod. Phys. 1989, 61, 1–23. [Google Scholar] [CrossRef]
- Planck Collaboration. Planck 2018 Results. VI. Cosmological Parameters. Astron. Astrophys. 2020, 641, A6. [Google Scholar] [CrossRef]
- Peebles, P.J.E. Principles of Physical Cosmology; Princeton University Press: Princeton, NJ, USA, 1993. [Google Scholar]
- Clifton, T.; Ferreira, P.G.; Padilla, A.; Skordis, C. Modified Gravity and Cosmology. Phys. Rep. 2012, 513, 1–189. [Google Scholar] [CrossRef]
- Joyce, A.; Jain, B.; Khoury, J.; Trodden, M. Beyond the Cosmological Standard Model. Phys. Rep. 2015, 568, 1–98. [Google Scholar] [CrossRef]
- Horndeski, G.W. Second-order Scalar-tensor Field Equations in a Four-dimensional Space. Int. J. Theor. Phys. 1974, 10, 363–384. [Google Scholar] [CrossRef]
- Sushkov, S.V. Exact Cosmological Solutions with Nonminimal Derivative Coupling. Phys. Rev. D 2009, 80, 103505. [Google Scholar] [CrossRef]
- Vainshtein, A.I. To the Problem of Non-Vanishing Gravitation Mass. Phys. Lett. B 1972, 39, 393–394. [Google Scholar] [CrossRef]
- Abbott, B.P.; Abbott, R.; Abbott, T.D.; Acernese, F.; Ackley, K.; Adams, C.; Adams, T.; Addesso, P.; Adhikari, R.X.; Adya, V.B.; et al. GW170817: Observation of Gravitational Waves from a Binary Neutron Star Inspiral. Phys. Rev. Lett. 2017, 119, 161101. [Google Scholar] [CrossRef] [PubMed]
- Ezquiaga, J.M.; Zumalacárregui, M. Dark Energy After GW170817: Dead Ends and the Road Ahead. Phys. Rev. Lett. 2017, 119, 251304. [Google Scholar] [CrossRef] [PubMed]
- Creminelli, P.; Vernizzi, F. Dark Energy After GW170817 and GRB 170817A. Phys. Rev. Lett. 2017, 119, 251302. [Google Scholar] [CrossRef] [PubMed]
- Romano, A.E.; Sakellariadou, M. Interpreting the Modified Gravitational Wave Speed in Terms of a Time Delay. Phys. Rev. Lett. 2023, 130, 231401. [Google Scholar] [CrossRef] [PubMed]
- Romano, A.E. Constraining the effective field theory of dark energy with multimessenger astronomy. Phys. Rev. D 2025, 111, 084086. [Google Scholar] [CrossRef]
- Brout, D.; Scolnic, D.; Popovic, B.; Riess, A.G.; Carr, A.; Zuntz, J.; Kessler, R.; Davis, T.M.; Hinton, S.; Jones, D.; et al. The Pantheon+ Analysis: Cosmological Constraints. Astrophys. J. 2022, 938, 110. [Google Scholar] [CrossRef]
- Scolnic, D.; Brout, D.; Carr, A.; Riess, A.G.; Davis, T.M.; Dwomoh, A.; Jones, D.O.; Ali, N.; Charvu, P.; Chen, R.; et al. The Pantheon+ Analysis: The Full Dataset and Light-curve Release. Astrophys. J. 2022, 938, 113. [Google Scholar] [CrossRef]
- DESI Collaboration. DESI 2024 VI: Cosmological Constraints from the Measurements of Baryon Acoustic Oscillations. arXiv 2024, arXiv:2404.03002. [Google Scholar] [CrossRef]
- Bertotti, B.; Iess, L.; Tortora, P. A Test of General Relativity using Radio Links with the Cassini Spacecraft. Nature 2003, 425, 374–376. [Google Scholar] [CrossRef] [PubMed]
- Romano, A.E. The effects of dark energy on the matter-gravity coupling. arXiv 2025, arXiv:2511.15049. [Google Scholar] [CrossRef]








| Model | Parameters | ||
|---|---|---|---|
| CDM | 0 | ||
| Effective activation () |
| Galaxy | Morphology | g | ||
|---|---|---|---|---|
| UGC05005 | Irr/LSB | 0.0403 | 0.567 | 0.072 |
| F574-2 | Sa–Sb | 0.00062 | 0.547 | 0.277 |
Disclaimer/Publisher’s Note: The statements, opinions and data contained in all publications are solely those of the individual author(s) and contributor(s) and not of MDPI and/or the editor(s). MDPI and/or the editor(s) disclaim responsibility for any injury to people or property resulting from any ideas, methods, instructions or products referred to in the content. |
© 2026 by the authors. Licensee MDPI, Basel, Switzerland. This article is an open access article distributed under the terms and conditions of the Creative Commons Attribution (CC BY) license.
Share and Cite
Almurr, E.; Assaf, J.C. Finite-Range Scalar–Tensor Gravity: Constraints from Cosmology and Galaxy Dynamics. Galaxies 2026, 14, 7. https://doi.org/10.3390/galaxies14010007
Almurr E, Assaf JC. Finite-Range Scalar–Tensor Gravity: Constraints from Cosmology and Galaxy Dynamics. Galaxies. 2026; 14(1):7. https://doi.org/10.3390/galaxies14010007
Chicago/Turabian StyleAlmurr, Elie, and Jean Claude Assaf. 2026. "Finite-Range Scalar–Tensor Gravity: Constraints from Cosmology and Galaxy Dynamics" Galaxies 14, no. 1: 7. https://doi.org/10.3390/galaxies14010007
APA StyleAlmurr, E., & Assaf, J. C. (2026). Finite-Range Scalar–Tensor Gravity: Constraints from Cosmology and Galaxy Dynamics. Galaxies, 14(1), 7. https://doi.org/10.3390/galaxies14010007

