Sign in to use this feature.

Years

Between: -

Subjects

remove_circle_outline
remove_circle_outline
remove_circle_outline
remove_circle_outline
remove_circle_outline
remove_circle_outline
remove_circle_outline
remove_circle_outline
remove_circle_outline

Journals

remove_circle_outline
remove_circle_outline
remove_circle_outline
remove_circle_outline
remove_circle_outline
remove_circle_outline
remove_circle_outline
remove_circle_outline
remove_circle_outline
remove_circle_outline
remove_circle_outline

Article Types

Countries / Regions

remove_circle_outline
remove_circle_outline
remove_circle_outline
remove_circle_outline

Search Results (614)

Search Parameters:
Keywords = seed flow

Order results
Result details
Results per page
Select all
Export citation of selected articles as:
15 pages, 626 KB  
Article
Effects of Microalgae Biomass (Nannochloropsis gaditana and Thalassiosira sp.) on Wheat Seed Germination at High Temperature
by Liliana Guadalupe Alfaro Sifuentes, Gabriel Iván Romero Villegas, Alberto Sánchez Estrada, Luis Alberto Cira Chávez, Brisia Lizbeth Puente Padilla, Francisco Gabriel Acién Fernández and María Isabel Estrada Alvarado
Agronomy 2025, 15(12), 2917; https://doi.org/10.3390/agronomy15122917 - 18 Dec 2025
Viewed by 164
Abstract
Agricultural inputs based on microalgae have been successfully tested at different stages of the crop cycle, from sowing to harvest, to enhance crop performance. In this study, biomass from Nannochloropsis gaditana and Thalassiosira sp. was obtained to evaluate its effect on wheat seed [...] Read more.
Agricultural inputs based on microalgae have been successfully tested at different stages of the crop cycle, from sowing to harvest, to enhance crop performance. In this study, biomass from Nannochloropsis gaditana and Thalassiosira sp. was obtained to evaluate its effect on wheat seed germination under two temperature conditions. Microalgal biomass was produced under controlled conditions (neutral pH, air flow of 1 L·min−1, and a dilution rate of 0.2 day−1). The biomass was characterized for its lipid, carbohydrate, protein, and ash content. Subsequently, its effect on germination, as well as on glucose and amylose content in wheat seedlings, was assessed. Four biomass concentrations were tested (0.0 [distilled water], 0.5, 1.0, and 1.5 g·L−1) at two incubation temperatures (25 and 35 °C). Results showed that Thalassiosira sp. lightly promoted the germination rate more than N. gaditana. Germination parameters were negatively affected by high temperature, but treatments with Thalassiosira sp. alleviated this effect, showing values comparable to those obtained at the optimal temperature. Vigor parameters were improved compared with the control in both temperatures. Glucose and amylose contents exhibited irregular but consistent patterns. However, at a temperature of 35 °C, a slight conversion of starch to glucose could be observed. Overall, microalgal biomass did not significantly improve germination or its time variables, but it could exert a protective effect against high-temperature stress, particularly in the case of Thalassiosira sp. Full article
(This article belongs to the Collection Crop Physiology and Stress)
Show Figures

Graphical abstract

16 pages, 2477 KB  
Article
Harnessing an Invasive Species’ Waste for Syngas Production: Fast Pyrolysis of Rosehip Seeds in a Bubbling Fluidized Bed
by Rodrigo Torres-Sciancalepore, Daniela Zalazar-García, Rosa Rodriguez, Gastón Fouga and Germán Mazza
ChemEngineering 2025, 9(6), 146; https://doi.org/10.3390/chemengineering9060146 - 17 Dec 2025
Viewed by 126
Abstract
This study examines the fast pyrolysis of rosehip seed waste (RSW) in a fluidized bed reactor, evaluating its potential for syngas production and effective waste valorization. The fluidization behavior of sand/RSW mixtures was characterized by determining the minimum fluidization velocity (Umf) [...] Read more.
This study examines the fast pyrolysis of rosehip seed waste (RSW) in a fluidized bed reactor, evaluating its potential for syngas production and effective waste valorization. The fluidization behavior of sand/RSW mixtures was characterized by determining the minimum fluidization velocity (Umf) from pressure drop measurements. Umf increased with RSW content, ranging from 0.227 to 0.257 m/s. Fluid-dynamic tests conducted in an acrylic prototype assessed bed expansion and mixing, showing stable fluidization at 10% RSW concentration without axial slugging. The bed expanded to 68% above the fixed-bed height, while bubble formation promoted uniform mixing and prevented solid segregation. Pyrolysis experiments were performed in a steel reactor using a nitrogen flow three times the Umf, an initial bed height of 2.5 cm, and a 10% RSW mixture. The reactor operated between 400 and 600 °C, and syngas composition was analyzed. At 600 °C, carbon monoxide and hydrogen yields reached 13.868 mmol/gRSW and 7.914 mmol/gRSW, respectively—values notably higher than those obtained under slow pyrolysis conditions. These findings demonstrate that high-efficiency fluidized bed technology provides a sustainable pathway to convert invasive biomass into clean syngas, integrating waste mitigation with renewable energy generation. Full article
Show Figures

Figure 1

24 pages, 4686 KB  
Article
Parameter Calibration and Experimentation of the Discrete Element Model for Mixed Seeds of Vetch (Vicia villosa) and Oat (Avena sativa) in a Pneumatic Seed Drilling System
by Yu Fu, Dewei Wang, Xufeng Wang, Long Wang, Jianliang Hu, Xingguang Chi and Mao Ji
Appl. Sci. 2025, 15(24), 13048; https://doi.org/10.3390/app152413048 - 11 Dec 2025
Viewed by 118
Abstract
This paper focuses on mixed seeds of Vicia villosa and Avena sativa, with their discrete element model and contact parameters being systematically calibrated and validated to provide reliable theoretical support for the structural design and parameter optimization of the air-assisted seed delivery [...] Read more.
This paper focuses on mixed seeds of Vicia villosa and Avena sativa, with their discrete element model and contact parameters being systematically calibrated and validated to provide reliable theoretical support for the structural design and parameter optimization of the air-assisted seed delivery system. The physical properties of both seed types, including triaxial dimensions, density, moisture content, Poisson’s ratio, and shear modulus, were first measured. The Hertz–Mindlin (no slip) contact model and the multi-sphere aggregation method were employed to construct the discrete element models of Vicia villosa and Avena sativa, with preliminary calibration of the intrinsic model parameters. Poisson’s ratio, elastic modulus, collision restitution coefficient, static friction coefficient, and rolling friction coefficient between the seeds and PLA plastic plate were determined through uniaxial compression, free fall, inclined sliding, and inclined rolling tests. Each test was repeated five times, and the calibration criterion for contact parameters was based on minimizing the relative error between simulation and experimental results. Based on this, experiments on the packing angle of mixed seeds, steepest slope, and a three-factor quadratic rotational orthogonal combination were conducted. The inter-seed collision restitution coefficient, static friction coefficient, and rolling friction coefficient were set as the experimental factors. A total of 23 treatments were designed with repetitions at the center point, and a regression model was established for the relative error of the packing angle with respect to each factor. Based on the measured packing angle of 28.01° for the mixed seeds, the optimal contact parameter combination for the mixed seed pile was determined to be: inter-seed collision restitution coefficient of 0.312, static friction coefficient of 0.328, and rolling friction coefficient of 0.032. The relative error between the simulated packing angle and the measured value was 1.32%. The calibrated inter-seed contact parameters were further coupled into the EDEM–Fluent gas–solid two-phase flow model. Simulations and bench verification tests were carried out under nine treatment combinations, corresponding to three fan speeds (20, 25, and 30 m·s−1) and three total transport efficiencies (12.5, 17.5, and 22.5 g·s−1), with the consistency coefficient of seed distribution in each row being the main evaluation variable. The results showed that the deviation in the consistency coefficient of seed distribution between the simulation and experimental measurements ranged from 1.24% to 3.94%. This indicates that the calibrated discrete element model for mixed seeds and the EDEM–Fluent coupled simulation can effectively reproduce the air-assisted seed delivery process under the conditions of Vicia villosa and Avena sativa mixed sowing, providing reliable parameters and methodological support for the structural design of seeders and DEM-CFD coupled simulations in legume–grass mixed sowing systems. Full article
(This article belongs to the Section Agricultural Science and Technology)
Show Figures

Figure 1

28 pages, 4585 KB  
Article
Uncertainty-Aware Adaptive Intrusion Detection Using Hybrid CNN-LSTM with cWGAN-GP Augmentation and Human-in-the-Loop Feedback
by Clinton Manuel de Nascimento and Jin Hou
Safety 2025, 11(4), 120; https://doi.org/10.3390/safety11040120 - 5 Dec 2025
Viewed by 376
Abstract
Intrusion detection systems (IDSs) must operate under severe class imbalance, evolving attack behavior, and the need for calibrated decisions that integrate smoothly with security operations. We propose a human-in-the-loop IDS that combines a convolutional neural network and a long short-term memory network (CNN–LSTM) [...] Read more.
Intrusion detection systems (IDSs) must operate under severe class imbalance, evolving attack behavior, and the need for calibrated decisions that integrate smoothly with security operations. We propose a human-in-the-loop IDS that combines a convolutional neural network and a long short-term memory network (CNN–LSTM) classifier with a variational autoencoder (VAE)-seeded conditional Wasserstein generative adversarial network with gradient penalty (cWGAN-GP) augmentation and entropy-based abstention. Minority classes are reinforced offline via conditional generative adversarial (GAN) sampling, whereas high-entropy predictions are escalated for analysts and are incorporated into a curated retraining set. On CIC-IDS2017, the resulting framework delivered well-calibrated binary performance (ACC = 98.0%, DR = 96.6%, precision = 92.1%, F1 = 94.3%; baseline ECE ≈ 0.04, Brier ≈ 0.11) and substantially improved minority recall (e.g., Infiltration from 0% to >80%, Web Attack–XSS +25 pp, and DoS Slowhttptest +15 pp, for an overall +11 pp macro-recall gain). The deployed model remained lightweight (~42 MB, <10 ms per batch; ≈32 k flows/s on RTX-3050 Ti), and only approximately 1% of the flows were routed for human review. Extensive evaluation, including ROC/PR sweeps, reliability diagrams, cross-domain tests on CIC-IoT2023, and FGSM/PGD adversarial stress, highlights both the strengths and remaining limitations, notably residual errors on rare web attacks and limited IoT transfer. Overall, the framework provides a practical, calibrated, and extensible machine learning (ML) tier for modern IDS deployment and motivates future research on domain alignment and adversarial defense. Full article
Show Figures

Graphical abstract

29 pages, 3130 KB  
Article
Evaluation of Selective Efficacy of Indocyanine Green-Mediated Photodynamic Therapy ICG-PDT in MCF-7 Breast Cancer Cells Compared to Healthy Cells in a 3D Hollow Fiber Bioreactor Model
by Wiktoria Mytych, Magdalena Czarnecka-Czapczyńska, Dorota Bartusik-Aebisher, David Aebisher, Gabriela Henrykowska and Aleksandra Kawczyk-Krupka
Pharmaceuticals 2025, 18(12), 1832; https://doi.org/10.3390/ph18121832 - 1 Dec 2025
Viewed by 446
Abstract
Objective: This study investigates the efficacy of indocyanine green-mediated photodynamic therapy (PDT) in targeting MCF-7 breast cancer cells, a representative model of luminal A subtype, compared to healthy breast epithelial cells. Methods: MCF-7 cells and healthy breast cells were cultured in a three-dimensional [...] Read more.
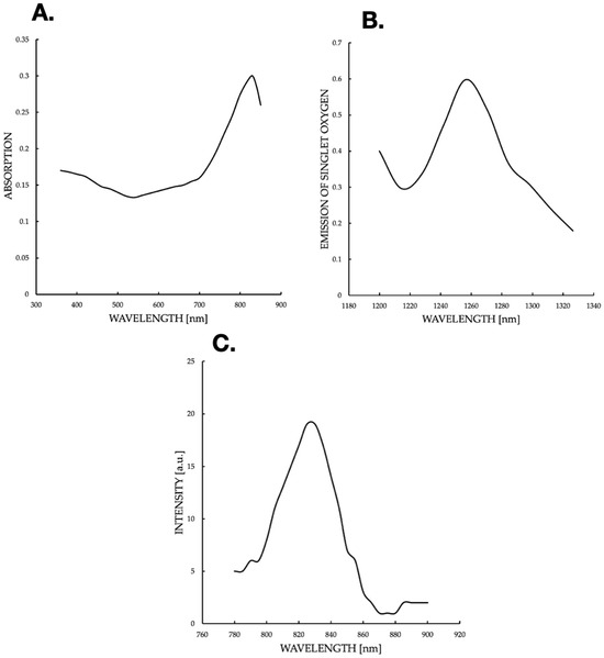
Objective: This study investigates the efficacy of indocyanine green-mediated photodynamic therapy (PDT) in targeting MCF-7 breast cancer cells, a representative model of luminal A subtype, compared to healthy breast epithelial cells. Methods: MCF-7 cells and healthy breast cells were cultured in a three-dimensional (3D) hollow fiber bioreactor to mimic the tumor microenvironment in vivo. Cells were treated with ICG at concentrations ranging from 1 to 1000 μM and then photoactivated using a diode laser. Cell viability was assessed by trypan blue staining, and the production of reactive oxygen species (ROS), including singlet oxygen (1O2) was measured. Results: Cell viability, assessed via trypan blue exclusion, decreased dose-dependently with ICG concentrations (1–1000 μM), with MCF-7 viability dropping from 94.5% ± 0.8% at 0.1 μM to 15.83% ± 0.66% at 1000 μM, compared to healthy cells retaining >50% viability up to 500 μM (55.2% ± 2.0% at 1000 μM). Student’s t-tests confirmed significant differences (p < 0.05) between MCF-7 and control (0 μM) at all concentrations, and between MCF-7 and healthy cells, indicating selective cytotoxicity (IC50: ~75 μM for MCF-7). Flow cytometry revealed MCF-7 cell concentrations were significantly lower than healthy cells’ across all ICG doses and seeding densities (p < 0.05). Spectroscopic analyses showed ICG absorption peaks at 800–900 nm, fluorescence at 800–820 nm, and singlet oxygen phosphorescence at 1270 nm, confirming effective ROS generation. Conclusions: Cell concentrations confirmed selective MCF-7 cytotoxicity (p < 0.05). Spectroscopic data validated ROS generation, supporting ICG-PDT’s potential as a selective therapy for early-stage breast cancer within a 50–500 μM therapeutic window. Full article
(This article belongs to the Section Medicinal Chemistry)
Show Figures

Graphical abstract

22 pages, 4004 KB  
Article
Plasma Seed Priming Can Improve the Early Seedling Establishment and Antioxidant Activity of Water Convolvulus Microgreens
by Mayura Veerana, Burapa Poochim, Praepun Intharasuwan, Phatlada Saphanthong, Jun-Sup Lim, Eun-Ha Choi and Gyungsoon Park
Plants 2025, 14(23), 3648; https://doi.org/10.3390/plants14233648 - 29 Nov 2025
Viewed by 480
Abstract
Water convolvulus (Ipomoea aquatica Forssk.) is a fast-growing leafy vegetable valued for its nutritional and antioxidant properties; however, suboptimal seed physiology can hinder its germination and early growth. Non-thermal plasma (NTP) treatment is an eco-friendly seed-priming method that enhances seed performance and [...] Read more.
Water convolvulus (Ipomoea aquatica Forssk.) is a fast-growing leafy vegetable valued for its nutritional and antioxidant properties; however, suboptimal seed physiology can hinder its germination and early growth. Non-thermal plasma (NTP) treatment is an eco-friendly seed-priming method that enhances seed performance and crop quality without the use of chemical inputs. This study evaluated the effects of NTP exposure (0, 5, 10, and 20 min) using a dielectric barrier discharge (DBD) plasma with an air gas flow rate of 1.5 lpm on the germination, seedling growth, pigment and protein content, nitrogen assimilation, and antioxidant capacity of water convolvulus. Plasma treatment of seeds increased germination in a time-dependent manner. The surface hydrophilicity improved with increasing treatment time. Seedlings grown from seeds treated for 10 min exhibited longer shoots (+10.1%) and roots (+17.8%). The shoot nitrate content increased by 66.3%. At 10 min, the total phenolics and flavonoids increased by 26.5% and 37.2%, respectively, with an accompanying increase in antioxidant activity, as measured by DPPH, ABTS, and FRAP assays. These findings demonstrate that a 10 min NTP treatment of seeds improves germination, growth, nutrient assimilation, phytochemical accumulation, and antioxidant activity in water convolvulus seedlings, highlighting its potential as a sustainable and chemical-free seed-priming technology with considerable potential to enhance the productivity and nutritional quality of plant microgreens in modern agriculture. Full article
(This article belongs to the Section Plant Physiology and Metabolism)
Show Figures

Figure 1

19 pages, 359 KB  
Article
A Deterministic Comparison of Classical Machine Learning and Hybrid Deep Representation Models for Intrusion Detection on NSL-KDD and CICIDS2017
by Miguel Arcos-Argudo, Rodolfo Bojorque and Andrés Torres
Algorithms 2025, 18(12), 749; https://doi.org/10.3390/a18120749 - 28 Nov 2025
Viewed by 599
Abstract
Intrusion detection systems (IDSs) must balance detection quality with operational transparency. We present a deterministic, leakage-free comparison of three classical classifiers: Naïve Bayes (NB), Logistic Regression (LR), and Linear Discriminant Analysis (LDA). We also propose a hybrid pipeline that trains LR on Autoencoder [...] Read more.
Intrusion detection systems (IDSs) must balance detection quality with operational transparency. We present a deterministic, leakage-free comparison of three classical classifiers: Naïve Bayes (NB), Logistic Regression (LR), and Linear Discriminant Analysis (LDA). We also propose a hybrid pipeline that trains LR on Autoencoder embeddings (AE). Experiments use NSL-KDD and CICIDS2017 under two regimes (with/without SMOTE (Synthetic Minority Oversampling Technique) applied only on training data). All preprocessing (one-hot encoding, scaling, and imputation) is fitted on the training split; fixed seeds and deterministic TensorFlow settings ensure exact reproducibility. We report a complete metric set—Accuracy, Precision, Recall, F1, Area Under the Curve (AUC), and False Alarm Rate (FAR)—and release a replication package (code, preprocessing artifacts, and saved prediction scores) to regenerate all reported tables and metrics. On NSL-KDD, AE+LR yields the highest AUC (≈0.904) and the strongest F1 among the evaluated models (e.g., 0.7583 with SMOTE), while LDA slightly edges LR on Accuracy/F1. NB attains very high Precision (≈0.98) but low Recall (≈0.24), resulting in the weakest F1, yet a low FAR due to conservative decisions. On CICIDS2017, LR delivers the best Accuracy/F1 (0.9878/0.9752 without SMOTE), with AE+LR close behind; both approach ceiling AUC (≈0.996). SMOTE provides modest gains on NSL-KDD and limited benefits on CICIDS2017. Overall, LR/LDA remain strong, interpretable baselines, while AE+LR improves separability (AUC) without sacrificing a simple, auditable decision layer for practical IDS deployment. Full article
Show Figures

Figure 1

13 pages, 5197 KB  
Article
Large-Scale Production of Silver Nanoplates via Ultrasonic-Assisted Continuous-Flow Synthesis
by Xiangting Hu, Yixuan Yao, Fuqiang Yan, Jiahao Pan and Zhenda Lu
Nanomaterials 2025, 15(23), 1770; https://doi.org/10.3390/nano15231770 - 25 Nov 2025
Viewed by 446
Abstract
Silver nanoplates hold significant promise for advanced electronic materials, especially in low-temperature conductive silver pastes crucial for next-generation solar cells. However, their widespread practical application, like many nanomaterials, is currently limited by insufficient production capacity and inconsistent quality inherent in conventional batch synthesis [...] Read more.
Silver nanoplates hold significant promise for advanced electronic materials, especially in low-temperature conductive silver pastes crucial for next-generation solar cells. However, their widespread practical application, like many nanomaterials, is currently limited by insufficient production capacity and inconsistent quality inherent in conventional batch synthesis methods. To overcome these critical challenges, we developed a novel ultrasound-assisted continuous-flow synthesis method for the scalable and high-yield production of silver nanoplates. This innovative approach effectively addresses common issues such as nanoparticle deposition and pipeline clogging by leveraging ultrasonic cavitation for enhanced mixing and stable flow. Through systematic optimization of synthetic parameters-including temperature, flow rate, and seed concentration-our continuous-flow reactor achieved mass production of pure silver nanoplates at a rate of 3.8 g/h. This scaled-up system is capable of producing hundreds of grams per day. The as-prepared nanoplates demonstrate excellent electrical performance, highlighting the method’s potential for industrial-scale manufacturing and significantly advancing the development of high-efficiency electronic devices. Full article
(This article belongs to the Section Nanofabrication and Nanomanufacturing)
Show Figures

Figure 1

17 pages, 4351 KB  
Article
Sequential Treatment of Domestic Wastewater in Rural Zones Applying Aloe Vera Extract as Coagulant (Preliminar), E. crassipes in a Horizontal Biofilter (Secondary), and Activated Carbon from Soursop Seeds (Tertiary)
by Franco Hernan Gomez, Maria Cristina Collivignarelli, Stefano Bellazzi, Kelly Cristina Torres, Alessandro Abbà and Sabrina Sorlini
Clean Technol. 2025, 7(4), 105; https://doi.org/10.3390/cleantechnol7040105 - 24 Nov 2025
Viewed by 459
Abstract
The absence of domestic wastewater (DWW) treatment in impoverished rural communities of the global south remains a pressing challenge for both public health and environmental sustainability. This study presents a simplified and decentralized treatment chain at laboratory-scale designed under the principles of nature-based [...] Read more.
The absence of domestic wastewater (DWW) treatment in impoverished rural communities of the global south remains a pressing challenge for both public health and environmental sustainability. This study presents a simplified and decentralized treatment chain at laboratory-scale designed under the principles of nature-based solutions (NBS) and the circular economy (CE), emphasizing the integration of the macrophyte Eichhornia crassipes (EC) and bioproducts derived from aloe vera waste (AVW) and soursop seed waste (SSW). The system comprises three sequential stages: (1) coagulation using AVW, which achieved up to 39.9% turbidity reduction; (2) a horizontal flow biofilter system (HFB) employing the aquatic macrophyte EC, which removed 97.9% of fecal coliforms, 82.4% of Escherichia coli, and 99.9% of heterotrophic bacteria; and (3) a tertiary treatment step employing adsorbent derived from SSW, which attained 99.7% methylene blue removal in preliminary tests and an average 97.5% turbidity reduction in DWW. The integrated configuration demonstrates a practical, effective, and replicable approach for decentralized domestic wastewater treatment, fostering local waste valorization, reducing reliance on commercial chemicals, and enhancing water quality in resource-limited rural areas, with potential for scaling to pilot applications in rural communities. Full article
Show Figures

Figure 1

8 pages, 1175 KB  
Communication
Particle Image Velocimetry Measurement of Wall Shear Flow Around a Bubble Growing in Carbonated Water
by Zhengyi Zhang and Keita Ando
Appl. Sci. 2025, 15(22), 12124; https://doi.org/10.3390/app152212124 - 14 Nov 2025
Viewed by 422
Abstract
An experimental technique was developed for two-dimensional Particle Image Velocimetry (PIV) measurement of wall shear flow around a bubble growing under dissolved gas supersaturation. Carbonated water was used as dissolved-gas-supersaturated liquid, and its flow was created in a small container with a tube [...] Read more.
An experimental technique was developed for two-dimensional Particle Image Velocimetry (PIV) measurement of wall shear flow around a bubble growing under dissolved gas supersaturation. Carbonated water was used as dissolved-gas-supersaturated liquid, and its flow was created in a small container with a tube pump. An isolated CO2 bubble nucleated from an intentionally created scratch on the glass surface was placed in the flow. The mass-diffusion-driven growth of the bubble (from nucleation to detachment from the surface) was recorded using a video camera with backlighting; the radius of the detached bubble was below 1 mm in the present experimental conditions. The velocity field without and with the wall-attached bubble was obtained through PIV with the water (seeded with fluorescent particles) and with a planar laser sheet, which enables one to obtain local shear flow. With the measured liquid velocity at the bubble center, the particle Reynolds number was found to be below 1. The proposed PIV measurement technique allows for careful examination of bubble detachment dynamics and convective mass transfer around attached bubbles. Full article
Show Figures

Figure 1

23 pages, 7244 KB  
Article
Computer Vision for Cover Crop Seed-Mix Detection and Quantification
by Karishma Kumari, Kwanghee Won and Ali M. Nafchi
Seeds 2025, 4(4), 59; https://doi.org/10.3390/seeds4040059 - 12 Nov 2025
Viewed by 295
Abstract
Cover crop mixes play an important role in enhancing soil health, nutrient turnover, and ecosystem resilience; yet, maintaining even seed dispersion and planting uniformity is difficult due to significant variances in seed physical and aerodynamic properties. These discrepancies produce non-uniform seeding and species [...] Read more.
Cover crop mixes play an important role in enhancing soil health, nutrient turnover, and ecosystem resilience; yet, maintaining even seed dispersion and planting uniformity is difficult due to significant variances in seed physical and aerodynamic properties. These discrepancies produce non-uniform seeding and species separation in drill hoppers, which has an impact on stand establishment and biomass stability. The thousand-grain weight is an important measure for determining cover crop seed quality and yield since it represents the weight of 1000 seeds in grams. Accurate seed counting is thus a key factor in calculating thousand-grain weight. Accurate mixed-seed identification is also helpful in breeding, phenotypic assessment, and the detection of moldy or damaged grains. However, in real-world conditions, the overlap and thickness of adhesion of mixed seeds make precise counting difficult, necessitating current research into powerful seed detection. This study addresses these issues by integrating deep learning-based computer vision algorithms for multi-seed detection and counting in cover crop mixes. The Canon LP-E6N R6 5D Mark IV camera was used to capture high-resolution photos of flax, hairy vetch, red clover, radish, and rye seeds. The dataset was annotated, augmented, and preprocessed on RoboFlow, split into train, validation, and test splits. Two top models, YOLOv5 and YOLOv7, were tested for multi-seed detection accuracy. The results showed that YOLOv7 outperformed YOLOv5 with 98.5% accuracy, 98.7% recall, and a mean Average Precision (mAP 0–95) of 76.0%. The results show that deep learning-based models can accurately recognize and count mixed seeds using automated methods, which has practical applications in seed drill calibration, thousand-grain weight estimation, and fair cover crop establishment. Full article
(This article belongs to the Special Issue Agrotechnics in Seed Quality: Current Progress and Challenges)
Show Figures

Figure 1

14 pages, 1480 KB  
Article
c-Jun N-Terminal Kinase (JNK) Inhibitor IQ-1S as a Suppressor of Tumor Spheroid Growth
by Elena Afrimzon, Mordechai Deutsch, Maria Sobolev, Naomi Zurgil, Andrei I. Khlebnikov, Mikhail A. Buldakov and Igor A. Schepetkin
Molecules 2025, 30(21), 4278; https://doi.org/10.3390/molecules30214278 - 3 Nov 2025
Viewed by 530
Abstract
c-Jun N-terminal kinase (JNK) activation has been shown to play a crucial role in the development of various types of cancer. IQ-1S is a JNK inhibitor based on the 11H-indeno[1,2-b]quinoxalin-11-one scaffold. The aim of this study was to investigate [...] Read more.
c-Jun N-terminal kinase (JNK) activation has been shown to play a crucial role in the development of various types of cancer. IQ-1S is a JNK inhibitor based on the 11H-indeno[1,2-b]quinoxalin-11-one scaffold. The aim of this study was to investigate the antiproliferative effect of IQ-1S on MCF7 breast cancer cells in both two-dimensional (2D) monolayer and 3D multicellular spheroid test-systems. Non-adherent, non-tethered 3D objects were generated from single MCF7 breast cancer cells in a hydrogel array. IQ-1S was added directly to the cells seeded in the hydrogel array. MCF7 spheroids were grown for 7 days. Spheroid size, growth rate, and morphology were assessed at single-object resolution. The study revealed significant differences in the size, morphology and some vital characteristics of breast cancer 3D objects when treated with the JNK inhibitor compared to vehicle (dimethyl sulfoxide)-treated controls. Spheroids treated with IQ-1S (20 μM) after 7 days are significantly smaller than the control objects. This difference was not attributable to variations in the initial number of cells seeding for the spheroid formation. Morphological examinations showed that 3D multicellular objects grown from IQ-1S-treated cells lose their regular, round morphology, in contrast to control spheroids. Furthermore, cell proliferation measured using a label-free impedance monitoring platform was reduced in monolayer (2D) culture of MCF7 cells in the presence of 10 and 20 μM IQ-1S. MCF7 cells in 2D culture treated with IQ-1S (20 μM) for 72 and 153 h showed a significant increase in apoptosis as assessed by flow cytometry with annexin V/propidium iodide staining. An in silico evaluation showed that compound IQ-1S has generally satisfactory ADME (absorption, distribution, metabolism, and excretion) properties and high bioavailability. We conclude that IQ-1S effectively inhibits the growth of 3D spheroids and MCF7 cells in 2D culture and has a high potential for use in preclinical tumor growth models. Full article
(This article belongs to the Special Issue The Anticancer Drugs: A New Perspective)
Show Figures

Graphical abstract

19 pages, 8252 KB  
Article
A Thymus-Independent Artificial Organoid System Supports Complete Thymopoiesis from Rhesus Macaque-Derived Hematopoietic Stem and Progenitor Cells
by Callie Wilde, Saleem Anwar, Yu-Tim Yau, Sunil Badve, Yesim Gökmen-Polar, John D. Roback, Rama Rao Amara, R. Paul Johnson and Sheikh Abdul Rahman
Biomedicines 2025, 13(11), 2692; https://doi.org/10.3390/biomedicines13112692 - 1 Nov 2025
Viewed by 1129
Abstract
Background: T cell regeneration in the thymus is intrinsically linked to the T cell-biased lineage differentiation of hematopoietic stem and progenitor cells (HSPCs). Although nonhuman primates (NHPs) serve as indispensable models for studying thymic output under physiological and pathological conditions, a non-animal technology [...] Read more.
Background: T cell regeneration in the thymus is intrinsically linked to the T cell-biased lineage differentiation of hematopoietic stem and progenitor cells (HSPCs). Although nonhuman primates (NHPs) serve as indispensable models for studying thymic output under physiological and pathological conditions, a non-animal technology facilitating efficient TCR-selected T cell development and evaluating T cell output from NHP-derived HSPCs has been lacking. To address this gap, we established a rhesus macaque-specific artificial thymic organoid (RhATO) modeling primary thymus-tissue-free thymopoiesis. Methods: The RhATO was developed by expressing Rhesus macaque (RM) Delta-like Notch ligand 1 in mouse bone marrow stromal cell line (MS5-RhDLL1). The bone marrow-derived HSPCs were aggregated with MS5-RhDLL1 and cultured forming 3D artificial thymic organoids. These organoids were maintained under defined cytokine conditions to support complete T cell developmental ontogeny. T cell developmental progression was assessed by flow cytometry, and TCR-selected subsets were analyzed for phenotypic and functional properties. Results: RhATOs recapitulated the complete spectrum of thymopoietic events, including emergence of thymus-seeding progenitors, CD4+CD3 immature single-positive and CD4+CD8+ double-positive early thymocytes, and mature CD4+ or CD8+ single-positive subsets. These subsets expressed CD38, consistent with the recent thymic emigrant phenotype, and closely mirrored canonical T cell ontogeny described in humans. RhATO-derived T cells were TCR-selected and demonstrated cytokine expression upon stimulation. Conclusions: This study provides the first demonstration of an NHP-specific artificial thymic technology that faithfully models thymopoiesis. RhATO represents a versatile ex vivo platform for studying T cell development, immunopathogenesis, and generating TCR selected T cells. Full article
Show Figures

Figure 1

28 pages, 7642 KB  
Article
Antitumor, Antioxidant, and Hepatoprotective Effects of Grape Seed Oil Nanoemulsion as a Dietary Phytochemical Intervention in Ehrlich Solid Tumors
by Aly A. M. Shaalan, Ekramy M. Elmorsy, Eman M. Embaby, M. Alfawaz, Nagwa M. Aly, Ahmed S. Shams, Manal S. Fawzy and Nora Hosny
Nutrients 2025, 17(21), 3450; https://doi.org/10.3390/nu17213450 - 31 Oct 2025
Viewed by 900
Abstract
Background/Objectives: Grape seed oil (GSO) is a potent source of dietary phytochemicals, particularly polyphenols and flavonoids, known for their health-promoting properties. This study aims to investigate the anticancer and hepatoprotective effects of a nanoemulsion formulation of grape seed oil (GSONE), to enhance the [...] Read more.
Background/Objectives: Grape seed oil (GSO) is a potent source of dietary phytochemicals, particularly polyphenols and flavonoids, known for their health-promoting properties. This study aims to investigate the anticancer and hepatoprotective effects of a nanoemulsion formulation of grape seed oil (GSONE), to enhance the efficacy and bioavailability of its phytochemical constituents against solid tumors. Methods: Ninety female Swiss albino mice were divided into six groups: control, alone, GSONE alone, Ehrlich solid tumor (EST), EST treated with GSO, and EST treated with GSONE. Tumor development, growth performance, serum biochemistry, antioxidant status, hepatic histopathology, apoptotic gene expression, and flow cytometry analyses were assessed following 30 days of daily oral treatment. Results: GSONE significantly reduced tumor weight and volume (52.9%) and more effectively counteracted tumor-induced body weight loss than crude GSO. Treatment with GSONE normalized serum protein levels and improved liver function markers (AST, ALT, ALP, total bilirubin) to near-control values. Tumor markers (AFP, CEA) and oxidative stress indices (MDA, 8-OHdG) were markedly decreased, while activities of hepatic antioxidants (SOD, CAT, GPx, GSH) were restored. GSONE enhanced gene expression of pro-apoptotic markers (Bax, TP53, caspase-3, caspase-9), suppressed anti-apoptotic Bcl-2, and significantly increased the proportion of p53- and cleaved caspase-3-positive tumor cells. Liver histopathology and ultrastructure demonstrated normalized morphology and reduced damage in GSONE-treated mice. Multivariate analyses confirmed GSONE’s restorative effect compared to raw GSO. Conclusions: The delivery of dietary phytochemicals via nanoemulsion significantly enhances antitumor and hepatoprotective actions in a preclinical solid tumor model. These findings support the potential of phytochemical-rich edible oils, enhanced by nanotechnology, for dietary prevention and adjunctive management of cancer. Full article
(This article belongs to the Special Issue Anticancer Activities of Dietary Phytochemicals: 2nd Edition)
Show Figures

Graphical abstract

13 pages, 1331 KB  
Article
Distance Matters: Assessing the Influence of Spatial Separation on Reproductive Success of Costus spiralis (Costaceae) in a Vereda Palm Swamp
by Jessyca Santana Santos, Rafaela Cabral Marinho, Clesnan Mendes-Rodrigues, Monize Altomare and Paulo Eugênio Oliveira
Plants 2025, 14(21), 3266; https://doi.org/10.3390/plants14213266 - 26 Oct 2025
Viewed by 495
Abstract
Many plant species depend on pollen flow to maximize reproduction and maintain genetic variability. Pollinators mediate this process, but distance between individuals can influence its benefits. Proximity may cause inbreeding depression, while extreme distances can mix locally adapted genotypes, leading to outbreeding depression [...] Read more.
Many plant species depend on pollen flow to maximize reproduction and maintain genetic variability. Pollinators mediate this process, but distance between individuals can influence its benefits. Proximity may cause inbreeding depression, while extreme distances can mix locally adapted genotypes, leading to outbreeding depression and reduced fitness. Vereda palm swamps, shaped by the water table, are important habitats in the Cerrado, but they face anthropogenic changes that can affect reproduction, pollinators, and genetic diversity. This study examined how pollen dispersal distance influences the reproductive success of spiral ginger (Costus spiralis, Costaceae), a vereda self-compatible rhizomatous herb pollinated by hummingbirds. Hand pollinations were carried out between plants ranging from 10 to 2000 m distant, and the resulting fruit-set and seed quality traits were evaluated. Fruit set did not vary significantly with distance, with no hint of either inbreeding or outbreeding depression. Nevertheless, seeds resulting from shorter pollination distance (10 m) were heavier, while germination rates were up to five-fold higher at greater pollination distances than at shorter pollination distances. These distinct seed traits are possibly related to main hummingbird pollinators of C. spiralis, which show distinct foraging strategies. The results suggest that C. spiralis is adapted to various modes of pollen dispersal, ensuring reproduction via either territorial or traplining hummingbirds. Full article
(This article belongs to the Special Issue Interaction Between Flowers and Pollinators)
Show Figures

Graphical abstract

Back to TopTop