Sign in to use this feature.

Years

Between: -

Subjects

remove_circle_outline
remove_circle_outline
remove_circle_outline
remove_circle_outline
remove_circle_outline
remove_circle_outline
remove_circle_outline
remove_circle_outline
remove_circle_outline

Journals

remove_circle_outline
remove_circle_outline
remove_circle_outline
remove_circle_outline
remove_circle_outline
remove_circle_outline

Article Types

Countries / Regions

remove_circle_outline
remove_circle_outline
remove_circle_outline
remove_circle_outline

Search Results (543)

Search Parameters:
Keywords = renewable energy volatility

Order results
Result details
Results per page
Select all
Export citation of selected articles as:
35 pages, 5025 KB  
Article
Empowering the Potential of Nearshoring in Mexico: Addressing Energy Challenges with a Fuzzy-CES Framework
by Pedro Ponce, Sergio Castellanos and Juana Isabel Méndez
Processes 2025, 13(11), 3662; https://doi.org/10.3390/pr13113662 - 12 Nov 2025
Abstract
Nearshoring in Mexico is expanding rapidly, yet chronic volatility in the national power grid threatens the reliability and cost-competitiveness of relocated manufacturing lines. To inform strategic mitigation, this study presents a hybrid Fuzzy–CES decision-support framework that embeds the Constant-Elasticity-of-Substitution (CES) production function within [...] Read more.
Nearshoring in Mexico is expanding rapidly, yet chronic volatility in the national power grid threatens the reliability and cost-competitiveness of relocated manufacturing lines. To inform strategic mitigation, this study presents a hybrid Fuzzy–CES decision-support framework that embeds the Constant-Elasticity-of-Substitution (CES) production function within a Mamdani Fuzzy-Inference Engine, implemented in both Type-1 and Interval Type-2 variants, to evaluate and optimize production adaptability in energy-constrained environments. Using sector-wide data from Mexico’s automotive industry, key input variables (energy reliability, capital intensity, and labor availability) are objectively quantified and normalized to reflect the realities of regional plant operations. The system linguistically classifies each facility’s production elasticity as low, moderate, or high, and generates actionable recommendations for resource allocation, such as targeted investments in renewable microgrids or workforce strategies. Implemented in MATLAB, simulation results confirm that, while high capital and labor inputs are essential, energy reliability remains the primary bottleneck limiting adaptability; only states with all three strong factors achieve maximum resilience. The Type-2 fuzzy approach demonstrates superior robustness to input uncertainty, enhancing managerial decision-making under volatile grid conditions. In addition, a case study regarding the automotive industry is presented to illustrate how the proposed framework is implemented. The same structure can be used to deploy it in another industry. This research offers a transparent, data-driven tool to inform both firm-level investment and regional policy, directly supporting Mexico’s efforts to sustain competitiveness and resilience in the global shift toward nearshoring. Full article
(This article belongs to the Section Energy Systems)
Show Figures

Figure 1

26 pages, 4292 KB  
Article
Unveiling Energy Finance Market: A Bibliometric and Content Analysis
by Saroj Shantanu Prasad, Ashutosh Verma and Priti Bakhshi
J. Risk Financial Manag. 2025, 18(11), 634; https://doi.org/10.3390/jrfm18110634 (registering DOI) - 11 Nov 2025
Abstract
This paper unveils the nexus of the energy finance market and its significant dynamics. The results exhibit potential research areas, dominating research patterns and interlinkages among them. Our sample consists of 927 articles selected from the Scopus database for the sample period of [...] Read more.
This paper unveils the nexus of the energy finance market and its significant dynamics. The results exhibit potential research areas, dominating research patterns and interlinkages among them. Our sample consists of 927 articles selected from the Scopus database for the sample period of 1972–2024. We present the quantitative performance of top articles, journals, authors, countries, and institutions. The result includes keyword co-occurrence analysis and co-authorship analysis for authors and countries. We include a literature review of the top 20 cited articles and the most followed methodologies. We found five themes, four clusters, and thirty-four future research questions, showing potential areas of research in the energy finance market. Additionally, based on our results, we proposed a theoretical framework of five major independent factors impacting the energy finance market. This novel study provides a comprehensive picture of the energy finance market, covering a vast period using Scopus as a database, underscoring the prevalent research patterns and serving financial practitioners, researchers, and policymakers. Full article
(This article belongs to the Special Issue The Future of Energy Finance: Challenges and Opportunities)
Show Figures

Figure 1

17 pages, 3076 KB  
Article
Operational Flexibility Assessment of a Power System Considering Uncertainty of Flexible Resources Supported by Wind Turbines Under Load Shedding Operation
by Guifen Jiang, Jiayin Xu, Yuming Shen, Peiru Feng, Hao Yang, Xu Gui, Yipeng Cao, Mingcheng Chen, Ming Wei and Yinghao Ma
Processes 2025, 13(11), 3635; https://doi.org/10.3390/pr13113635 - 10 Nov 2025
Viewed by 144
Abstract
The high proportion of renewable energy introduces significant operation risks to the system’s flexibility balance due to its volatility and randomness. Traditional regulation methods struggle to meet the urgent demand for flexible resources. Utilizing wind turbines (WTs) under load shedding operation can provide [...] Read more.
The high proportion of renewable energy introduces significant operation risks to the system’s flexibility balance due to its volatility and randomness. Traditional regulation methods struggle to meet the urgent demand for flexible resources. Utilizing wind turbines (WTs) under load shedding operation can provide additional reserve capacity, thereby reducing the risk of insufficient system flexibility. However, since wind speed and turbine output exhibit a cubic relationship, minor fluctuations in wind speed can lead to significant variations in output and reserve capacity. This increases the uncertainty in the supply of flexible resources from WTs, posing challenges to power system flexibility assessment. This paper investigates a method for assessing power system flexibility considering the uncertainty of flexible resources supported by WT under load shedding operation. Firstly, according to the flexibility supply control model of WT under shedding operation, the analytical relationship between output, flexible resources, and wind speed under a specific wind energy conversion coefficient is constructed; secondly, combined with the probabilistic model of wind speed based on the nonparametric kernel density estimation, the wind turbine flexible resource uncertainty model is constructed; thirdly, the Monte Carlo simulation is used to obtain the sampled wind speed data, and the operational flexibility assessment method of the power system considering the flexibility uncertainty of WT under load shedding operation is proposed. Finally, through case studies, the validity of the proposed model and method were verified. The analysis concludes that load shedding operation of WTs can enhance the system’s flexible resources to a certain extent but cannot provide stable bi-directional regulation capabilities. Full article
Show Figures

Figure 1

17 pages, 2159 KB  
Review
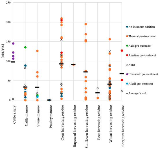
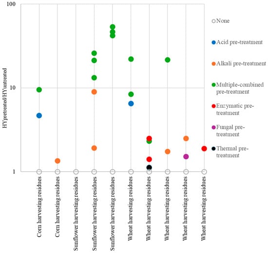
Biohydrogen Production from Agricultural and Livestock By-Products by Dark Fermentation: A Data Mining Approach
by Federico Illuminati, Rossana Savio, Andrea Pezzuolo, Giovanni Ferrari, Francesco Marinello, Mariangela Guidolin and Maria Cristina Lavagnolo
Agriculture 2025, 15(22), 2323; https://doi.org/10.3390/agriculture15222323 - 7 Nov 2025
Viewed by 180
Abstract
Hydrogen is being increasingly recognized as a promising clean, renewable energy carrier. Among the available production pathways, biological processes, particularly dark fermentation of residual biomasses and agricultural by-products, represent an appealing approach aligned with circular economy principles. These feedstocks are abundant and low [...] Read more.
Hydrogen is being increasingly recognized as a promising clean, renewable energy carrier. Among the available production pathways, biological processes, particularly dark fermentation of residual biomasses and agricultural by-products, represent an appealing approach aligned with circular economy principles. These feedstocks are abundant and low cost; however, their relatively low energy density constrains process efficiency. To mitigate this limitation, research efforts have concentrated on optimizing substrate composition and implementing pre-treatment strategies to enhance hydrogen yields. Numerous studies have explored the potential of agricultural and livestock residue, yet reported outcomes are often heterogeneous in terms of units, systems, and experimental conditions, complicating direct comparison. This review consolidates current knowledge and identifies effective strategies to optimize biohydrogen generation. Among the investigated substrates, corn stover emerges as the most promising, with hydrogen yields up to 200 [mL H2/gVS (Volatile Solids)]. Evidence further suggests that inoculum processing, including enrichment or pre-treatment, can substantially improve performance, often more effectively than substrate processing alone. When both inoculum and substrate are treated, hydrogen yields may increase up to fourfold relative to untreated systems. Overall, integrating suitable feedstocks with targeted processing strategies is crucial to advancing sustainable biohydrogen production. Full article
(This article belongs to the Special Issue Livestock Waste Sustainable Management and Applications)
Show Figures

Figure 1

25 pages, 1800 KB  
Article
Multi-Objective Dynamic Economic Emission Dispatch with Wind-Photovoltaic-Biomass-Electric Vehicles Interaction System Using Self-Adaptive MOEA/D
by Baihao Qiao, Jinglong Ye, Hejuan Hu and Pengwei Wen
Sustainability 2025, 17(22), 9949; https://doi.org/10.3390/su17229949 - 7 Nov 2025
Viewed by 160
Abstract
The rapid use of renewables like wind power (WP) and photovoltaic (PV) power is essential for a sustainable energy future, yet their volatility poses a threat to grid stability. Electric vehicles (EVs) contribute to the solution by providing storage, while biomass energy (BE) [...] Read more.
The rapid use of renewables like wind power (WP) and photovoltaic (PV) power is essential for a sustainable energy future, yet their volatility poses a threat to grid stability. Electric vehicles (EVs) contribute to the solution by providing storage, while biomass energy (BE) ensures a reliable and sustainable power supply, solidifying its critical role in the stable operation and sustainable development of the power system. Therefore, a dynamic economic emission dispatch (DEED) model based on WP–PV–BE–EVs (DEEDWPBEV) is proposed. The DEEDWPBEV model is designed to simultaneously minimize operating costs and environmental emissions. The model formulation incorporates several practical constraints, such as those related to power balance, the travel needs of EV owners, and spinning reserve. To obtain a satisfactory dispatch solution, an adaptive improved multi-objective evolutionary algorithm based on decomposition with differential evolution (IMOEA/D-DE) is further proposed. In IMOEA/D-DE, the initialization of the population is achieved through an iterative chaotic map with infinite collapses, and the differential evolution mutation operator is adaptively adjusted. Finally, the feasibility and effectiveness of the proposed model and algorithm are verified on the ten-units system. The experimental results show that the proposed model and algorithm can effectively mitigate renewable energy uncertainty, reduce system costs, and lessen environmental impact. Full article
Show Figures

Figure 1

30 pages, 4808 KB  
Article
COVID-19 and the Merit-Order Effect of Wind Energy: The Case of Nord Pool Electricity Markets
by Seifeddine Guerdalli and Emna Trabelsi
Sustainability 2025, 17(21), 9859; https://doi.org/10.3390/su17219859 - 5 Nov 2025
Viewed by 281
Abstract
The COVID-19 pandemic has profoundly affected global economies, including the electricity sector. Governments implemented strict containment measures to mitigate the health crisis, including lockdowns, social distancing, and event cancelations. These interventions, while essential for public health, also disrupted energy demand and supply patterns. [...] Read more.
The COVID-19 pandemic has profoundly affected global economies, including the electricity sector. Governments implemented strict containment measures to mitigate the health crisis, including lockdowns, social distancing, and event cancelations. These interventions, while essential for public health, also disrupted energy demand and supply patterns. This study supports regulators by quantifying the short- and long-term impacts of the pandemic on local electricity prices (LEPs) in the Nord Pool market (Norway, Sweden, Denmark, Finland, Estonia, Latvia, and Lithuania) during 2020. The findings highlight a crucial link between crisis response strategies and the transition to sustainable energy systems. In times of uncertainty, governments tend to prioritize renewable energy investments, particularly wind power, which offers a clean and resilient alternative to fossil-fuel-based electricity generation. Using the PMG-ARDL estimator, our analysis reveals a significant long-term negative association between government interventions and LEP, as well as between wind energy production (WEP) and LEP. Specifically, an additional gigawatt of wind energy generation reduces local electricity prices by up to EUR 0.09, confirming the merit-order effect. These findings emphasize the environmental and economic benefits of expanding wind energy capacity as a stabilizing force in electricity markets. Moreover, while health-related news influenced LEP fluctuations in the long run, government restrictions had a limited short-term impact, likely due to the inelastic nature of electricity demand and supply. This study reinforces the argument that integrating more renewable energy sources can enhance market resilience, reduce price volatility, and contribute to long-term sustainable development, making the energy transition an essential pillar of post-pandemic recovery strategies. Full article
Show Figures

Figure A1

27 pages, 1471 KB  
Article
The Spanish Energy Storage Market: Foundations for a Clean Energy Future
by Guillermo Laine Cuervo, Iván Jares Salguero and Efrén García Ordiales
Energies 2025, 18(21), 5788; https://doi.org/10.3390/en18215788 - 3 Nov 2025
Viewed by 536
Abstract
Spain’s accelerating renewable deployment has exposed growing challenges of intermittency, market volatility, and system stability, underscoring the urgency of energy storage integration. This paper examines the economic and regulatory viability of lithium-ion battery storage when hybridized with photovoltaic and run-of-river hydro generation. By [...] Read more.
Spain’s accelerating renewable deployment has exposed growing challenges of intermittency, market volatility, and system stability, underscoring the urgency of energy storage integration. This paper examines the economic and regulatory viability of lithium-ion battery storage when hybridized with photovoltaic and run-of-river hydro generation. By analyzing captured price trends, intraday spreads, and feedback effects on market dynamics, we assess how battery storage enhances revenue certainty and system resilience. Results indicate that stand-alone arbitrage is insufficient under current conditions, whereas PV–BESS hybridization emerges as the most viable near-term pathway. Additional revenues from capacity mechanisms and ancillary services are identified as critical to ensure long-term investment feasibility. The April 2025 blackout highlighted Spain’s systemic vulnerability and reinforced the strategic importance of storage deployment. Our findings demonstrate that the success of the Spanish energy transition depends not only on continued cost reductions in battery technology but also on coherent regulatory design and infrastructure planning to secure large-scale integration. Full article
(This article belongs to the Special Issue Emerging Trends in Energy Economics: 3rd Edition)
Show Figures

Figure 1

24 pages, 1798 KB  
Article
The Dynamic Interplay of Renewable Energy Investment: Unpacking the Spillover Effects on Renewable Energy Tokens, Fossil Fuel, and Clean Energy Stocks
by Amirreza Attarzadeh
Sustainability 2025, 17(21), 9735; https://doi.org/10.3390/su17219735 - 31 Oct 2025
Viewed by 408
Abstract
The urgency of transitioning to sustainable energy has accelerated amid climate change concerns and fossil fuel depletion. This study introduces a novel comparative framework that integrates Time-Varying Parameter Vector Autoregression (TVP-VAR) and Quantile Vector Autoregression (QVAR) models to examine both returns and realized [...] Read more.
The urgency of transitioning to sustainable energy has accelerated amid climate change concerns and fossil fuel depletion. This study introduces a novel comparative framework that integrates Time-Varying Parameter Vector Autoregression (TVP-VAR) and Quantile Vector Autoregression (QVAR) models to examine both returns and realized volatility across renewable-energy tokens (Powerledger and Wepower), clean-energy stocks, and crude oil. This dual-method approach uniquely captures time-varying and tail-specific spillovers, extending previous studies that relied on a single model or ignored volatility interactions. Using daily data from February 2018 to January 2023, we reveal moderate but significant interconnectedness—about 30% on average—with stronger linkages during global crises such as COVID-19 and the Russia–Ukraine conflict. Renewable-energy tokens act mainly as net receivers of shocks, implying their role as protective diversification assets, while clean-energy stocks are net transmitters and oil alternates between both roles. These results highlight how digital assets interact with traditional energy markets under varying conditions. The study offers practical implications for portfolio diversification and emphasizes the need for transparent, supportive regulation to prevent tokens from amplifying systemic risk while promoting the stability of sustainable-energy investment markets. Full article
Show Figures

Figure 1

23 pages, 1585 KB  
Article
The Role of Strategic Energy Investments in Enhancing the Resilience of the European Union Air Transport Sector to Economic Crises
by Laima Okunevičiūtė Neverauskienė, Eglė Sikorskaitė-Narkun and Manuela Tvaronavičienė
Energies 2025, 18(21), 5711; https://doi.org/10.3390/en18215711 - 30 Oct 2025
Viewed by 236
Abstract
The European Union air transport sector has been repeatedly exposed to major disruptions such as the 2008 financial crisis, the COVID-19 pandemic, the war in Ukraine, and volatile energy prices. Strengthening resilience has, therefore, become a strategic priority. This study examines how strategic [...] Read more.
The European Union air transport sector has been repeatedly exposed to major disruptions such as the 2008 financial crisis, the COVID-19 pandemic, the war in Ukraine, and volatile energy prices. Strengthening resilience has, therefore, become a strategic priority. This study examines how strategic energy investments—covering renewable energy, sustainable aviation fuels (SAFs), electrification, hydrogen technologies, and advanced infrastructure—contribute to the resilience of the EU air transport system. The methodology integrates both primary and secondary data from EU policy documents, ICAO and IATA databases, Eurostat, and national statistics. A multi-criteria evaluation was applied using four key performance indicators: emission reduction efficiency (ER), annual exposure index (AEI), investment performance index (IPI), and net present value (NPV). Projects were assessed through Simple Additive Weighting (SAW) and the Technique for Order Preference by Similarity to Ideal Solution (TOPSIS), complemented by sensitivity analysis. The results show that the Pioneer project delivers the strongest environmental and financial outcomes, ranking first in ER, AEI, and NPV. Hermes performs best in job creation and social impact, while BioOstrand achieves substantial absolute CO2 reductions but lower cost efficiency. TULIPS shows limited effectiveness across all indicators. Sensitivity analysis confirmed that rankings remain robust under alternative weighting scenarios. The findings underscore that project design and alignment with resilience objectives matter more than investment size. Strategic energy investments should, therefore, be prioritized not only for decarbonization but also for their ability to reinforce both technological and socio-economic resilience, providing a reliable foundation for a sustainable and crisis-resistant EU air transport sector. Full article
Show Figures

Figure 1

27 pages, 1586 KB  
Review
A Review on Risk-Averse Bidding Strategies for Virtual Power Plants with Uncertainties: Resources, Technologies, and Future Pathways
by Dongliang Xiao
Technologies 2025, 13(11), 488; https://doi.org/10.3390/technologies13110488 - 28 Oct 2025
Viewed by 635
Abstract
The global energy transition, characterized by the proliferation of intermittent renewables and the evolution of electricity markets, has positioned virtual power plants (VPPs) as crucial aggregators of distributed energy resources. However, their participation in competitive markets is fraught with multifaceted uncertainties stemming from [...] Read more.
The global energy transition, characterized by the proliferation of intermittent renewables and the evolution of electricity markets, has positioned virtual power plants (VPPs) as crucial aggregators of distributed energy resources. However, their participation in competitive markets is fraught with multifaceted uncertainties stemming from price volatility, renewable generation intermittency, and unpredictable prosumer behavior, which necessitate sophisticated, risk-averse bidding strategies to ensure financial viability. This review provides a comprehensive analysis of the state-of-the-art in risk-averse bidding for VPPs. It first establishes a resource-centric taxonomy, categorizing VPPs into four primary archetypes: DER-driven, demand response-oriented, electric vehicle-integrated, and multi-energy systems. The paper then delivers a comparative assessment of different optimization techniques—from stochastic programming with conditional value-at-risk and robust optimization to emerging paradigms such as distributionally robust optimization, game theory, and artificial intelligence. It critically evaluates their application contexts and effectiveness in mitigating specific risks across diverse market types. Finally, the review synthesizes these insights to identify persistent challenges—including computational bottlenecks, data privacy, and a lack of standardization—and outlines a forward-looking research agenda. This agenda emphasizes the development of hybrid AI–physical models, interoperability standards, multi-domain risk modeling, and collaborative VPP ecosystems to advance the field towards a resilient and decarbonized energy future. Full article
(This article belongs to the Section Environmental Technology)
Show Figures

Figure 1

35 pages, 2131 KB  
Review
Harnessing Bioelectrochemical and Anaerobic Systems for the Degradation of Bioplastics: Application Potential and Future Directions
by Shuyao Wang, Abid Hussain, Xunchang Fei, Kaushik Venkiteshwaran and Vijaya Raghavan
Fermentation 2025, 11(11), 610; https://doi.org/10.3390/fermentation11110610 - 27 Oct 2025
Viewed by 931
Abstract
As the environmental burden of traditional plastics continues to grow, bioplastics (BPs) have emerged as a promising alternative due to their renewable origins and potential for biodegradability. However, the most popular anaerobic systems (ASs)—anaerobic digestion (AD), acidogenic fermentation (AF), and enzyme hydrolysis (EH)—for [...] Read more.
As the environmental burden of traditional plastics continues to grow, bioplastics (BPs) have emerged as a promising alternative due to their renewable origins and potential for biodegradability. However, the most popular anaerobic systems (ASs)—anaerobic digestion (AD), acidogenic fermentation (AF), and enzyme hydrolysis (EH)—for BPs degradation still face many challenges, e.g., low degradation efficiency, process instability, etc. As a sustainable clean energy technology, bioelectrochemical systems (BESs) have demonstrated strong potential in the treatment of complex organic waste when integrated with ASs. Nevertheless, research on the synergistic degradation of BPs using BES-ASs remains relatively limited. This review systematically summarizes commonly used anaerobic degradation methods for BPs, along with their advantages and limitations, and highlights the BES-AS as an innovative strategy to enhance BPs degradation efficiency. BESs can accelerate the decomposition of complex polymer structures through the activity of electroactive microorganisms, while also offering benefits such as energy recovery and real-time process monitoring. When coupled with anaerobic digestion, the BES-AS demonstrates significant synergistic effects, improving degradation efficiency and promoting the production of high-value-added products such as volatile fatty acids (VFAs) and biogas, thereby showing great application potential. This review outlines current research progress, identifies key knowledge gaps in mechanism elucidation, system design, source recovery, etc., and proposes future research directions. These include system optimization, microbial community engineering, development of advanced electrode materials, and omics-based mechanistic studies. Advancing multidisciplinary integration is expected to accelerate the practical application of BES-ASs in BP waste management and contribute to achieving the goals of sustainability, efficiency, and circular utilization. Full article
Show Figures

Figure 1

25 pages, 13051 KB  
Article
Intelligent Frequency Control for Hybrid Multi-Source Power Systems: A Stepwise Expert-Teaching PPO Approach
by Jianhong Jiang, Shishu Zhang, Jie Wang, Wenting Shen, Changkui Xue, Qiang Ye, Zhaoyang Lv, Minxing Xu and Shihong Miao
Processes 2025, 13(11), 3396; https://doi.org/10.3390/pr13113396 - 23 Oct 2025
Viewed by 234
Abstract
This paper proposes a stepwise expert-teaching reinforcement learning framework for intelligent frequency control in hydro–thermal–wind–solar–compressed air energy storage (CAES) integrated systems under high renewable energy penetration. The proposed method addresses the frequency stability challenge in low-inertia, high-volatility power systems, particularly in Southwest China, [...] Read more.
This paper proposes a stepwise expert-teaching reinforcement learning framework for intelligent frequency control in hydro–thermal–wind–solar–compressed air energy storage (CAES) integrated systems under high renewable energy penetration. The proposed method addresses the frequency stability challenge in low-inertia, high-volatility power systems, particularly in Southwest China, where large-scale renewable-energy-based energy bases are rapidly emerging. A load frequency control (LFC) model is constructed to serve as the training and validation environment, reflecting the dynamic characteristics of the hybrid system. The stepwise expert-teaching PPO (SETP) framework introduces a stepwise training mechanism in which expert knowledge is embedded to guide the policy learning process and training parameters are dynamically adjusted based on observed performance. Comparative simulations under multiple disturbance scenarios are conducted on benchmark systems. Results show that the proposed method outperforms standard proximal policy optimization (PPO) and traditional PI control in both transient response and coordination performance. Full article
Show Figures

Figure 1

16 pages, 1036 KB  
Article
Waste to Energy: Anaerobic Co-Digestion of Microalgal Biomass and Bakery Waste
by Małgorzata Hawrot-Paw and Jacek Tapczewski
Energies 2025, 18(20), 5516; https://doi.org/10.3390/en18205516 - 20 Oct 2025
Viewed by 465
Abstract
Anaerobic digestion is a well-known technology for renewable energy generation. Its efficiency depends on the substrate composition and its biodegradability. Microalgae are considered a promising feedstock due to their rapid growth, high protein and lipid content, and potential for wastewater treatment. However, the [...] Read more.
Anaerobic digestion is a well-known technology for renewable energy generation. Its efficiency depends on the substrate composition and its biodegradability. Microalgae are considered a promising feedstock due to their rapid growth, high protein and lipid content, and potential for wastewater treatment. However, the mono-digestion is often limited by a low carbon-to-nitrogen (C/N) ratio and a recalcitrant cell wall structure. This study evaluated the potential of co-digesting microalgal biomass with bakery waste under batch conditions. Two types of bakery residues (stale wheat bread and stale wheat rolls), were tested. Each was added to the microalgal biomass at proportions of 25%, 50%, and 75% based on volatile solids (VS). The experiment was carried out in a semi-technical anaerobic digester under mesophilic conditions. During the anaerobic digestion, the biogas volume, gas composition, and the energy potential of the substrates were analysed. The highest biogas yield (494.34 L·kg−1 VS) was obtained from the mixture of microalgae and 75% bread. Although mono-digestion of microalgal biomass resulted in the highest methane concentration, the differences compared to co-digested samples were not significant. The lowest hydrogen sulphide concentration (234.20 ppm) was measured in the 25% rolls variant, while the control sample (100% microalgae) showed the highest H2S levels. From an energy perspective, the most beneficial result was obtained with the addition of 75% bread. Full article
(This article belongs to the Special Issue Optimized Production of Bioenergy, Biofuels, and Biogas)
Show Figures

Figure 1

18 pages, 6195 KB  
Article
Hybrid Wind Power Forecasting for Turbine Clusters: Integrating Spatiotemporal WGANs with Extreme Missing-Data Resilience
by Hongsheng Su, Yuwei Du, Yulong Che, Dan Li and Wenyao Su
Sustainability 2025, 17(20), 9200; https://doi.org/10.3390/su17209200 - 17 Oct 2025
Viewed by 435
Abstract
The global pursuit of sustainable development amplifies renewable energy’s strategic importance, positioning wind power as a vital modern grid component. Accurate wind forecasting is essential to counter inherent volatility, enabling robust grid operations, security protocols, and optimization strategies. Such predictive precision directly governs [...] Read more.
The global pursuit of sustainable development amplifies renewable energy’s strategic importance, positioning wind power as a vital modern grid component. Accurate wind forecasting is essential to counter inherent volatility, enabling robust grid operations, security protocols, and optimization strategies. Such predictive precision directly governs wind energy systems’ stability and sustainability. This research introduces a novel spatio-temporal hybrid model integrating convolutional neural networks (CNN), bidirectional long short-term memory (BiLSTM), and graph convolutional networks (GCN) to extract temporal patterns and meteorological dynamics (wind speed, direction, temperature) across 134 wind turbines. Building upon conventional methods, our architecture captures turbine spatio-temporal correlations while assimilating multivariate meteorological characteristics. Addressing data integrity compromises from equipment failures and extreme weather-which undermine data-driven models-we implement Wasserstein GAN (WGAN) for generative missing-value interpolation. Validation across severe data loss scenarios (30–90% missing values) demonstrates the model’s enhanced predictive capacity. Rigorous benchmarking confirms significant accuracy improvements and reduced forecasting errors. Full article
Show Figures

Figure 1

12 pages, 46812 KB  
Proceeding Paper
Experimental and Numerical Analysis of Hybrid Silica Sand–Basalt Rock Thermal Energy Storage for Enhanced Heat Retention and Discharge Control
by Muhammad Imran, Zainab Waseem, Rahaya Tayyab, Hassaan Aziz, Muhammad Anwar and Talha Irfan Khan
Eng. Proc. 2025, 111(1), 6; https://doi.org/10.3390/engproc2025111006 - 15 Oct 2025
Viewed by 486
Abstract
In order to guarantee energy sustainability, effective thermal energy storage (TES) systems are required due to the volatile nature of renewable energy sources. In order to optimize energy storage capacity and reduce thermal losses, this study addresses a hybrid TES system that combines [...] Read more.
In order to guarantee energy sustainability, effective thermal energy storage (TES) systems are required due to the volatile nature of renewable energy sources. In order to optimize energy storage capacity and reduce thermal losses, this study addresses a hybrid TES system that combines basalt rocks and silica sand. Using ANSYS, a computational transient thermal analysis was conducted to compare conduction and convection heat transfer modes, revealing convection as the more effective mechanism. Six sand–rock mixtures were tested experimentally; the 70% sand and 30% rock combination produced the highest temperature increase (52.38 °C), the highest heat storage capacity (3.21 ± 0.19 MJ), alongside an efficiency of 80.5%. This hybrid system had a very low discharge rate (0.24 ± 0.036 MJ lost in one hour), outlining its potential for integration with renewable energy. The results show that hybrid sand–rock TES systems are a cheap and green alternative to solutions that rely on fossil fuels. They can be used for large-scale energy storage. Full article
Show Figures

Figure 1

Back to TopTop