Biohydrogen Production from Agricultural and Livestock By-Products by Dark Fermentation: A Data Mining Approach
Abstract
1. Introduction
- To elucidate differences and inconsistencies across studies, highlighting that the absence of standardized protocols for biohydrogen experiments hampers comparability and reproducibility;
- To identify the substrate most likely to achieve the highest HY with minimal variability;
- To determine the key variables and pre-treatments that exert a decisive influence on hydrogen production, as well as the most prominent synergistic interactions among them.
2. Materials and Methods
- Keywords on the process of interest: “dark fermentation” OR “dark-fermentation” OR ((hydrogen) W/15 (production OR yield OR potential)).
- Keywords on the substrate or feedstock: by-product OR byproduct * OR cornstalk OR livestock OR manure OR slurry OR dung OR cattle OR cow OR poultry OR swine OR chicken OR pig OR corn OR straw OR stover OR rapeseed OR sunflower OR beet OR oat OR wheat OR barley OR sorghum OR agriculture *.
3. Results
3.1. General Trends
3.2. Process Parameters
3.3. Hydrogen Yield Distribution
3.4. Influence of Inoculum Enrichment and Nutrient Addition on Hydrogen Yield
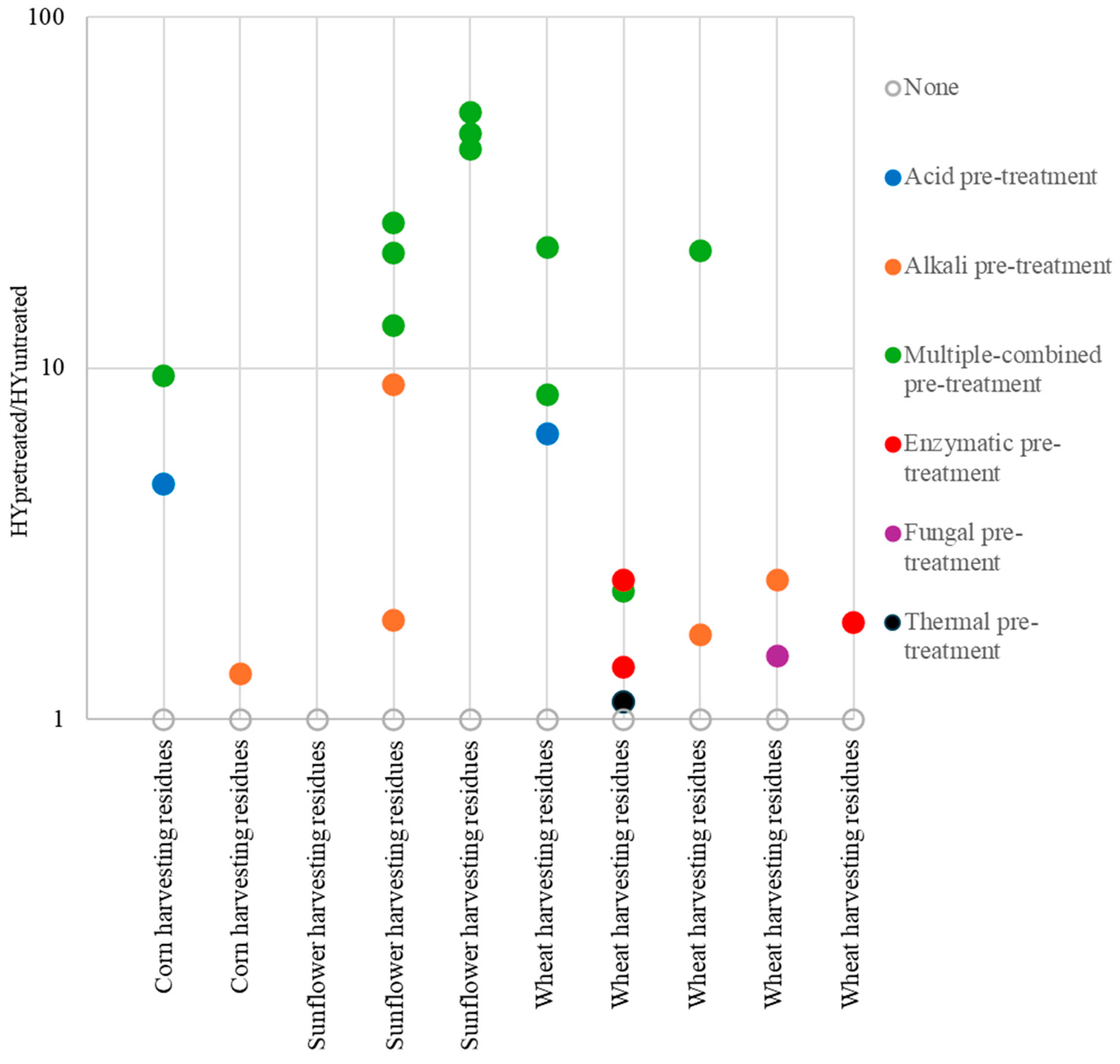
3.5. Influence of Inoculum and Substrate Pre-Treatment on Hydrogen Yield
4. Conclusions
Author Contributions
Funding
Institutional Review Board Statement
Data Availability Statement
Conflicts of Interest
References
- Megía, P.J.; Vizcaíno, A.J.; Calles, J.A.; Carrero, A. Hydrogen Production Technologies: From Fossil Fuels toward Renewable Sources. A Mini Review. Energy Fuels 2021, 35, 16403–16415. [Google Scholar] [CrossRef]
- Manish, S.; Banerjee, R. Comparison of Biohydrogen Production Processes. Int. J. Hydrogen Energy 2008, 33, 279–286. [Google Scholar] [CrossRef]
- Rafieenia, R.; Lavagnolo, M.C.; Pivato, A. Pre-Treatment Technologies for Dark Fermentative Hydrogen Production: Current Advances and Future Directions. Waste Manag. 2018, 71, 734–748. [Google Scholar] [CrossRef]
- Hallenbeck, P.C.; Abo-Hashesh, M.; Ghosh, D. Strategies for Improving Biological Hydrogen Production. Bioresour. Technol. 2012, 110, 1–9. [Google Scholar] [CrossRef] [PubMed]
- Mathews, J.; Wang, G. Metabolic Pathway Engineering for Enhanced Biohydrogen Production. Int. J. Hydrogen Energy 2009, 34, 7404–7416. [Google Scholar] [CrossRef]
- Statuto, D.; Frederiksen, P.; Picuno, P. Valorization of Agricultural By-Products Within the “Energyscapes”: Renewable Energy as Driving Force in Modeling Rural Landscape. Nat. Resour. Res. 2019, 28, 111–124. [Google Scholar] [CrossRef]
- Ferrari, G.; Holl, E.; Steinbrenner, J.; Pezzuolo, A.; Lemmer, A. Environmental Assessment of a Two-Stage High Pressure Anaerobic Digestion Process and Biological Upgrading as Alternative Processes for Biomethane Production. Bioresour. Technol. 2022, 360, 127612. [Google Scholar] [CrossRef]
- Brosowski, A.; Bill, R.; Thrän, D. Temporal and Spatial Availability of Cereal Straw in Germany Case Study: Biomethane for the Transport Sector. Energy Sustain. Soc. 2020, 10, 42. [Google Scholar] [CrossRef]
- Mattioli, A.; Boscaro, D.; Dalla Venezia, F.; Correale Santacroce, F.; Pezzuolo, A.; Sartori, L.; Bolzonella, D. Biogas from Residual Grass: A Territorial Approach for Sustainable Bioenergy Production. Waste Biomass Valorization 2017, 8, 2747–2756. [Google Scholar] [CrossRef]
- Pari, L.; Suardi, A.; Santangelo, E.; García-Galindo, D.; Scarfone, A.; Alfano, V. Current and Innovative Technologies for Pruning Harvesting: A Review. Biomass Bioenergy 2017, 107, 398–410. [Google Scholar] [CrossRef]
- Finzi, A.; Mattachini, G.; Lovarelli, D.; Riva, E.; Provolo, G. Technical, Economic, and Environmental Assessment of a Collective Integrated Treatment System for Energy Recovery and Nutrient Removal from Livestock Manure. Sustainability 2020, 12, 2756. [Google Scholar] [CrossRef]
- Liu, T.; Ferrari, G.; Pezzuolo, A.; Alengebawy, A.; Jin, K.; Yang, G.; Li, Q.; Ai, P. Evaluation and Analysis of Biogas Potential from Agricultural Waste in Hubei Province, China. Agric. Syst. 2023, 205, 103577. [Google Scholar] [CrossRef]
- Decreto Interministeriale 2 Marzo 2018—Promozione Dell’uso Del Biometano Nel Settore Dei Trasporti. Available online: https://www.mimit.gov.it/index.php/it/normativa/decreti-interministeriali/decreto-interministeriale-2-marzo-2018-promozione-dell-uso-del-biometano-nel-settore-dei-trasporti (accessed on 26 September 2025).
- Soares, J.F.; Confortin, T.C.; Todero, I.; Mayer, F.D.; Mazutti, M.A. Dark Fermentative Biohydrogen Production from Lignocellulosic Biomass: Technological Challenges and Future Prospects. Renew. Sustain. Energy Rev. 2020, 117, 109484. [Google Scholar] [CrossRef]
- PRISMA Statement. Available online: https://www.prisma-statement.org/ (accessed on 26 September 2025).
- Scarlat, N.; Martinov, M.; Dallemand, J.-F. Assessment of the Availability of Agricultural Crop Residues in the European Union: Potential and Limitations for Bioenergy Use. Waste Manag. 2010, 30, 1889–1897. [Google Scholar] [CrossRef] [PubMed]
- Agricultural Production—Crops—Statistics Explained—Eurostat. Available online: https://ec.europa.eu/eurostat/statistics-explained/index.php?title=Agricultural_production_-_crops (accessed on 26 September 2025).
- Scarlat, N.; Fahl, F.; Dallemand, J.-F.; Monforti, F.; Motola, V. A Spatial Analysis of Biogas Potential from Manure in Europe. Renew. Sustain. Energy Rev. 2018, 94, 915–930. [Google Scholar] [CrossRef]
- Eskicioglu, C.; Monlau, F.; Barakat, A.; Ferrer, I.; Kaparaju, P.; Trably, E.; Carrère, H. Assessment of Hydrothermal Pretreatment of Various Lignocellulosic Biomass with CO2 Catalyst for Enhanced Methane and Hydrogen Production. Water Res. 2017, 120, 32–42. [Google Scholar] [CrossRef]
- Ivanova, G.; Rákhely, G.; Kovács, K.L. Thermophilic Biohydrogen Production from Energy Plants by Caldicellulosiruptor saccharolyticus and Comparison with Related Studies. Int. J. Hydrogen Energy 2009, 34, 3659–3670. [Google Scholar] [CrossRef]
- Pérez-Rangel, M.; Barboza-Corona, J.E.; Buitrón, G.; Valdez-Vazquez, I. Essential Nutrients for Improving the Direct Processing of Raw Lignocellulosic Substrates Through the Dark Fermentation Process. Bioenergy Res. 2020, 13, 349–357. [Google Scholar] [CrossRef]
- Liu, S.; Wang, C.Y.; Yin, L.L.; Li, W.Z.; Wang, Z.J.; Luo, L.N. Optimization of Hydrogen Production from Agricultural Wastes Using Mixture Design. Int. J. Agric. Biol. Eng. 2017, 10, 246–254. [Google Scholar]
- Zhang, Z.; Zhang, G.; Li, W.; Li, C.; Xu, G. Enhanced Biogas Production from Sorghum Stem by Co-Digestion with Cow Manure. Int. J. Hydrogen Energy 2016, 41, 9153–9158. [Google Scholar] [CrossRef]
- Shi, X.-X.; Song, H.-C.; Wang, C.-R.; Tang, R.-S.; Huang, Z.-X.; Gao, T.-R.; Xie, J. Enhanced Bio-Hydrogen Production from Sweet Sorghum Stalk with Alkalization Pretreatment by Mixed Anaerobic Cultures. Int. J. Energy Res. 2009, 34, 662–672. [Google Scholar] [CrossRef]
- Liu, X.; Yang, Y.; Wu, N.; Wei, Y.; Shan, H.; Zhao, H. Co-Production of Biohydrogen and Biomethane from Chicken Manure and Food Waste in a Two-Stage Anaerobic Fermentation Process. Appl. Biochem. Biotechnol. 2022, 194, 3706–3720. [Google Scholar] [CrossRef]
- Tuan Yusof, T.R.; Abdul Rahman, N.; Ariff, A.; Che Man, H. Evaluation of Hydrogen and Methane Production from Co-Digestion of Chicken Manure and Food Waste. Pol. J. Environ. Stud. 2019, 28, 3003–3014. [Google Scholar] [CrossRef] [PubMed][Green Version]
- Tang, G.L.; Huang, J.; Sun, Z.J.; Tang, Q.Q.; Yan, C.H.; Liu, G.Q. Biohydrogen Production from Cattle Wastewater by Enriched Anaerobic Mixed Consortia: Influence of Fermentation Temperature and pH. J. Biosci. Bioeng. 2008, 106, 80–87. [Google Scholar] [CrossRef] [PubMed]
- Chu, Y.; Wei, Y.; Yuan, X.; Shi, X. Bioconversion of Wheat Stalk to Hydrogen by Dark Fermentation: Effect of Different Mixed Microflora on Hydrogen Yield and Cellulose Solubilisation. Bioresour. Technol. 2011, 102, 3805–3809. [Google Scholar] [CrossRef] [PubMed]
- Cieciura-Włoch, W.; Borowski, S. Biohydrogen production from wastes of plant and animal origin via dark fermentation. J. Environ. Eng. Landsc. Manag. 2019, 27, 101–113. [Google Scholar] [CrossRef]
- Luo, G.; Talebnia, F.; Karakashev, D.; Xie, L.; Zhou, Q.; Angelidaki, I. Enhanced Bioenergy Recovery from Rapeseed Plant in a Biorefinery Concept. Bioresour. Technol. 2011, 102, 1433–1439. [Google Scholar] [CrossRef]
- Cremonez, P.A.; Teleken, J.G.; Weiser Meier, T.R.; Alves, H.J. Two-Stage Anaerobic Digestion in Agroindustrial Waste Treatment: A Review. J. Environ. Manag. 2021, 281, 111854. [Google Scholar] [CrossRef]
- Jeihanipour, A.; Niklasson, C.; Taherzadeh, M.J. Enhancement of Solubilization Rate of Cellulose in Anaerobic Digestion and Its Drawbacks. Process Biochem. 2011, 46, 1509–1514. [Google Scholar] [CrossRef]
- Kongjan, P.; Sompong, O.; Angelidaki, I. Performance and Microbial Community Analysis of Two-Stage Process with Extreme Thermophilic Hydrogen and Thermophilic Methane Production from Hydrolysate in UASB Reactors. Bioresour. Technol. 2011, 102, 4028–4035. [Google Scholar] [CrossRef]
- Hagelqvist, A. Batchwise Mesophilic Anaerobic Co-Digestion of Secondary Sludge from Pulp and Paper Industry and Municipal Sewage Sludge. Waste Manag. 2013, 33, 820–824. [Google Scholar] [CrossRef] [PubMed]
- Rawoof, S.A.A.; Kumar, P.S.; Vo, D.-V.N.; Subramanian, S. Sequential Production of Hydrogen and Methane by Anaerobic Digestion of Organic Wastes: A Review. Environ. Chem. Lett. 2021, 19, 1043–1063. [Google Scholar] [CrossRef]
- Guo, Y.-C.; Dai, Y.; Bai, Y.-X.; Li, Y.-H.; Fan, Y.-T.; Hou, H.-W. Co-Producing Hydrogen and Methane from Higher-Concentration of Corn Stalk by Combining Hydrogen Fermentation and Anaerobic Digestion. Int. J. Hydrogen Energy 2014, 39, 14204–14211. [Google Scholar] [CrossRef]
- Li, D.; Jiao, C.; He, W.; Yan, Z.; Yuan, Y.; Li, Z.; Guo, Y.; Liu, X. Comparison of Micro-Aerobic and Anaerobic Fermentative Hydrogen Production from Corn Straw. Int. J. Hydrogen Energy 2016, 41, 5456–5464. [Google Scholar] [CrossRef]
- Hernández, M.; Rodríguez, M. Hydrogen Production by Anaerobic Digestion of Pig Manure: Effect of Operating Conditions. Renew. Energy 2013, 53, 187–192. [Google Scholar] [CrossRef]
- Shanmugam, S.R.; Chaganti, S.R.; Lalman, J.A.; Heath, D. Using a Statistical Approach to Model Hydrogen Production from a Steam Exploded Corn Stalk Hydrolysate Fed to Mixed Anaerobic Cultures in an ASBR. Int. J. Hydrogen Energy 2014, 39, 10003–10015. [Google Scholar] [CrossRef]
- UNI/TS 11703:2018—UNI Ente Italiano Di Normazione. Available online: https://store.uni.com/uni-ts-11703-2018 (accessed on 26 September 2025).
- Xing, Y.; Li, Z.; Fan, Y.; Hou, H. Biohydrogen Production from Dairy Manures with Acidification Pretreatment by Anaerobic Fermentation. Environ. Sci. Pollut. Res. 2010, 17, 392–399. [Google Scholar] [CrossRef]
- Dimitrellos, G.; Lyberatos, G.; Antonopoulou, G. Does Acid Addition Improve Liquid Hot Water Pretreatment of Lignocellulosic Biomass towards Biohydrogen and Biogas Production? Sustainability 2020, 12, 8935. [Google Scholar] [CrossRef]
- Gilroyed, B.H.; Li, C.; Reuter, T.; Beauchemin, K.A.; Hao, X.; McAllister, T.A. Influence of Distiller’s Grains and Condensed Tannins in the Diet of Feedlot Cattle on Biohydrogen Production from Cattle Manure. Int. J. Hydrogen Energy 2015, 40, 6050–6058. [Google Scholar] [CrossRef]
- Zhang, T.; Jiang, D.; Zhang, H.; Jing, Y.; Tahir, N.; Zhang, Y.; Zhang, Q. Comparative Study on Bio-Hydrogen Production from Corn Stover: Photo-Fermentation, Dark-Fermentation and Dark-Photo Co-Fermentation. Int. J. Hydrogen Energy 2020, 45, 3807–3814. [Google Scholar] [CrossRef]
- Liu, Z.; Li, Q.; Zhang, C.; Wang, L.; Han, B.; Li, B.; Zhang, Y.; Chen, H.; Xing, X.-H. Effects of Operating Parameters on Hydrogen Production from Raw Wet Steam-Exploded Cornstalk and Two-Stage Fermentation Potential for Biohythane Production. Biochem. Eng. J. 2014, 90, 234–238. [Google Scholar] [CrossRef]
- Pérez-Rangel, M.; Barboza-Corona, J.E.; Valdez-Vazquez, I. Effect of the Organic Loading Rate and Temperature on Hydrogen Production via Consolidated Bioprocessing of Raw Lignocellulosic Substrate. Int. J. Hydrogen Energy 2023, 48, 35907–35918. [Google Scholar] [CrossRef]
- Zhang, D.; Wang, G.; Wang, X.; Zhao, J.; Jia, B.; Dai, X. Co-Fermentation of Waste Activated Sludge and Agricultural Waste for Hydrogen Production: Effect of the Carbon-to-Nitrogen Mass Ratio. Desalination Water Treat. 2020, 173, 57–64. [Google Scholar] [CrossRef]
- F. A., A.-A.; Longoria, A.; A. U., J.; A. S., S.; L. A., P.; Sebastian, P.J. Optimization of Hydrogen Yield from the Anaerobic Digestion of Crude Glycerol and Swine Manure. Catalysts 2019, 9, 316. [Google Scholar] [CrossRef]
- Lin, R.; Cheng, J.; Murphy, J.D. Unexpectedly Low Biohydrogen Yields in Co-Fermentation of Acid Pretreated Cassava Residue and Swine Manure. Energy Convers. Manag. 2017, 151, 553–561. [Google Scholar] [CrossRef]
- Gilroyed, B.; Chang, C.; Chu, A.; Hao, X. Effect of Temperature on Anaerobic Fermentative Hydrogen Gas Production from Feedlot Cattle Manure Using Mixed Microflora. Int. J. Hydrogen Energy 2008, 33, 4301–4308. [Google Scholar] [CrossRef]
- Williamson, D.F.; Parker, R.A.; Kendrick, J.S. The Box Plot: A Simple Visual Method to Interpret Data. Ann. Intern. Med. 1989, 110, 916–921. [Google Scholar] [CrossRef]
- Xing, Y.; Fan, S.-Q.; Zhang, J.-N.; Fan, Y.-T.; Hou, H.-W. Enhanced Bio-Hydrogen Production from Corn Stalk by Anaerobic Fermentation Using Response Surface Methodology. Int. J. Hydrogen Energy 2011, 36, 12770–12779. [Google Scholar] [CrossRef]
- Hidalgo, D.; Pérez-Zapatero, E.; Martín-Marroquín, J.M. Comparative Effect of Acid and Heat Inoculum Pretreatment on Dark Fermentative Biohydrogen Production. Environ. Res. 2023, 239, 117433. [Google Scholar] [CrossRef]
- Lara-Vázquez, A.R.; Sánchez, A.; Valdez-Vazquez, I. Hydration Treatments Increase the Biodegradability of Native Wheat Straw for Hydrogen Production by a Microbial Consortium. Int. J. Hydrogen Energy 2014, 39, 19899–19904. [Google Scholar] [CrossRef]
- Saleem, A.; Umar, H.; Shah, T.A.; Tabassum, R. Fermentation of Simple and Complex Substrates to Biohydrogen Using Pure Bacillus Cereus RTUA and RTUB Strains. Environ. Technol. Innov. 2020, 18, 100704. [Google Scholar] [CrossRef]
- Reilly, M.; Dinsdale, R.; Guwy, A. Mesophilic Biohydrogen Production from Calcium Hydroxide Treated Wheat Straw. Int. J. Hydrogen Energy 2014, 39, 16891–16901. [Google Scholar] [CrossRef]
- Quéméneur, M.; Bittel, M.; Trably, E.; Dumas, C.; Fourage, L.; Ravot, G.; Steyer, J.-P.; Carrère, H. Effect of Enzyme Addition on Fermentative Hydrogen Production from Wheat Straw. Int. J. Hydrogen Energy 2012, 37, 10639–10647. [Google Scholar] [CrossRef]
- Nasirian, N.; Almassi, M.; Minaei, S.; Widmann, R. Development of a Method for Biohydrogen Production from Wheat Straw by Dark Fermentation. Int. J. Hydrogen Energy 2011, 36, 411–420. [Google Scholar] [CrossRef]
- Antonopoulou, G.; Vayenas, D.; Lyberatos, G. Ethanol and Hydrogen Production from Sunflower Straw: The Effect of Pretreatment on the Whole Slurry Fermentation. Biochem. Eng. J. 2016, 116, 65–74. [Google Scholar] [CrossRef]
- Monlau, F.; Trably, E.; Barakat, A.; Hamelin, J.; Steyer, J.-P.; Carrere, H. Two-Stage Alkaline–Enzymatic Pretreatments to Enhance Biohydrogen Production from Sunflower Stalks. Environ. Sci. Technol. 2013, 47, 12591–12599. [Google Scholar] [CrossRef]
- Monlau, F.; Kaparaju, P.; Trably, E.; Steyer, J.P.; Carrere, H. Alkaline Pretreatment to Enhance One-Stage CH4 and Two-Stage H2/CH4 Production from Sunflower Stalks: Mass, Energy and Economical Balances. Chem. Eng. J. 2015, 260, 377–385. [Google Scholar] [CrossRef]
- Cao, G.-L.; Guo, W.-Q.; Wang, A.-J.; Zhao, L.; Xu, C.-J.; Zhao, Q.; Ren, N.-Q. Enhanced Cellulosic Hydrogen Production from Lime-Treated Cornstalk Wastes Using Thermophilic Anaerobic Microflora. Int. J. Hydrogen Energy 2012, 37, 13161–13166. [Google Scholar] [CrossRef]
- Pan, C.-M.; Ma, H.-C.; Fan, Y.-T.; Hou, H.-W. Bioaugmented Cellulosic Hydrogen Production from Cornstalk by Integrating Dilute Acid-Enzyme Hydrolysis and Dark Fermentation. Int. J. Hydrogen Energy 2011, 36, 4852–4862. [Google Scholar] [CrossRef]









| Category | Variable | Unit | Details |
|---|---|---|---|
| General | Publication year | - | From 2004 to 2024 |
| Substrate | - | Agricultural by-products: barley/beet/corn/oat/rapeseed/sorghum/sunflower/wheat OR livestock by-products from: cattle/poultry/swine farms | |
| Inoculum | - | Activated sludge/Anaerobic Digestion sludge/Livestock manure/Livestock slurry/Composted animal manure/Dark Fermentation sludge/Inoculum from other environmental sectors/Mixed culture from brewery wastewater treatment/None/Pure culture/not specified/Rumen fluid | |
| Experimental conditions | Food to microorganism ratio (F:M) | Not specified, values were collected in the form they were presented in the papers | - |
| Initial/final pH | log10[H+] | - | |
| Substrate load | Not specified, values were collected in the form they were presented in the papers | - | |
| Reactor type | - | Batch reactor/semi-continuous reactor/continuous reactor | |
| Reactor volume | [mL] | - | |
| Fermentation temperature | [°C] | - | |
| Carbon to Nitrogen ratio (C:N) | Adimensional | - | |
| Test Duration OR HRT for continuous trials | [h] or [days] | - | |
| Hydrogen production | Cumulative HY (batch trials) or steady-state HY (continuous trials) | [mL H2/gVS] | - |
| Influence of supplement/nutrient addition on the HY | [mL H2/gVS] | Nutrient addition/ No nutrient addition | |
| Influence of inoculum pre-treatment on the HY | [mL H2/gVS] | Acid/Aeration/Alkali/Thermal/Ultrasonic/None/No inoculum added | |
| Influence of inoculum enrichment (cultivation, pre-incubation, re-activation or isolation of specific strains) on the HY | [mL H2/gVS] | Inoculum enriched/Inoculum not enriched/No inoculum added | |
| Influence of substrate pre-treatment on the HY | [mL H2/gVS] | None/Thermal/Hydro-thermal/Enzymatic/Acid/Alkali/Fungal/Hydration/Combined |
| Parameter | Considerations |
|---|---|
| Temperature | Varies from 38 to 70 [°C]. In total, 80% of the experiments were conducted under mesophilic conditions; the remainder were conducted under thermophilic conditions. |
| pH | Varies from 5 to 7. In most cases, the pH is maintained between 5 and 6 to promote dark fermentation and inhibit methanogenic activity. Some studies do not report the initial and/or final pH value. |
| Substrate load | Most often referred to as concentration (weight over volume): [g/L] [41] or [gTS (total solids)/L] [42] or [gVS/L] [43] or [COD (chemical oxygen demand)/L] [39]. Values were very variable and not readily comparable. Moreover, in most cases, it was not clear whether the mentioned concentration refers to the substrate before or after the pre-treatment. |
| Test duration | From a few hours [44] to several days [45,46], the data were not homogeneous, and a wide range of different operating times was identified. |
| F:M (Food to Microorganism ratio) | Data not always mentioned. For some papers, the ratio was expressed, but units were not specified. High heterogeneity between extracted data. |
| C:N (Carbon to Nitrogen ratio) | Mentioned in very few papers [21,23,47,48,49,50]. |
Disclaimer/Publisher’s Note: The statements, opinions and data contained in all publications are solely those of the individual author(s) and contributor(s) and not of MDPI and/or the editor(s). MDPI and/or the editor(s) disclaim responsibility for any injury to people or property resulting from any ideas, methods, instructions or products referred to in the content. |
© 2025 by the authors. Licensee MDPI, Basel, Switzerland. This article is an open access article distributed under the terms and conditions of the Creative Commons Attribution (CC BY) license (https://creativecommons.org/licenses/by/4.0/).
Share and Cite
Illuminati, F.; Savio, R.; Pezzuolo, A.; Ferrari, G.; Marinello, F.; Guidolin, M.; Lavagnolo, M.C. Biohydrogen Production from Agricultural and Livestock By-Products by Dark Fermentation: A Data Mining Approach. Agriculture 2025, 15, 2323. https://doi.org/10.3390/agriculture15222323
Illuminati F, Savio R, Pezzuolo A, Ferrari G, Marinello F, Guidolin M, Lavagnolo MC. Biohydrogen Production from Agricultural and Livestock By-Products by Dark Fermentation: A Data Mining Approach. Agriculture. 2025; 15(22):2323. https://doi.org/10.3390/agriculture15222323
Chicago/Turabian StyleIlluminati, Federico, Rossana Savio, Andrea Pezzuolo, Giovanni Ferrari, Francesco Marinello, Mariangela Guidolin, and Maria Cristina Lavagnolo. 2025. "Biohydrogen Production from Agricultural and Livestock By-Products by Dark Fermentation: A Data Mining Approach" Agriculture 15, no. 22: 2323. https://doi.org/10.3390/agriculture15222323
APA StyleIlluminati, F., Savio, R., Pezzuolo, A., Ferrari, G., Marinello, F., Guidolin, M., & Lavagnolo, M. C. (2025). Biohydrogen Production from Agricultural and Livestock By-Products by Dark Fermentation: A Data Mining Approach. Agriculture, 15(22), 2323. https://doi.org/10.3390/agriculture15222323

