Sign in to use this feature.

Years

Between: -

Subjects

remove_circle_outline
remove_circle_outline
remove_circle_outline
remove_circle_outline
remove_circle_outline
remove_circle_outline
remove_circle_outline
remove_circle_outline
remove_circle_outline

Journals

remove_circle_outline
remove_circle_outline
remove_circle_outline
remove_circle_outline
remove_circle_outline
remove_circle_outline
remove_circle_outline
remove_circle_outline
remove_circle_outline
remove_circle_outline

Article Types

Countries / Regions

remove_circle_outline
remove_circle_outline
remove_circle_outline
remove_circle_outline

Search Results (663)

Search Parameters:
Keywords = quench sensitivity

Order results
Result details
Results per page
Select all
Export citation of selected articles as:
18 pages, 5815 KB  
Article
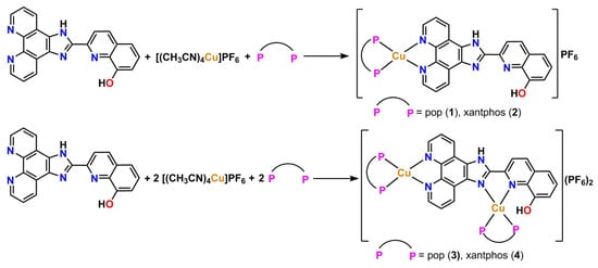
Solvent-Responsive Luminescence of an 8-Hydroxyquinoline-Modified 1H-Imidazo[4,5-f][1,10]phenanthroline Ligand and Its Cu(I) Complexes: Excited-State Mechanisms and Structural Effects
by Zhenqin Zhao, Siyuan Liu, Shu Cui, Yichi Zhang, Ziqi Jiang and Xiuling Li
Molecules 2025, 30(19), 3973; https://doi.org/10.3390/molecules30193973 (registering DOI) - 3 Oct 2025
Abstract
Understanding how solvents influence the luminescence behavior of Cu(I) complexes is crucial for designing advanced optical sensors. This study reports the synthesis, structures and photophysical investigation of an 8-hydroxyquinoline-functionalized 1H-imidazo[4,5-f][1,10]phenanthroline ligand, ipqH2, and its four Cu(I) complexes [...] Read more.
Understanding how solvents influence the luminescence behavior of Cu(I) complexes is crucial for designing advanced optical sensors. This study reports the synthesis, structures and photophysical investigation of an 8-hydroxyquinoline-functionalized 1H-imidazo[4,5-f][1,10]phenanthroline ligand, ipqH2, and its four Cu(I) complexes with diphosphine co-ligands. Photoluminescence studies demonstrated distinct solvent-dependent excited-state mechanisms. In DMSO/alcohol mixtures, free ipqH2 exhibited excited-state proton transfer (ESPT) and enol-keto tautomerization, producing dual emission at about 447 and 560 nm, while the complexes resisted ESPT due to hydrogen bond blocking by PF6 anions and Cu(I) coordination. In DMSO/H2O, aggregation-caused quenching (ACQ) and high-energy O–H vibrational quenching dominated, but complexes 1 and 2 showed a significant red-shifted emission (569–574 nm) with high water content due to solvent-stabilized intra-ligand charge transfer and metal-to-ligand charge transfer ((IL+ML)CT) states. In DMSO/DMF, hydrogen bond competition and solvation-shell reorganization led to distinct responses: complexes 1 and 3, with flexible bis[(2-diphenylphosphino)phenyl]ether (POP) ligands, displayed peak splitting and (IL + ML)CT redshift emission (501 ⟶ 530 nm), whereas complexes 2 and 4, with rigid 9,9-dimethyl-4,5-bis(diphenylphosphino)-9H-xanthene (xantphos), showed weaker responses. The flexibility of the diphosphine ligand dictated DMF sensitivity, while the coordination, the hydrogen bonds between PF6 anions and ipqH2, and water solubility governed the alcohol/water responses. This work elucidates the multifaceted solvent-responsive mechanisms in Cu(I) complexes, facilitating the design of solvent-discriminative luminescent sensors. Full article
(This article belongs to the Special Issue Influence of Solvent Molecules in Coordination Chemistry)
Show Figures

Figure 1

20 pages, 4430 KB  
Article
The N-Terminal Extension of the Mycobacterium avium Rel Protein Is a Dual Regulator of the Bifunctional Enzyme and Represents a Novel Target
by Tuck Choy Fong, Priya Ragunathan, Reema Alag, Carlos Silvester, Svarika Sonthalia, Vikneswaran Mathiyazakan, Vandana Grover and Gerhard Grüber
Antibiotics 2025, 14(10), 964; https://doi.org/10.3390/antibiotics14100964 - 25 Sep 2025
Abstract
Background: Mycobacterium avium (Mav) is a leading cause of pulmonary disease among non-tuberculous mycobacteria (NTMs) due to its extensive antibiotic resistance profile. The essential Rel protein is a bifunctional enzyme, which is sensitive to environmental stress and regulates cellular guanosine-3′,5′-bispyrophosphate [...] Read more.
Background: Mycobacterium avium (Mav) is a leading cause of pulmonary disease among non-tuberculous mycobacteria (NTMs) due to its extensive antibiotic resistance profile. The essential Rel protein is a bifunctional enzyme, which is sensitive to environmental stress and regulates cellular guanosine-3′,5′-bispyrophosphate ((p)ppGpp). Increased levels of the alarmone thereby initiate a survival response, contributing to bacterial persistence and virulence. Objectives: MavRel harbors an unusual extension at the N-terminal domain (NTD), which we aim to characterize its possible regulatory role in maintaining (p)ppGpp homeostasis. We also studied whether the TGS domain retains its regulation capacity in MavRel and the binding propensity of the ACT domain to valine. Methods: Molecular dissection of MavRel was performed to generate a series of truncates to quantify the synthetase and hydrolase activities. Binding experiments with tRNA and valine were carried out via tryptophan quenching assay and NMR, respectively. Results: Bi-catalytic regulation of MavRel was found to be predominantly governed by the residues 37–50 at the NTD extension in its free state. The TGS domain was shown to harbor the capacity to bind with deacylated tRNA and represses synthetase activity to a lower degree compared to the NTD extension. We also characterized the dimeric Mav ACT-domain and the interacting residues contributing to its affinity with valine to function as a nutrient sensor. Conclusions: The mapping of the unique NTD regulatory element of MavRel reveals its functional relevance to coordinate the catalytic states of synthetase and hydrolase, hence underscores the prospect to drive inhibitor development targeting this novel site against Mav infections. Full article
Show Figures

Figure 1

21 pages, 32435 KB  
Article
Structure and Magnetic Properties of Vanadium-Doped Heusler Ni-Mn-In Alloys
by Dmitry Kuznetsov, Elena Kuznetsova, Alexey Mashirov, Alexander Kamantsev, Denis Danilov, Georgy Shandryuk, Sergey Taskaev, Irek Musabirov, Ruslan Gaifullin, Maxim Kolkov, Victor Koledov and Pnina Ari-Gur
Nanomaterials 2025, 15(19), 1466; https://doi.org/10.3390/nano15191466 - 24 Sep 2025
Viewed by 48
Abstract
The crystal structure, texture, martensitic transformation, and magnetic properties of magnetic shape-memory Heusler alloys of Ni51−xMn33.4In15.6Vx (x = 0; 0.1; 0.3; 0.5; 1) were investigated. Experimental studies of the magnetic properties and meta-magnetostructural transition (martensitic transition—MT) [...] Read more.
The crystal structure, texture, martensitic transformation, and magnetic properties of magnetic shape-memory Heusler alloys of Ni51−xMn33.4In15.6Vx (x = 0; 0.1; 0.3; 0.5; 1) were investigated. Experimental studies of the magnetic properties and meta-magnetostructural transition (martensitic transition—MT) confirm the main sensitivity of the martensitic transition temperature to vanadium doping and to an applied magnetic field. This makes this family of shape-memory alloys promising for use in numerous applications, such as magnetocaloric cooling and MEMS technology. Diffuse electron scattering was analyzed, and the structures of the austenite and martensite were determined, including the use of TEM in situ experiments during heating and cooling for an alloy with a 0.3 at.% concentration of V. In the austenitic state, the alloys are characterized by a high-temperature-ordered phase of the L21 type. The images show nanodomain structures in the form of tweed contrast and contrast from antiphase domains and antiphase boundaries. The alloy microstructure in the temperature range from the martensitic finish to 113 K consists of a six-layer modulated martensite, with 10 M and 14 M modulation observed in local zones. The morphology of the double structure of the modulated martensite structure inherits the morphology of the nanodomain structure in the parent phase. This suggests that it is possible to control the structure of the high-temperature austenite phase and the temperature of the martensitic transition by alloying and/or rapidly quenching from the high-temperature phase. In addition, attention is paid to maintaining fine interface structures. High-resolution transmission electron microscopy showed good coherence along the austenite–martensite boundary. Full article
Show Figures

Graphical abstract

15 pages, 2230 KB  
Article
Silver Nanocluster–Based Label-Free Aptasensor for the Turn-On Fluorescent Detection of Ochratoxin A
by Jinyan Nan, Chengbi Cui and Zhijun Guo
Foods 2025, 14(18), 3271; https://doi.org/10.3390/foods14183271 - 20 Sep 2025
Viewed by 265
Abstract
Despite the substantial human health risks posed by ochratoxin A (OTA), a potent mycotoxin, simple, low-cost methods for its sensitive and selective detection in foods are lacking. To address this gap, we herein developed a label-free OTA aptasensor based on deoxyribonucleic acid (DNA)-scaffolded [...] Read more.
Despite the substantial human health risks posed by ochratoxin A (OTA), a potent mycotoxin, simple, low-cost methods for its sensitive and selective detection in foods are lacking. To address this gap, we herein developed a label-free OTA aptasensor based on deoxyribonucleic acid (DNA)-scaffolded silver nanoclusters (AgNCs) with an intense red fluorescence. As the DNA template fragment used for AgNC fabrication was derived from the complementary sequence of the OTA aptamer (Apt-OTA), Apt-OTA complexed the AgNCs in the absence of OTA, quenching their fluorescence. OTA inhibited this quenching by strongly binding Apt-OTA and thus precluding its binding to the AgNCs. The OTA aptasensor exhibited a high selectivity and low detection limit (0.38 ng/mL), eliminating the need for expensive reagents, complicated pre-treatments, and advanced equipment, and was successfully used to quantify mycotoxins in food under real-life conditions, thus holding promise for mycotoxin control. Full article
Show Figures

Figure 1

16 pages, 3025 KB  
Article
A Green Synthesis of Fluorescent Carbon Dots and Their Application to the Determination of Sunset Yellow
by Yujing Wang, Yiran Wang, Jiaxu Zou, Shuxin Tan, Feiyu Yan, Benxu Yang, Chao Li and Shufen Wu
Foods 2025, 14(18), 3221; https://doi.org/10.3390/foods14183221 - 17 Sep 2025
Viewed by 348
Abstract
Sunset yellow (SY) is a synthetic azo dye widely used in food and cosmetics. However, concerns have been raised about its potential health risks, including its nephrotoxicity and genotoxicity, when used in excessive amounts. Illegal addition of SY may cause allergic reactions or [...] Read more.
Sunset yellow (SY) is a synthetic azo dye widely used in food and cosmetics. However, concerns have been raised about its potential health risks, including its nephrotoxicity and genotoxicity, when used in excessive amounts. Illegal addition of SY may cause allergic reactions or genetic damage. Therefore, a rapid method for detecting SY is needed. To develop a rapid detection method for sunset yellow (SY) with the aim of preventing its illegal addition in food, this study utilized agricultural waste asparagus peel (AP) as a carbon source and synthesized amino-functionalized carbon quantum dots (AP-CDs) via a green hydrothermal method. A highly sensitive detection platform was established based on the fluorescence quenching mechanism of AP-CDs in the presence of SY. The microstructure of AP-CDs was characterized using transmission electron microscopy (TEM), Fourier transform infrared spectroscopy (FTIR), and X-ray photoelectron spectroscopy (XPS). Their optical properties were assessed via ultraviolet–visible absorption spectroscopy (UV-vis) and fluorescence spectroscopy (FS). Furthermore, key experimental parameters affecting SY detection were systematically optimized. Results revealed that the synthesized AP-CDs possessed surface hydrophilic functional groups, including hydroxyl, amide, and carboxyl groups, and were composed of carbon (C), oxygen (O), and nitrogen (N) elements. Optical performance studies demonstrated that AP-CDs exhibited a strong fluorescence emission at 470 nm under 380 nm excitation, with a quantum yield (Φ) of 15.9%. Under the optimized conditions (pH 7.0, 0.5 mg/mL AP-CDs), the fluorescence intensity showed a linear response to the concentration of SY over the range of 0.1 to 100 μM (R2 = 0.9929), achieving a detection limit of 0.92 μM. This strategy not only enables sustainable resource utilization but also provides a sensitive and practical approach for food safety monitoring, demonstrating significant potential for real-world applications. Full article
(This article belongs to the Section Food Biotechnology)
Show Figures

Figure 1

15 pages, 4676 KB  
Article
Green Synthesis of Nitrogen-Doped Carbon Dots from Pueraria Residues for Use as a Sensitive Fluorescent Probe for Sensing Cr(VI) in Water
by Ziyuan Zheng and Zhengwei Zhou
Sensors 2025, 25(17), 5554; https://doi.org/10.3390/s25175554 - 5 Sep 2025
Viewed by 1000
Abstract
In this study, blue fluorescence carbon dots of high quantum yield (42.96%) were successfully synthesized via a one-step hydrothermal method using Pueraria residues as the precursor and urea as the nitrogen source. The preparation process was simple, was environmentally friendly, and did not [...] Read more.
In this study, blue fluorescence carbon dots of high quantum yield (42.96%) were successfully synthesized via a one-step hydrothermal method using Pueraria residues as the precursor and urea as the nitrogen source. The preparation process was simple, was environmentally friendly, and did not use toxic chemicals, with the resulting nitrogen-doped Pueraria carbon dots (N-PCDs) exhibiting excellent dispersibility, regular morphology and stable fluorescence performance. Moreover, fluorescence quenching could be induced through electron transfer between N-PCDs and hexavalent chromium (Cr(VI)) in water, which enabled the application of N-PCDs as a fluorescent probe for sensing Cr(VI) in water, with a limit of detection (LOD) and limit of quantitation (LOQ) of 0.078 μM and 0.26 μM, respectively. The effectiveness of the proposed fluorescent probe was also validated in various water matrices, achieving stable recovery rates ranging from 98.7% to 101.5%. Furthermore, experimental investigations and theoretical calculations through density functional theory (DFT) confirmed that the underlying reaction mechanism was photoinduced electron transfer (PET). Above all, this study not only demonstrated the potential of N-PCDs as sensitive probes to sense toxic elements in the environment, but also promotes the green and scalable production of high-value carbon-based products from waste biomass. Full article
(This article belongs to the Section Chemical Sensors)
Show Figures

Figure 1

14 pages, 4225 KB  
Article
Portable Bacterial Cellulose-Based Fluorescent Sensor for Rapid and Sensitive Detection of Copper in Food and Environmental Samples
by Hongyuan Zhang, Qian Zhang, Xiaona Ji, Bing Han, Jieqiong Wang and Ce Han
Molecules 2025, 30(17), 3633; https://doi.org/10.3390/molecules30173633 - 5 Sep 2025
Viewed by 965
Abstract
Copper ions (Cu2+), indispensable in physiological processes yet toxic at elevated concentrations, require sensitive on-site monitoring. Here, a portable fluorescent sensing film (Y-CDs@BCM) was fabricated by anchoring yellow-emitting carbon dots (Y-CDs) into bacterial cellulose films, which enables rapid and sensitive detection [...] Read more.
Copper ions (Cu2+), indispensable in physiological processes yet toxic at elevated concentrations, require sensitive on-site monitoring. Here, a portable fluorescent sensing film (Y-CDs@BCM) was fabricated by anchoring yellow-emitting carbon dots (Y-CDs) into bacterial cellulose films, which enables rapid and sensitive detection of Cu2+ in complex real-world samples. The yellow fluorescent carbon dots (Y-CDs) were synthesized with the aid of o-phenylenediamine and 1-octyl-3-methylimidazolium tetrafluoroborate as precursors, exhibiting excellent fluorescence stability. The fluorescence of Y-CDs was selectively quenched by Cu2+ via the inner filter effect (IFE), allowing quantitative analysis with superior sensitivity compared to existing methods. By adding bacterial cellulose (BC) as a solid support, aggregation-induced fluorescence quenching was effectively reduced, and sensor robustness and portability were improved. Through smartphone-based colorimetric analysis, the Y-CDs@BCM sensor enabled rapid, visual interpretation of Cu2+ detection (within 1 min). Furthermore, cell viability and in vivo assays confirmed the biocompatibility of Y-CDs, indicating their suitability for biological imaging. This work presents an environmentally friendly, reliable, and practical method for on-site Cu2+ monitoring, emphasizing its broad application potential in food safety control and environmental analysis. Full article
(This article belongs to the Special Issue Applications of Fluorescent Sensors in Food and Environment)
Show Figures

Figure 1

14 pages, 1850 KB  
Article
Rapid Detection of Saxitoxin Using a Nucleic Acid Aptamer Biosensor Based on Graphene Oxide as a Fluorescence Quencher
by Yi Jiao, Liqing Yang, Junping Hao, Yuhang Wen, Jianhua Wang, Hengchao E, Zhiyong Zhao, Yufeng Chen and Xianli Yang
Toxins 2025, 17(9), 430; https://doi.org/10.3390/toxins17090430 - 28 Aug 2025
Viewed by 735
Abstract
Saxitoxin (STX) is a toxin with paralyzing and lethal properties, necessitating the development of a simple analytical method. This study developed a nucleic acid aptamer biosensor using graphene oxide (GO) as a fluorescence quencher for STX detection. GO was combined with M30-f, an [...] Read more.
Saxitoxin (STX) is a toxin with paralyzing and lethal properties, necessitating the development of a simple analytical method. This study developed a nucleic acid aptamer biosensor using graphene oxide (GO) as a fluorescence quencher for STX detection. GO was combined with M30-f, an STX nucleic acid aptamer modification with 5-carboxyfluorescein, which can produce fluorescence absorption under the conditions of an excitation wavelength of 408 nm and emission wavelength of 515 nm. Based on the principle of fluorescence resonance energy transfer, the fluorescence of M30-f was quenched. In the presence of STX, M30-f specifically binds to STX and dissociates from the GO surface, thereby restoring fluorescence. The STX content can be quantitatively detected through differences in fluorescence absorption. The influence of ultrasonic time on the fluorescence quenching ability of GO was investigated. The aqueous solution of graphene oxide, 30GO, optimized by ultrasound treatment for a duration of 30 min, demonstrated excellent fluorescence quenching capability. 30GO was analyzed utilizing various characterization techniques, including SEM, FT-IR, UV, XPS, XRD, AFM, and contact angle measurements. The methodological validation showed that the established STX sensor exhibits excellent linearity within a concentration range of 10–100,000 ng/L, with a limit of detection (LOD) as low as 0.098 μg/L. In addition, the results further demonstrated the sensor’s high specificity for detecting neurotoxic shellfish toxin STX. The recovery rate for clam samples ranged from 89.12% to 104.71%, while that for oyster samples ranged from 91.20% to 109.65%, with relative standard deviations (RSDs) all below 3%. This aptamer sensor is characterized by its simplicity, high sensitivity, and broad detection range, providing significant technical support for advancing marine biotoxin research. Full article
(This article belongs to the Special Issue Exploration of Toxins from Marine Organisms)
Show Figures

Figure 1

19 pages, 4447 KB  
Article
Application of Ferric–Graphene Quantum Dot Complex for Evaluation and Imaging of Antioxidants in Foods Based on Fluorescence Turn-Off–On Strategy
by Mahmoud El-Maghrabey, Aya Yamamichi, Ali Abdel-Hakim, Naoya Kishikawa and Naotaka Kuroda
Antioxidants 2025, 14(9), 1034; https://doi.org/10.3390/antiox14091034 - 22 Aug 2025
Viewed by 645
Abstract
Antioxidants have drawn much interest owing to their capacity to shield the human body from reactive oxygen species (ROS). Therefore, it is essential to develop a quick and easy assay for the evaluation of antioxidants and for imaging their distribution in food. Herein, [...] Read more.
Antioxidants have drawn much interest owing to their capacity to shield the human body from reactive oxygen species (ROS). Therefore, it is essential to develop a quick and easy assay for the evaluation of antioxidants and for imaging their distribution in food. Herein, we describe a fluorescence measurement platform for assessing and visualizing antioxidant capacity. Our method is based on using the composite of graphene quantum dots (GQDs) with Fe3+ (Fe3+-GQDs) as a reagent for evaluating and imaging the antioxidant capacity in foods using a fluorescence turn-off–on strategy. The fluorescence of GQDs was found to be selectively quenched with Fe3+ at pH 3.5. Upon addition of an antioxidant, Fe3+ is reduced to Fe2+, and the fluorescence of GQDs is regained. Next, we investigated the fluorescence intensity after the reaction of Fe3+-GQDs with seven typical antioxidants, and it showed excellent sensitivity down to 0.60 µM of antioxidant. Next, using Fe3+-GQDs as a reagent, we developed a paper-based fluorescence imaging method for antioxidants in foods. Furthermore, we analyzed the distribution of antioxidant capacity on cucumber and carrot slices (tips, central parts, and shoulders). Next, the antioxidant capacity of cucumber and carrot slice extracts was measured, and the results were consistent with the fluorescence imaging results of the intact slices. Full article
(This article belongs to the Section Extraction and Industrial Applications of Antioxidants)
Show Figures

Figure 1

12 pages, 2021 KB  
Article
Dual-Mode Optical Detection of Sulfide Ions Using Copper-Anchored Nitrogen-Doped Graphene Quantum Dot Nanozymes
by Van Anh Ngoc Nguyen, Trung Hieu Vu, Phuong Thy Nguyen and Moon Il Kim
Biosensors 2025, 15(8), 528; https://doi.org/10.3390/bios15080528 - 13 Aug 2025
Viewed by 638
Abstract
We present a dual-mode optical sensing strategy for selective and sensitive detection of sulfide ions (S2−), employing copper-anchored nitrogen-doped graphene quantum dots (Cu@N-GQDs) as bifunctional nanozymes. The Cu@N-GQDs were synthesized via citric acid pyrolysis in the presence of ammonium hydroxide (serving [...] Read more.
We present a dual-mode optical sensing strategy for selective and sensitive detection of sulfide ions (S2−), employing copper-anchored nitrogen-doped graphene quantum dots (Cu@N-GQDs) as bifunctional nanozymes. The Cu@N-GQDs were synthesized via citric acid pyrolysis in the presence of ammonium hydroxide (serving as both nitrogen source and reductant) and copper chloride, leading to uniform incorporation of copper oxide species onto the N-GQD surface. The resulting nanohybrids exhibit two synergistic functionalities: intrinsic fluorescence comparable to pristine N-GQDs, and significantly enhanced peroxidase-like catalytic activity attributed to the anchored copper species. Upon interaction with sulfide ions, the system undergoes a dual-optical response: (i) fluorescence quenching via Cu-S complexation, and (ii) inhibition of peroxidase-like activity due to the deactivation of Cu catalytic centers via the interaction with S2−. This dual-signal strategy enables sensitive quantification of S2−, achieving detection limits of 0.5 µM (fluorescence) and 3.5 µM (colorimetry). The sensor demonstrates excellent selectivity over competing substances and high reliability and precision in real tap water samples. These findings highlight the potential of Cu@N-GQDs as robust, bifunctional, and field-deployable nanozyme probes for environmental and biomedical sulfide ion monitoring. Full article
(This article belongs to the Special Issue Advanced Optics and Photonics in Biosensing Applications)
Show Figures

Figure 1

16 pages, 4802 KB  
Article
Validation of the New TLANESY Thermal–Hydraulic Code with Data from the QUENCH-01 Experiment
by Nahum Contreras-Pérez, Heriberto Sánchez-Mora, Sergio Quezada-García, Armando Miguel Gómez Torres and Ricardo Isaac Cázares Ramírez
J. Nucl. Eng. 2025, 6(3), 32; https://doi.org/10.3390/jne6030032 - 12 Aug 2025
Viewed by 502
Abstract
Hydrogen generation and the correct simulation of severe accidents have been of utmost importance since the Fukushima Dai-ichi accident. QUENCH experiments are quite useful for validating mathematical models implemented in system codes for early-phase severe accidents, where hydrogen generation, fuel rod temperature, and [...] Read more.
Hydrogen generation and the correct simulation of severe accidents have been of utmost importance since the Fukushima Dai-ichi accident. QUENCH experiments are quite useful for validating mathematical models implemented in system codes for early-phase severe accidents, where hydrogen generation, fuel rod temperature, and their deterioration during these conditions are of vital importance. This paper presents a new system code, TLANESY, designed for the simulation of thermal–hydraulic systems with two-phase flow (mainly water) and with application in the analysis of severe accidents during the early phase. The computational implementation consists of fast-running numerical methods and their validation with experimental data from the QUENCH-01 experiment. The results showed an error with respect to the total hydrogen generation of approximately 0.6%. A stand-alone sensitivity analysis was also performed with some parameters related to the cladding, where it was shown that variation in the thermal conductivity by 15% can alter the total hydrogen generation by up to 5%, indicating that impurities in this material can have a significant impact on this Figure of Merit. Full article
(This article belongs to the Special Issue Validation of Code Packages for Light Water Reactor Physics Analysis)
Show Figures

Figure 1

14 pages, 1194 KB  
Article
A Benzimidazole-Based Fluorescent Probe for the Selective Recognition of Cobalt (II) Ions
by Jing Zhu, Hua-Fen Wang, Jia-Xiang Zhang, Man Wang, Yu-Wei Zhuang, Zhi-Guang Suo, Ye-Wu He, Yan-Chang Zhang, Min Wei and Hai-Yan Zhang
Molecules 2025, 30(15), 3309; https://doi.org/10.3390/molecules30153309 - 7 Aug 2025
Viewed by 519
Abstract
Cobalt, a rare element in the Earth’s crust, is widely used in industries due to its hardness and antioxidant properties. It also plays a vital role in physiological functions, being a key component of vitamin B12. However, excessive cobalt intake can [...] Read more.
Cobalt, a rare element in the Earth’s crust, is widely used in industries due to its hardness and antioxidant properties. It also plays a vital role in physiological functions, being a key component of vitamin B12. However, excessive cobalt intake can cause health issues. Detecting cobalt ions, especially Co2+, in food is crucial due to potential contamination from various sources. Fluorescent probes offer high sensitivity, selectivity, a rapid response, and ease of use, making them ideal for the accurate and efficient recognition of Co2+ in complex samples. In this context, a highly selective fluorescent probe, 2,2′-((3-(1H-benzo[d]imidazol-2-yl)-1,2-phenylene) bis(oxy)) bis(N-(quinolin-8-yl) acetamide) (DQBM-B), was synthesized using chloroacetyl chloride, 8-aminoquinoline, 2,3-dihydroxybenzaldehyde, and benzidine as raw materials for the recognition of Co2+. Probe DQBM-B can exhibit fluorescence alone in DMF. However, as the concentration of Co2+ increased, Photoinduced Electron Transfer (PET) occurred, which quenched the original fluorescence of the probe. Probe DQBM-B shows better selectivity for Co2+ than other ions with high sensitivity (detection limit: 3.56 μmol L−1), and the reaction reaches equilibrium within 30 min. Full article
Show Figures

Graphical abstract

11 pages, 1257 KB  
Communication
Glutathione-Stabilized Copper Nanoclusters as a Switch-Off Fluorescent Sensor for Sensing of Quercetin in Tea Samples
by Xueqing Gao and Xuming Zhuang
Foods 2025, 14(15), 2750; https://doi.org/10.3390/foods14152750 - 6 Aug 2025
Viewed by 460
Abstract
Quercetin, a natural polyphenolic flavonoid with antioxidant and anti-allergic properties, is extensively found in foods and holds significant importance for human health. In this study, a simple switch-off fluorescent sensor based on copper nanoclusters (Cu NCs) was proposed for the sensitive determination of [...] Read more.
Quercetin, a natural polyphenolic flavonoid with antioxidant and anti-allergic properties, is extensively found in foods and holds significant importance for human health. In this study, a simple switch-off fluorescent sensor based on copper nanoclusters (Cu NCs) was proposed for the sensitive determination of quercetin. Glutathione acted as the reducing and protective agent in the synthesized process of Cu NCs via a facile, green one-pot method. As anticipated, the glutathione-capped Cu NCs (GSH-Cu NCs) exhibited favorable water solubility and ultrasmall size. The fluorescence property of GSH-Cu NCs was further enhanced with Al3+ ion through the aggregation-induced emission effect. When quercetin was present in the sample solution, the system exhibited effective fluorescence quenching, which was attributed to the internal filter effect. The GSH-Cu NCs/Al3+-based fluorescent sensor showed a good linear relationship to quercetin in the concentration range from 0.1 to 60 μM. A detection limit of 24 nM was obtained. Moreover, the constructed sensor was employed for the successful determination of quercetin in tea samples. Full article
(This article belongs to the Special Issue Development and Application of Biosensors in the Food Field)
Show Figures

Figure 1

47 pages, 7003 KB  
Review
Phthalocyanines Conjugated with Small Biologically Active Compounds for the Advanced Photodynamic Therapy: A Review
by Kyrylo Chornovolenko and Tomasz Koczorowski
Molecules 2025, 30(15), 3297; https://doi.org/10.3390/molecules30153297 - 6 Aug 2025
Viewed by 945
Abstract
Phthalocyanines (Pcs) are well-established photosensitizers in photodynamic therapy, valued for their strong light absorption, high singlet oxygen generation, and photostability. Recent advances have focused on covalently conjugating Pcs, particularly zinc phthalocyanines (ZnPcs), with a wide range of small bioactive molecules to improve selectivity, [...] Read more.
Phthalocyanines (Pcs) are well-established photosensitizers in photodynamic therapy, valued for their strong light absorption, high singlet oxygen generation, and photostability. Recent advances have focused on covalently conjugating Pcs, particularly zinc phthalocyanines (ZnPcs), with a wide range of small bioactive molecules to improve selectivity, efficacy, and multifunctionality. These conjugates combine light-activated reactive oxygen species (ROS) production with targeted delivery and controlled release, offering enhanced treatment precision and reduced off-target toxicity. Chemotherapeutic agent conjugates, including those with erlotinib, doxorubicin, tamoxifen, and camptothecin, demonstrate receptor-mediated uptake, pH-responsive release, and synergistic anticancer effects, even overcoming multidrug resistance. Beyond oncology, ZnPc conjugates with antibiotics, anti-inflammatory drugs, antiparasitics, and antidepressants extend photodynamic therapy’s scope to antimicrobial and site-specific therapies. Targeting moieties such as folic acid, biotin, arginylglycylaspartic acid (RGD) and epidermal growth factor (EGF) peptides, carbohydrates, and amino acids have been employed to exploit overexpressed receptors in tumors, enhancing cellular uptake and tumor accumulation. Fluorescent dye and porphyrinoid conjugates further enrich these systems by enabling imaging-guided therapy, efficient energy transfer, and dual-mode activation through pH or enzyme-sensitive linkers. Despite these promising strategies, key challenges remain, including aggregation-induced quenching, poor aqueous solubility, synthetic complexity, and interference with ROS generation. In this review, the examples of Pc-based conjugates were described with particular interest on the synthetic procedures and optical properties of targeted compounds. Full article
(This article belongs to the Section Organic Chemistry)
Show Figures

Graphical abstract

20 pages, 1573 KB  
Article
Polyvalent Mannuronic Acid-Coated Gold Nanoparticles for Probing Multivalent Lectin–Glycan Interaction and Blocking Virus Infection
by Rahman Basaran, Darshita Budhadev, Eleni Dimitriou, Hannah S. Wootton, Gavin J. Miller, Amy Kempf, Inga Nehlmeier, Stefan Pöhlmann, Yuan Guo and Dejian Zhou
Viruses 2025, 17(8), 1066; https://doi.org/10.3390/v17081066 - 30 Jul 2025
Viewed by 739
Abstract
Multivalent lectin–glycan interactions (MLGIs) are vital for viral infection, cell-cell communication and regulation of immune responses. Their structural and biophysical data are thus important, not only for providing insights into their underlying mechanisms but also for designing potent glycoconjugate therapeutics against target MLGIs. [...] Read more.
Multivalent lectin–glycan interactions (MLGIs) are vital for viral infection, cell-cell communication and regulation of immune responses. Their structural and biophysical data are thus important, not only for providing insights into their underlying mechanisms but also for designing potent glycoconjugate therapeutics against target MLGIs. However, such information remains to be limited for some important MLGIs, significantly restricting the research progress. We have recently demonstrated that functional nanoparticles, including ∼4 nm quantum dots and varying sized gold nanoparticles (GNPs), densely glycosylated with various natural mono- and oligo- saccharides, are powerful biophysical probes for MLGIs. Using two important viral receptors, DC-SIGN and DC-SIGNR (together denoted as DC-SIGN/R hereafter), as model multimeric lectins, we have shown that α-mannose and α-manno-α-1,2-biose (abbreviated as Man and DiMan, respectively) coated GNPs not only can provide sensitive measurement of MLGI affinities but also reveal critical structural information (e.g., binding site orientation and mode) which are important for MLGI targeting. In this study, we produced mannuronic acid (ManA) coated GNPs (GNP-ManA) of two different sizes to probe the effect of glycan modification on their MLGI affinity and antiviral property. Using our recently developed GNP fluorescence quenching assay, we find that GNP-ManA binds effectively to both DC-SIGN/R and increasing the size of GNP significantly enhances their MLGI affinity. Consistent with this, increasing the GNP size also significantly enhances their ability to block DC-SIGN/R-augmented virus entry into host cells. Particularly, ManA coated 13 nm GNP potently block Ebola virus glycoprotein-driven entry into DC-SIGN/R-expressing cells with sub-nM levels of EC50. Our findings suggest that GNP-ManA probes can act as a useful tool to quantify the characteristics of MLGIs, where increasing the GNP scaffold size substantially enhances their MLGI affinity and antiviral potency. Full article
(This article belongs to the Special Issue Role of Lectins in Viral Infections and Antiviral Intervention)
Show Figures

Figure 1

Back to TopTop