Sign in to use this feature.

Years

Between: -

Subjects

remove_circle_outline
remove_circle_outline
remove_circle_outline
remove_circle_outline
remove_circle_outline
remove_circle_outline
remove_circle_outline
remove_circle_outline
remove_circle_outline

Journals

remove_circle_outline
remove_circle_outline
remove_circle_outline
remove_circle_outline
remove_circle_outline
remove_circle_outline
remove_circle_outline
remove_circle_outline
remove_circle_outline
remove_circle_outline
remove_circle_outline
remove_circle_outline
remove_circle_outline
remove_circle_outline
remove_circle_outline
remove_circle_outline
remove_circle_outline
remove_circle_outline
remove_circle_outline

Article Types

Countries / Regions

remove_circle_outline
remove_circle_outline
remove_circle_outline
remove_circle_outline
remove_circle_outline
remove_circle_outline
remove_circle_outline

Search Results (1,607)

Search Parameters:
Keywords = potential-determining ions

Order results
Result details
Results per page
Select all
Export citation of selected articles as:
17 pages, 1060 KB  
Article
Impact of Purification Methods on the Antioxidant Properties of Tannin-Rich Extracts Obtained from Berry Fruit By-Products
by Agnieszka Hejduk, Michał Sójka and Robert Klewicki
Appl. Sci. 2025, 15(21), 11701; https://doi.org/10.3390/app152111701 (registering DOI) - 1 Nov 2025
Abstract
This study evaluates how different purification methods influence the antioxidant properties of polyphenol-rich berry pomace extracts, taking into account both the source of the pomace and the purification strategy used. The extracts were obtained from raspberry, blackberry, strawberry, and wild strawberry pomaces derived [...] Read more.
This study evaluates how different purification methods influence the antioxidant properties of polyphenol-rich berry pomace extracts, taking into account both the source of the pomace and the purification strategy used. The extracts were obtained from raspberry, blackberry, strawberry, and wild strawberry pomaces derived from the production of unclarified juices and purées. The extracts were analyzed in three states: crude (CEX), purified using Amberlite XAD 1600N adsorbent resin (XAD), and purified via size-exclusion chromatography (SEC) on a gel filtration resin. Ellagitannins, flavanols, and anthocyanins were determined using HPLC-DAD-FD methods. Antioxidant properties were determined based on: total antioxidant compounds, DPPH radical scavenging activity, and Fe3+ ion reduction power. Purification significantly enhanced the concentration of antioxidant compounds, which increased 2-fold with the XAD method and more than 3-fold using SEC. The extracts exhibited strong DPPH radical scavenging activity, ranging from 65% to 90% for raspberry and blackberry extracts and from 34% to 95% for strawberry and wild strawberry extracts, depending on the degree of purification. Similarly, Fe3+-reducing power increased 2- to 6-fold in extracts purified using XAD and SEC compared to crude extracts. Purification via size-exclusion chromatography enabled the separation of tannin-rich and anthocyanin-rich extract fractions. Ellagitannins were the main class of polyphenols contributing to the enhanced antioxidant potential. Anthocyanins contributed significantly to antioxidant activity only in the case of blackberry extracts. Full article
Show Figures

Figure 1

12 pages, 1362 KB  
Article
Thermostable Collagenase Derived from Streptomyces scabies Demonstrates Selective Antibacterial Activity Against Infections in Diabetic Foot Ulcers
by Manal Al-Kattan, Afra Baghdadi and Afnan Sahloli
Appl. Microbiol. 2025, 5(4), 122; https://doi.org/10.3390/applmicrobiol5040122 - 31 Oct 2025
Abstract
Diabetic foot ulcers (DFUs) and other chronic wounds are major global health challenges, often complicated by infections and delayed healing due to excessive collagen accumulation. Microbial collagenases offer an enzymatic alternative to surgical debridement by selectively degrading collagen and potentially limiting microbial colonization. [...] Read more.
Diabetic foot ulcers (DFUs) and other chronic wounds are major global health challenges, often complicated by infections and delayed healing due to excessive collagen accumulation. Microbial collagenases offer an enzymatic alternative to surgical debridement by selectively degrading collagen and potentially limiting microbial colonization. In this study, an isolated and characterized thermostable collagenase from Streptomyces scabies from rhizospheric soil in Al-Lith thermal springs, Saudi Arabia, is investigated. Identification was confirmed via 16S rRNA sequencing, and enzyme production was optimized on gelatin agar. Partial purification was achieved through ammonium sulfate precipitation and dialysis, and molecular weight (~25 kDa) was determined by Sodium dodecyl sulfate–polyacrylamide gel electrophoresis. Activity was assessed under varying temperatures, pH, substrates, and metal ions, while antibacterial potential was tested against Staphylococcus aureus, Klebsiella pneumoniae, and Pseudomonas aeruginosa. The collagenase exhibited optimal activity at 80 °C and pH 9, stability under thermophilic and alkaline conditions, activation by Fe2+, and notable antibacterial effects at higher concentrations. These results demonstrate that S. scabies collagenase exhibits selective antibacterial activity in vitro, suggesting its potential as an enzymatic tool for further evaluation in diabetic foot debridement and infection control. Full article
Show Figures

Graphical abstract

20 pages, 2802 KB  
Article
Development of a Mixed-Strain Fermentation Process for Sour Pomegranate: An Analysis of Metabolites and Flavor Compounds
by Yuting Yang, Ailikemu Mulati, Xinmeng Huang, Yuanpeng Li, Dilireba Shataer, Haipeng Liu and Jiayi Wang
Foods 2025, 14(21), 3733; https://doi.org/10.3390/foods14213733 - 30 Oct 2025
Abstract
Sour pomegranate, a distinctive product of Xinjiang, China, is characterized by its sour and astringent taste, which contributes to a low processing rate. This study utilized single-factor experiments to screen three strains: Lactobacillus fermentum, Lactobacillus plantarum, and Lactobacillus acidophilus. Through [...] Read more.
Sour pomegranate, a distinctive product of Xinjiang, China, is characterized by its sour and astringent taste, which contributes to a low processing rate. This study utilized single-factor experiments to screen three strains: Lactobacillus fermentum, Lactobacillus plantarum, and Lactobacillus acidophilus. Through uniform design experiments, the mixed-strain ratio of L. fermentum:L. plantarum:L. acidophilus = 45%:31%:28% was determined. In addition, the amount of mixed inoculum was 2%, and the fermentation time was 11 h. Additionally, a mixed inoculation amount of 2% and a fermentation duration of 11 h were established. Utilizing electronic nose, electronic tongue, gas chromatography–ion mobility spectrometry, and non-targeted metabolomics, comparative analyses were conducted on the flavors and metabolites pre- and post-fermentation. The findings indicated that post-fermentation, umami increased by 32%, richness was enhanced by 6%, and the positive aftertaste was significantly extended. Mixed-strain fermentation facilitated the enrichment of alkanes, alcohols, aldehydes, and terpene volatile compounds; notably, the content of hexanal (fresh fruity aroma) and limonene (citrus aroma) increased by 1.95 times and 1.45 times, respectively, thereby augmenting the complexity of the aroma. Furthermore, mixed-strain fermentation significantly upregulated terpenes, amino acids and their derivatives, steroids and their derivatives, and alkaloid metabolites. These results offer potential technical support for the high-value utilization of agricultural products. Full article
Show Figures

Figure 1

15 pages, 6645 KB  
Article
Application of a Novel Solid Silver Microelectrode Array for Anodic Stripping Voltammetric Determination of Thallium(I)
by Mieczyslaw Korolczuk, Mateusz Ochab and Iwona Gęca
Molecules 2025, 30(21), 4220; https://doi.org/10.3390/molecules30214220 - 29 Oct 2025
Viewed by 189
Abstract
The article reports for the first time the application of a solid silver microelectrode array for the anodic stripping voltammetric determination of thallium(I) ions (Tl(I)). The microelectrode properties of the presented sensor were tested. The proposed solid metal microelectrode array is characterized by [...] Read more.
The article reports for the first time the application of a solid silver microelectrode array for the anodic stripping voltammetric determination of thallium(I) ions (Tl(I)). The microelectrode properties of the presented sensor were tested. The proposed solid metal microelectrode array is characterized by its eco-friendly nature due to the use of non-toxic electrode material. The advantage of this procedure is that no surface modification of the microelectrode was required. The optimization of the procedure for determining Tl(I) was performed. The experimental parameters (e.g., pH of supporting electrolyte, conditions of activation step, potential and time of deposition, effects of possible interferences) were investigated. The dependence of the thallium peak current on its concentration was linear in the range from 5 × 10−10 to 1 × 10−7 mol·L−1 (deposition time of 120 s). The estimated detection limit was 1.35 × 10−10 mol·L−1. The repeatability of the procedure expressed as RSD% for a Tl(I) concentration of 2 × 10−8 mol·L−1 was 3.6% (n = 5). The proposed procedure was applied for determining Tl(I) in certified reference materials and for studying recovery in the environmental water sample. The obtained results indicated the possibility of an analytical application of the elaborated procedure in practice. Full article
(This article belongs to the Section Analytical Chemistry)
Show Figures

Figure 1

24 pages, 10390 KB  
Article
Electronic Structure and Binding Characteristics of Ionic Liquid Ions on Li-Metal Surfaces Through a DFT Approach
by Luis A. Selis, Dinau Velazco-Lorenzo, Juan Quillas and Diego E. Galvez-Aranda
Crystals 2025, 15(11), 928; https://doi.org/10.3390/cryst15110928 - 28 Oct 2025
Viewed by 221
Abstract
Understanding the interactions between ionic liquid ions and lithium-metal surfaces is critical for designing safer and more efficient lithium metal batteries. In this work, we use density functional theory to investigate the electronic structure, binding energies, work-function shifts and interfacial charge redistribution of [...] Read more.
Understanding the interactions between ionic liquid ions and lithium-metal surfaces is critical for designing safer and more efficient lithium metal batteries. In this work, we use density functional theory to investigate the electronic structure, binding energies, work-function shifts and interfacial charge redistribution of several ionic liquid ions, including FSI, TFSI, PF6, BF4, DFOB, Pyr14+, and EMIM+, on a Li-metal anode (Lim). Absorption orientation-dependent effects are examined for each molecule. Specifically, differences in charge density and electron localization function analyses revealed unique patterns of electron accumulation and delocalization that highlighted specific atomic roles in interfacial bonding. Interfacial charge transfer is analyzed through Bader charges, revealing a moderate charge redistribution for the cations (EMIM+, Pyr14+), and a more significant charge uptake for the reactive anions (FSI, TFSI, DFOB). Among cations, EMIM+ was determined to have the most interfacial stability, while Pyr14+ displayed mid-level reactivity. For the anions, varying tendencies for bond formation with lithium metal and potential fragmentation could be determined. Overall, these discoveries detail an atomistic analysis of ionic liquid to Lim interactions providing additional pathways for molecular design techniques to stabilize electrolytes performing not high-cost computational calculations. Full article
(This article belongs to the Special Issue Analysis of Halogen and Other σ-Hole Bonds in Crystals (2nd Edition))
Show Figures

Figure 1

21 pages, 1448 KB  
Article
New Use of LiMn2O4 Batteries Under Renewable Overvoltage as Thermal Power Generators: Energy and Exergy Analysis
by Juan Carlos Ríos-Fernández and M. Inmaculada Álvarez Fernández
Sustainability 2025, 17(21), 9438; https://doi.org/10.3390/su17219438 - 23 Oct 2025
Viewed by 263
Abstract
Lithium-ion batteries are extensively used for energy storage in renewable, electronic, and automotive applications. However, once their electrical capacity is exhausted, they become hazardous waste that requires energy-intensive recycling processes. This study investigates the thermodynamic and exergetic behavior of LiMn2O4 [...] Read more.
Lithium-ion batteries are extensively used for energy storage in renewable, electronic, and automotive applications. However, once their electrical capacity is exhausted, they become hazardous waste that requires energy-intensive recycling processes. This study investigates the thermodynamic and exergetic behavior of LiMn2O4-based lithium-ion batteries subjected to controlled electrical overvoltage from renewable energy sources, aiming to quantify their potential for thermal energy generation and recovery. A detailed mathematical model was developed to describe the coupled heat transfer and electrochemical phenomena occurring during overvoltage conditions, and experimental validation was performed under various voltage levels and charging states. Energy and exergy analyses were applied to determine the configuration yielding the highest conversion efficiency for both new and aged cells. The maximum thermal energy efficiency reached 81% for new batteries and 4% for used batteries, while the corresponding exergetic efficiencies were 5% and 1.6%, respectively. Although this study does not propose the immediate large-scale reuse of spent batteries as thermal devices, the results provide quantitative insight into irreversible energy conversion processes and highlight their potential contribution to waste heat recovery and energy optimization strategies in sustainable industrial systems. This thermodynamic framework offers a novel approach for valorizing end-of-life batteries within circular energy models, reducing environmental impact, and advancing the integration of renewable energy-driven heat recovery technologies. Full article
Show Figures

Figure 1

19 pages, 2412 KB  
Article
Cytocompatible FRET Assembly of CdTe@GSH Quantum Dots and Au@BSA Nanoclusters: A Novel Ratiometric Strategy for Dopamine Detection
by Arturo Iván Pavón-Hernández, Doris Ramírez-Herrera, Eustolia Rodríguez-Velázquez, Manuel Alatorre-Meda, Miguel Ramos-Heredia, Antonio Tirado-Guízar and Georgina Pina-Luis
Molecules 2025, 30(21), 4169; https://doi.org/10.3390/molecules30214169 - 23 Oct 2025
Viewed by 351
Abstract
This study presents a novel ratiometric fluorescent sensor based on Förster resonance energy transfer (FRET) between glutathione (GSH)-coated CdTe quantum dots (CdTe/GSH QDs) and bovine serum albumin (BSA)-coated Au nanoclusters (AuNCs/BSA) for dopamine (DA) detection. The nanoparticles were characterized using transmission electron microscopy [...] Read more.
This study presents a novel ratiometric fluorescent sensor based on Förster resonance energy transfer (FRET) between glutathione (GSH)-coated CdTe quantum dots (CdTe/GSH QDs) and bovine serum albumin (BSA)-coated Au nanoclusters (AuNCs/BSA) for dopamine (DA) detection. The nanoparticles were characterized using transmission electron microscopy (TEM), zeta potential measurements, Fourier transform infrared (FTIR) spectroscopy, UV-Vis absorption and fluorescence spectroscopy. Key FRET parameters, including energy transfer efficiency (E), donor–acceptor distance (r), Förster distance (R0), and the overlap integral (J), were determined. The interactions between the CdTe/GSH-AuNCs/BSA conjugate and DA were investigated, revealing a dual mechanism of QDs fluorescence quenching that involves both energy and electron transfer. The average lifetime values and spectral profiles of CdTe/GSH QDs, both in the absence and presence of DA, suggest a dynamic fluorescence quenching process. The variation in the ratiometric signal with increasing DA concentration demonstrated a linear response within the range of 0–250 µM, with a correlation coefficient of 0.9963 and a detection limit of 6.9 nM. This proposed nanosensor exhibited selectivity against potential interfering substances, including urea, glucose, BSA, GSH, citric acid, and metal ions such as Na+ and Ca2+. The conjugate also demonstrates excellent cytocompatibility and enhances cell proliferation in HeLa epithelial cells, making it suitable for biological applications. It was successfully employed for DA detection in urine samples, achieving recoveries ranging from 99.1% to 104.2%. The sensor is highly sensitive, selective, rapid, and cost-effective, representing a promising alternative for DA detection across various sample types. Full article
(This article belongs to the Special Issue Metallic Nanoclusters and Their Interaction with Light)
Show Figures

Graphical abstract

19 pages, 1558 KB  
Article
Genomic Characterization and Antimicrobial Resistance Profile of Streptococcus uberis Strains Isolated from Cows with Mastitis from Northwestern Spain
by Emiliano J. Quinto, Paz Redondo del Río, Beatriz de Mateo Silleras, Alberto Prieto, Gonzalo López-Lorenzo, Carlos M. Franco and Beatriz I. Vázquez
Antibiotics 2025, 14(11), 1059; https://doi.org/10.3390/antibiotics14111059 - 23 Oct 2025
Viewed by 315
Abstract
Background/Objectives: Streptococcus uberis is a Gram-positive bacterium and a major cause of bovine mastitis. The use of antimicrobial treatments raises concerns about resistance. This study aimed to characterize S. uberis isolates from one of the ten largest milk-producing regions in Europe. Methods [...] Read more.
Background/Objectives: Streptococcus uberis is a Gram-positive bacterium and a major cause of bovine mastitis. The use of antimicrobial treatments raises concerns about resistance. This study aimed to characterize S. uberis isolates from one of the ten largest milk-producing regions in Europe. Methods: Thirty-six isolates from 36 cows with mastitis were identified using MALDI-TOF and VITEK®MS. Susceptibility to 9 antibiotics (penicillin G, ampicillin, tetracycline, erythromycin, clindamycin, cefotaxime, ceftriaxone, levofloxacin, and moxifloxacin) was determined with VITEK®2. Whole-genome sequencing was performed using MinION Mk1C. Results: Alleles were identified for 7 loci: arcC, ddl, gki, recP, tdk, tpi, and yqiL. Only 10 isolates had alleles for all the loci. The loci with the highest number of alleles were ddl and tdk (33/36 strains), while arcC had the fewest (19/36). Four isolates were assigned to known sequence types (ST6, ST307, and ST184), and novel alleles were detected in 32 of the 36 isolates. Twelve isolates showed phenotypic resistance to one or more of the following antibiotics: tetracycline, erythromycin, clindamycin, and ceftriaxone. The lnu was the most frequently detected resistance gene (27 out of 102 total gene appearances). A total of 19 virulence factors were identified. All strains were predicted to be capable of infecting human hosts. Conclusions: Streptococcus uberis is a potential reservoir of antimicrobial resistance genes. The use of antimicrobials to treat bovine mastitis has reduced the susceptibility of this microorganism to several antibiotics, underscoring the importance of monitoring antimicrobial use in veterinary practice. The results also highlight the high genetic diversity of the isolates, suggesting a strong capacity to adapt to different environmental conditions. Full article
Show Figures

Figure 1

25 pages, 1324 KB  
Review
Mechanical Properties of Endothelial Cells: A Key to Physiology, Drug Testing and Nanostructure Interaction
by Agnieszka Maria Kołodziejczyk, Łukasz Kołodziejczyk and Bolesław Karwowski
Cells 2025, 14(21), 1659; https://doi.org/10.3390/cells14211659 - 23 Oct 2025
Viewed by 418
Abstract
This article explores the application of atomic force spectroscopy in in vitro studies of endothelial cells. In this technique, derived from the atomic force microscopy, the AFM probe is employed as a nanoindenter. This review aims to discuss the nanomechanical properties of endothelial [...] Read more.
This article explores the application of atomic force spectroscopy in in vitro studies of endothelial cells. In this technique, derived from the atomic force microscopy, the AFM probe is employed as a nanoindenter. This review aims to discuss the nanomechanical properties of endothelial cells alongside selected biological parameters used to determine their physiological state. Changes in cellular elasticity are analyzed in the context of an intracellular mechanism involving nitric oxide, prostacyclin, calcium ions and reactive oxygen species levels. The manuscript compiles various articles on endothelial cells, assessing the impact of different agents such as drugs, cytokines and nanostructures. The review article addresses the endothelial dysfunction model, which is based on alteration in the mechanical properties of the cells, and explains how this model is used for potential drug testing. The next part of the study evaluates the toxic effects of nanostructures on endothelial cells. Additionally, the article addresses the finite element method, a promising new approach for modeling and simulating the behavior of cells treated as a multi-layered structure. Full article
Show Figures

Graphical abstract

28 pages, 2109 KB  
Article
Chemical Contaminants in Cerumen Samples from Ecuadorian Stingless Bees: Reporting Glyphosate, Aminomethylphosphonic Acid, and the Presence of Metals and Metalloids
by Joseline Sofía Ocaña-Cabrera, Jorge Ron-Román, Sarah Martin-Solano and Claude Saegerman
Insects 2025, 16(11), 1079; https://doi.org/10.3390/insects16111079 - 22 Oct 2025
Viewed by 474
Abstract
Stingless bee cerumen is a mixture of wax and plant resins. Foragers of stingless bees are exposed to various chemical contaminants during their plant visits and collection activities. These contaminants have the potential to be transferred into the nest. This study aimed to [...] Read more.
Stingless bee cerumen is a mixture of wax and plant resins. Foragers of stingless bees are exposed to various chemical contaminants during their plant visits and collection activities. These contaminants have the potential to be transferred into the nest. This study aimed to elucidate the existence of chemical contaminants in Ecuadorian cerumen. To this end, the following aims were established: (i) to determine and quantify glyphosate (GLY), aminomethylphosphonic acid (AMPA), some other pesticides, metals and metalloids in cerumen and (ii) to establish possible risks associated with the presence of these chemical contaminants to the health of stingless bees and humans. The quantification of chemical contaminants was conducted using gas chromatography (GC), liquid chromatography (LC), and ion chromatography (IC) coupled to mass spectrometry (MS). Glyphosate (0.02–0.2 mg/kg) and AMPA (0.028 mg/kg) were detected in four of the pooled samples (n = 14) from the northern and southern highland regions. Other pesticide traces were not detected in any cerumen samples. Metals (Cd, Cr, Pb, Ni, Sn) and metalloids (As, Sb, Se) were found in all samples, including highlands and the lower Amazon. The potential risks of exposure to glyphosate and AMPA for stingless bees and humans appear to be minimal (except for the specific conditions given for Tetragonisca angustula) and safe, respectively. It seems that cerumen may serve as an effective biomonitoring matrix for assessing the environmental health of stingless bee nests. Establishing guidelines and regulations for the safe use and handling of products derived from the stingless bee consumption is therefore imperative. Full article
(This article belongs to the Section Social Insects and Apiculture)
Show Figures

Figure 1

17 pages, 1832 KB  
Article
Integrated Monitoring of Water Quality, Metal Ions, and Antibiotic Residues, with Isolation and Optimization of Enrofloxacin-Degrading Bacteria in American Shad (Alosa sapidissima) Aquaculture Systems
by Yao Zheng, Jiajia Li, Ampeire Yona, Xiaofei Wang, Xue Li, Julin Yuan and Gangchun Xu
J. Xenobiot. 2025, 15(6), 174; https://doi.org/10.3390/jox15060174 - 22 Oct 2025
Viewed by 268
Abstract
This study investigated water quality, metal ion concentrations, and antibiotic residues specifically enrofloxacin (ENR) and its metabolite ciprofloxacin (CIP), across six American shad (Alosa sapidissima) aquaculture sites over a one-year period. Water and sediment samples were analyzed to determine contamination levels, [...] Read more.
This study investigated water quality, metal ion concentrations, and antibiotic residues specifically enrofloxacin (ENR) and its metabolite ciprofloxacin (CIP), across six American shad (Alosa sapidissima) aquaculture sites over a one-year period. Water and sediment samples were analyzed to determine contamination levels, and ENR-degrading bacteria were isolated from the culture environment to explore their potential use in bioremediation. Findings showed that NH3-N and total suspended solids (TSS) exceeded recommended standards at all sampling sites. Elevated levels of Li, Na (except S1), Fe, Ni (except S2 and S4), Sr, and Cu were found at site S3. Site S5 recorded the highest concentrations of Al, As, and Pb, while Cd was most abundant at S6. In sediments, S5 showed higher levels of Mg, K (except S3), Ca, Cr, Mn, Fe, Ni, As, Pb, Cu, and Zn (except S3). ENR and CIP were detected in all water and sediment samples, with a 100% detection rate. The highest ENR (16.68–3215.95 mg·kg−1) and CIP (3.90–459.60 mg·kg−1) concentrations in water occurred at site S6, following a seasonal pattern of autumn > winter > summer > spring. In sediments, the maximum ENR (41.43–133.67 mg·kg−1) and CIP (12.36–23.71 mg·kg−1) levels were observed in spring. Two ENR-degrading bacterial strains were successfully isolated and identified as Enterococcus and Bacillus. Optimal degradation was achieved at 30 °C, pH 8.0, 6% inoculum, and 3000 Lux, resulting in a 64.2% reduction in ENR after 72 h. Under slightly different conditions (25 °C, pH 10), degradation reached 58.5%. This study provides an efficient strain resource for the bioremediation of ENR pollution in the aquaculture water of American shad. Full article
Show Figures

Graphical abstract

29 pages, 3373 KB  
Article
Uranyl(VI) Interaction with 2-Phosphonobutane-1,2,4-Tricarboxylic Acid (PBTC): A Spectroscopic and Computational Study over a Wide pH Range
by Jerome Kretzschmar, Anne Wollenberg, Ion Chiorescu, Sven Krüger, Ronja Kraft, Michael U. Kumke, Satoru Tsushima, Katja Schmeide and Margret Acker
Molecules 2025, 30(20), 4144; https://doi.org/10.3390/molecules30204144 - 21 Oct 2025
Viewed by 265
Abstract
Organophosphonates have manifold applications in the chemical industry, of which one of the most commonly used is 2-phosphonobutane-1,2,4-tricarboxylic acid (PBTC). It is widely used as a cement additive and may pose a potential risk of complexing radionuclides such as uranium in nuclear waste [...] Read more.
Organophosphonates have manifold applications in the chemical industry, of which one of the most commonly used is 2-phosphonobutane-1,2,4-tricarboxylic acid (PBTC). It is widely used as a cement additive and may pose a potential risk of complexing radionuclides such as uranium in nuclear waste repositories. PBTC, in its fully deprotonated form, has four negatively charged groups, one phosphonate and three carboxylate groups, which makes it a superior ligand for metal ion complexation. In this study, for the first time, its complexation behavior towards hexavalent uranium, U(VI), in the pH range from 2 to 11, has been investigated using various spectroscopic methods. The structure-sensitive methods NMR, IR, and Raman spectroscopy were used to characterize the complex structure. The interpretation of the results was supported by density functional calculations. Over almost the entire pH range studied, U(VI) and PBTC form a chelate complex via the phosphonate and the geminal carboxylate group, highlighting the strong chelating ability of the ligand. UV-Vis spectroscopy combined with factor analysis was applied to determine the distribution of differently protonated chelate species and their stability constants. Time-resolved laser-induced luminescence spectroscopy (TRLFS) was additionally used as a complementary method. Full article
(This article belongs to the Section Physical Chemistry)
Show Figures

Graphical abstract

20 pages, 7623 KB  
Article
Comparative Assessment of Cement and Geopolymer Immobilization Approaches: Short-Term Leaching Performance of Thermally Treated Ion Exchange Resin Waste Forms
by Raúl Fernández, Pedro Perez-Cortes, Esther Irene Marugán, Pilar Padilla-Encinas, Francisca Puertas, Inés García-Lodeiro, Ana Isabel Ruiz, Jaime Fernando Cuevas, María Jesús Turrero, María Cruz Alonso and Elena Torres
Appl. Sci. 2025, 15(20), 11196; https://doi.org/10.3390/app152011196 - 19 Oct 2025
Viewed by 286
Abstract
Cementation using Ordinary Portland Cement (OPC) remains the standard method for conditioning low- and intermediate-level radioactive waste, including Spent Ion Exchange Resins (SIERs). This work presents an integrated strategy involving thermal pretreatment to minimize waste volume and eliminate organic constituents, followed by encapsulation [...] Read more.
Cementation using Ordinary Portland Cement (OPC) remains the standard method for conditioning low- and intermediate-level radioactive waste, including Spent Ion Exchange Resins (SIERs). This work presents an integrated strategy involving thermal pretreatment to minimize waste volume and eliminate organic constituents, followed by encapsulation within three distinct binders: CEM I, CEM III, and a novel one-part geopolymer. The one-part geopolymer system represents a significant operational innovation, enabling safe and simple “just-add-water” processing and avoiding the need to handle alkaline solutions. The proposed geopolymer, synthesized from metakaolin, blast furnace slag, and solid sodium silicate, was systematically benchmarked against conventional OPC matrices (CEM I, CEM III) by assessing their capacity to immobilize thermally treated SIER ashes under accelerated leaching conditions. For benchmarking, leaching indices for Cs and Sr were determined following the ANSI/ANS 16.9 standard protocol in three representative environments simulating operational and long-term repository scenarios, providing a quantitative evaluation of radionuclide retention and matrix durability. Results indicate that the one-part geopolymer improved leaching indices for Cs and Sr compared to both cementitious binders and complied with regulatory waste acceptance criteria. The comparative results highlight the potential of geopolymer technology to increase waste loading efficiencies and improve long-term safety, establishing a robust framework for future radioactive waste management approaches. Full article
(This article belongs to the Special Issue Radioactive Waste Treatment and Environment Recovery)
Show Figures

Figure 1

22 pages, 4406 KB  
Article
Activated Carbon and Diatomite as Filtration Materials for Nutrient Removal from Stormwater
by Agnieszka Grela, Justyna Pamuła, Karolina Łach, Izabela Godyń, Dagmara Malina and Damian Grela
Materials 2025, 18(20), 4742; https://doi.org/10.3390/ma18204742 - 16 Oct 2025
Viewed by 397
Abstract
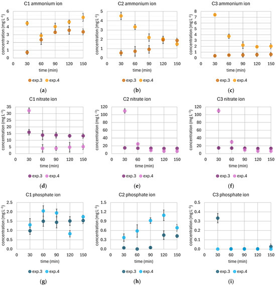
Activated carbon used as one of the layers of a rain garden may be a promising solution for removing nutrients (nitrogen and phosphorus compounds) from stormwater runoff. Progressive urbanization degrades the quality of stormwater that reaches water collectors. Rain gardens are a potential [...] Read more.
Activated carbon used as one of the layers of a rain garden may be a promising solution for removing nutrients (nitrogen and phosphorus compounds) from stormwater runoff. Progressive urbanization degrades the quality of stormwater that reaches water collectors. Rain gardens are a potential solution—nature-based systems that retain, infiltrate, and purify stormwater. The aim of this study was to evaluate the effectiveness of a model rain garden in the form of retention columns, depending on the composition of the filling material and the conditions of the simulation. The base column was filled with sand, gravel, and dolomite. The next two columns were enriched with diatomite, in a weight ratio to sand of 1:4 and 1:2, respectively. The experiment was based on four scenarios: (1) 30 min of heavy rain, (2) 2 h of rain after a drought, (3) during standard operation, and (4) with modification of the filtration material. This modification consisted of a uniform addition of granular activated carbon (GAC), which was intended to influence the column performance. The characteristics of the activated carbon were determined using XRD, SEM-EDS, and BET analysis. Pollutant concentrations were determined using a spectrophotometer and ion-selective electrodes. The analyses confirm the significant impact of the column filling materials on the efficiency of nutrient removal from stormwater, achieving even complete removal of phosphate ions, while nitrate ions were removed at a level of almost 40% and ammonium ions at >90%. Full article
(This article belongs to the Section Porous Materials)
Show Figures

Figure 1

17 pages, 3847 KB  
Article
Analysis of Volatile Organic Compounds in Wines from Vitis amurensis Varieties in Xinjiang, China
by Yining Sun, Mengqi Wang, Weiyu Cao, Mingjie Ma, Peilei Xu, Changyu Li, Yue Pan and Wenpeng Lu
Foods 2025, 14(20), 3521; https://doi.org/10.3390/foods14203521 - 16 Oct 2025
Viewed by 343
Abstract
As a wine-producing region in China, Xinjiang’s ecological conditions endow grapes with distinctive flavor potential. However, systematic research on volatile compounds in wines from Vitis amurensis Rupr. varieties in this region remains limited. Therefore, wines from four Xinjiang Vitis amurensis varieties (‘Shuanghong’, ‘Zuoyouhong’, [...] Read more.
As a wine-producing region in China, Xinjiang’s ecological conditions endow grapes with distinctive flavor potential. However, systematic research on volatile compounds in wines from Vitis amurensis Rupr. varieties in this region remains limited. Therefore, wines from four Xinjiang Vitis amurensis varieties (‘Shuanghong’, ‘Zuoyouhong’, ‘Xuelanhong’, and ‘Beibinghong’) were analyzed using high-performance liquid chromatography (HPLC), headspace gas chromatography–ion mobility spectrometry (HS-GC-IMS), electronic nose (E-nose), odor activity value (OAV) calculation, and multivariate analysis. Physicochemical parameters, organic acids, volatile organic compounds (VOCs), and OAVs were determined. Results showed significant differences in physicochemical properties among the varieties, potentially correlating with wine mouthfeel. Beibinghong wine contained the highest total VOC concentration. Among 64 identified VOCs, 37 had OAVs ≥ 1. Multivariate analysis identified 14 key differential volatile compounds (VIP ≥ 1, p < 0.05) responsible for flavor differences between varieties, with each variety exhibiting distinct key compounds. E-nose analysis effectively distinguished the aroma profiles of the four wines. This study elucidates the chemical and volatile compound characteristics of wines from Xinjiang Vitis amurensis varieties, providing a theoretical foundation for research on their flavor profiles. It also aids in selecting Vitis amurensis varieties for cultivation and supports the development of distinctive regional wines in Xinjiang. Full article
(This article belongs to the Section Drinks and Liquid Nutrition)
Show Figures

Figure 1

Back to TopTop