Sign in to use this feature.

Years

Between: -

Subjects

remove_circle_outline
remove_circle_outline
remove_circle_outline
remove_circle_outline
remove_circle_outline
remove_circle_outline
remove_circle_outline
remove_circle_outline
remove_circle_outline

Journals

remove_circle_outline
remove_circle_outline
remove_circle_outline
remove_circle_outline
remove_circle_outline
remove_circle_outline
remove_circle_outline
remove_circle_outline
remove_circle_outline
remove_circle_outline
remove_circle_outline
remove_circle_outline

Article Types

Countries / Regions

remove_circle_outline
remove_circle_outline
remove_circle_outline
remove_circle_outline
remove_circle_outline
remove_circle_outline
remove_circle_outline
remove_circle_outline

Search Results (2,522)

Search Parameters:
Keywords = nutrient indexing

Order results
Result details
Results per page
Select all
Export citation of selected articles as:
19 pages, 1443 KB  
Article
Exploratory Study of Soft Drink Intake, Diet, and Body Size Among Employees at a Japanese University Aged 20–39
by Mioko Ito, Kanako Deguchi, Kiyomi Kaito, Risako Yamamoto-Wada, Chihiro Ushiroda, Hiroyuki Naruse and Katsumi Iizuka
Nutrients 2026, 18(2), 292; https://doi.org/10.3390/nu18020292 - 16 Jan 2026
Abstract
Background: Studies outside Japan have linked sugar-sweetened beverage (SSB) intake with weight gain; however, evidence in Japanese adults is scarce, and no study has examined beverage-derived energy in relation to anthropometric indices and handgrip strength. Methods: The participants were employees of Fujita Health [...] Read more.
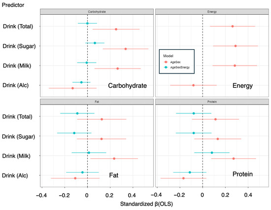
Background: Studies outside Japan have linked sugar-sweetened beverage (SSB) intake with weight gain; however, evidence in Japanese adults is scarce, and no study has examined beverage-derived energy in relation to anthropometric indices and handgrip strength. Methods: The participants were employees of Fujita Health University aged 20–39 years (n = 76; male n = 35, average age: 29.97 ± 4.67 years; female n = 41, average age: 27.29 ± 4.53 years). Energy from beverage intake was assessed via the Brief Beverage Intake Questionnaire-15, and energy from alcoholic drinks, milk, SSBs, and total beverages was calculated. The associations of energy from different beverages with nutrient intake, BMI, skeletal muscle mass index (SMI), and handgrip strength were analyzed via ordinary least squares (OLS) regression; quantile regression (QR) and the generalized additive model (GAM) were used for sensitivity analyses. Results: Increased SSB intake was associated with increased BMI (standardized β = 0.35, 95% CI 0.12–0.58, p(OLS) < 0.001; p(QR) = 0.23; p(GAM) < 0.001) and was nonlinearly associated with increased SMI (standardized β = 0.21, 95% CI 0.043–0.37, p(OLS) = 0.02; p(QR) = 0.11; p(GAM) = 0.02), even after adjustment for total energy intake. Modest milk intake was linked to higher protein intake and a higher SMI without a higher BMI (standardized β = 0.18, 95% CI 0.020–0.35, p(OLS) = 0.03; p(QR) = 0.39; p(GAM) = 0.03). Conclusions: A positive association was found between SSB intake and both BMI and SMI and between MILK intake and SMI. Clarification in larger, diverse Japanese populations will be necessary. Full article
(This article belongs to the Section Nutrition and Public Health)
Show Figures

Figure 1

22 pages, 1464 KB  
Article
Optimal Recycling Ratio of Biodried Product at 12% Enhances Digestate Valorization: Synergistic Acceleration of Drying Kinetics, Nutrient Enrichment, and Energy Recovery
by Xiandong Hou, Hangxi Liao, Bingyan Wu, Nan An, Yuanyuan Zhang and Yangyang Li
Bioengineering 2026, 13(1), 109; https://doi.org/10.3390/bioengineering13010109 - 16 Jan 2026
Abstract
Rapid urbanization in China has driven annual food waste production to 130 million tons, posing severe environmental challenges for anaerobic digestate management. To resolve trade-offs among drying efficiency, resource recovery (fertilizer/fuel), and carbon neutrality by optimizing the biodried product (BDP) recycling ratio (0–15%), [...] Read more.
Rapid urbanization in China has driven annual food waste production to 130 million tons, posing severe environmental challenges for anaerobic digestate management. To resolve trade-offs among drying efficiency, resource recovery (fertilizer/fuel), and carbon neutrality by optimizing the biodried product (BDP) recycling ratio (0–15%), six BDP treatments were tested in 60 L bioreactors. Metrics included drying kinetics, product properties, and environmental–economic trade-offs. The results showed that 12% BDP achieved a peak temperature integral (514.13 °C·d), an optimal biodrying index (3.67), and shortened the cycle to 12 days. Furthermore, 12% BDP yielded total nutrients (N + P2O5 + K2O) of 4.19%, meeting the NY 525-2021 standard in China, while ≤3% BDP maximized fuel suitability with LHV > 5000 kJ·kg−1, compliant with CEN/TC 343 RDF standards. BDP recycling reduced global warming potential by 27.3% and eliminated leachate generation, mitigating groundwater contamination risks. The RDF pathway (12% BDP) achieved the highest NPV (USD 716,725), whereas organic fertilizer required farmland subsidies (28.57/ton) to offset its low market value. A 12% BDP recycling ratio optimally balances technical feasibility, environmental safety, and economic returns, offering a closed-loop solution for global food waste valorization. Full article
(This article belongs to the Special Issue Anaerobic Digestion Advances in Biomass and Waste Treatment)
Show Figures

Graphical abstract

17 pages, 360 KB  
Article
Analysis of Emergy–Economy Coupling in Maize Farmland Ecosystems Under Nitrogen and Phosphorus Reduction and Optimization of Fertilization Schemes
by Kai Lu and Weiguo Fu
Sustainability 2026, 18(2), 901; https://doi.org/10.3390/su18020901 - 15 Jan 2026
Abstract
This study optimizes fertilization schemes through the emergy analysis of different nutrient reduction treatments in maize cropping ecosystems in Xinjiang, thereby providing technical support for improving chemical fertilizer use efficiency and maintaining the stability of farmland ecosystems. The study was conducted in 2024 [...] Read more.
This study optimizes fertilization schemes through the emergy analysis of different nutrient reduction treatments in maize cropping ecosystems in Xinjiang, thereby providing technical support for improving chemical fertilizer use efficiency and maintaining the stability of farmland ecosystems. The study was conducted in 2024 at Huaxing Farm in Changji Hui Autonomous Prefecture, Xinjiang Uyghur Autonomous Region. The experiment used the local conventional nitrogen and phosphorus fertilization rates as the control treatment N0P0 (applying P 183 kg·hm−2 and N 246 kg·hm−2), with eight different N and P nutrient reduction treatments: N0P1 (10% reduction in P only), N0P2 (20% reduction in P only), N1P0 (10% reduction in N only), N2P0 (20% N reduction), N1P1 (10% N and P reduction), N1P2 (10% N and 20% P reduction), N2P1 (20% N and 10% P reduction), and N2P2 (20% N and P reduction). Each treatment was replicated three times. Based on biomass data of maize plant components under different fertilization treatments, emergy analysis of farmland ecosystems and integration of economic benefit indicators led to the optimization of an optimal fertilization scheme. Results indicate that the N0P1 treatment performed optimally: maize plant biomass reached 251.09 g, significantly higher than other treatments. The N0P1 treatment exhibited the highest energy output (3.23 × 1016 sej·hm−2), the highest net energy yield ratio (EYR) of 1.45, and an energy sustainability index (ESI) of 3.34, representing a high level. It also delivered the highest economic benefit, with a net profit of 8571.95 CNY·hm−2 and a production–investment ratio of 1.71. In conclusion, the N0P1 treatment (10% reduction in phosphorus alone) demonstrated superior performance in biomass yield, energy utilization efficiency, ecological sustainability, and economic benefits, making it the optimal fertilization strategy for maize fields in this region. Full article
(This article belongs to the Section Social Ecology and Sustainability)
Show Figures

Figure 1

20 pages, 4598 KB  
Article
Sustainable Hydrochemical Reference Conditions in the Headwaters of Western Ukraine
by Olha Biedunkova, Pavlo Kuznietsov, Oksana Tsos, Mariia Boiaryn and Olha Karaim
Sustainability 2026, 18(2), 821; https://doi.org/10.3390/su18020821 - 14 Jan 2026
Viewed by 53
Abstract
Establishing reliable hydrochemical reference conditions is essential for water quality assessment and for the implementation of the European Union Water Framework Directive, particularly in regions where biological and hydromorphological data remain limited. This study aims to evaluate hydrochemical reference conditions in selected river [...] Read more.
Establishing reliable hydrochemical reference conditions is essential for water quality assessment and for the implementation of the European Union Water Framework Directive, particularly in regions where biological and hydromorphological data remain limited. This study aims to evaluate hydrochemical reference conditions in selected river headwaters of Western Ukraine and to examine the consistency between international and national water quality assessment approaches. Water samples were collected from four headwater and confluence sites and analysed for key physicochemical parameters, including nutrients, organic matter indicators, and major ions. Water quality was assessed using the Water Quality Index (WQI) and the Ukrainian Ecological Quality Index (IE), supported by correlation analysis and principal component analysis to identify dominant drivers of spatial variability. Most parameters complied with international and national standards, although elevated concentrations of ammonium, phosphates, biochemical oxygen demand, and nitrites were observed at specific sites. WQI differentiated headwaters with good and moderate water quality, whereas IE classified all sites as good, indicating methodological differences in sensitivity. Multivariate analysis showed that water quality variability was primarily controlled by biogenic and organic loading, while mineralization parameters reflected background geochemical conditions. The results demonstrate that hydrochemical indices can support the preliminary identification of reference conditions but also highlight systematic differences between assessment frameworks. These findings provide a methodological basis for harmonizing national water quality assessments with international standards and for improving reference site selection in data-limited regions. Full article
(This article belongs to the Section Environmental Sustainability and Applications)
Show Figures

Figure 1

16 pages, 2475 KB  
Article
Assessing the Crucial Role of Marine Fog in Early Soil Development and Biocrust Dynamics in the Atacama Desert
by María del Pilar Fernandez-Murillo, Erasmo Cifuentes, Antonia Beggs, Marlene Manzano, Ignacio Gutiérrez-Cortés, Constanza Vargas, Camilo del Río and Fernando D. Alfaro
Soil Syst. 2026, 10(1), 12; https://doi.org/10.3390/soilsystems10010012 - 13 Jan 2026
Viewed by 59
Abstract
Marine fog is a key non-rainfall water source that sustains microbial activity and transports dissolved nutrients inland, influencing early soil development in hyperarid ecosystems. However, the mechanisms through which sustained fog inputs drive soil surface modification and biocrust formation remain poorly understood. This [...] Read more.
Marine fog is a key non-rainfall water source that sustains microbial activity and transports dissolved nutrients inland, influencing early soil development in hyperarid ecosystems. However, the mechanisms through which sustained fog inputs drive soil surface modification and biocrust formation remain poorly understood. This study evaluated the effects of long-term fog augmentation on soil surface development, biocrust dynamics, and associated microbial communities in the Atacama Desert. We implemented a four-year fog addition field experiment with three sampling times (T0, T24, T48) to assess changes in soil physicochemical properties, biocrust composition, and the integrated multi-diversity of archaea, bacteria, fungi and protist. Sustained fog input transformed bare soils into biological soil crusts, particularly lichen- and moss-dominated stages. This transition was accompanied by increases in soil nitrogen, variations in organic matter accumulation, a shift from alkaline to near-neutral pH, and improvements in soil stability and water retention. Multi-diversity increased over time and was positively associated with ecosystem variables linked to water availability, structural stabilization, and decomposition. These functions, integrated into an ecosystem multifunctionality index, also increased under prolonged fog input, revealing a positive relationship between multifunctionality and multi-diversity. Overall, the results demonstrate that sustained fog input strongly enhances early soil surface development and biocrust establishment, highlighting the ecological importance of marine fog in shaping biodiversity and ecosystem functioning in hyperarid landscapes. Full article
(This article belongs to the Special Issue Microbial Community Structure and Function in Soils)
Show Figures

Graphical abstract

31 pages, 6960 KB  
Article
Physiological Mechanisms Underlying Chemical Fertilizer Reduction: Multiyear Field Evaluation of Microbial Biofertilizers in ‘Gala’ Apple Trees
by Susana Ferreira, Marta Gonçalves, Margarida Rodrigues, Francisco Martinho and Miguel Leão de Sousa
Plants 2026, 15(2), 244; https://doi.org/10.3390/plants15020244 - 13 Jan 2026
Viewed by 251
Abstract
This study is Part II of a five-year (2018–2022) field trial in western Portugal evaluating the effects of three microbial biofertilizers—Mycoshell® (Glomus spp. + humic/fulvic acids), Kiplant iNmass® (Azospirillum brasilense, Bacillus megaterium, Saccharomyces cerevisiae), and Kiplant All-Grip [...] Read more.
This study is Part II of a five-year (2018–2022) field trial in western Portugal evaluating the effects of three microbial biofertilizers—Mycoshell® (Glomus spp. + humic/fulvic acids), Kiplant iNmass® (Azospirillum brasilense, Bacillus megaterium, Saccharomyces cerevisiae), and Kiplant All-Grip® (Bacillus megaterium, Pseudomonas spp.)—applied at different dosages alongside two mineral fertilizer regimes, T100 (full dose) and T70 (70% of T100, alone or combined with biofertilizers), on the physiological performance of ‘Gala Redlum’ apple trees. Part I had shown that Myc4 (Mycoshell®, 4 tablets/tree), iNM6, and iNM12 (Kiplant iNmass®, 6 and L ha−1, respectively) consistently enhanced fruit growth, yield, and selected quality traits. While Part I showed clear agronomic gains, Part II demonstrates that these improvements occurred without significant alterations in seasonal photosynthetic performance, canopy reflectance, or chlorophyll fluorescence parameters over five years, highlighting the contrast between observed yield improvements and physiological stability. Seasonal monitoring of physiological traits—including specific leaf area (SLA), chlorophyll content index (CCI), gas exchange (An, gs, E, Ci), spectral indices (NDVI, OSAVI, SIPI, GM2), and chlorophyll fluorescence (OJIP). It is clear that physiological values remained largely stable across biofertilizer treatments and years. Importantly, this stability was maintained even under a 30% reduction in mineral fertilizer (T70), indicating that specific microbial biofertilizers can sustain physiological resilience under reduced nutrient inputs, thereby providing a physiological basis for the yield-enhancing effects observed and supporting their integration into fertilizer reduction strategies in Mediterranean orchards. Full article
(This article belongs to the Section Plant Physiology and Metabolism)
Show Figures

Figure 1

18 pages, 1972 KB  
Article
Experimental Insights on Carbon Sequestration and Yield Improvement in Oat Fields with 30% Organic Nitrogen Substitution in the Tibetan Plateau
by Lianxue Duan, Zeliang Ju, Xiang Ma, Jing Pan, Wenting Ma and Zhifeng Jia
Agronomy 2026, 16(2), 184; https://doi.org/10.3390/agronomy16020184 - 12 Jan 2026
Viewed by 198
Abstract
To evaluate the optimal substitution ratio of organic fertilizer for chemical nitrogen fertilizer and its underlying mechanisms, a pot experiment was conducted in the rhizosphere soil of oat (Avena sativa) on the Qinghai–Tibet Plateau. Five treatments were established: CK (control), T1 [...] Read more.
To evaluate the optimal substitution ratio of organic fertilizer for chemical nitrogen fertilizer and its underlying mechanisms, a pot experiment was conducted in the rhizosphere soil of oat (Avena sativa) on the Qinghai–Tibet Plateau. Five treatments were established: CK (control), T1 (chemical fertilizer alone), T2 (100% organic fertilizer substitution for chemical nitrogen fertilizer), T3 (30% organic fertilizer substitution for chemical nitrogen fertilizer), and T4 (60% organic fertilizer substitution for chemical nitrogen fertilizer). We analyzed soil carbon fractions, microbial community structure, carbon-cycling enzyme activities, and yield responses and applied partial least squares–structural equation modeling (PLS-SEM) to identify key regulatory pathways. The results showed that 30% organic substitution (T3) was associated with optimized soil carbon pools, improved microbial community composition, and enhanced carbon-cycling enzyme activities, while reducing the abundance of potentially harmful fungi. Structural equation modeling indicated that β-glucosidase activity and the relative abundance of Proteobacteria were the primary drivers of yield, together explaining 76% of its variation. The ecosystem multifunctionality index (EMF) was significantly and positively correlated with yield. In summary, under the conditions of this experiment, 30% organic fertilizer substitution achieved a favorable balance between soil ecological functions and crop yield, providing a valuable reference for sustainable nutrient management in oat production in high-altitude cold regions. Full article
(This article belongs to the Special Issue Soil Health and Properties in a Changing Environment—2nd Edition)
Show Figures

Figure 1

23 pages, 33068 KB  
Article
TMT Quantitative Proteomics Reveals the Molecular Mechanism Behind Meat Quality Changes in Nile Tilapia Exposed to Environmental Concentrations of Microcystin-LR
by Yichao Li, Huarong Xiao, Jun Xie, Liping Liu, Fajun Jiang, Jingqiu Liao and Ermeng Yu
Toxins 2026, 18(1), 39; https://doi.org/10.3390/toxins18010039 - 12 Jan 2026
Viewed by 112
Abstract
This study investigated the effects of chronic MC-LR exposure (0 μg/L [Control], 1 μg/L [M1], 3 μg/L [M3], 10 μg/L [M10], and 30 μg/L [M30]) on the muscle nutrient composition, meat quality, and muscle proteomic profile of Nile tilapia (Oreochromis niloticus). [...] Read more.
This study investigated the effects of chronic MC-LR exposure (0 μg/L [Control], 1 μg/L [M1], 3 μg/L [M3], 10 μg/L [M10], and 30 μg/L [M30]) on the muscle nutrient composition, meat quality, and muscle proteomic profile of Nile tilapia (Oreochromis niloticus). In the high-dose group (M30), MC-LR exposure compromised the muscle antioxidant status of Nile tilapia, resulting in reduced meat quality, as evidenced by decreased pH value and water-holding capacity, elevated lipid/protein oxidation, and altered texture parameters (shear force and fragmentation index). Proteomic analysis further revealed a downregulation of proteins associated with ribosomes, suggesting an impairment of muscle protein synthesis in the M30 group. Moreover, despite chronic exposure, only low levels of MC-LR accumulated in the muscle tissue, indicating a negligible health risk to consumers. Collectively, these findings offered valuable insights into the impact of environmental MC-LR contamination on fish muscle quality and nutritional value. Full article
Show Figures

Figure 1

19 pages, 6293 KB  
Article
Biogeography of Cryoconite Bacterial Communities Across Continents
by Qianqian Ge, Zhiyuan Chen, Yeteng Xu, Wei Zhang, Guangxiu Liu, Tuo Chen and Binglin Zhang
Microorganisms 2026, 14(1), 162; https://doi.org/10.3390/microorganisms14010162 - 11 Jan 2026
Viewed by 123
Abstract
The geographic distribution patterns of microorganisms and their underlying mechanisms are central topics in microbiology, crucial for understanding ecosystem functioning and predicting responses to global change. Cryoconite absorbs solar radiation to form cryoconite holes, and because it lies within these relatively deep holes, [...] Read more.
The geographic distribution patterns of microorganisms and their underlying mechanisms are central topics in microbiology, crucial for understanding ecosystem functioning and predicting responses to global change. Cryoconite absorbs solar radiation to form cryoconite holes, and because it lies within these relatively deep holes, it faces limited interference from surrounding ecosystems, often being seen as a fairly enclosed environment. Moreover, it plays a dominant role in the biogeochemical cycling of key elements such as carbon and nitrogen, making it an ideal model for studying large-scale microbial biogeography. In this study, we analyzed bacterial communities in cryoconite across a transcontinental scale of glaciers to elucidate their biogeographical distribution and community assembly processes. The cryoconite bacterial communities were predominantly composed of Proteobacteria, Cyanobacteria, Bacteroidota, and Actinobacteriota, with significant differences in species composition across geographical locations. Bacterial diversity was jointly driven by geographical and anthropogenic factors: species richness exhibited a hump-shaped relationship with latitude and was significantly positively correlated with the Human Development Index (HDI). The significant positive correlation may stem from nutrient input and microbial dispersal driven by high-HDI regions’ industrial, agricultural, and human activities. Beta diversity demonstrated a distance-decay pattern along spatial gradients such as latitude and geographical distance. Analysis of community assembly mechanisms revealed that stochastic processes predominated across continents, with a notable scale dependence: as the spatial scale increased, the role of deterministic processes (heterogeneous selection) decreased, while stochastic processes (dispersal limitation) strengthened and became the dominant force. By integrating geographical, climatic, and anthropogenic factors into a unified framework, this study enhances the understanding of the spatial-scale-driven mechanisms shaping cryoconite bacterial biogeography and emphasizes the need to prioritize anthropogenic influences to predict the trajectory of cryosphere ecosystem evolution under global change. Full article
(This article belongs to the Special Issue Polar Microbiome Facing Climate Change)
Show Figures

Figure 1

13 pages, 959 KB  
Article
Can the Application of Microbial Inocula Allow for Reducing Phosphate Fertilisation Rates in Open Field Tomato Crops?
by Artur Kowalski, Paweł Trzciński, Aya el Meziane, Lidia Sas-Paszt and Eligio Malusà
Agronomy 2026, 16(2), 170; https://doi.org/10.3390/agronomy16020170 - 9 Jan 2026
Viewed by 113
Abstract
In addition to its obvious benefits, mineral fertilisation also poses a number of threats to the environment. A four-year study was conducted to verify the possibility of integrating the application of a bacterial consortium to reduce the dose of mineral phosphorus (P) fertilisers [...] Read more.
In addition to its obvious benefits, mineral fertilisation also poses a number of threats to the environment. A four-year study was conducted to verify the possibility of integrating the application of a bacterial consortium to reduce the dose of mineral phosphorus (P) fertilisers in field-grown tomato crops without negative effects on yield. The combination of the microbial consortium with a 60% dose of both simple and complex P fertilisers did not show statistical differences in crop productivity and fruit quality compared to the full dose fertilisation each year, even when considering the cumulative yield. This was paralleled by a similar level of leaf chlorophyll index. Plants grown in rhizoboxes showed that the inoculation favoured, in the case of the complex fertiliser, a modification of the root system architecture, though not confirmed statistically. In the case of this kind of fertiliser, the inoculation induced a significant increase in the rhizospheric bacterial metabolic activity, which could be partly accounted for by the agronomic performance. However, this was not paralleled by a modification of the metabolic biodiversity of the bacterial population. The study demonstrated that, for highly demanding crops such as tomato, a valid agrononomic target for the application of microbial-based products integrated into a reduced mineral P fertilisation strategy could reach crop productivity not different from that obtained without them. Such a strategy could favour the adoption of an integrated nutrient management strategy by farmers, with positive impacts also on the environment. Full article
Show Figures

Figure 1

17 pages, 913 KB  
Article
Soil Fertility Status and Its Implications for Sustainable Cocoa Cultivation in Ghana and Togo
by Afi Amen Christèle Attiogbé, Udo Nehren, Sampson K. Agodzo, Emmanuel Quansah, Enoch Bessah, Seyni Salack, Essi Nadège Parkoo and Jean Mianikpo Sogbedji
Land 2026, 15(1), 127; https://doi.org/10.3390/land15010127 - 9 Jan 2026
Viewed by 281
Abstract
Soil fertility plays a crucial role in crop productivity, particularly in cocoa cultivation, which is highly dependent on soil quality that directly influences both productivity and sustainability. Understanding how to achieve and maintain soil fertility on cocoa farms is fundamental to sustaining higher [...] Read more.
Soil fertility plays a crucial role in crop productivity, particularly in cocoa cultivation, which is highly dependent on soil quality that directly influences both productivity and sustainability. Understanding how to achieve and maintain soil fertility on cocoa farms is fundamental to sustaining higher yields. Cocoa production in Ghana and Togo remains low, at 350–600 kg/ha, compared to the potential yield of over 1–3 tons per hectare. Given the growing demand for cocoa and limited arable land, adequate soil nutrients are essential to optimise productivity. Soil fertility indices (SFIs) have been widely used as soil metrics by integrating multiple physical, chemical, and biological soil properties. In this study, standard analytical methods were employed to evaluate the SFI through laboratory analyses of 49 surface soil samples collected at a depth of 0–30 cm with an auger. Eleven soil chemical indicators were analysed: pH (water), organic matter (OM), potassium (K), calcium (Ca), magnesium (Mg), available phosphorus (P), total nitrogen (N), cation exchange capacity (CEC), electrical conductivity (EC), and carbon-to-nitrogen ratio (C/N). Principal component analysis, followed by normalisation, was used to select a minimum dataset, which was then integrated into an additive SFI. Results indicated that N, Ca, Mg, CEC, and pH were within the optimal range for most surveyed locations (96%, 94%, 92%, 73%, and 63%, respectively), while OM and C/N were within the optimal range in approximately half of the study area. Available P, K, and C/N were highly deficient in 100%, 67%, and 96% of surveyed locations, respectively. Soil fertility varied significantly among locations (p = 0.007) and was generally low, ranging from 0.15 to 0.66. Only 20% of the soils in the study area were classified as adequately fertile for cocoa cultivation. Therefore, it is necessary to restore soil nutrient balance, especially the critically low levels of K and P, through appropriate management practices that improve fertility over time and help close the yield gap. Full article
(This article belongs to the Special Issue Feature Papers for "Land, Soil and Water" Section)
Show Figures

Figure 1

26 pages, 7728 KB  
Article
Hypolimnetic Aeration Versus Predatory Fish Stocking to Address Water Quality Parameters: A Case Study from Four Czech Reservoirs
by Petr Blabolil, Zuzana Sajdlová, Michaela Holubová, Dušan Kosour, Roman Němec, Lukáš Jurek and Tomáš Jůza
Water 2026, 18(2), 170; https://doi.org/10.3390/w18020170 - 8 Jan 2026
Viewed by 176
Abstract
Limnological parameters were monitored in four highland reservoirs in the Czech Republic from 2022 to 2024 to evaluate the effects of management practices on water quality. Although the reservoirs share similar morphometry and all serve as drinking water sources, they differ in trophic [...] Read more.
Limnological parameters were monitored in four highland reservoirs in the Czech Republic from 2022 to 2024 to evaluate the effects of management practices on water quality. Although the reservoirs share similar morphometry and all serve as drinking water sources, they differ in trophic status and management: Hubenov (HU, eutrophic) is stocked with piscivores, Nová Říše (NŘ, mesotrophic) undergoes hypolimnetic aeration, and Landštejn (LA, meso-oligotrophic) and Mostiště (MO, eutrophic) receive no targeted management interventions. Limnological data were collected monthly from April to October along vertical profiles in dam parts of the reservoirs. Comparisons were performed using graphical presentation and linear mixed-effects models. Analyses of abiotic (thermal, oxygen, and pH stratification, transparency, total phosphorus (TP) and nitrogen (TN) concentrations) and biotic (algae chlorophyll-a, cyanobacterial pigments, zooplankton density and composition) variables revealed that HU and MO exhibited the lowest transparency (on average 1.9 m in both in contrast to 2.2 m and 2.8 m in NŘ and LA, respectively) and highest seasonal algae chlorophyll-a concentrations (11.4 µg/L in HU and 15.1 µg/L in MO in contrast to 6.4 µg/L in NŘ and 5.5 µg/L in LA), indicating negligible improvement from biomanipulation. In contrast, NŘ demonstrated nutrient and chlorophyll-a levels comparable to LA (TP: 0.010 mg/L and 0.009 mg/L, TN: 1.591 mg/L and 0.419 mg/L, in NŘ and LA, respectively), despite higher nutrient input, and achieved the second highest transparency. Zooplankton densities were similar across reservoirs, supporting the hypothesis of bottom-up control or insufficient piscivore impact. These findings highlight the importance of reducing nutrient inputs to preserve water quality. Hypolimnetic aeration, which enhances sediment nutrient retention, appears more effective at mitigating eutrophication and controlling algal proliferation than fish stocking, a commonly applied biomanipulation approach. Full article
(This article belongs to the Section Biodiversity and Functionality of Aquatic Ecosystems)
Show Figures

Figure 1

19 pages, 2648 KB  
Article
Connection Between the Microbial Community and the Management Zones Used in Precision Agriculture Cultivation
by Mátyás Cserháti, Dalma Márton, Ádám Csorba, Milán Farkas, Neveen Almalkawi, Ádám Hegyi, Balázs Kriszt and Tamás Szegi
Agriculture 2026, 16(2), 156; https://doi.org/10.3390/agriculture16020156 - 8 Jan 2026
Viewed by 151
Abstract
In precision agriculture, the delineation of Management Zones (MZs) is essential for optimizing input use efficiency and site-specific nutrient management. MZs are established based on spatial variability derived from remote sensing data—such as Normalized Difference Vegetation Index (NDVI) from satellite or UAV-based imagery—and [...] Read more.
In precision agriculture, the delineation of Management Zones (MZs) is essential for optimizing input use efficiency and site-specific nutrient management. MZs are established based on spatial variability derived from remote sensing data—such as Normalized Difference Vegetation Index (NDVI) from satellite or UAV-based imagery—and yield maps collected during harvest. However, the microbial community composition of the soil is often overlooked in MZ delineation. To address this gap, we investigated the soil bacterial community structure across different MZs in an arable field. The zones were delineated using NDVI data, soil profiles were described, and bulk soil samples were collected. Soil physicochemical parameters were analyzed in parallel with 16S rRNA gene amplicon sequencing to characterize bacterial community composition and diversity. The results demonstrated that soil texture and soil organic matter content were the primary drivers influencing bacterial community structure across the field. Moreover, patterns in microbial composition aligned closely with MZ delineations, indicating that microbial profiles could aid in better understanding and supporting the nutrient management practices. Our findings suggest that soil microbiological data can enhance the stability and biological relevance of MZ definitions, thereby improving resource allocation, soil health management, and overall sustainability in precision farming systems. Full article
(This article belongs to the Section Artificial Intelligence and Digital Agriculture)
Show Figures

Figure 1

17 pages, 2498 KB  
Article
Construction and Functional Validation of a Cross-Niche Multifunctional Microbial Consortium for Straw-Returning Agricultural Systems
by Shu Jia, Hang Qu, Bo Li, Jin Chu, Yinghua Juan, Yuehua Xing, Yan Liu, Hongjing Bao and Wentao Sun
Microorganisms 2026, 14(1), 135; https://doi.org/10.3390/microorganisms14010135 - 7 Jan 2026
Viewed by 197
Abstract
Straw returning, a core practice in conservation tillage, promotes sustainable intensification; however, it faces challenges such as inefficient decomposition, nutrient competition, and pathogen accumulation. To address these limitations, this study aimed to develop a multifunctional microbial consortium specifically designed for straw-incorporating cropping systems. [...] Read more.
Straw returning, a core practice in conservation tillage, promotes sustainable intensification; however, it faces challenges such as inefficient decomposition, nutrient competition, and pathogen accumulation. To address these limitations, this study aimed to develop a multifunctional microbial consortium specifically designed for straw-incorporating cropping systems. The consortium comprises four Bacillus strains with complementary enzymatic systems, isolated from diverse ecological niches. It exhibited robust lignocellulolytic enzyme production, with manganese peroxidase (7709.33 U/L), laccase (450.65 U/L), endo-β-1,4-glucanase (154.67 U/mL), and filter paper activity (309.18 U/L). The consortium significantly enhanced rice straw degradation by 37.18% and increased nitrogen (N) release by 16.13% compared to the control. Moreover, the consortium exhibited a 67.56% inhibition rate against Magnaporthe oryzae and reduced both the incidence rate and disease index of leaf blast and panicle blast. Field trials revealed increases in the rice grain yield of 9.63% and 6.94% when applied alone and 6.75% and 5.18% when co-applied with straw residues. These findings highlight the multifunctional agricultural potential of the consortium and provide a sustainable strategy to overcome the limitations of straw-incorporating farming systems. Full article
Show Figures

Graphical abstract

16 pages, 2874 KB  
Article
Spatio-Temporal Variation in Water Quality in Urban Lakes and Land Use Driving Impact: A Case Study of Wuhan
by Yanfeng He, Hui Zhang, Qiang Chen and Xiang Zhang
Water 2026, 18(2), 153; https://doi.org/10.3390/w18020153 - 7 Jan 2026
Viewed by 144
Abstract
Urban lakes, as critical components of urban ecosystems, provide essential ecological services but face water quality deterioration due to rapid urbanization and associated land use changes. This study investigated the temporal and spatial characteristics and evolution mechanisms of water quality in Wuhan city [...] Read more.
Urban lakes, as critical components of urban ecosystems, provide essential ecological services but face water quality deterioration due to rapid urbanization and associated land use changes. This study investigated the temporal and spatial characteristics and evolution mechanisms of water quality in Wuhan city lakes, with a focus on the Great East Lake basin (GELB), a typical urban lake cluster in the middle Yangtze River basin. By integrating monthly water quality monitoring data (2017–2023) with high-resolution land use data (2020), we employed the Water Quality Index (WQI), Spearman correlation analysis, and Redundancy Analysis (RDA) to assess water quality and the impact of land use on major pollutants. The results revealed significant spatial heterogeneity: Sha Lake (SL) exhibited the best water quality, while Yangchun Lake (YCL) and North Lake (NL) showed the worst conditions. Seasonal variations in water quality were observed, influenced by the ecological functions of lakes and surrounding land use. Notably, understanding these seasonal dynamics provides insights into nutrient cycle operations and their effective management under varying climatic conditions. In addition, the correlation between chlorophyll-a concentration and nutrient elements in urban lakes was not consistent, with some lakes showing significant negative correlations. The water quality of urban lakes is influenced by both land use and human management. Land use analysis indicated high impervious surfaces in East Lake (EL), SL, and YCL exacerbated runoff-driven nutrient loads, the nitrogen elevation from agricultural runoff of Yan East Lake (YEL) and NL’s pollution from historical industrial discharge. This study highlights the urgent need for targeted water management strategies to mitigate the impact of urbanization on water quality and provide a scientific basis for effective governance and ecological restoration in rapidly urbanizing areas around the world. By adopting an integrated approach combining water quality assessments with land use data, this research offers valuable insights for sustainable urban lake management. Full article
(This article belongs to the Section Water Quality and Contamination)
Show Figures

Figure 1

Back to TopTop