Exploratory Study of Soft Drink Intake, Diet, and Body Size Among Employees at a Japanese University Aged 20–39
Abstract
1. Introduction
2. Materials and Methods
2.1. Study Design
2.2. Brief-Type Self-Administered Diet History Questionnaire (BDHQ)
2.3. Brief Beverage Intake Questionnaire-15 (BEVQ-15)
- (1)
- The total SSB caloric content was calculated from sweetened juice drinks, regular soft drinks, sweet tea, and energy drinks (coffee/tea was also included if consumed with sugar and/or a sweetened creamer).
- (2)
- Total milk calories were calculated from whole milk, reduced fat milk, chocolate milk, low fat, fat free/skim, buttermilk or soy milk, and nut milk.
- (3)
- The total alcohol caloric content was calculated from wine, hard liquor, beer, eggs, wine coolers, and nonalcoholic or light beer.
- (4)
- For Nut Milks, if Flavored, original, or plain is selected, 9.8 is used as the value for “avg kcal.” If unsweetened, 4.2 is used as the value for “avg kcal.” For Tea or Coffee categories, SUM is used for those preferences selected, and the value for “avg kcal” is used.
2.4. Measurement of Body Size and Grip Strength
2.5. Statistical Analysis
2.5.1. Outcome Variables and Explanatory Variables
- Drink (Alc): alcohol beverages
- Drink (milk): milk beverages
- Drink (sugar): SSB
- Drink (total): total beverage intake
2.5.2. Adjustment of the Models
- Model 1: Age + sex
- Model 2: Age + sex + total energy intake
2.5.3. Linear Regression (OLS)
2.5.4. Quantile Regression (QR, τ = 0.5)
2.5.5. Generalized Additive Model (GAM)
2.5.6. Integration and Visualization of the Results
3. Results
3.1. Baseline Characteristics of the Participants
3.2. The Correlations Between Beverage-Derived Energy and Total Beverage Intake (Drink (Total)), Sugar-Sweetened Beverages, Milk-Containing Beverages, or Alcoholic Beverages
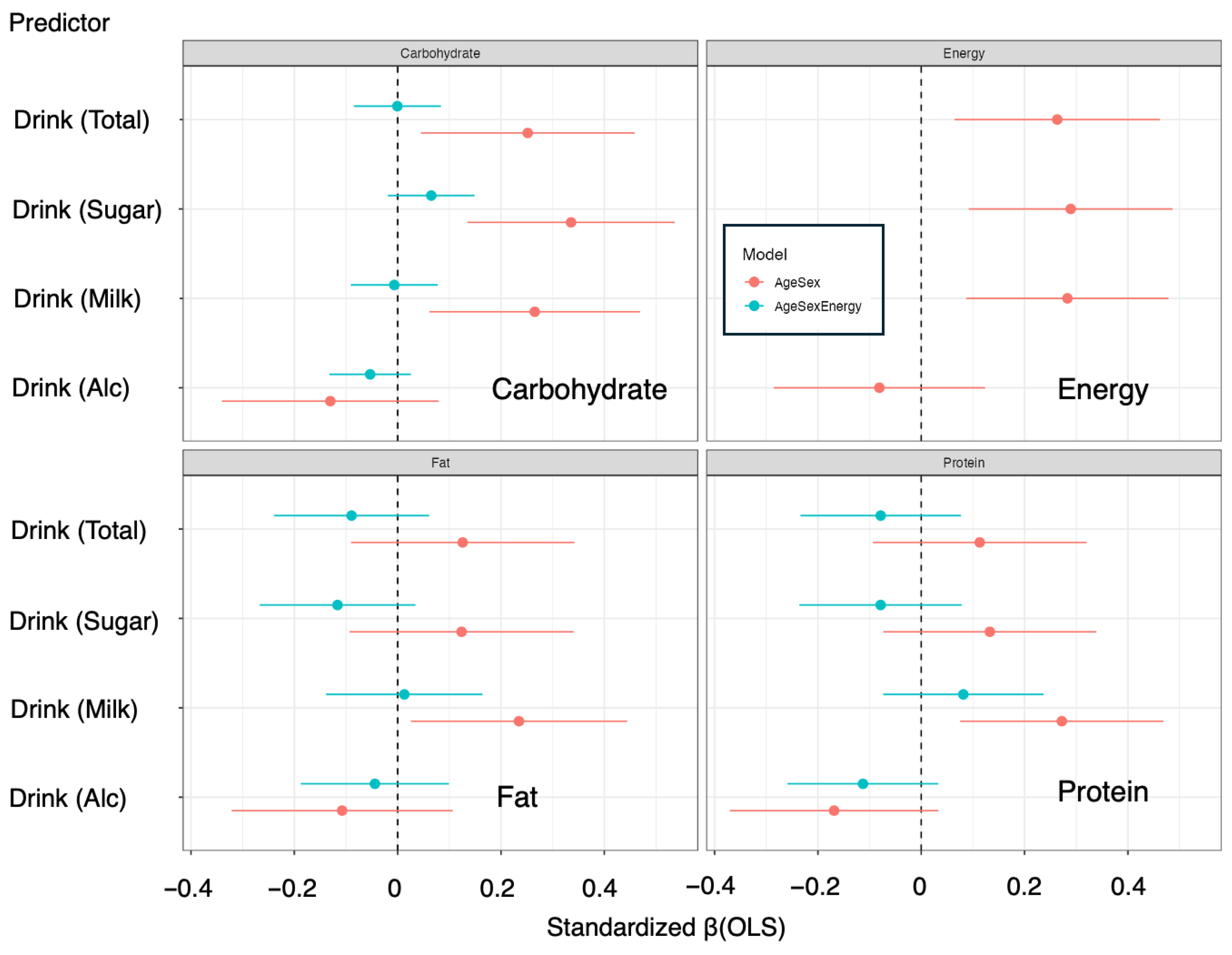
3.3. Associations of Beverage Intake with Energy and Nutrient Intake
3.4. Associations of Beverage Intake with Body Size
4. Discussion
5. Conclusions
Author Contributions
Funding
Institutional Review Board Statement
Informed Consent Statement
Data Availability Statement
Acknowledgments
Conflicts of Interest
Abbreviations
| BDHQ | Brief-Type Self-Administered Diet History Questionnaire |
| BEVQ-15 | Beverage Intake Questionnaire-15 |
| OLS | Ordinary least squares |
| QR | Quantile regression |
| GAM | Generalized Additive Model |
| SSB | Sugar-sweetened beverage |
References
- Kanazawa, M.; Yoshiike, N.; Osaka, T.; Numba, Y.; Zimmet, P.; Inoue, S. Criteria and classification of obesity in Japan and Asia-Oceania. World Rev. Nutr. Diet. 2005, 94, 1–12. [Google Scholar] [CrossRef] [PubMed]
- Ministry of Health, Labor and Welfare. The National Health and Nutrition Survey in Japan, 2023. Available online: https://www.mhlw.go.jp/stf/seisakunitsuite/bunya/kenkou_iryou/kenkou/eiyou/r5-houkoku_00001.html (accessed on 16 December 2025).
- Asahara, S.-I.; Miura, H.; Ogawa, W.; Tamori, Y. Sex difference in the association of obesity with personal or social background among urban residents in Japan. PLoS ONE 2020, 15, e0242105. [Google Scholar] [CrossRef]
- Masood, B.; Moorthy, M. Causes of obesity: A review. Clin. Med. 2023, 23, 284–291. [Google Scholar] [CrossRef]
- Malik, V.S.; Popkin, B.M.; Bray, G.A.; Després, J.-P.; Willett, W.C.; Hu, F.B. Sugar-sweetened beverages and risk of metabolic syndrome and type 2 diabetes: A meta-analysis. Diabetes Care 2010, 33, 2477–2483. [Google Scholar] [CrossRef]
- Santos, L.P.; Gigante, D.P.; Delpino, F.M.; Maciel, A.P.; Bielemann, R.M. Sugar sweetened beverages intake and risk of obesity and cardiometabolic diseases in longitudinal studies: A systematic review and meta-analysis with 1.5 million individuals. Clin. Nutr. ESPEN 2022, 51, 128–142. [Google Scholar] [CrossRef]
- Malik, V.S.; Hu, F.B. The role of sugar-sweetened beverages in the global epidemics of obesity and chronic diseases. Nat. Rev. Endocrinol. 2022, 18, 205–218. [Google Scholar] [CrossRef]
- Sakurai, M.; Nakamura, K.; Miura, K.; Takamura, T.; Yoshita, K.; Nagasawa, S.Y.; Morikawa, Y.; Ishizaki, M.; Kido, T.; Naruse, Y.; et al. Sugar-sweetened beverage and diet soda consumption and the 7-year risk for type 2 diabetes mellitus in middle-aged Japanese men. Eur. J. Nutr. 2014, 53, 251–258. [Google Scholar] [CrossRef]
- Granic, A.; Cooper, R.; Dodds, R.M.; Hillman, S.J.; Sayer, A.A.; Robinson, S.M. Milk intake across adulthood and muscle strength decline from mid- to late life: The MRC National Survey of Health and Development. Br. J. Nutr. 2023, 129, 820–831. [Google Scholar] [CrossRef]
- Wu, H.; Chen, M.; Wang, X.; Qi, C.; Gu, Y.; Meng, G.; Zhang, Q.; Liu, L.; Wang, X.; Sun, S.; et al. Dairy products consumption was positively associated with muscle strength in middle aged and older adults: Findings from the Tianjin Chronic Low-grade Systemic Inflammation and Health study. Nutr. Res. 2025, 143, 130–138. [Google Scholar] [CrossRef] [PubMed]
- Hasegawa, M.; Akter, S.; Hu, H.; Kashino, I.; Kuwahara, K.; Okazaki, H.; Sasaki, N.; Ogasawara, T.; Eguchi, M.; Kochi, T.; et al. Five-year cumulative incidence of overweight and obesity, and longitudinal change in body mass index in Japanese workers: The Japan Epidemiology Collaboration on Occupational Health Study. J. Occup. Health 2020, 62, e12095. [Google Scholar] [CrossRef] [PubMed]
- Hedrick, V.E.; Savla, J.; Comber, D.L.; Flack, K.D.; Estabrooks, P.A.; Nsiah-Kumi, P.A.; Ortmeier, S.; Davy, B.M. Development of a brief questionnaire to assess habitual beverage intake (BEVQ-15): Sugar-sweetened beverages and total beverage energy intake. J. Acad. Nutr. Diet. 2012, 112, 840–849. [Google Scholar] [CrossRef]
- Fausnacht, A.G.; Myers, E.A.; Hess, E.L.; Davy, B.M.; Hedrick, V.E. Update of the BEVQ-15, a beverage intake questionnaire for habitual beverage intake for adults: Determining comparative validity and reproducibility. J. Hum. Nutr. Diet. 2020, 33, 729–737. [Google Scholar] [CrossRef]
- Kobayashi, S.; Honda, S.; Murakami, K.; Sasaki, S.; Okubo, H.; Hirota, N.; Notsu, A.; Fukui, M.; Date, C. Both comprehensive and brief self-administered diet history questionnaires satisfactorily rank nutrient intakes in Japanese adults. J. Epidemiol. 2012, 22, 151–159. [Google Scholar] [CrossRef]
- Kobayashi, S.; Murakami, K.; Sasaki, S.; Okubo, H.; Hirota, N.; Notsu, A.; Fukui, M.; Date, C. Comparison of relative validity of food group intakes estimated by comprehensive and brief-type self-administered diet history questionnaires against 16 d dietary records in Japanese adults. Public. Health Nutr. 2011, 14, 1200–1211. [Google Scholar] [CrossRef]
- Iizuka, K.; Sato, H.; Kobae, K.; Yanagi, K.; Yamada, Y.; Ushiroda, C.; Hirano, K.; Ichimaru, S.; Seino, Y.; Ito, A.; et al. Young Japanese underweight women with “Cinderella weight” are prone to malnutrition, including vitamin deficiencies. Nutrients 2023, 15, 2216. [Google Scholar] [CrossRef]
- R Core Team. R: A Language and Environment for Statistical Computing; R Foundation for Statistical Computing: Vienna, Austria, 2026; Available online: www.r-project.org (accessed on 10 January 2026).
- Malik, V.S.; Pan, A.; Willett, W.C.; Hu, F.B. Sugar-sweetened beverages and weight gain in children and adults: A systematic review and meta-analysis. Am. J. Clin. Nutr. 2013, 98, 1084–1102. [Google Scholar] [CrossRef] [PubMed]
- Fujiwara, A.; Okada, E.; Okada, C.; Matsumoto, M.; Takimoto, H. Association of free sugars intake with cardiometabolic risk factors among Japanese adults: The 2016 National Health and Nutrition Survey, Japan. Nutrients 2020, 12, 3624. [Google Scholar] [CrossRef] [PubMed]
- Kusakabe, T.; Arai, H.; Yamamoto, Y.; Nakao, K.; Akamatsu, Y.; Ishihara, Y.; Tagami, T.; Yasoda, A.; Satoh-Asahara, N. Cross-sectional association of skeletal muscle mass and strength with dietary habits and physical activity among first-year university students in Japan: Results from the KEIJI-U study. Nutrition 2024, 118, 112265. [Google Scholar] [CrossRef] [PubMed]
- Zhang, Y.; Xu, P.; Song, Y.; Ma, N.; Lu, J. Association between sugar-sweetened beverage consumption frequency and muscle strength: Results from a sample of Chinese adolescents. BMC Public Health 2023, 23, 1010. [Google Scholar] [CrossRef]
- Vazquez, J.A.; Kazi, U.; Madani, N. Protein metabolism during weight reduction with very-low-energy diets: Evaluation of the independent effects of protein and carbohydrate on protein sparing. Am. J. Clin. Nutr. 1995, 62, 93–103. [Google Scholar] [CrossRef] [PubMed]
- Hoteit, M.; Dagher, M.; Tzenios, N.; Al Kaaki, N.; Rkein, G.; Chahine, A.R.; Sacre, Y.; Hotayt, S.; Matar, R.; Hallal, M.; et al. Influence of Sugar-Sweetened Beverages Intake on Sarcopenic Obesity, Visceral Obesity, and Sarcopenia in Lebanese Patients with MASLD: A Case-Control Study. Healthcare 2024, 12, 591. [Google Scholar] [CrossRef] [PubMed] [PubMed Central]
- Bragança, M.L.B.M.; Coelho, C.C.N.D.S.; Oliveira, B.R.; Bogea, E.G.; Confortin, S.C.; Silva, A.A.M.D. The Frequency of Daily Consumption of Sugar-Sweetened Beverages Is Associated with Reduced Muscle Mass Index in Adolescents. Nutrients 2022, 14, 4917. [Google Scholar] [CrossRef] [PubMed] [PubMed Central]
- World Cancer Research Fund International. Limit Sugar Sweetened Drink. Available online: https://www.wcrf.org/research-policy/evidence-for-our-recommendations/limit-sugar-sweetened-drinks/ (accessed on 10 January 2026).
- Willett, W.C.; Howe, G.R.; Kushi, L.H. Adjustment for total energy intake in epidemiologic studies. Am. J. Clin. Nutr. 1997, 65, 1220S–1228S. [Google Scholar] [CrossRef]
- Tomova, G.D.; Arnold, K.F.; Gilthorpe, M.S.; Tennant, P.W.G. Adjustment for energy intake in nutritional research: A causal inference perspective. Am. J. Clin. Nutr. 2022, 115, 189–198. [Google Scholar] [CrossRef] [PubMed] [PubMed Central]
- Buja, A.; Grotto, G.; Montecchio, L.; De Battisti, E.; Sperotto, M.; Bertoncello, C.; Cocchio, S.; Baldovin, T.; Baldo, V. Association between health literacy and dietary intake of sugar, fat and salt: A systematic review. Public Health Nutr. 2021, 24, 2085–2097. [Google Scholar] [CrossRef] [PubMed]
- Zoellner, J.; You, W.; Connell, C.; Smith-Ray, R.L.; Allen, K.; Tucker, K.L.; Davy, B.M.; Estabrooks, P. Health literacy is associated with healthy eating index scores and sugar-sweetened beverage intake: Findings from the rural Lower Mississippi Delta. J. Am. Diet. Assoc. 2011, 111, 1012–1020. [Google Scholar] [CrossRef] [PubMed]
- Aguilar, M.A.D.; Tolabing, M.C.C. Association between Health Literacy and Sugar-sweetened Beverage Consumption among Filipinos. Acta Med. Philipp. 2025, 59, 52–59. [Google Scholar] [CrossRef] [PubMed] [PubMed Central]
- Hedrick, V.E.; Comber, D.L.; Estabrooks, P.A.; Savla, J.; Davy, B.M. The beverage intake questionnaire: Determining initial validity and reliability. J. Am. Diet. Assoc. 2010, 110, 1227–1232. [Google Scholar] [CrossRef]
- Hedrick, V.E.; Comber, D.L.; Ferguson, K.E.; Estabrooks, P.A.; Savla, J.; Dietrich, A.M.; Serrano, E.; Davy, B.M. A rapid beverage intake questionnaire can detect changes in beverage intake. Eat. Behav. 2013, 14, 90–94. [Google Scholar] [CrossRef]
- Arslan, S.; Keskin, S.; Hedrick, V.; Ayyıldız, F. Adaptation of the Beverage Intake Questionnaire-15 (BEVQ-15) into Turkish: Validity and reproducibility study. Nutr. J. 2025, 24, 152. [Google Scholar] [CrossRef]






| Variable | Male (Mean ± SD), n = 35 | Female (Mean ± SD), n = 41 | p Value | Effect Size |
|---|---|---|---|---|
| Age * | 29.97 ± 4.67 | 27.29 ± 4.53 | 0.011 | Cliff’s delta = 0.34 (95%CI 0.068–0.59) |
| BMI | 22.66 ± 2.78 | 21.56 ± 2.69 | 0.084 | Cohen’s d = 0.404 (95%CI −0.052–0.86) |
| %Body Fat | 21.54 ± 5.99 | 30.69 ± 6.07 | 0.00 | Cohen’s d = −1.517 (95%CI −2.03–−1.004) |
| SMI | 9.9 ± 0.96 | 8.01 ± 0.88 | 0.00 | Cohen’s d = 2.056 (95%CI 1.496–2.616) |
| Grip strength | 38.15 ± 7.92 | 24.15 ± 5.68 | 0.00 | Cohen’s d = 2.059 (95%CI 1.499–2.619) |
| Energy * | 1898.0 ± 539.68 | 1422.15 ± 431.29 | 0.00 | Cliff’s delta = 0.54 (95%CI 0.306–0.744) |
| Protein | 66.74 ± 18.86 | 49.8 ± 14.68 | 0.00 | Cohen’s d = 1.013 (95%CI 0.533–1.492) |
| Carbohydrate * | 271.05 ± 100.3 | 198.54 ± 71.52 | 0.00 | Cliff’s delta = 0.477 (95%CI 0.247–0.695) |
| Fat * | 53.75 ± 17.89 | 42.6 ± 12.97 | 0.0058 | Cliff’s delta = 0.37 (95%CI 0.112–0.61) |
| Drink (Total) * | 167.77 ± 235.53 | 106.8 ± 123.67 | 0.34 | Cliff’s delta = 0.128 (95%CI −0.134–0.392) |
| Drink (Alc) * | 35.16 ± 154.55 | 13.42 ± 36.86 | 0.53 | Cliff’s delta = −0.063 (95%CI −0.252–0.136) |
| Drink (Milk) * | 53.17 ± 130.03 | 31.91 ± 43.41 | 0.67 | Cliff’s delta = −0.055 (95%CI −0.31–0.194) |
| Drink (Sugar) * | 69.91 ± 100.12 | 53.38 ± 102.17 | 0.15 | Cliff’s delta = 0.19 (95%CI −0.071–0.437) |
| var1 | var2 | N | rho_ci_p |
|---|---|---|---|
| Drink (Alc) | Drink (Milk) | 76 | −0.21 (95%CI −0.40 to −0.02), p = 0.063 |
| Drink (Alc) | Drink (Sugar) | 76 | 0.06 (95%CI −0.16 to 0.28), p = 0.59 |
| Drink (Alc) | Drink(total) | 76 | 0.28 (95%CI 0.08 to 0.49), p = 0.013 |
| Drink (Milk) | Drink (Sugar) | 76 | 0.19 (95%CI −0.04 to 0.42), p = 0.097 |
| Drink (Milk) | Drink(total) | 76 | 0.50 (95%CI 0.29 to 0.68), p = 0.000 |
| Drink (Sugar) | Drink(total) | 76 | 0.74 (95%CI 0.57 to 0.86), p = 0.000 |
| Outcome | Predictor | Age + Sex | Age + Sex + Energy |
|---|---|---|---|
| Energy | Drink (total) | 0.263 [0.064 to 0.462], p(OLS) = 0.01, p(QR) = 0.01, p(GAM) = 0.01 | NA |
| Carbohydrate | Drink (total) | 0.252 [0.045 to 0.458], p(OLS) = 0.02, p(QR) = 0.01, p(GAM) = 0.02 | −0.001 [−0.085 to 0.084], p(OLS) = 0.99, p(QR) = 0.27, p(GAM) = 0.53 |
| Fat | Drink (total) | 0.126 [−0.090 to 0.342], p(OLS) = 0.26, p(QR) = 0.29, p(GAM) = 0.37 | −0.089 [−0.239 to 0.061], p(OLS) = 0.25, p(QR) ≤ 0.001, p(GAM) = 0.25 |
| Protein | Drink (total) | 0.113 [−0.094 to 0.320], p(OLS) = 0.29, p(QR) = 0.53, p(GAM) = 0.29 | −0.079 [−0.234 to 0.077], p(OLS) = 0.32, p(QR) = 0.06, p(GAM) = 0.45 |
| Energy | Drink (Sugar) | 0.289 [0.092 to 0.487], p(OLS) = 0.01, p(QR) = 0.00, p(GAM) = 0.01 | NA |
| Carbohydrate | Drink (Sugar) | 0.336 [0.135 to 0.536], p(OLS) = 0.00, p(QR) = 0.01, p(GAM) = 0.00 | 0.065 [−0.019 to 0.149], p(OLS) = 0.13, p(QR) = 0.12, p(GAM) = 0.13 |
| Fat | Drink (Sugar) | 0.124 [−0.093 to 0.340], p(OLS) = 0.27, p(QR) = 0.08, p(GAM) = 0.27 | −0.116 [−0.267 to 0.034], p(OLS) = 0.13, p(QR) = 0.20, p(GAM) = 0.19 |
| Protein | Drink (Sugar) | 0.133 [−0.074 to 0.339], p(OLS) = 0.21, p(QR) = 0.17, p(GAM) = 0.21 | −0.079 [−0.236 to 0.078], p(OLS) = 0.33, p(QR) = 0.85, p(GAM) = 0.41 |
| Energy | Drink (Milk) | 0.283 [0.087 to 0.479], p(OLS) = 0.01, p(QR) = 0.33, p(GAM) = 0.01 | NA |
| Carbohydrate | Drink (Milk) | 0.265 [0.061 to 0.469], p(OLS) = 0.01, p(QR) = 0.00, p(GAM) = 0.01 | −0.007 [−0.091 to 0.078], p(OLS) = 0.88, p(QR) = 0.32, p(GAM) = 0.00 |
| Fat | Drink (Milk) | 0.235 [0.025 to 0.444], p(OLS) = 0.03, p(QR) = 0.53, p(GAM) = 0.05 | 0.013 [−0.139 to 0.164], p(OLS) = 0.87, p(QR) = 0.11, p(GAM) = 0.00 |
| Protein | Drink (Milk) | 0.272 [0.075 to 0.469], p(OLS) = 0.01, p(QR) = 0.69, p(GAM) = 0.01 | 0.081 [−0.074 to 0.237], p(OLS) = 0.31, p(QR) = 0.72, p(GAM) = 0.00 |
| Energy | Drink (Alc) | −0.081 [−0.285 to 0.124], p(OLS) = 0.44, p(QR) = 0.88, p(GAM) = 0.44 | NA |
| Carbohydrate | Drink (Alc) | −0.130 [−0.340 to 0.079], p(OLS) = 0.23, p(QR) = 0.92, p(GAM) = 0.23 | −0.053 [−0.132 to 0.026], p(OLS) = 0.19, p(QR) = 0.90, p(GAM) = 0.16 |
| Fat | Drink (Alc) | −0.108 [−0.321 to 0.106], p(OLS) = 0.33, p(QR) = 0.81, p(GAM) = 0.43 | −0.044 [−0.187 to 0.099], p(OLS) = 0.55, p(QR) = 0.91, p(GAM) = 0.55 |
| Protein | Drink (Alc) | −0.169 [−0.371 to 0.033], p(OLS) = 0.11, p(QR) = 0.80, p(GAM) = 0.11 | −0.113 [−0.259 to 0.033], p(OLS) = 0.13, p(QR) = 0.88, p(GAM) = 0.13 |
| Outcome | Predictor | Age + Sex | Age + Sex + Energy |
|---|---|---|---|
| BMI | Drink(total) | 0.233 [0.008 to 0.457], p(OLS) = 0.05, p(QR) = 0.71, p(GAM) = 0.09 | 0.253 [0.018 to 0.489], p(OLS) = 0.04, p(QR) = 0.71, p(GAM) = 0.08 |
| BF | Drink(total) | −0.025 [−0.211 to 0.161], p(OLS) = 0.79, p(QR) = 0.80, p(GAM) = 0.79 | 0.012 [−0.182 to 0.206], p(OLS) = 0.90, p(QR) = 0.45, p(GAM) = 0.91 |
| SMI | Drink(total) | 0.263 [0.112 to 0.415], p(OLS) = 0.00, p(QR) = 0.04, p(GAM) = 0.00 | 0.243 [0.085 to 0.402], p(OLS) = 0.00, p(QR) = 0.03, p(GAM) = 0.00 |
| Grip strength | Drink(total) | 0.032 [−0.131 to 0.195], p(OLS) = 0.70, p(QR) = 0.72, p(GAM) = 0.70 | 0.028 [−0.143 to 0.200], p(OLS) = 0.75, p(QR) = 0.80, p(GAM) = 0.75 |
| BMI | Drink (Sugar) | 0.314 [0.094 to 0.533], p(OLS) = 0.01, p(QR) = 0.21, p(GAM) = 0.01 | 0.348 [0.117 to 0.580], p(OLS) = 0.00, p(QR) = 0.23, p(GAM) = 0.00 |
| BF | Drink (Sugar) | 0.057 [−0.130 to 0.243], p(OLS) = 0.55, p(QR) = 0.72, p(GAM) = 0.42 | 0.107 [−0.087 to 0.302], p(OLS) = 0.28, p(QR) = 0.80, p(GAM) = 0.30 |
| SMI | Drink (Sugar) | 0.231 [0.076 to 0.385], p(OLS) = 0.00, p(QR) = 0.19, p(GAM) = 0.01 | 0.207 [0.043 to 0.370], p(OLS) = 0.02, p(QR) = 0.11, p(GAM) = 0.02 |
| Grip strength | Drink (Sugar) | 0.017 [−0.146 to 0.180], p(OLS) = 0.84, p(QR) = 0.67, p(GAM) = 0.84 | 0.011 [−0.162 to 0.185], p(OLS) = 0.90, p(QR) = 1.00, p(GAM) = 0.90 |
| BMI | Drink (Milk) | 0.093 [−0.134 to 0.321], p(OLS) = 0.42, p(QR) = 0.63, p(GAM) = 0.42 | 0.103 [−0.139 to 0.344], p(OLS) = 0.41, p(QR) = 0.54, p(GAM) = 0.41 |
| BF | Drink (Milk) | −0.088 [−0.272 to 0.095], p(OLS) = 0.35, p(QR) = 0.69, p(GAM) = 0.35 | −0.055 [−0.249 to 0.138], p(OLS) = 0.58, p(QR) = 0.76, p(GAM) = 0.66 |
| SMI | Drink (Milk) | 0.209 [0.055 to 0.363], p(OLS) = 0.01, p(QR) = 0.27, p(GAM) = 0.01 | 0.183 [0.020 to 0.346], p(OLS) = 0.03, p(QR) = 0.39, p(GAM) = 0.03 |
| Grip strength | Drink (Milk) | 0.127 [−0.032 to 0.286], p(OLS) = 0.12, p(QR) = 0.68, p(GAM) = 0.12 | 0.134 [−0.035 to 0.302], p(OLS) = 0.12, p(QR) = 0.65, p(GAM) = 0.12 |
| BMI | Drink (Alc) | 0.005 [−0.223 to 0.233], p(OLS) = 0.97, p(QR) = 1.00, p(GAM) = 0.97 | 0.005 [−0.225 to 0.236], p(OLS) = 0.96, p(QR) = 1.00, p(GAM) = 0.96 |
| BF | Drink (Alc) | −0.008 [−0.192 to 0.176], p(OLS) = 0.93, p(QR) = 0.99, p(GAM) = 0.94 | −0.019 [−0.203 to 0.165], p(OLS) = 0.84, p(QR) = 0.95, p(GAM) = 0.84 |
| SMI | Drink (Alc) | 0.022 [−0.139 to 0.183], p(OLS) = 0.79, p(QR) = 0.98, p(GAM) = 0.79 | 0.035 [−0.125 to 0.194], p(OLS) = 0.67, p(QR) = 0.30, p(GAM) = 0.67 |
| Grip strength | Drink (Alc) | −0.103 [−0.262 to 0.056], p(OLS) = 0.21, p(QR) = 0.00, p(GAM) = 0.21 | −0.102 [−0.263 to 0.059], p(OLS) = 0.22, p(QR) = 0.84, p(GAM) = 0.22 |
Disclaimer/Publisher’s Note: The statements, opinions and data contained in all publications are solely those of the individual author(s) and contributor(s) and not of MDPI and/or the editor(s). MDPI and/or the editor(s) disclaim responsibility for any injury to people or property resulting from any ideas, methods, instructions or products referred to in the content. |
© 2026 by the authors. Licensee MDPI, Basel, Switzerland. This article is an open access article distributed under the terms and conditions of the Creative Commons Attribution (CC BY) license.
Share and Cite
Ito, M.; Deguchi, K.; Kaito, K.; Yamamoto-Wada, R.; Ushiroda, C.; Naruse, H.; Iizuka, K. Exploratory Study of Soft Drink Intake, Diet, and Body Size Among Employees at a Japanese University Aged 20–39. Nutrients 2026, 18, 292. https://doi.org/10.3390/nu18020292
Ito M, Deguchi K, Kaito K, Yamamoto-Wada R, Ushiroda C, Naruse H, Iizuka K. Exploratory Study of Soft Drink Intake, Diet, and Body Size Among Employees at a Japanese University Aged 20–39. Nutrients. 2026; 18(2):292. https://doi.org/10.3390/nu18020292
Chicago/Turabian StyleIto, Mioko, Kanako Deguchi, Kiyomi Kaito, Risako Yamamoto-Wada, Chihiro Ushiroda, Hiroyuki Naruse, and Katsumi Iizuka. 2026. "Exploratory Study of Soft Drink Intake, Diet, and Body Size Among Employees at a Japanese University Aged 20–39" Nutrients 18, no. 2: 292. https://doi.org/10.3390/nu18020292
APA StyleIto, M., Deguchi, K., Kaito, K., Yamamoto-Wada, R., Ushiroda, C., Naruse, H., & Iizuka, K. (2026). Exploratory Study of Soft Drink Intake, Diet, and Body Size Among Employees at a Japanese University Aged 20–39. Nutrients, 18(2), 292. https://doi.org/10.3390/nu18020292

