Construction and Functional Validation of a Cross-Niche Multifunctional Microbial Consortium for Straw-Returning Agricultural Systems
Abstract
1. Introduction
2. Materials and Methods
2.1. Strains, Variety, and Experimental Site Description
2.2. Screening of Straw Degradation Strains
2.3. Screening of Antagonistic Strains Against Rice Pathogens
2.4. Inter-Strain Antagonism Assessment
2.5. Construction of the Multifunctional Microbial Consortium
2.6. Identification of Strains
2.7. Pathogen Inhibition Test of the Microbial Consortium
2.8. Functional Evaluation of the Microbial Consortium for Straw Degradation and Yield Enhancement
3. Results
3.1. Screening of Multifunctional Strains
3.2. Inter-Strain Antagonism Assessment
3.3. Construction of a Multifunctional Microbial Consortium
3.4. Identification of Strains
3.5. Pathogen Inhibition by the Microbial Consortium Against M. oryzae
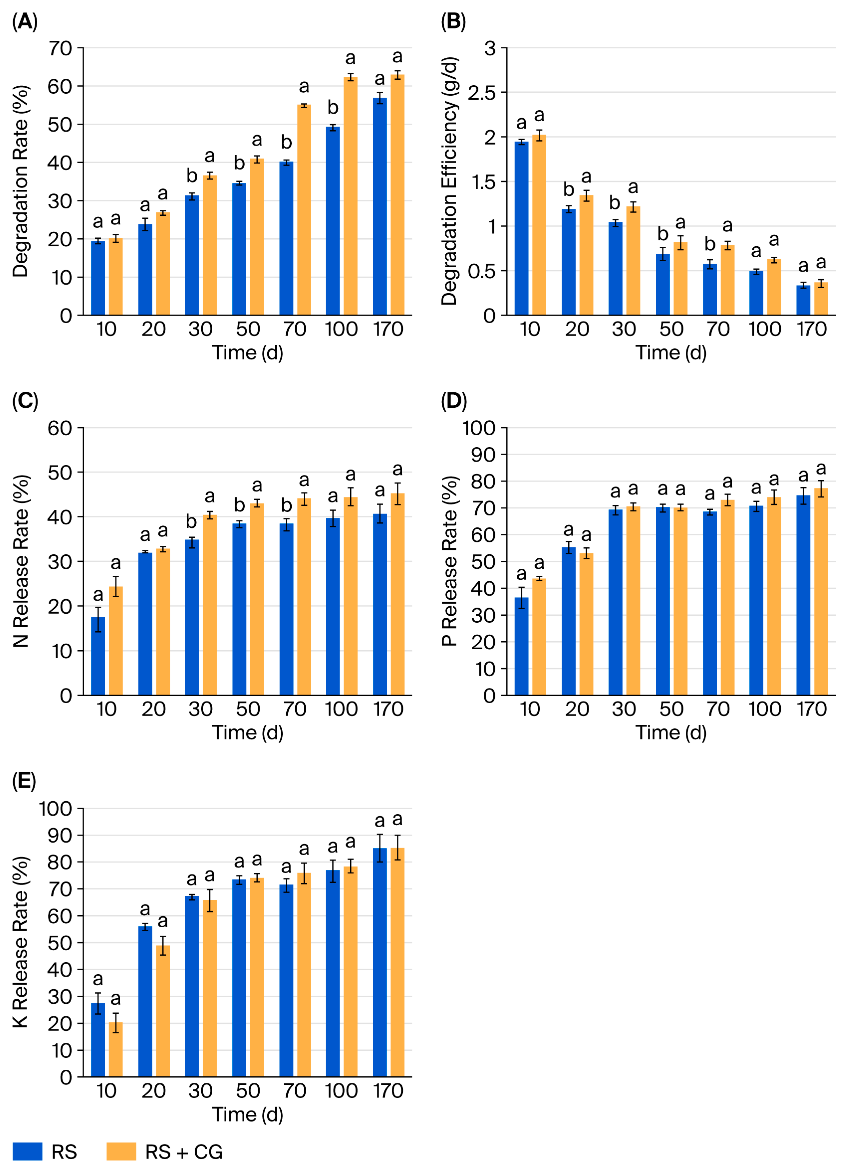
3.6. Straw Decomposition by the Microbial Consortium
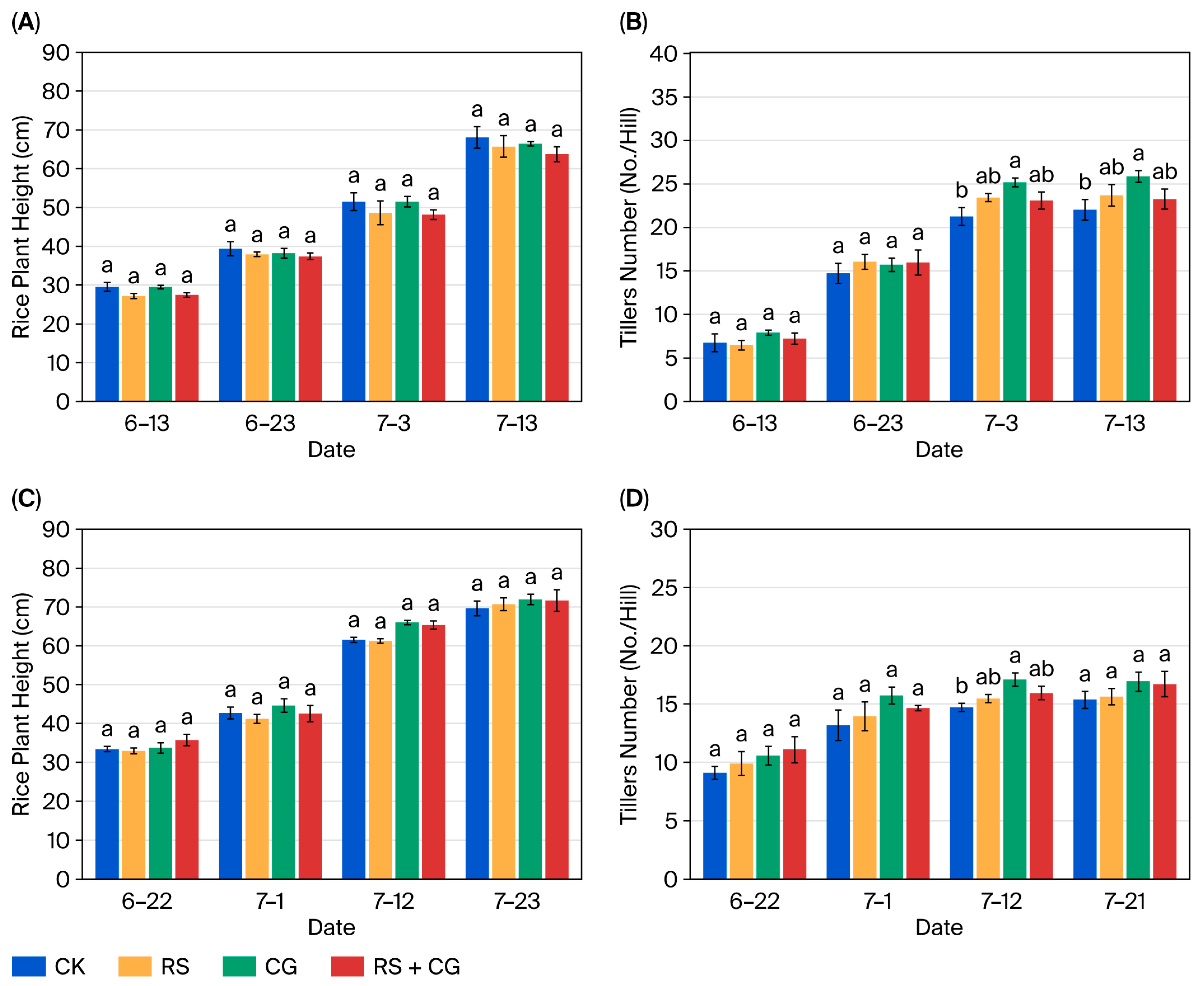
3.7. Crop Yield Promotion by the Microbial Consortium
4. Discussion
4.1. Construction of a Multifunctional Microbial Consortium
4.2. Functional Validation of a Multifunctional Microbial Consortium
5. Conclusions
Supplementary Materials
Author Contributions
Funding
Institutional Review Board Statement
Informed Consent Statement
Data Availability Statement
Conflicts of Interest
References
- Huang, W.; Wu, J.F.; Pan, X.H.; Tan, X.M.; Zeng, Y.J.; Shi, Q.H.; Liu, T.J.; Zeng, Y.H. Effects of long-term straw return on soil organic carbon fractions and enzyme activities in a double-cropped rice paddy in South China. J. Integr. Agric. 2021, 20, 236–247. [Google Scholar] [CrossRef]
- Liu, D.T.; Song, C.; Xin, Z.H.; Fang, C.; Liu, Z.H.; Xu, Y.P. Agricultural management strategies for balancing yield increase, carbon sequestration, and emission reduction after straw return for three major grain crops in China: A meta-analysis. J. Environ. Manag. 2023, 340, 117965. [Google Scholar] [CrossRef]
- Zhou, G.P.; Fan, K.K.; Gao, S.J.; Chang, D.; Li, G.L.; Liang, T.; Liang, H.; Li, S.; Che, Z. Green manuring relocates microbiomes in driving the soil functionality of nitrogen cycling to obtain preferable grain yields in thirty years. Sci. China Life Sci. 2024, 67, 596–610. [Google Scholar] [CrossRef]
- Li, C.L.; Wang, Q.; Shao, S.Z.; Chen, Z.M.; Nie, J.; Liu, Z.; Rogers, K.M.; Yuan, Y.W. Stable isotope effects of biogas slurry applied as an organic fertilizer to rice, straw, and soil. J. Agric. Food Chem. 2021, 69, 8090–8097. [Google Scholar] [CrossRef] [PubMed]
- Kerdraon, L.; Laval, V.; Suffert, F. Microbiomes and Pathogen Survival in Crop Residues, an Ecotone Between Plant and Soil. Phytobiomes J. 2019, 3, 246–255. [Google Scholar] [CrossRef]
- Jia, S.; Li, Y.D.; Qu, H.; Li, B.; Juan, Y.H.; Xing, Y.H.; Liu, Y.; Bao, H.J.; Sun, W.T. Straw retention drives microbial community succession to improve soil C/N cycling: Insights from a multi-year rice-based System. Front. Microbiol. 2025, 16, 1590788. [Google Scholar] [CrossRef] [PubMed]
- Wang, H.H.; Li, X.; Li, X.; Wang, J.; Li, X.Y.; Guo, Q.C.; Yu, Z.X.; Yang, T.T.; Zhang, H.W. Long-term no-tillage and different residue amounts alter soil microbial community composition and increase the risk of maize root rot in northeast China. Soil Till. Res. 2020, 196, 104452. [Google Scholar] [CrossRef]
- Che, S.H.; Xu, Y.F.; Qin, X.T.; Tian, S.Q.; Wang, J.N.; Zhou, X.Y.; Cao, Z.N.; Wang, D.C.; Wu, M.K.; Wu, Z.H.; et al. Building microbial consortia to enhance straw degradation, phosphorus solubilization, and soil fertility for rice growth. Microb. Cell Fact. 2024, 23, 232. [Google Scholar] [CrossRef]
- Liu, H.L.; Qi, Y.Q.; Wang, J.H.; Jiang, Y.; Geng, M.X. Synergistic effects of crop residue and microbial inoculant on soil properties and soil disease resistance in a Chinese Mollisol. Sci. Rep. 2021, 11, 24225. [Google Scholar] [CrossRef]
- Hossain, M.; Rion, M.; Das, P.; Rahman, A.; Quadir, Q. Plant Growth Promoting Rhizobacteria (PGPR) Increases Yield and Mineral Contents of Rice by Mobilizing Nutrients in the Rhizosphere. Res. Agric. Livest. Fish. 2023, 10, 73–81. [Google Scholar] [CrossRef]
- Gong, R.G.; Ye, X.Y.; Wang, S.H.; Ren, Z.J. Isolation, identification, and biological characteristics of Clostridium sartagoforme from rabbit. PLoS ONE 2021, 16, e0259715. [Google Scholar] [CrossRef]
- Atiwesh, G.; Parrish, C.C.; Banoub, J.; Le, T.A.T. Lignin degradation bymicroorganisms: A review. Biotechnol. Prog. 2022, 38, e3226. [Google Scholar] [CrossRef]
- Gao, X.Y.; Liu, W.Z.; Li, X.Q.; Zhang, W.Z.; Bu, S.L.; Wang, A.J. A novel fungal agent for straw returning to enhance straw decomposition and nutrients release. Environ. Technol. Innov. 2023, 30, 103064. [Google Scholar] [CrossRef]
- Zou, O.; Zhang, Y.M.; Niu, X.X.; Yang, H.M.; Chu, M.; Wang, N.; Bao, H.F.; Zhan, F.Q.; Yang, R.; Lou, K.; et al. Antifungal Activity of Rhizosphere Bacillus Isolated from Ziziphus jujuba Against Alternaria alternata. Microorganisms 2024, 12, 2189. [Google Scholar] [CrossRef] [PubMed]
- Yun, T.Y.; Zang, X.P.; Amjad, M.; Vafadar, F.; Zahoor Li, X.J.; He, Y.D.; Eissa MADing, Z.L.; Jing, T.; Ma, W.H.; Xie, J.H. Antifungal activity of Streptomyces lydicus 6G-OA-10 against Colletotrichum gloeosporioides: Implications for avocado anthracnose control. Hortic. Plant J. 2025; in press. [Google Scholar] [CrossRef]
- Thompson, J.D.; Gibson, T.J.; Plewniak, F.; Jeanmougin, F.; Higgins, D.G. The CLUSTAL_X windows interface: Flflexible strategies for multiple sequence alignment aided by quality analysis tools. Nucleic Acids Res. 1997, 25, 4876–4882. [Google Scholar] [CrossRef] [PubMed]
- Kim, J.; Rohlf, F.J.; Sokal, R.R. The accuracy of phylogenetic estimation using the neighbor-joining method. Evolution 1993, 47, 471–486. [Google Scholar] [CrossRef] [PubMed]
- Felsenstein, J. Confidence limits on phylogenies an approach using the bootstrap. Evolution 1985, 39, 783–791. [Google Scholar] [CrossRef]
- Tan, Y.P.; Deng, S.Q.; Qin, Y.H.; Xu, X.; Yu, Y.; Cui, L.; Wang, C.T.; Jiang, C.J.; Liu, X.Q. Evaluation of medicinal plant extracts for rice blast disease Control. Rice Sci. 2023, 1, 6–10. [Google Scholar] [CrossRef]
- Li, R.; Mian, Y.M.; Hou, X.Q.; Li, P.F.; Wang, X.N. Effects of nitrogen application on decomposition and nutrient release of returning straw, soil fertility, and maize yield. Acta Agron. Sin. 2023, 49, 2012–2022. [Google Scholar]
- Wang, Q.; Song, Q.L.; Feng, Y.J.; Sun, Y.; Zeng, X.N.; Lai, Y.C. Effect of nitrogen fertilizer application on decomposition of rice traw. Jiangsu Agric. Sci. 2017, 45, 197–201. [Google Scholar]
- Jia, S.; Song, C.; Dong, H.; Yang, X.J.; Li, X.H.; Ji, M.S.; Chu, J. Evaluation of efficacy and mechanism of Bacillus velezensis CB13 for controlling peanut stem rot caused by Sclerotium rolfsii. Front. Microbiol. 2023, 14, 1111965. [Google Scholar] [CrossRef]
- Zhang, X.J.; Zhou, X.R.; Sun, H.Y.; Meng, Y.N.; Zeng, F.L. Screening and identification of cellulose/lignin-degrading strains against plant pathogenic fungi. Microbiol. China 2023, 50, 251–261. [Google Scholar] [CrossRef]
- Wei, X.; Li, W.C.; Song, Z.; Wang, S.W.; Geng, S.J.; Jiang, H.; Wang, Z.H.; Tian, P.; Wu, Z.H.; Yang, M.Y. Straw Incorporation with Exogenous Degrading Bacteria (ZJW-6): An Integrated Greener Approach to Enhance Straw Degradation and Improve Rice Growth. Int. J. Mol. Sci. 2024, 25, 7835. [Google Scholar] [CrossRef] [PubMed]
- Chen, K.J.; Tang, J.C.; Xu, B.H.; Lan, S.L.; Cao, Y. Degradation enhancement of rice straw by co-culture of phanerochaete chrysosporium and trichoderma viride. Sci. Rep. 2019, 9, 19708. [Google Scholar] [CrossRef] [PubMed]
- Li, Z.W.; Tong, D.; Nie, X.D.; Xiao, H.B.; Jiao, P.P.; Jiang, J.Y.; Li, Q.; Liao, W.F. New insight into soil carbon fixation rate: The intensive co-occurrence network of autotrophic bacteria increases the carbon fixation rate in depositional sites. Agric. Ecosyst. Environ. 2021, 320, 107579. [Google Scholar] [CrossRef]
- Chu, J.; Yan, H.; Han, T.; Xu, H.; Yang, H.; Miu, J.K.; Bai, Y.J.; Dong, H.; Li, Z.Q. Control Effect of Biogas Slurry on Rice Blast and Screening, Identification of Endophytic Antagonistic Bacteria. Chin. J. Biol. Control 2022, 38, 1516–1525. [Google Scholar] [CrossRef]
- Ling, Y.; Li, W.J.; Li, F.F.; Xue, X.B.; Gao, Y.Y.; Wang, L.; Liang, K.; Li, X.J. Microbial gut diversity in four grasshopper species and its correlation with cellulose digestibility. Front. Microbiol. 2022, 13, 1002532. [Google Scholar] [CrossRef]
- Wang, Y.C.; Yang, X.D.; Lin, Y.P.; Cao, Y.; Chi, D.F. Studies on the degradation effect of corn straw by Asian corn borer larva (Ostrinia furnacalis) digestive enzymes combined with white rot fungus (Phanerochaetc chrysosporium). 3 Biotech 2023, 13, 298. [Google Scholar] [CrossRef]
- Mao, X.; Li, J.; Meng, E.; Jin, W.; Han, W. Responses of physiological, microbiome and lipid metabolism to lignocellulose wastes in gut of yellow mealworm (Tenebrio molitor). Bioresour. Technol. 2024, 401, 130731. [Google Scholar] [CrossRef]
- Wang, X.F.; Tian, X.R.; Liu, Z.; Liu, Z.H.; Shang, S.Y.; Li, H.F.; Qu, J.H.; Chen, P.X. Rearing of Black Soldier Fly Larvae with Corn Straw and the Assistance of Gut Microorganisms in Digesting Corn Straw. Insects 2024, 15, 734. [Google Scholar] [CrossRef] [PubMed]
- Li, W.J.; Li, F.F.; Bai, J.; Liang, K.; Li, K.; Qin, G.Q.; Zhang, Y.L.; Li, X.J. Isolation and characterization of intestinal bacteria associated with cellulose degradation in grasshoppers (Orthoptera). J. Insect Sci. 2023, 23, 7. [Google Scholar] [CrossRef]
- Vyasa, G.V.; Narasingappa, R.B.; Prakash, K.V.; Bhavani, P.; Gagandeep, K.R. Prospecting cellulolytic bacteria from white grubs (Holotrichia serrata (F.) and Leucopholis coneophora Burmeister) native to Karnataka region. BMC Microbiol. 2025, 25, 121. [Google Scholar] [CrossRef]
- Tsegaye, B.; Balomajumder, C.; Roy, P. Biodelignification and hydrolysis of rice straw by novel bacteria isolated from wood feeding termite. 3 Biotech 2018, 8, 447. [Google Scholar] [CrossRef]
- Sijinamanoj, V.; Muthukumar, T.; Muthuraja, R.; Rayappan, K.; Karmegam, N.; Saminathan, K.; Govarthanan, M.; Kathireswari, P. Ligninolytic valorization of agricultural residues by Aspergillus nomius and Trichoderma harzianum isolated from gut and comb of Odontotermes obesus (Termitidae). Chemosphere 2021, 284, 131384. [Google Scholar] [CrossRef]
- Ma, Y.Q.; Shen, Y.Q.; Liu, Y. State of the art of straw treatment technology: Challenges and solutions forward. Bioresour. Technol. 2020, 313, 123656. [Google Scholar] [CrossRef] [PubMed]
- Zhao, S.C.; Wang, H.R.; Wang, J.H. Synthesis and application of a compound microbial inoculant for effective soil remediation. Environ. Sci. Pollut. Res. 2023, 30, 120915–120929. [Google Scholar] [CrossRef]
- Deng, A.H.; Wang, T.T.; Wang, J.Y.; Li, L.; Wang, X.L.; Liu, L.; Wen, T.Y. Adaptive mechanisms of Bacillus to near space extreme environments. Sci. Total Environ. 2023, 886, 163952. [Google Scholar] [CrossRef] [PubMed]
- Iqbal, S.; Begum, F.; Rabaan, A.A.; Aljeldah, M.; Shammari, B.R.A.; Alawfi, A.; Alshengeti, A.; Sulaiman, T.; Khan, A. Classification and Multifaceted Potential of Secondary Metabolites Produced by Bacillus subtilis Group: A Comprehensive Review. Molecules 2023, 28, 927. [Google Scholar] [CrossRef]
- Zhang, J.Q.; Yang, X.M.; Qiu, J.J.; Zhang, W.; Yang, J.; Han, J.Z.; Ni, L. The Characterization, Biological Activities, and Potential Applications of the Antimicrobial Peptides Derived from Bacillus spp.: A Comprehensive Review. Probiotics Antimicrob. Proteins 2025, 17, 1624–1647. [Google Scholar] [CrossRef]
- Cheng, C.; Su, S.F.; Bo, S.L.; Zheng, C.Z.; Liu, C.F.; Zhang, L.C.; Xu, S.H.; Wang, X.Y.; Gao, P.F.; Fan, K.X.; et al. A Bacillus velezensis strain isolated from oats with disease-preventing and growth-promoting properties. Sci. Rep. 2024, 14, 12950. [Google Scholar] [CrossRef] [PubMed]
- Cui, H.L.; Liu, C.L.; Li, C.Y.; Song, Z.F.; Yang, Y.J.; Wang, Y.W. Analysis on the mechanism of synergistic improvement of rice straw transformation by microbial flora. Acta Microbiol. Sin. 2021, 61, 2791–2805. [Google Scholar] [CrossRef]






| Isolates | MnP (U/L) | Laccase (U/L) | endo-β-1,4-glucanase (U/mL) | FPA (U/L) | Straw Degradation Rate (%) |
|---|---|---|---|---|---|
| CB118 | 275.33 ± 0.00 | 222.24 ± 21.38 | 157.53 ± 11.96 | 120.88 ± 16.57 | 21.50 ± 0.44 |
| BD3 | 1101.33 ± 275.22 | 246.93 ± 37.55 | 81.28 ± 2.81 | 306.80 ± 41.09 | 24.70 ± 0.35 |
| BN15 | 4405.33 ± 430.08 | 438.31 ± 12.35 | 81.38 ± 4.14 | 181.47 ± 21.85 | 22.90 ± 0.38 |
| CB156 | 1376.67 ± 275.22 | 327.19 ± 34.37 | 69.02 ± 12.78 | 236.71 ± 30.62 | 23.60 ± 0.67 |
| CB13 | 0.00 | 141.99 ± 6.17 | 139.81 ± 2.12 | 116.13 ± 26.48 | 19.00 ± 0.85 |
| Strain Number | Colony Characteristics | Colony Morphology | The NCBI Registration Number | Strain Identified |
|---|---|---|---|---|
| CB13 | Oval Milky-white Opaque Wrinkled surface Smooth edges | ![]() | 16S rRNA: OP430814 gyr B: OP889277 | Bacillus velezensis |
| CB156 | Oval Milky-white Opaque Smooth edges | ![]() | 16S rRNA: PP809059 gyr B: PX767074 | Bacillus amyloliquefaciens |
| BD3 | Oval White Opaque Wrinkled surface Smooth edges | ![]() | 16S rRNA: PP033752 gyr B: PX767075 | Bacillus velezensis |
| BN15 | White Opaque Wrinkled surface Irregular edges | ![]() | 16S rRNA: PP809060 gyr B: PX767076 | Bacillus halotolerans |
| Treatment |
Effective Panicles
(×104/hm2) |
Grains per Panicle
(No.) |
1000-Grain Weight
(g) |
Seed Setting Rate (%) |
Yield
(kg/hm2) | Percentage Yield Increase (%) |
|---|---|---|---|---|---|---|
| CK | 442.77 ± 4.82 a | 105.11 ± 10.72 a | 21.65 ± 0.27 a | 93.44 ± 0.64 a | 9201.18 ± 280.23 b | - |
| RS | 402.39 ± 10.87 b | 115.02 ± 6.38 a | 22.26 ± 0.70 a | 92.82 ± 0.98 a | 9009.93 ± 272.30 b | −2.08 |
| CG | 448.95 ± 11.53 a | 109.42 ± 4.62 a | 21.61 ± 0.58 a | 93.38 ± 0.69 a | 10,086.87 ± 113.33 a | 9.63 |
| RS + CG | 429.20 ± 13.42 ab | 118.88 ± 7.27 a | 21.77 ± 0.18 a | 92.44 ± 1.21 a | 9822.52 ± 116.13 a | 6.75 |
| Treatment |
Effective Panicles
(×104/hm2) |
Grains per Panicle
(No.) |
1000-Grain Weight
(g) |
Seed Setting Rate (%) |
Yield
(kg/hm2 ) | Percentage Yield Increase (%) |
|---|---|---|---|---|---|---|
| CK | 413.63 ± 13.34 ab | 108.24 ± 9.34 a | 22.03 ± 0.89 a | 94.37 ± 1.39 a | 9028.82 ± 188.89 a | - |
| RS | 386.72 ± 8.03 b | 116.93 ± 10.43 a | 22.67 ± 0.65 a | 93.78 ± 1.89 a | 8462.15 ± 229.33 b | −5.68 |
| CG | 420.03 ± 11.03 a | 109.89 ± 7.78 a | 21.98 ± 0.98 a | 94.56 ± 1.47 a | 9721.40 ± 176.30 a | 6.94 |
| RS + CG | 397.78 ± 9.37 b | 120.13 ± 8.37 a | 22.86 ± 0.29 a | 93.58 ± 0.96 a | 9545.11 ± 142.53 a | 5.18 |
Disclaimer/Publisher’s Note: The statements, opinions and data contained in all publications are solely those of the individual author(s) and contributor(s) and not of MDPI and/or the editor(s). MDPI and/or the editor(s) disclaim responsibility for any injury to people or property resulting from any ideas, methods, instructions or products referred to in the content. |
© 2026 by the authors. Licensee MDPI, Basel, Switzerland. This article is an open access article distributed under the terms and conditions of the Creative Commons Attribution (CC BY) license.
Share and Cite
Jia, S.; Qu, H.; Li, B.; Chu, J.; Juan, Y.; Xing, Y.; Liu, Y.; Bao, H.; Sun, W. Construction and Functional Validation of a Cross-Niche Multifunctional Microbial Consortium for Straw-Returning Agricultural Systems. Microorganisms 2026, 14, 135. https://doi.org/10.3390/microorganisms14010135
Jia S, Qu H, Li B, Chu J, Juan Y, Xing Y, Liu Y, Bao H, Sun W. Construction and Functional Validation of a Cross-Niche Multifunctional Microbial Consortium for Straw-Returning Agricultural Systems. Microorganisms. 2026; 14(1):135. https://doi.org/10.3390/microorganisms14010135
Chicago/Turabian StyleJia, Shu, Hang Qu, Bo Li, Jin Chu, Yinghua Juan, Yuehua Xing, Yan Liu, Hongjing Bao, and Wentao Sun. 2026. "Construction and Functional Validation of a Cross-Niche Multifunctional Microbial Consortium for Straw-Returning Agricultural Systems" Microorganisms 14, no. 1: 135. https://doi.org/10.3390/microorganisms14010135
APA StyleJia, S., Qu, H., Li, B., Chu, J., Juan, Y., Xing, Y., Liu, Y., Bao, H., & Sun, W. (2026). Construction and Functional Validation of a Cross-Niche Multifunctional Microbial Consortium for Straw-Returning Agricultural Systems. Microorganisms, 14(1), 135. https://doi.org/10.3390/microorganisms14010135





