Assessing the Crucial Role of Marine Fog in Early Soil Development and Biocrust Dynamics in the Atacama Desert
Abstract
1. Introduction
2. Materials and Methods
2.1. Study Site
2.2. Experimental Design
2.3. Sample Collection and Determination of Soil and Plant Features
2.4. Soil Physicochemical Analyses
2.5. Soil Physical Properties
2.6. Enzyme Assays
2.7. Amplicon Sequencing
2.8. Soil Functioning
2.9. Data Analysis
3. Results
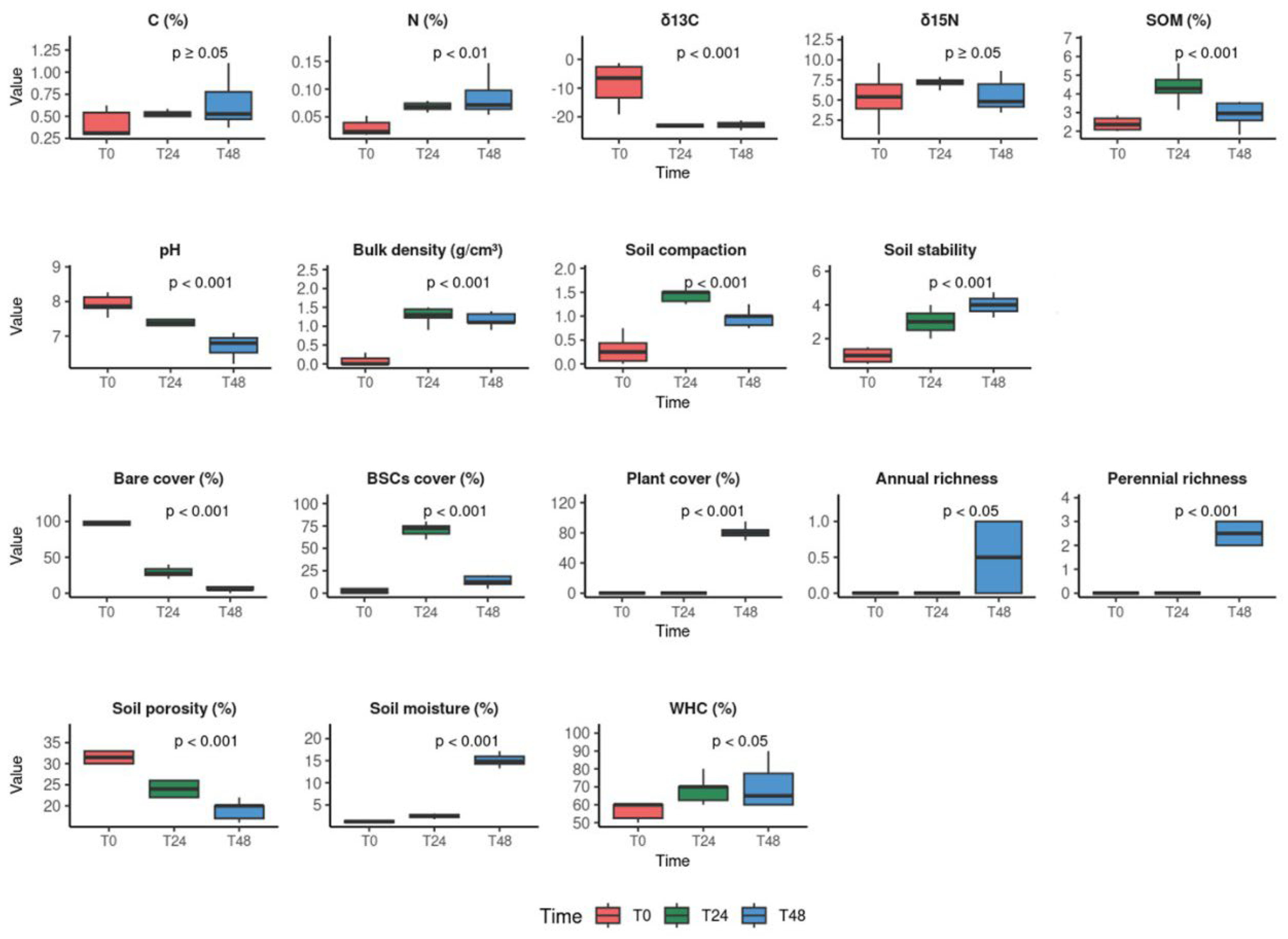
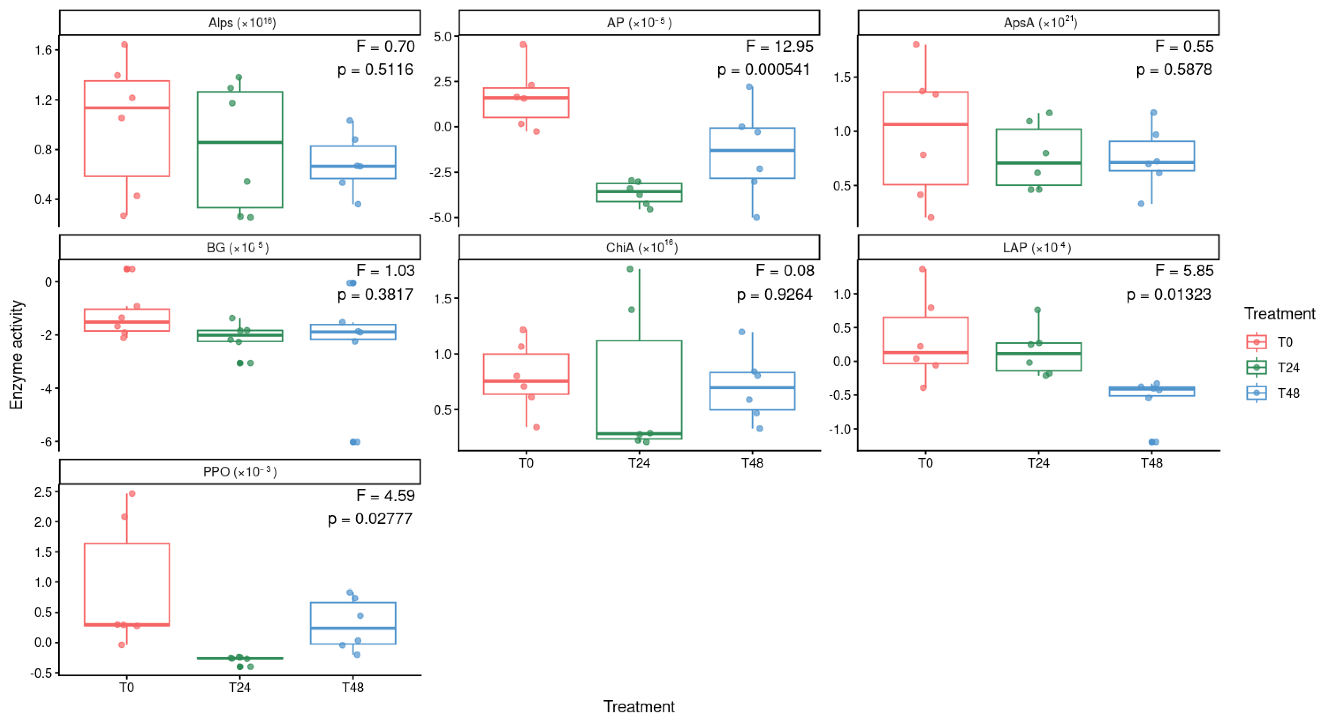
3.1. Above- and Below-Ground Changes in Physicochemical and Enzymatic Activity Indicators over Time
3.2. Changes in Soil Diversity and Functional Indicators over Time
3.3. The Interplay Between Soil Development and Ecosystem Multifunctionality
4. Discussion
4.1. Fog as a Key Driver of Early Soil Surface Modification
4.2. Biodiversity Responses to Sustained Moisture Increases
4.3. Biodiversity Gains Shape Soil Multifunctionality
4.4. Influence of Natural Fog Variability on Soil and Microbial Responses
5. Conclusions
Supplementary Materials
Author Contributions
Funding
Institutional Review Board Statement
Informed Consent Statement
Data Availability Statement
Conflicts of Interest
References
- De Martonne, E. L’indice d’aridé. Bull. L’association Géographes Français 1926, 3, 3–5. [Google Scholar] [CrossRef]
- Hu, Q.; Zhang, Y.; Niu, D.; Liu, Y. Biological soil crusts in deserts: Mechanisms, ecological functions, and restoration. Land Degrad. Dev. 2021, 32, 4146–4161. [Google Scholar] [CrossRef]
- Weathers, K.C.; Groffman, P.M.; Van Dolah, E.; Bernhardt, E.; Grimm, N.B.; McMahon, K.; Hinckley, E. Frontiers in ecosystem ecology from a community perspective: The future is boundless and bright. Ecosystems 2016, 19, 753–770. [Google Scholar] [CrossRef]
- Wang, F.; Liu, Y.; Li, R.; Wu, L.; Zheng, Y. Effects of dew and fog on biological soil crusts: Moisture availability and photosynthetic activity. Plant Soil 2019, 436, 289–303. [Google Scholar]
- Yu, F.H.; Zhang, J.; Xie, Y.H.; Liao, J.X.; Wang, F. The overlooked roles of dew in dryland ecosystems. Land Degrad. Dev. 2020, 31, 332–343. [Google Scholar] [CrossRef]
- Belnap, J.; Phillips, S.L.; Miller, M.E. Response of desert biological soil crusts to alterations in precipitation frequency. Oecologia 2004, 141, 306–316. [Google Scholar] [CrossRef]
- Belnap, J.; Büdel, B.; Lange, O.L. Biological soil crusts: Characteristics and distribution. In Biological Soil Crusts: Structure, Function, and Management; Belnap, J., Lange, O.L., Eds.; Springer: Berlin/Heidelberg, Germany, 2001; pp. 3–30. [Google Scholar] [CrossRef]
- Belnap, J. The world at your feet: Desert biological soil crusts. Front. Ecol. Environ. 2003, 1, 181–189. [Google Scholar] [CrossRef]
- Elbert, W.; Weber, B.; Burrows, S.; Steinkamp, J.; Büdel, B.; Andreae, M.O.; Pöschl, U. Contribution of cryptogamic covers to the global cycles of carbon and nitrogen. Nat. Geosci. 2012, 5, 459–462. [Google Scholar] [CrossRef]
- Chamizo, S.; Cantón, Y.; Miralles-Mellado, I.; Domingo, F. Biocrusts positively affect the soil water balance in semiarid ecosystems. Ecohydrology 2016, 9, 1208–1221. [Google Scholar] [CrossRef]
- Havrilla, C.A.; Chaudhary, V.B.; Ferrenberg, S.; Antoninka, A.J.; Belnap, J.; Bowker, M.A.; Barger, N.N. Towards a predictive framework for biocrust mediation of plant performance: A meta-analysis. J. Ecol. 2019, 107, 2789–2807. [Google Scholar] [CrossRef]
- Li, X.; Sun, J.; Zhang, H.; Tan, H.; Hui, R.; Qi, J.; Zhang, P.; Ward, N.D. Warming decreases desert ecosystem functioning by altering biocrusts in drylands. J. Appl. Ecol. 2023, 60, 2676–2687. [Google Scholar] [CrossRef]
- Delgado-Baquerizo, M.; Soliveres, S.; Maestre, F.T.; Eldridge, D.J.; Bowker, M.A.; Val, J.; Gallardo, A. Biological soil crusts drive carbon and nitrogen cycling in dryland ecosystems across the globe. Soil Biol. Biochem. 2013, 52, 1–8. [Google Scholar] [CrossRef]
- Eldridge, D.J.; Leys, J.F. Exploring some relationships between biological soil crusts, soil aggregation and wind erosion. J. Arid Environ. 2003, 53, 457–466. [Google Scholar] [CrossRef]
- Maier, S.; Tamm, A.; Wu, D.; Caesar, J.; Grube, M.; Weber, B. Photoautotrophic organisms control microbial abundance, diversity, and physiology in different types of biological soil crusts. ISME J. 2018, 12, 1032–1046. [Google Scholar] [CrossRef]
- Chen, N.; Yu, K.; Jia, R.; Teng, J.; Zhao, C. Biocrust as one of multiple stable states in global drylands. Sci. Adv. 2020, 6, eaay3763. [Google Scholar] [CrossRef]
- González, A.L.; Fariña, J.M.; Pinto, R.; Pérez, C.; Weathers, K.C.; Armesto, J.J.; Marquet, P.A. Bromeliad growth and stoichiometry: Responses to atmospheric nutrient supply in fog-dependent ecosystems of the hyper-arid Atacama Desert, Chile. Oecologia 2011, 167, 835–845. [Google Scholar] [CrossRef]
- Fuentes, B.; Gómez, F.; Valdez, C.; Videla, A.; Castro-Severyn, J.; Barahona, S.; Remonsellez, F. Effects of altitude on soil properties in coastal fog ecosystems in Morro Moreno National Park, Antofagasta, Chile. Eur. J. Soil Sci. 2022, 73, e13217. [Google Scholar] [CrossRef]
- Weathers, K.C.; Lovett, G.M.; Likens, G.E. Cloudwater inputs of nitrogen to forest ecosystems in southern Chile: Forms, fluxes, and sources. Ecosystems 2000, 3, 590–595. [Google Scholar] [CrossRef]
- Koračin, D.; Dorman, C.E.; Lewis, J.M.; Hudson, J.G.; Wilcox, E.M.; Torregrosa, A. Marine fog: A review. Atmos. Res. 2014, 143, 142–175. [Google Scholar] [CrossRef]
- Espinoza, V.; Lobos-Roco, F.; y del Río, C. Control sinóptico de la variabilidad espaciotemporal de la niebla y las nubes bajas bajo el fenómeno ENSO a lo largo de la costa chilena (17°–36° S). Atmos. Res. 2024, 308, 107533. [Google Scholar] [CrossRef]
- del Río, C.; Garcia, J.L.; Osses, P.; Zanetta, N.; Lambert, F.; Rivera, D.; Lobos, F. ENSO influence on coastal fog-water yield in the Atacama Desert, Chile. Aerosol Air Qual. Res. 2018, 18, 127–144. [Google Scholar] [CrossRef]
- Del Río, C.; Lobos-Roco, F.; Latorre, C.; Koch, M.A.; García, J.L.; Osses, P.; Siegmund, A. Spatial distribution and interannual variability of coastal fog and low clouds cover in the hyperarid Atacama Desert and implications for past and present Tillandsia landbeckii ecosystems. Plant Syst. Evol. 2021, 307, 58. [Google Scholar] [CrossRef]
- Cereceda, P.; Larrain, H.; Osses, P.; Farias, M.; Egaña, I. The spatial and temporal variability of fog and its relation to fog oases in the Atacama Desert 2021, Chile. Atmos. Res. 2008, 87, 312–323. [Google Scholar] [CrossRef]
- Jenkinson, D.S.; Brookes, P.C.; Powlson, D.S. Measuring soil microbial biomass. Soil Biol. Biochem. 2004, 36, 5–7. [Google Scholar] [CrossRef]
- Eyherabide, M.; Saínz Rozas, H.; Barbieri, P.; Echeverría, H.E. Comparación de métodos para determinar carbono orgánico en suelo. Cienc. Del Suelo 2014, 32, 13–19. [Google Scholar]
- Imeson, A.C.; Vis, M. Assessing soil aggregate stability by water-drop impact and ultrasonic dispersion. Geoderma 1984, 34, 185–200. [Google Scholar] [CrossRef]
- Zhang, H.; Liu, X.; Long, J.; Yang, T.; Huo, H.; Jia, C.; Peng, X. Phosphorus addition stimulates overall carbon acquisition enzymes but suppresses overall phosphorus acquisition enzymes: A global meta-analysis. Agric. Ecosyst. Environ. 2024, 375, 109219. [Google Scholar] [CrossRef]
- Frossard, A.; Ramond, J.B.; Seely, M.; Cowan, D.A. Water regime history drives responses of soil Namib Desert microbial communities to wetting events. Sci. Rep. 2015, 5, 571–578. [Google Scholar] [CrossRef] [PubMed]
- Maestre, F.T.; Quero, J.L.; Gotelli, N.J.; Escudero, A.; Ochoa, V.; Delgado-Baquerizo, M.; Zaady, E. Plant species richness and ecosystem multifunctionality in global drylands. Science 2012, 335, 214–218. [Google Scholar] [CrossRef] [PubMed]
- Liu, C.; Cui, Y.; Li, X.; Yao, M. microeco: An R package for data mining in microbial community ecology. FEMS Microbiol. Ecol. 2021, 97, fiaa255. [Google Scholar] [CrossRef]
- Liaw, A.; Wiener, M. Classification and regression by randomForest. R News 2002, 2, 18–22. [Google Scholar]
- R Core Team. A Language and Environment for Statistical Computing. R Foundation for Statistical Computing 2025, Vienna, Austria. Available online: https://www.R-project.org/ (accessed on 15 July 2025).
- Richter, A. Fog collection in buildings as a method to meet the future water needs. Master’s Thesis, Lund University, Department of Architecture and Built Environment, Lund, Sweden, 2020. [Google Scholar]
- Mallen-Cooper, M.; Ding, J.; Eldridge, D.J. Contrasting effects of vegetation cover and site condition on biocrust communities in subhumid drylands. J. Veg. Sci. 2020, 33, e13161. [Google Scholar] [CrossRef]
- Bahram, M.; Hildebrand, F.; Forslund, S.K.; Anderson, J.L.; Soudzilovskaia, N.A.; Bodegom, P.M.; Bork, P. Structure and function of the global topsoil microbiome. Nature 2018, 560, 233–237. [Google Scholar] [CrossRef] [PubMed]
- Zhang, Y.; Aradottir, A.L.; Serpe, M.; Boeken, B. Interactions of Biological Soil Crusts with Vascular Plants. In Biological soil crusts: An Organizing Principle in Drylands; Springer International Publishing: Cham, Switzerland, 2016; pp. 385–406. [Google Scholar]
- Song, G.; Hui, R.; Yang, H.; Wang, B.; Li, X. Biocrusts mediate the plant community composition of dryland restoration ecosystems. Sci. Total Environ. 2022, 844, 157135. [Google Scholar] [CrossRef]
- Rodríguez-Caballero, E.; Castro, A.J.; Chamizo, S.; Quintas-Soriano, C.; Garcia-Llorente, M.; Cantón, Y.; Weber, B. Ecosystem services provided by biocrusts: From ecosystem functions to social values. J. Arid Environ. 2018, 159, 45–53. [Google Scholar] [CrossRef]
- Barger, N.N.; Weber, B.; Garcia-Pichel, F.; Zaady, E.; Belnap, J. Patterns and Controls on Nitrogen Cycling of Biological Soil Crusts. In Biological Soil Crusts: An Organizing Principle in Drylands; Springer International Publishing: Cham, Switzerland, 2016; pp. 257–285. [Google Scholar]
- Maestre, F.T.; Delgado-Baquerizo, M.; Jeffries, T.C.; Eldridge, D.J.; Ochoa, V.; Gozalo, B.; Singh, B.K. Increasing aridity reduces soil microbial diversity and abundance in global drylands. Proc. Natl. Acad. Sci. USA 2015, 112, 15684–15689. [Google Scholar] [CrossRef]
- Evans, S.E.; Wallenstein, M.D. Soil microbial community response to drying and rewetting stress: Does historical precipitation regime matter? Biogeochemistry 2012, 109, 101–116. [Google Scholar] [CrossRef]
- Pointing, S.B.; Belnap, J. Microbial colonization and controls in dryland systems. Nat. Rev. Microbiol. 2012, 10, 551–562. [Google Scholar] [CrossRef]
- Slam, W.; Noman, A.; Naveed, H.; Huang, Z.; Chen, H.Y. Role of environmental factors in shaping the soil microbiome. Environ. Sci. Pollut. Res. 2020, 27, 41225–41247. [Google Scholar] [CrossRef]
- Jung, P.; Brand, R.; Briegel-Williams, L.; Werner, L.; Jost, E.; Lentendu, G.; Lakatos, M. The symbiotic alga Trebouxia fuels a coherent soil ecosystem on the landscape scale in the Atacama Desert. Environ. Microbiome 2024, 19, 59. [Google Scholar] [CrossRef]
- Barnard, R.L.; Osborne, C.A.; Firestone, M.K. Responses of soil bacterial and fungal communities to extreme desiccation and rewetting. ISME J. 2013, 7, 2229–2241. [Google Scholar] [CrossRef]
- Belnap, J.; Weber, B.; Büdel, B. Biological Soil Crusts as an Organizing Principle in Drylands; Springer International Publishing: Cham, Switzerland, 2016; pp. 3–13. [Google Scholar]
- Khoury, D.; Millet, M.; Jabali, Y.; Delhomme, O. Fog water: A general review of its physical and chemical aspects. Environments 2023, 10, 224. [Google Scholar] [CrossRef]
- Leung, P.M.; Bay, S.K.; Meier, D.V.; Chiri, E.; Cowan, D.A.; Gillor, O.; Greening, C. Energetic basis of microbial growth and persistence in desert ecosystems. Msystems 2020, 5, 10–1128. [Google Scholar] [CrossRef] [PubMed]
- Delgado-Baquerizo, M.; Maestre, F.T.; Reich, P.B.; Jeffries, T.C.; Gaitan, J.J.; Encinar, D.; Singh, B.K. Microbial diversity drives multifunctionality in terrestrial ecosystems. Nat. Commun. 2016, 7, 10541. [Google Scholar] [CrossRef] [PubMed]
- Azua-Bustos, A.; Urrejola, C.; Vicuña, R. Life at the dry edge: Microorganisms of the Atacama Desert. FEBS Lett. 2012, 586, 2939–2945. [Google Scholar] [CrossRef]
- Alfaro, F.D.; Manzano, M.; Almiray, C.; Juan-Luis, G.; Pablo, O.; del Rio, C.; Constanza, V.; Claudio, L.; Marcus, A.K.; Alexander, S.; et al. Soil bacterial community structure of fog-dependent Tillandsia landbeckii dunes in the Atacama Desert. Plant Syst. Evol. 2021, 307, 56. [Google Scholar] [CrossRef]
- Qiu, L.; Zhang, Q.; Zhu, H.; Reich, P.B.; Banerjee, S.; van der Heijden, M.G.; Wei, X. Erosion reduces soil microbial diversity, network complexity and multifunctionality. ISME J. 2021, 15, 2474–2489. [Google Scholar] [CrossRef] [PubMed]
- Wagg, C.; Bender, S.F.; Widmer, F.; Van Der Heijden, M.G. Soil biodiversity and soil community composition determine ecosystem multifunctionality. Proc. Natl. Acad. Sci. USA 2014, 111, 5266–5270. [Google Scholar] [CrossRef]






Disclaimer/Publisher’s Note: The statements, opinions and data contained in all publications are solely those of the individual author(s) and contributor(s) and not of MDPI and/or the editor(s). MDPI and/or the editor(s) disclaim responsibility for any injury to people or property resulting from any ideas, methods, instructions or products referred to in the content. |
© 2026 by the authors. Licensee MDPI, Basel, Switzerland. This article is an open access article distributed under the terms and conditions of the Creative Commons Attribution (CC BY) license.
Share and Cite
Fernandez-Murillo, M.d.P.; Cifuentes, E.; Beggs, A.; Manzano, M.; Gutiérrez-Cortés, I.; Vargas, C.; del Río, C.; Alfaro, F.D. Assessing the Crucial Role of Marine Fog in Early Soil Development and Biocrust Dynamics in the Atacama Desert. Soil Syst. 2026, 10, 12. https://doi.org/10.3390/soilsystems10010012
Fernandez-Murillo MdP, Cifuentes E, Beggs A, Manzano M, Gutiérrez-Cortés I, Vargas C, del Río C, Alfaro FD. Assessing the Crucial Role of Marine Fog in Early Soil Development and Biocrust Dynamics in the Atacama Desert. Soil Systems. 2026; 10(1):12. https://doi.org/10.3390/soilsystems10010012
Chicago/Turabian StyleFernandez-Murillo, María del Pilar, Erasmo Cifuentes, Antonia Beggs, Marlene Manzano, Ignacio Gutiérrez-Cortés, Constanza Vargas, Camilo del Río, and Fernando D. Alfaro. 2026. "Assessing the Crucial Role of Marine Fog in Early Soil Development and Biocrust Dynamics in the Atacama Desert" Soil Systems 10, no. 1: 12. https://doi.org/10.3390/soilsystems10010012
APA StyleFernandez-Murillo, M. d. P., Cifuentes, E., Beggs, A., Manzano, M., Gutiérrez-Cortés, I., Vargas, C., del Río, C., & Alfaro, F. D. (2026). Assessing the Crucial Role of Marine Fog in Early Soil Development and Biocrust Dynamics in the Atacama Desert. Soil Systems, 10(1), 12. https://doi.org/10.3390/soilsystems10010012

